Ultra-Thin Films of CdS Doped with Silver: Synthesis and Modification of Optical, Structural, and Morphological Properties by the Doping Concentration Effect
Abstract
1. Introduction
2. Materials and Methods
2.1. Preparation of CdS:Ag Thin Films
2.2. Characterization of CdS:Ag Thin Films
3. Results and Discussion
3.1. CdS Thin Films Deposited with Different Ag Doping Ratios
3.2. Structural Analysis
3.3. Raman Spectroscopy Analysis
3.4. Surface Morphology Analysis
3.5. Optical Analysis
3.5.1. Spectral Transmittance
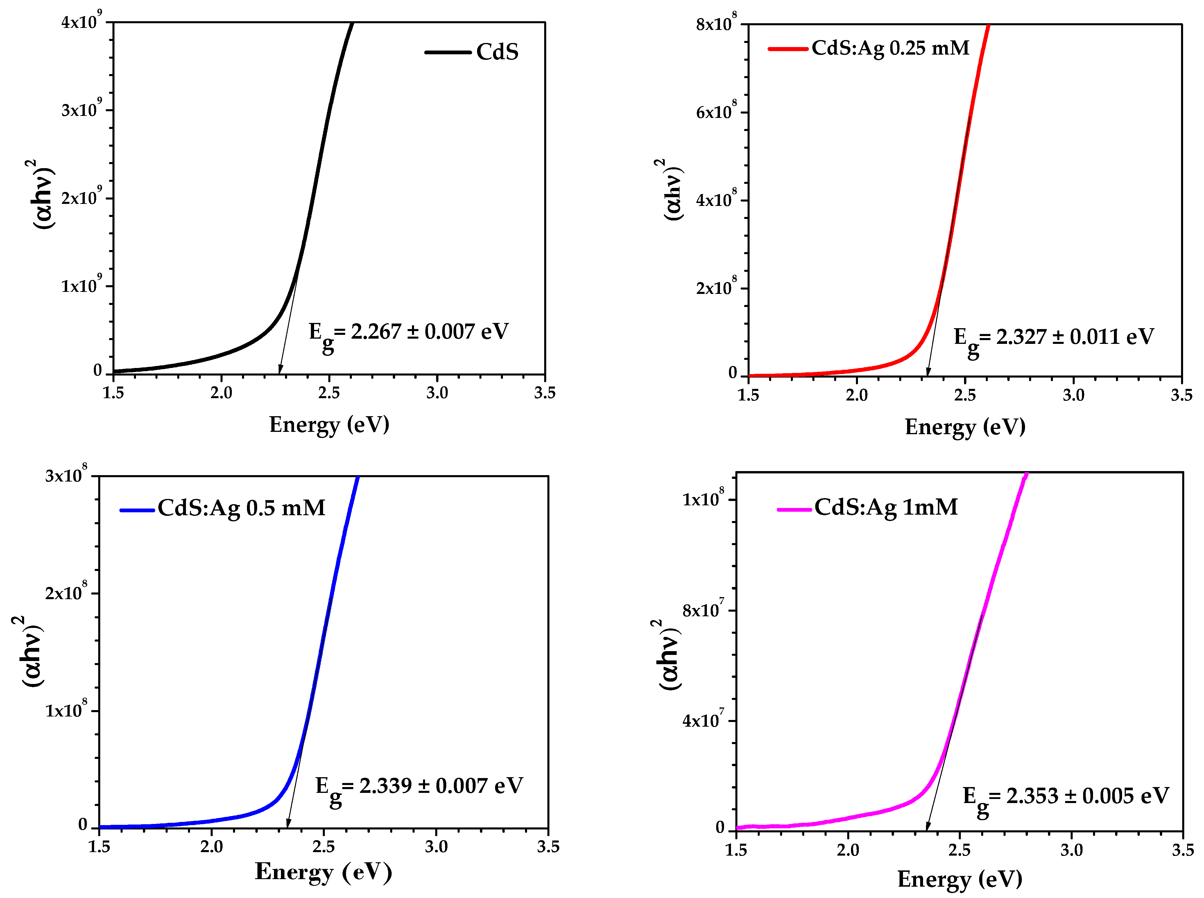
3.5.2. Optical Band Gap
3.5.3. Extinction Coefficient and Refractive Index
3.5.4. Dielectric Constant
4. Conclusions
Author Contributions
Funding
Institutional Review Board Statement
Informed Consent Statement
Data Availability Statement
Acknowledgments
Conflicts of Interest
References
- Buonomenna, M.G. Inorganic thin-film solar cells: Challenges at the terawatt-scale. Symmetry 2023, 15, 1718. [Google Scholar] [CrossRef]
- Tamilselvan, S.N.; Shanmugan, S. Towards sustainable solar cells: Unveiling the latest developments in bio-nano materials for enhanced DSSC efficiency. Clean Energy 2024, 8, 238–257. [Google Scholar] [CrossRef]
- Perera, A.T.; Nik, V.M.; Chen, D.; Scartezzini, J.L.; Hong, T. Quantifying the impacts of climate change and extreme climate events on energy systems. Nat. Energy 2020, 5, 150–159. [Google Scholar] [CrossRef]
- Di Carlo, V.; Prete, P.; Dubrovskii, V.G.; Berdnikov, Y.; Lovergine, N. CdTe Nanowires by Au-catalyzed metalorganic vapor phase epitaxy. Nano Lett. 2017, 17, 4075–4082. [Google Scholar] [CrossRef] [PubMed]
- Hussein, R.D.; Jafir, A.O. A review on physical properties of CdS thin film. J. Phys. Chem. Funct. Mater. 2022, 5, 40–50. [Google Scholar] [CrossRef]
- Ismail, W.; Ibrahim, G.; Habib, M.A.; Alduaij, O.K.; Abdelfatah, M.; El-Shaer, A. Advancement of physical and photoelectrochemical properties of nanostructured CdS thin films toward optoelectronic applications. Nanomaterials 2023, 13, 1764. [Google Scholar] [CrossRef]
- Ruiz, R.C.; Esquivel, L.A.; Gonzalez, M.A.; Hernandez, C.; Matsumoto, Y.; Albor, M.D.L. Comprehensive Analysis of CdS Ultrathin Films Modified by the Substrate Position inside the Reactor Container Using the CBD Technique. ACS Omega 2023, 8, 31725–31737. [Google Scholar] [CrossRef] [PubMed]
- Mathur, A.S.; Singh, B.P. Study of effect of defects on CdS/CdTe heterojunction solar cell. Optik 2020, 212, 164717. [Google Scholar] [CrossRef]
- Lovergine, N.; Cingolani, R.; Mancini, A.M.; Ferrara, M. Photoluminescence of CVD grown CdS epilayers on CdTe substrates. J. Cryst. Growth 1992, 118, 304–308. [Google Scholar] [CrossRef]
- Irvine, S.J.; Stafford, A.; Ahmed, M.U.; Prete, P.; Berrigan, R. MOVPE of II–VI materials. Prog. Cryst. Growth Charact. Mater. 1997, 35, 177–206. [Google Scholar] [CrossRef]
- Fathima, M.I.; Arulanantham, A.M.S.; Wilson, K.J. Effect of ZnS nanowire ARC on CZTS/CdS thin film solar cell by Nebulizer Spray Pyrolysis Technique. Mater. Res. Express. 2020, 7, 015510. [Google Scholar] [CrossRef]
- Nadarajah, M.; Gour, K.S.; Singh, V.N. Sputtered cadmium sulfide (CdS) buffer layer for kesterite and chalcogenide thin film solar cell (TFSC) Applications. J. Nanosci. Nanotechnol. 2020, 20, 3909–3912. [Google Scholar] [CrossRef]
- Chen, Z.; Ashokan, A.; Russo, S.P.; Mulvaney, P. Temperature Dependence of the CdS Bandgap in the Extreme Confinement Regime. Nano Lett. 2023, 23, 9287–9294. [Google Scholar] [CrossRef] [PubMed]
- Yücel, E.; Şahin, O. Effect of pH on the structural, optical and nanomechanical properties of CdS thin films grown by chemical bath deposition. Ceram. Int. 2016, 42, 6399–6407. [Google Scholar] [CrossRef]
- El-Shaer, A.; Ezzat, S.; Habib, M.A.; Alduaij, O.K.; Meaz, T.M.; El-Attar, S.A. Influence of Deposition Time on Structural, Morphological, and Optical Properties of CdS Thin Films Grown by Low-Cost Chemical Bath Deposition. Crystals 2023, 13, 788. [Google Scholar] [CrossRef]
- Najm, A.S.; Al-Azawi, N.M.; Ibrahim, S.A.; Al-Adili, A.; Ahmed, N.M.; Al-Jumaili, B.E. Mechanism of chemical bath deposition of CdS thin films: Influence of sulphur precursor concentration on microstructural and optoelectronic characterizations. Coatings 2022, 12, 1400. [Google Scholar] [CrossRef]
- Contreras, J.I.; Diaz, J.; Flores, A.; Morales, R.L.; Álvarez, M.E.; Balderas, J.A. Structural and optical modifications of CdS properties in CdS-Au thin films prepared by CBD. Results Phys. 2021, 22, 103914. [Google Scholar] [CrossRef]
- Herrera, D.; Diosa, J.E.; Fernández, A.; Mosquera, E. Influence of aluminum doping on structural, morphological, vibrational, and optical properties of CdS thin films obtained by chemical bath deposition. Mater. Sci. Eng. B 2021, 273, 115451. [Google Scholar] [CrossRef]
- Molina, J.; Horta, S.D.; Espejo, L.F.; Castillo, S.J.; Ávila, D.A. Comparative study of the optical response in thin films of CdS:In. J. Phys. Conf. Ser. 2021, 1723, 012028. [Google Scholar] [CrossRef]
- Diaz, O.I.; Berman, D.; Flores, A.; López, R.; Ramos, A.; Álvarez, M.E. Cu-doped CdS thin films by chemical bath deposition and ion exchange. J. Mater. Sci. Mater. Electron. 2020, 31, 1722–1730. [Google Scholar] [CrossRef]
- Taur, V.S.; Joshi, R.A.; Sharma, R. Annealing-induced modifications in physicochemical and optoelectronic properties of Ag-doped nanostructured CdS thin films. Int. J. Photoenergy 2012, 2012, 264027. [Google Scholar] [CrossRef]
- Ferrá, S.R.; Berman, D.; García, R.; Castillo, S.J.; Ramírez, R.; Gnade, B.E.; Quevedo, M.A. Optical and structural properties of CdS thin films grown by chemical bath deposition doped with Ag by ion exchange. Optik 2014, 125, 1533–1536. [Google Scholar] [CrossRef]
- Flores, A.; Contreras, J.I.; Diaz, J.; Angel, P.D.; Enríquez, J.P.; Castillo, S.J.; Álvarez, M.E. Stimulation of the photoluminescent properties of CBD-CdS thin films achieved by structural modifications resulting from Ag⁺ doping. Phys. Status Solidi RRL 2017, 11, 1700134. [Google Scholar] [CrossRef]
- Najm, A.S.; Aljuhani, A.; Naeem, H.S.; Sopian, K.; Ismail, R.A.; Holi, A.M.; Moria, H. Mechanism and principle of doping: Realizing of silver incorporation in CdS thin film via doping concentration effect. RSC Adv. 2022, 12, 29613–29626. [Google Scholar] [CrossRef] [PubMed]
- Rahman, M.M.; Karim, M.R.; Alharbi, H.F.; Aldokhayel, B.; Uzzaman, T.; Zahir, H. Cadmium selenide quantum dots for solar cell applications: A review. Chem. Asian J. 2021, 16, 902–921. [Google Scholar] [CrossRef]
- Shuklov, I.A.; Razumov, V.F. Lead chalcogenide quantum dots for photoelectric devices. Russ. Chem. Rev. 2019, 89, 379. [Google Scholar] [CrossRef]
- Patterson, A.L. The Scherrer formula for X-ray particle size determination. Phys. Rev. 1939, 56, 978. [Google Scholar] [CrossRef]
- Tauc, J.; Grigorovici, R.; Vancu, A. Optical properties and electronic structure of amorphous germanium. Phys. Status Solidi 1966, 15, 627–637. [Google Scholar] [CrossRef]
- Cingolani, R.; Di Dio, M.; Lomascolo, M.; Rinaldi, R.; Prete, P.; Vasanelli, L.; Vanzetti, L.; Bassani, F.; Bonanni, A.; Sorba, L.; et al. Photocurrent Spectroscopy of Zn1-xCdxSe/ZnSe Quantum Wells in p-i-n Heterostructures. Phys. Rev. B 1994, 50, 12179–12182. [Google Scholar] [CrossRef]
- Rahman, M.F.; Hossain, J.; Ismail, A.B.M. Structural, surface morphological and optical properties and their correlation with the thickness of spin coated superior quality CdS thin film synthesized using a novel chemical route. SN Appl. Sci. 2020, 2, 1956. [Google Scholar] [CrossRef]
- Pankove, J.I. Optical Processes in Semiconductors, 2nd ed.; Dover Publications, Inc.: Mineola, NY, USA, 1975; pp. 87–94. [Google Scholar]
- Shkir, M.; Khan, Z.R.; Chandekar, K.V.; Alshahrani, T.; Ashraf, I.M.; Khan, A.; Sanaa, M.F. Facile fabrication of Ag/Y: CdS/Ag thin films-based photodetectors with enhanced photodetection performance. Sens. Actuators A Phys. 2021, 331, 112890. [Google Scholar] [CrossRef]
- Islam, M.A.; Hossain, M.S.; Aliyu, M.M.; Chelvanathan, P.; Huda, Q.; Karim, M.R.; Amin, N. Comparison of structural and optical properties of CdS thin films grown by CSVT, CBD and sputtering techniques. Energy Procedia 2013, 33, 203–213. [Google Scholar] [CrossRef]
- Trabelsi, A.B.G.; Chandekar, K.V.; Alkallas, F.H.; Ashraf, I.M.; Hakami, J.; Shkir, M.; AlFaify, S. A comprehensive study on Co-doped CdS nanostructured films fit for optoelectronic applications. J. Mater. Res. Technol. 2022, 21, 3982–4001. [Google Scholar] [CrossRef]
- Rondiya, S.; Rokade, A.; Gabhale, B.; Pandharkar, S.; Chaudhari, M.; Date, A.; Jadkar, S. Effect of bath temperature on optical and morphology properties of CdS thin films grown by chemical bath deposition. Energy Procedia 2017, 110, 202–209. [Google Scholar] [CrossRef]
- Ashok, A.; Regmi, G.; Romero, A.; Solis, M.; Velumani, S.; Castaneda, H. Comparative studies of CdS thin films by chemical bath deposition techniques as a buffer layer for solar cell applications. J. Mater. Sci. Mater. Electron. 2020, 31, 7499–7518. [Google Scholar] [CrossRef]
- Zahn, D.R.T.; Maierhofer, C.; Winter, A.; Reckzügel, M.; Srama, R.; Rossow, U.; Richter, W. In situ monitoring of heterostructure growth by optical spectroscopies: CdS on InP (110). Appl. Surf. Sci. 1992, 56, 684–690. [Google Scholar] [CrossRef]
- Nusimovici, M.A.; Balkanski, M.; Birman, J.L. Lattice dynamics of wurtzite: CdS. II. Phys. Rev. B 1970, 1, 595. [Google Scholar] [CrossRef]
- Marshall, R.; Mitra, S.S. Optically active phonon processes in CdS and ZnS. Phys. Rev. 1964, 134, A1019. [Google Scholar] [CrossRef]
- Trajić, J.; Gilić, M.; Romčević, N.; Romčević, M.; Stanišić, G.; Hadžić, B.; Yahia, Y.S. Raman spectroscopy of optical properties in CdS thin films. Sci. Sinter. 2015, 47, 145–152. [Google Scholar] [CrossRef]
- Sharma, B.; Lalwani, R.; Das, R. Spectroscopic studies of CdS nanocrystalline thin films synthesized by sol–gel spin coating technique for optoelectronic application: Influence of co-doping. Braz. J. Phys. 2023, 53, 42. [Google Scholar] [CrossRef]
- Peng, Y.; Hu, X.; Xu, X.; Chen, X.; Peng, J.; Han, J.; Dimitrijev, S. Temperature and doping dependence of the Raman scattering in 4H-SiC. Opt. Mater. Express 2016, 6, 2725–2733. [Google Scholar] [CrossRef]
- Sharma, R.; Sharma, K.S.; Kumar, D. Introduction to Nanotechnology. In Nanomaterials in Clinical Therapeutics: Synthesis and Applications; Sharma, R., Ed.; Springer: Cham, Switzerland, 2022; pp. 1–31. [Google Scholar] [CrossRef]
- Olvera, R.; De Moure, F.; Mayén, S.A.; Quiñones, J.; Centeno, A.; Sosa, A.; Santos-Cruz, J. Effect of indium doping on structural, optical and electrical properties of cadmium sulfide thin films. Chalcogenide Lett. 2020, 17, 329–336. [Google Scholar] [CrossRef]
- Budde, M.; Tschammer, C.; Franz, P.; Feldl, J.; Ramsteiner, M.; Goldhahn, R.; Bierwagen, O. Structural, optical, and electrical properties of unintentionally doped NiO layers grown on MgO by plasma-assisted molecular beam epitaxy. J. Appl. Phys. 2018, 123, 195301. [Google Scholar] [CrossRef]
- Panigrahi, U.K.; Das, P.K.; Biswal, R.; Sathe, V.; Babu, P.D.; Mitra, A.; Mallick, P. Zn doping induced enhancement of multifunctional properties in NiO nanoparticles. J. Alloys Compd. 2020, 833, 155050. [Google Scholar] [CrossRef]
- Zheng, L.; Zhang, D.; Ma, Y.; Lu, Z.; Chen, Z.; Wang, S.; Gong, Q. Morphology control of the perovskite films for efficient solar cells. Dalton Trans. 2015, 44, 10582–10593. [Google Scholar] [CrossRef]
- Husham, M.; Hassan, Z.; Mahdi, M.A.; Selman, A.M.; Ahmed, N.M. Fabrication and characterization of nanocrystalline CdS thin film-based optical sensor grown via microwave-assisted chemical bath deposition. Superlattices Microstruct. 2014, 67, 8–16. [Google Scholar] [CrossRef]
- Islam, M.A.; Misran, H.; Akhtaruzzaman, M.; Amin, N. Influence of oxygen on structural and optoelectronic properties of CdS thin film deposited by magnetron sputtering technique. Chin. J. Phys. 2020, 67, 170–179. [Google Scholar] [CrossRef]
- Sahraei, R.; Shahriyar, S.; Majles Ara, M.H.; Daneshfar, A.; Shokri, N. Preparation of nanocrystalline CdS thin films by a new chemical bath deposition route for application in solar cells as antireflection coatings. Prog. Color Color. Coat. 2011, 3, 82–90. [Google Scholar] [CrossRef]
- Baltakesmez, A.; Aykaç, C.; Güzeldir, B. Phase transition and changing properties of nanostructured V₂O₅ thin films deposited by spray pyrolysis technique, as a function of tungsten dopant. Appl. Phys. A 2019, 125, 1–18. [Google Scholar] [CrossRef]
- Bintari, P.L.; Purwanto, H.; Marzuki, A. Characterization of soda-lime glass with aluminum doping as a planar wave guide using electric-field-assisted solid-state ion exchange method. J. Phys. Conf. Ser. 2019, 1153, 012084. [Google Scholar] [CrossRef]
- Lee, J.H.; Park, B.O. Transparent conducting ZnO: Al, In and Sn thin films deposited by the sol–gel method. Thin Solid Film. 2003, 426, 94–99. [Google Scholar] [CrossRef]
- Tsay, C.Y.; Cheng, H.C.; Tung, Y.T.; Tuan, W.H.; Lin, C.K. Effect of Sn-doped on microstructural and optical properties of ZnO thin films deposited by sol–gel method. Thin Solid Film. 2008, 517, 1032–1036. [Google Scholar] [CrossRef]
- Petrus, R.Y.; Ilchuk, H.A.; Kashuba, A.I.; Semkiv, I.V.; Zmiiovska, E.O.; Honchar, F.M. Optical properties of CdS thin films. J. Appl. Spectrosc. 2020, 87, 35–40. [Google Scholar] [CrossRef]
- Suresh, S.; Arunseshan, C. Dielectric properties of cadmium selenide (CdSe) nanoparticles synthesized by sol-vothermal method. Appl. Nanosci. 2014, 4, 179–184. [Google Scholar] [CrossRef]















| Precursors Line: Merck Group, Sigma-Aldrich, Burlington, MA, USA. | Molar Concentration |
|---|---|
| Cadmium chloride/CdCl2 ≥ 99.99% | 0.05 M |
| Sodium citrate/C6H7Na3O7•2H2O ≥ 99.0% | 0.5 M |
| Potassium hydroxide/KOH ≥ 85% pellets | 0.3 M |
| Buffer Solution pH 10.00 | - |
| Thiourea/CS(NH2) ≥ 99.0% | 0.5 M |
| Silver nitrate/AgNO3 ≥ 99.85% | 0.25 mM, 0.5 mM y 1 mM |
| Samples | 1LO Mode | 2LO Mode | ||||
|---|---|---|---|---|---|---|
| Raman Shift ±0.01 (cm−1) | FWHM ±0.01 (cm−1) | Raman Shift ±0.01 (cm−1) | FWHM ±0.01 (cm−1) | |||
| CdS | 296.65 | 77.24 | 595.33 | 95.47 | 0.98 | 1.02 |
| CdS:Ag 0.25 mM | 302.43 | 85.75 | 599.06 | 115.46 | 1.42 | 0.70 |
| CdS:Ag 0.5 mM | 303.40 | 113.78 | 600.40 | 107.09 | 1.32 | 0.75 |
| CdS:Ag 1 mM | – | – | 601.75 | 143.96 | – | – |
| Sample | Dep. Time ± 0.1 (min) | Dep. Temperature ± 0.1 (°C) | Crystallite Size (D) (nm) | Quality Factor (Q) | Thickness ± 0.1 (nm) | Eg (eV) |
|---|---|---|---|---|---|---|
| CdS | 15.0 | 60.0 | 22.33 ± 0.42 | 1.02 | 46.0 | 2.267 ± 0.007 |
| CdS:Ag 0.25 mM | 15.0 | 60.0 | 10.29 ± 0.28 | 0.70 | 21.0 | 2.327 ± 0.011 |
| CdS:Ag 0.5 mM | 15.0 | 60.0 | 10.86 ± 0.09 | 0.75 | 21.0 | 2.339 ± 0.007 |
| CdS:Ag 1 mM | 15.0 | 60.0 | 17.28 ± 0.23 | - | 21.0 | 2.353 ± 0.005 |
Disclaimer/Publisher’s Note: The statements, opinions and data contained in all publications are solely those of the individual author(s) and contributor(s) and not of MDPI and/or the editor(s). MDPI and/or the editor(s) disclaim responsibility for any injury to people or property resulting from any ideas, methods, instructions or products referred to in the content. |
© 2025 by the authors. Licensee MDPI, Basel, Switzerland. This article is an open access article distributed under the terms and conditions of the Creative Commons Attribution (CC BY) license (https://creativecommons.org/licenses/by/4.0/).
Share and Cite
Molina-Jiménez, J.P.; Horta-Piñeres, S.D.; Castillo, S.J.; Izquierdo, J.L.; Avila, D.A. Ultra-Thin Films of CdS Doped with Silver: Synthesis and Modification of Optical, Structural, and Morphological Properties by the Doping Concentration Effect. Coatings 2025, 15, 431. https://doi.org/10.3390/coatings15040431
Molina-Jiménez JP, Horta-Piñeres SD, Castillo SJ, Izquierdo JL, Avila DA. Ultra-Thin Films of CdS Doped with Silver: Synthesis and Modification of Optical, Structural, and Morphological Properties by the Doping Concentration Effect. Coatings. 2025; 15(4):431. https://doi.org/10.3390/coatings15040431
Chicago/Turabian StyleMolina-Jiménez, Juan P., Sindi D. Horta-Piñeres, S. J. Castillo, J. L. Izquierdo, and D. A. Avila. 2025. "Ultra-Thin Films of CdS Doped with Silver: Synthesis and Modification of Optical, Structural, and Morphological Properties by the Doping Concentration Effect" Coatings 15, no. 4: 431. https://doi.org/10.3390/coatings15040431
APA StyleMolina-Jiménez, J. P., Horta-Piñeres, S. D., Castillo, S. J., Izquierdo, J. L., & Avila, D. A. (2025). Ultra-Thin Films of CdS Doped with Silver: Synthesis and Modification of Optical, Structural, and Morphological Properties by the Doping Concentration Effect. Coatings, 15(4), 431. https://doi.org/10.3390/coatings15040431

