A Simple Setup for Thermoelectric Power Factor of Thermoelectric Coatings
Abstract
1. Introduction
2. Method for Seebeck Coefficient and Electrical Conductivity Measurement
2.1. Electrical Conductivity
2.2. Seebeck Coefficient
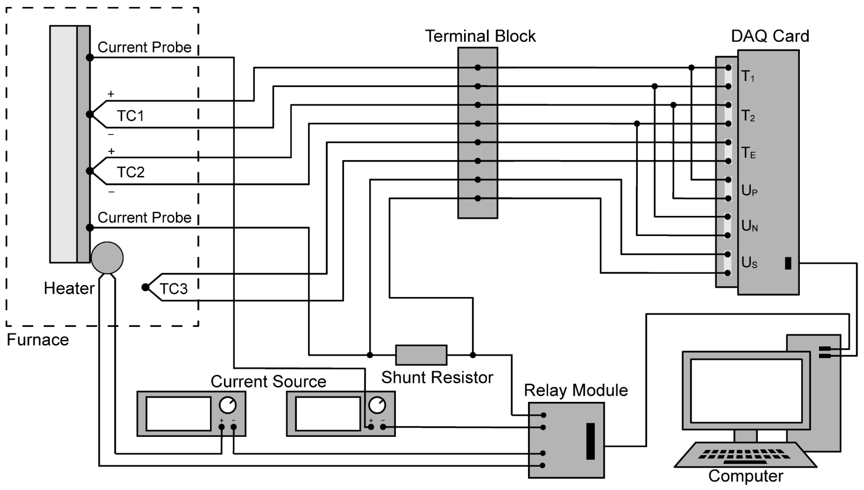
3. Measurement Setup and Procedure
3.1. Setup Description
3.2. Measurement Procedure
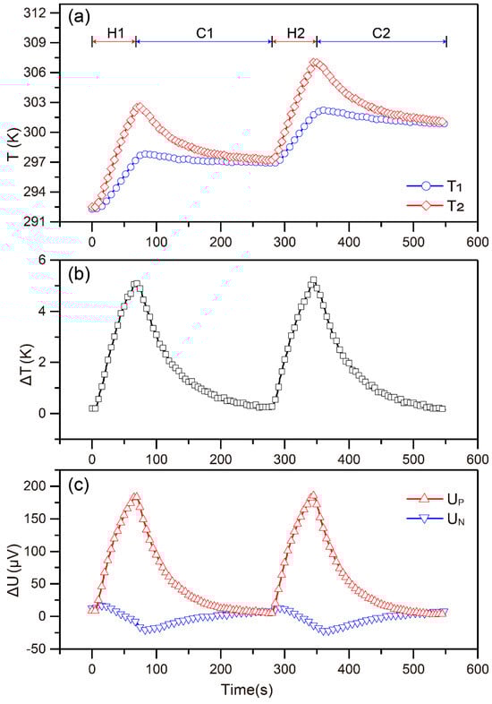
4. Results and Discussion
5. Conclusions
Author Contributions
Funding
Institutional Review Board Statement
Informed Consent Statement
Data Availability Statement
Conflicts of Interest
Nomenclature
| A | cross-sectional area, mm2 |
| C1 | the first cooling down phase in the measurement cycle |
| C2 | the second cooling down phase in the measurement cycle |
| D | separation distance of the probes, mm |
| H1 | the first heating phase in the measurement cycle |
| H2 | the second heating phase in the measurement cycle |
| L | length of the sample, mm |
| Rc | contact resistance, Ω |
| Rs | sample resistance, Ω |
| Rl | lead resistance, Ω |
| S | Seebeck coefficient of the sample, μV/K |
| Sp | Seebeck coefficient of the positive leg of the thermocouple, μV/K |
| Sn | Seebeck coefficient of the negative leg of the thermocouple, μV/K |
| STC | Seebeck coefficient of the employed thermocouple, μV/K |
| t | thickness of the sample, mm |
| ΔT | temperature difference, K |
| T1 | the lower temperature reading of the two thermocouples, K |
| T2 | the higher temperature reading of the two thermocouples, K |
| U2p | potential difference measured with 2-probe method, V |
| U4p | potential difference measured with 4-probe method, V |
| Up | voltage measured across the positive pair of thermocouple wires, μV |
| Un | voltage measured across the negative pair of thermocouple wires, μV |
| w | wide of the sample, mm |
References
- Li, Y.; Yang, Y.; Ge, M.; Liang, Z.; Zhao, Y.; Wang, S. Performance Analysis of a Thermoelectric Generator Applied to Wet Flue Gas Waste Heat Recovery. Appl. Energy 2018, 228, 2080–2089. [Google Scholar] [CrossRef]
- Biswas, K.; He, J.; Blum, I.D.; Wu, C.I.; Hogan, T.P.; Seidman, D.N.; Dravid, V.P.; Kanatzidis, M.G. High-Performance Bulk Thermoelectrics with All-Scale Hierarchical Architectures. Nature 2012, 489, 414–418. [Google Scholar] [CrossRef] [PubMed]
- Zheng, X.F.; Liu, C.X.; Yan, Y.Y.; Wang, Q. A Review of Thermoelectrics Research—Recent Developments and Potentials for Sustainable and Renewable Energy Applications. Renew. Sustain. Energy Rev. 2014, 32, 486–503. [Google Scholar] [CrossRef]
- Snyder, G.J.; Toberer, E.S. Complex Thermoelectric Materials. Nat. Mater. 2008, 7, 105–114. [Google Scholar] [CrossRef]
- Selvan, K.V.; Mohamed Ali, M.S. Micro-Scale Energy Harvesting Devices: Review of Methodological Performances in the Last Decade. Renew. Sustain. Energy Rev. 2016, 54, 1035–1047. [Google Scholar] [CrossRef]
- Twaha, S.; Zhu, J.; Yan, Y.; Li, B. A Comprehensive Review of Thermoelectric Technology: Materials, Applications, Modelling and Performance Improvement. Renew. Sustain. Energy Rev. 2016, 65, 698–726. [Google Scholar] [CrossRef]
- Zhang, Q.; Sun, Y.; Xu, W.; Zhu, D. Organic Thermoelectric Materials: Emerging Green Energy Materials Converting Heat to Electricity Directly and Efficiently. Adv. Mater. 2014, 26, 6829–6851. [Google Scholar] [CrossRef]
- Carmo, J.P.; Antunes, J.; Silva, M.F.; Ribeiro, J.F.; Goncalves, L.M.; Correia, J.H. Characterization of Thermoelectric Generators by Measuring the Load-Dependence Behavior. Meas. J. Int. Meas. Confed. 2011, 44, 2194–2199. [Google Scholar] [CrossRef]
- Zhao, L.D.; Dravid, V.P.; Kanatzidis, M.G. The Panoscopic Approach to High Performance Thermoelectrics. Energy Environ. Sci. 2014, 7, 251–268. [Google Scholar] [CrossRef]
- Champier, D. Thermoelectric Generators: A Review of Applications. Energy Convers. Manag. 2017, 140, 167–181. [Google Scholar] [CrossRef]
- Ibáñez, M.; Luo, Z.; Genç, A.; Piveteau, L.; Ortega, S.; Cadavid, D.; Dobrozhan, O.; Liu, Y.; Nachtegaal, M.; Zebarjadi, M.; et al. High-Performance Thermoelectric Nanocomposites from Nanocrystal Building Blocks. Nat. Commun. 2016, 7, 10766. [Google Scholar] [CrossRef] [PubMed]
- Andrei, V.; Bethke, K.; Rademann, K. Thermoelectricity in the Context of Renewable Energy Sources: Joining Forces Instead of Competing. Energy Environ. Sci. 2016, 9, 1528–1532. [Google Scholar] [CrossRef]
- Heremans, J.P.; Wiendlocha, B.; Chamoire, A.M. Resonant Levels in Bulk Thermoelectric Semiconductors. Energy Environ. Sci. 2012, 5, 5510–5530. [Google Scholar] [CrossRef]
- He, R.; Schierning, G.; Nielsch, K. Thermoelectric Devices: A Review of Devices, Architectures, and Contact Optimization. Adv. Mater. Technol. 2018, 3, 1700256. [Google Scholar] [CrossRef]
- Han, C.; Tan, G.; Varghese, T.; Kanatzidis, M.G.; Zhang, Y. High-Performance PbTe Thermoelectric Films by Scalable and Low-Cost Printing. ACS Energy Lett. 2018, 3, 818–822. [Google Scholar] [CrossRef]
- Abadlia, L.; Gasser, F.; Khalouk, K.; Mayoufi, M.; Gasser, J.G. New Experimental Methodology, Setup and LabView Program for Accurate Absolute Thermoelectric Power and Electrical Resistivity Measurements between 25 and 1600 K: Application to Pure Copper, Platinum, Tungsten, and Nickel at Very High Temperatures. Rev. Sci. Instrum. 2014, 85, 095121. [Google Scholar] [CrossRef]
- Wang, C.; Chen, F.; Sun, K.; Chen, R.; Li, M.; Zhou, X.; Sun, Y.; Chen, D.; Wang, G. Contributed Review: Instruments for Measuring Seebeck Coefficient of Thin Film Thermoelectric Materials: A Mini-Review. Rev. Sci. Instrum. 2018, 89, 101501. [Google Scholar] [CrossRef]
- Kedia, S.K.; Singh, A.; Chaudhary, S. Design, Development, and Testing of a Thermopower Measurement System by Studying the Electron Transport Properties on Indium and Nitrogen Co-Doped Sputtered ZnO Films. Meas. J. Int. Meas. Confed. 2018, 117, 49–56. [Google Scholar] [CrossRef]
- Narjis, A.; Elyaagoubi, M.; Outzourhit, A.; Nkhaili, L. Design of a Simple Apparatus for the Measurement of the Seebeck Coefficient. Meas. J. Int. Meas. Confed. 2019, 133, 433–438. [Google Scholar] [CrossRef]
- Ravichandran, J.; Kardel, J.T.; Scullin, M.L.; Bahk, J.H.; Heijmerikx, H.; Bowers, J.E.; Majumdar, A. An Apparatus for Simultaneous Measurement of Electrical Conductivity and Thermopower of Thin Films in the Temperature Range of 300-750 K. Rev. Sci. Instrum. 2011, 82, 015108. [Google Scholar] [CrossRef]
- Fu, Q.; Xiong, Y.; Zhang, W.; Xu, D. A Setup for Measuring the Seebeck Coefficient and the Electrical Resistivity of Bulk Thermoelectric Materials. Rev. Sci. Instrum. 2017, 88, 095111. [Google Scholar] [CrossRef] [PubMed]
- Rouleau, O.; Alleno, E. Measurement System of the Seebeck Coefficient or of the Electrical Resistivity at High Temperature. Rev. Sci. Instrum. 2013, 84, 105103. [Google Scholar] [CrossRef] [PubMed]
- Berger, L.M.; Barbosa, M.M.; Martin, H.P.; Puschmann, R.; Scheitz, S.; Thiele, S.; Leyens, C.; Beyer, E.; Michaelis, A. Potential of Thermal Spray Technologies for the Manufacture of TEG. In Thermoelectrics Goes Automotive II; Jänsch, D., Ed.; Expert Verlag: Tübingen, Germany, 2013; pp. 260–272. [Google Scholar]
- Singh, Y. Electrical Resistivity Measurements: A Review. Int. J. Mod. Phys. Conf. Ser. 2013, 22, 745–756. [Google Scholar] [CrossRef]
- He, X.; Yang, J.; Jiang, Q.; Luo, Y.; Zhang, D.; Zhou, Z.; Ren, Y.; Li, X.; Xin, J.; Hou, J. A New Method for Simultaneous Measurement of Seebeck Coefficient and Resistivity. Rev. Sci. Instrum. 2016, 87, 124901. [Google Scholar] [CrossRef]
- Schrade, M.; Fjeld, H.; Norby, T.; Finstad, T.G. Versatile Apparatus for Thermoelectric Characterization of Oxides at High Temperatures. Rev. Sci. Instrum. 2014, 85, 103906. [Google Scholar] [CrossRef]
- De Boor, J.; Müller, E. Data Analysis for Seebeck Coefficient Measurements. Rev. Sci. Instrum. 2013, 84, 065102. [Google Scholar] [CrossRef]
- Liu, Y.; Fu, C.; Xie, H.; Zhao, X.; Zhu, T. Reliable Measurements of the Seebeck Coefficient on a Commercial System. J. Mater. Res. 2015, 30, 2670–2677. [Google Scholar] [CrossRef]
- Zamanipour, Z.; Shi, X.; Mozafari, M.; Krasinski, J.S.; Tayebi, L.; Vashaee, D. Synthesis, Characterization, and Thermoelectric Properties of Nanostructured Bulk p-Type MnSi1.73, MnSi1.75, and MnSi1.77. Ceram. Int. 2013, 39, 2353–2358. [Google Scholar] [CrossRef]









| Sample | Obtained Electrical Conductivity | Data from Literature |
|---|---|---|
| Ni | 7.57 × 10−8 Ω·m | 6.99 × 10−8 Ω·m |
| Cr20Ni80(6J20) | 1.16 × 10−6 Ω·m | 1.10 × 10−6 Ω·m |
Disclaimer/Publisher’s Note: The statements, opinions and data contained in all publications are solely those of the individual author(s) and contributor(s) and not of MDPI and/or the editor(s). MDPI and/or the editor(s) disclaim responsibility for any injury to people or property resulting from any ideas, methods, instructions or products referred to in the content. |
© 2025 by the authors. Licensee MDPI, Basel, Switzerland. This article is an open access article distributed under the terms and conditions of the Creative Commons Attribution (CC BY) license (https://creativecommons.org/licenses/by/4.0/).
Share and Cite
Lv, M.; Jiang, C.; Zhang, G. A Simple Setup for Thermoelectric Power Factor of Thermoelectric Coatings. Coatings 2025, 15, 679. https://doi.org/10.3390/coatings15060679
Lv M, Jiang C, Zhang G. A Simple Setup for Thermoelectric Power Factor of Thermoelectric Coatings. Coatings. 2025; 15(6):679. https://doi.org/10.3390/coatings15060679
Chicago/Turabian StyleLv, Mingda, Chunzhu Jiang, and Guangjun Zhang. 2025. "A Simple Setup for Thermoelectric Power Factor of Thermoelectric Coatings" Coatings 15, no. 6: 679. https://doi.org/10.3390/coatings15060679
APA StyleLv, M., Jiang, C., & Zhang, G. (2025). A Simple Setup for Thermoelectric Power Factor of Thermoelectric Coatings. Coatings, 15(6), 679. https://doi.org/10.3390/coatings15060679
