Glutamate- and Tartrate-Based Inhibitor Films to Prevent Chloride-Induced Corrosion in Reinforced Concrete: Efficiency of Dry or Hydrated Films via Molecular Dynamics Simulations
Abstract
1. Introduction
2. Materials and Methods
3. Results and Discussion
3.1. Interaction Between Chloride Ions and Dry or Hydrated Glutamate-Based Passive Film
3.1.1. Dry Glutamate-Based Passive Film
3.1.2. Hydrated Glutamate-Based Passive Film
3.2. Interaction Bewteen Chloride Ions and Dry or Hydrated Tartrate-Based Passive Film
3.2.1. Dry Tartrate-Based Passive Film
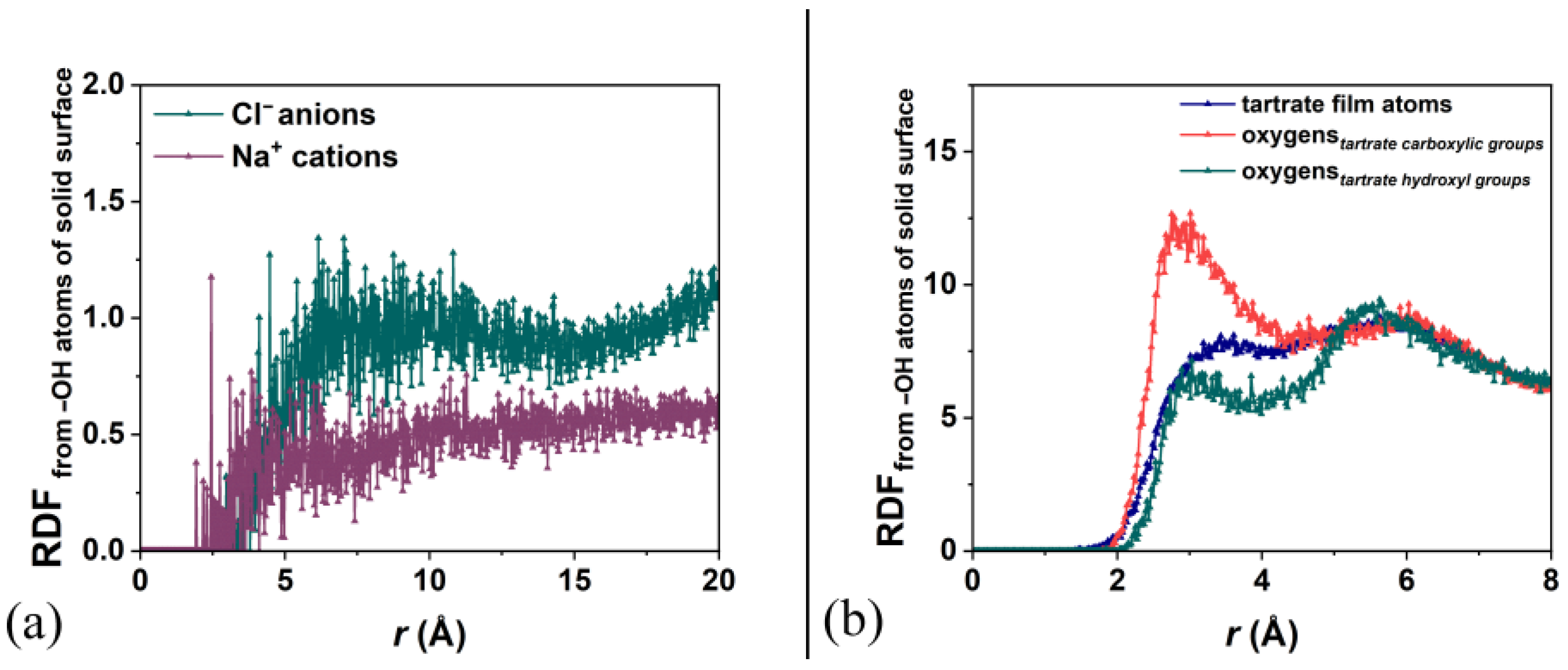
3.2.2. Hydrated Tartrate-Based Passive Film
3.3. Comparison of Theoretical Results with Electrochemical Evaluation
4. Conclusions
Supplementary Materials
Author Contributions
Funding
Institutional Review Board Statement
Informed Consent Statement
Data Availability Statement
Acknowledgments
Conflicts of Interest
Abbreviations
| Ta | Sodium Tartrate |
| Glu | Sodium Glutamate |
| MM | Molecular Mechanics |
| MD | Molecular Dynamics |
| NVT ensemble | Number of particles, Volume and Temperature are constant |
| c.o.m. | center of mass |
References
- Bertolini, L.; Elsener, B.; Redaelli, E.; Pedeferri, P.; Polder, R. Corrosion of Steel in Concrete: Prevention, Diagnosis, Repair, 2nd ed.; Wiley: Weinheim, Germany, 2013. [Google Scholar]
- Pillay, D.L.; Olalusi, O.; Awoyera, P.O.; Rondon, C.; Echeverría, A.M.; Kolawole, J.T. A Review of the Engineering Properties of Metakaolin Based Concrete: Towards Combatting Chloride Attack in Coastal/Marine Structures. Adv. Civ. Eng. 2020, 2020, 8880974. [Google Scholar] [CrossRef]
- Sasanipour, H.; Aslani, F. Durability properties evaluation of self-compacting concrete prepared with waste fine and coarse recycled concrete aggregates. Constr. Build. Mater. 2020, 236, 117540. [Google Scholar] [CrossRef]
- Wang, X.; Liu, J.; Jin, Z.; Chen, F.; Zhong, P.; Zhang, L. Real-time strain monitoring of reinforced concrete under the attacks of sulphate and chloride ions based on XCT and DIC methods. Cem. Concr. Compos. 2021, 125, 104314. [Google Scholar] [CrossRef]
- Han, X.; Frangopol, D.M. Life-cycle connectivity-based maintenance strategy for bridge networks subjected to corrosion considering correlation of bridge resistances. Struct. Infrastruct. Eng. 2022, 18, 1614–1637. [Google Scholar] [CrossRef]
- Lollini, F.; Carsana, M.; Gastaldi, M.; Redaelli, E. Corrosion behaviour of stainless steel reinforcement in concrete. Corros. Rev. 2019, 37, 3–19. [Google Scholar] [CrossRef]
- Chung, D.D.L. Corrosion control of steel-reinforced concrete. J. Mater. Eng. Perform. 2000, 9, 585–588. [Google Scholar] [CrossRef]
- Bertolini, L.; Pedeferri, P.; Pastore, T.; Bazzoni, B.; Lazzari, L. Macrocell Effects on Potential Measurements in Concrete Cathodic Protection Systems. Corrosion 1996, 52, 552–557. [Google Scholar] [CrossRef]
- Lv, Y.; Niu, D.; Liu, X.; Lin, M.; Li, Y.-C. Corrosion Damage and Life Prediction of Concrete Structure in the Coking Ammonium Sulfate Workshop of Iron and Steel Industry. Sci. Rep. 2023, 13, 2826. [Google Scholar] [CrossRef] [PubMed]
- Goyal, A.; Pouya, H.S.; Ganjian, E.; Claisse, P. A Review of Corrosion and Protection of Steel in Concrete. Arab. J. Sci. Eng. 2018, 43, 5035–5055. [Google Scholar]
- Hu, J.Y.; Zhang, S.S.; Chen, E.; Li, W. A review on corrosion detection and protection of existing reinforced concrete (RC) structures. Constr. Build. Mater. 2022, 325, 126718. [Google Scholar] [CrossRef]
- Salleh, S.Z.; Yusoff, A.H.; Zakaria, S.K.; Taib, M.A.A.; Abu, S.A.; Masri, M.N.; Mohamad, M.; Mamat, S.; Sobri, S.A.; Ali, A.; et al. Plant extracts as green corrosion inhibitor for ferrous metal alloys: A review. J. Clean. Prod. 2021, 304, 127030. [Google Scholar] [CrossRef]
- Wang, J.; Wang, Q.; Zhao, Y.; Li, P.; Ji, T.; Zou, G.; Qiao, Y.; Zhou, Z.; Wang, G.; Song, D. Research Progress of Macrocell Corrosion of Steel Rebar in Concrete. Coatings 2023, 13, 853. [Google Scholar] [CrossRef]
- Chen, L.; Su, R.K.L. Service life modelling of carbonated reinforced concrete with supplementary cementitious materials considering early corrosion propagation. Constr. Build. Mater. 2024, 413, 134861. [Google Scholar] [CrossRef]
- Wang, Y.; Wharton, J.A.; Shenoi, R.A. Ultimate strength analysis of aged steel-plated structures exposed to marine corrosion damage: A review. Corros. Sci. 2014, 86, 42–60. [Google Scholar] [CrossRef]
- Ann, K.Y.; Song, H.-W. Chloride threshold level for corrosion of steel in concrete. Corros. Sci. 2007, 49, 4113–4133. [Google Scholar] [CrossRef]
- Tian, Y.; Zhang, G.; Ye, H.; Zeng, Q.; Zhang, Z.; Tian, Z.; Jin, X.; Jin, N.; Chen, Z.; Wang, J. Corrosion of steel rebar in concrete induced by chloride ions under natural environments. Constr. Build. Mater. 2023, 369, 130504. [Google Scholar] [CrossRef]
- Yilmaz, D.; Rossi, E.; Angst, U. Assessment of corrosion attack morphology on reinforced concrete structures exposed to chlorides. Struct. Concr. 2024, 1–18. [Google Scholar] [CrossRef]
- Muthulingam, S.; Rao, B.N. Non-uniform time-to-corrosion initiation in steel reinforced concrete under chloride environment. Corros. Sci. 2014, 82, 304–315. [Google Scholar] [CrossRef]
- Zhao, K.; Qiao, Y.; Zhang, P.; Bao, J.; Tian, Y. Experimental and numerical study on chloride transport in cement mortar during drying process. Constr. Build. Mater. 2020, 258, 119655. [Google Scholar] [CrossRef]
- Muthulingam, S.; Rao, B.N. Chloride binding and time-dependent surface chloride content models for fly ash concrete. Front. Struct. Civ. Eng. 2016, 10, 112–120. [Google Scholar] [CrossRef]
- Alexander, M.; Beushausen, H. Durability, service life prediction, and modelling for reinforced concrete structures–review and critique. Cem. Concr. Res. 2019, 122, 17–29. [Google Scholar] [CrossRef]
- Chang, H.; Wang, P.; Jin, Z.; Li, G.; Feng, P.; Ye, S.; Liu, J. Durability and Aesthetics of Architectural Concrete under Chloride Attack or Carbonation. Materials 2020, 13, 839. [Google Scholar] [CrossRef] [PubMed]
- Bolzoni, F.; Brenna, A.; Ormellese, M. Recent advances in the use of inhibitors to prevent chloride-induced corrosion in reinforced concrete. Cem. Concr. Res. 2022, 154, 106719. [Google Scholar] [CrossRef]
- Zhang, J.; Wang, M.; Zhou, X.; Yu, W.; Gao, Y.; Zhang, Y. Exploring the Emerging Evolution Trends of Probabilistic Service Life Prediction of Reinforced Concrete Structures in the Chloride Environment by Scientometric Analysis. Adv. Civ. Eng. 2021, 2021, 8883142. [Google Scholar] [CrossRef]
- Taffese, W.Z.; Sistonen, E. Machine learning for durability and service-life assessment of reinforced concrete structures: Recent advances and future directions. Autom. Constr. 2017, 77, 1–14. [Google Scholar] [CrossRef]
- Söylev, T.A.; Richardson, M.G. Corrosion Inhibitors for Steel in Concrete: State-of-the-Art Report. Constr. Build. Mater. 2008, 22, 609–622. [Google Scholar] [CrossRef]
- Radhamani, A.V.; Lau, H.C.; Ramakrishna, S. Nanocomposite coatings on steel for enhancing the corrosion resistance: A review. J. Compos. Mater. 2019, 54, 681–701. [Google Scholar] [CrossRef]
- Aydin, Ö.; Cizmeciglu, Z. Performance of organic and inorganic substances as inhibitors for chloride-induced corrosion in concrete. Mater Test 2015, 57, 85–90. [Google Scholar] [CrossRef]
- Shehnazdeep; Pradhan, B. A Study on Effectiveness of Inorganic and Organic Corrosion Inhibitors on Rebar Corrosion in Concrete: A Review. Mater. Today Proc. 2022, 65, 1360–1366. [Google Scholar] [CrossRef]
- Diamanti, M.V.; Rosales, E.A.P.; Raffaini, G.; Ganazzoli, F.; Brenna, A.; Pedeferri, M.; Ormellese, M. Molecular modelling and electrochemical evaluation of organic inhibitors in concrete. Corros. Sci. 2015, 100, 231–241. [Google Scholar] [CrossRef]
- Galliano, F.; Landolt, D. Evaluation of corrosion protection properties of additives for waterborne epoxy coatings on steel. Prog. Org. Coat. 2005, 53, 297–301. [Google Scholar] [CrossRef]
- To, T.X.H.; Truc, T.A.; Duong, N.T.; Pébère, N.; Olivier, M.-G. Layered double hydroxides as containers of inhibitors in organic coatings for corrosion protection of carbon steel. Prog. Org. Coat. 2012, 74, 343–348. [Google Scholar]
- Sathiyanarayanan, S.; Muthukrishnan, S.; Venkatachari, G.; Trivedi, D.C. Corrosion protection of steel by polyaniline (PANI) pigmented paint coating. Prog. Org. Coat. 2005, 53, 297–301. [Google Scholar] [CrossRef]
- Li, H.; Zhang, Y.; Li, C.; Zhou, Z.; Nie, X.; Chen, Y.; Cao, H.; Liu, B.; Zhang, N.; Said, Z.; et al. Cutting fluid corrosion inhibitors from inorganic to organic: Progress and applications. Korean J. Chem. Eng. 2022, 39, 1107–1134. [Google Scholar] [CrossRef]
- López-León, L.D.; Juárez-Islas, M.A.; Bassam, A.; Pérez-Callejas, A.D.; Castaneda-Robles, I.E. Electrochemical Behavior of a Cactus Mucilage-Based Corrosion-Resistant Coating. Int. J. Electrochem. Sci. 2019, 14, 10016–10031. [Google Scholar] [CrossRef]
- Cui, L.; Xiang, T.; Hu, B.; Lv, Y.; Rong, H.; Liu, D.; Zhang, S.; Guo, M.; Lv, Z.; Chen, D. Design of monolithic superhydrophobic concrete with excellent anti-corrosion and self-cleaning properties. Colloids Surf. A Physicochem. Eng. 2024, 285, 133345. [Google Scholar] [CrossRef]
- Alvarez, L.X.; de Rincon, O.T.; Escribano, J.; Troconis, B.C.R. Organic compounds as corrosion inhibitors for reinforced concrete: A review. Corros. Rev. 2023, 41, 617–634. [Google Scholar] [CrossRef]
- Verma, C.; Olasunkanrni, L.O.; Ebenso, E.E.; Quraishi, M.A.; Obot, I.B. Adsorption Behavior of Glucosamine-Based, Pyrimidine-Fused Heterocycles as Green Corrosion Inhibitors for Mild Steel: Experimental and Theoretical Studies. J. Phys. Chem. C 2016, 120, 11598–11611. [Google Scholar] [CrossRef]
- Ahmed, M.A.; Amin, S.; Mohamed, A.A. Current and emerging trends of inorganic, organic and eco-friendly corrosion inhibitors. RSC Adv. 2024, 14, 31877–31920. [Google Scholar] [CrossRef]
- Miralrio, A.; Vázquez, A.E. Plant Extracts as Green Corrosion Inhibitors for Different Metal Surfaces and Corrosive Media: A Review. Processes 2020, 8, 942. [Google Scholar] [CrossRef]
- Casanova, L.; Ceriani, F.; Messinese, E.; Paterlini, L.; Beretta, S.; Bolzoni, F.M.; Brenna, A.; Diamanti, M.V.; Ormellese, M.; Pedeferri, M. Recent Advances in the Use of Green Corrosion Inhibitors to Prevent Chloride-Induced Corrosion in Reinforced Concrete. Materials 2023, 16, 7462. [Google Scholar] [CrossRef]
- Zhang, M. Davidian Involucrata Leaves Extract as Green Corrosion Inhibitor for Low Carbon Steel in Concrete Pore Solution Containing Chloride Ions. Int. J. Electrochem. Sci. 2021, 16, 21042. [Google Scholar] [CrossRef]
- Tong, Y.; Ye, J.; Wang, Q.; Zhang, H.; Yu, H.; Seibou, A.-O. Ethanolamines corrosion inhibition effect on steel rebar in simulated realkalized concrete environments. J. Asian Archit. Build. 2023, 22, 415–424. [Google Scholar] [CrossRef]
- Agrawal, H.; Patil, A.A.; Muhammad, S. Performance assessment of alko-amine corrosion inhibitors for use as an admixture in reinforced concrete structures: Experimental investigation and mechanism of action. J. Build. Eng. 2024, 95, 110266. [Google Scholar] [CrossRef]
- Saha, S.K.; Ghosh, P.; Hens, A.; Murmu, N.C.; Banerjee, P. Density functional theory and molecular dynamics simulation study on corrosion inhibition performance of mild steel by mercapto-quinoline Schiff base corrosion inhibitor. Phys. E Low-Dimens. Syst. Nanostruct. 2015, 66, 332–341. [Google Scholar] [CrossRef]
- Awad, M.K.; Mustafa, M.R.; Elnga, M.M.A. Computational simulation of the molecular structure of some triazoles as inhibitors for the corrosion of metal surface. J. Mol. Struc.-Theochem. 2010, 959, 66–74. [Google Scholar] [CrossRef]
- Batah, A.; Al-Moubaraki, A.H.; Noor, E.A.; Al-Ahmari, J.M.; Al-Ghamdi, A.A.; El Mouden, O.; Salghi, R.; Chafiq, M.; Chaouiki, A.; Ko, Y.G. Environmentally Benign Grape Seed Oil for Corrosion Inhibition: Cutting-Edge Computational Modeling Techniques Revealing the Intermolecular and Intramolecular Synergistic Inhibition Action. Coatings 2024, 14, 77. [Google Scholar] [CrossRef]
- Tian, Y.; Bao, J.; Xie, D.; Wang, B.; Zhang, P.; Zhao, T.; Lei, D. The effects of organic corrosion inhibitor on concrete properties and frost resistance. J. Build. Eng. 2023, 65, 105762. [Google Scholar] [CrossRef]
- Verma, C.; Ebenso, E.; Bahadur, I.; Quraishi, M.A. An overview on plant extracts as environmental sustainable and green corrosion inhibitors for metals and alloys in aggressive corrosive media. J. Mol. Liq. 2018, 266, 577–590. [Google Scholar] [CrossRef]
- Bolzoni, F.; Goidanich, S.; Lazzari, L.; Ormellese, M. Corrosion inhibitors in reinforced concrete structures Part 2—Repair system. Corros. Eng. Sci. Technol. 2006, 41, 212–220. [Google Scholar] [CrossRef]
- Kobzar, Y.L.; Fatyeyeva, K. Ionic liquids as green and sustainable steel corrosion inhibitors: Recent developments. Chem. Eng. J. 2021, 425, 131480. [Google Scholar] [CrossRef]
- Verma, C.; Ebenso, E.E.; Quraishi, M.A. Ionic liquids as green and sustainable corrosion inhibitors for metals and alloys: An overview. J. Mol. Liq. 2017, 233, 403–414. [Google Scholar] [CrossRef]
- Kowsari, E.; Arman, S.Y.; Shahini, M.H.; Zandi, H.; Ehsani, A.; Naderi, R.; PourghasemiHanza, A.; Mehdipour, M. In situ synthesis, electrochemical and quantum chemical analysis of an amino acid-derived ionic liquid inhibitor for corrosion protection of mild steel in 1M HCl solution. Corros. Sci. 2016, 112, 73–85. [Google Scholar] [CrossRef]
- Chalah, L.; Talah, A.; Ghernouti, Y. Mechanical and Durability Properties of High-Performance Concrete Incorporating Fibers and Algerian Natural Pozzolans in Chloride Attack. Int. J. Eng. Technol. Innov. 2022, 12, 247–259. [Google Scholar] [CrossRef]
- Chen, Q.; Ma, R.; Li, H.; Jiang, Z.; Zhu, H.; Yan, Z. Effect of chloride attack on the bonded concrete system repaired by UHPC. Constr. Build. Mater. 2021, 272, 121971. [Google Scholar] [CrossRef]
- Verma, C.; Lgaz, H.; Verma, D.K.; Ebenso, E.E.; Bahadur, I.; Quraishi, M.A. Molecular dynamics and Monte Carlo simulations as powerful tools for study of interfacial adsorption behavior of corrosion inhibitors in aqueous phase: A review. J. Mol. Liq. 2018, 260, 99–120. [Google Scholar] [CrossRef]
- Bahraq, A.A.; Obot, I.B.; Al-Osta, M.A.; Ibrahim, M. Molecular simulations of anticorrosion behavior of inhibitors for steel in concrete: A review on recent advances and progress. Constr. Build. Mater. 2024, 412, 134808. [Google Scholar] [CrossRef]
- Raffaini, G.; Catauro, M.; Ganazzoli, F.; Bolzoni, F.; Ormellese, M. Hydration of Triethylenetetramine Based Inhibitor Film Accelerate the Chloride-Induced Corrosion in Concrete: A Molecular Dynamics Study. Macromol. Symp. 2022, 404, 2100296. [Google Scholar] [CrossRef]
- Raffaini, G.; Catauro, M.; Ganazzoli, F.; Bolzoni, F.; Ormellese, M. Organic Inhibitors to Prevent Chloride-Induced Corrosion in Concrete: Atomistic Simulations of Triethylenetetramine-Based Inhibitor Film. Macromol. Symp. 2021, 395, 2000231. [Google Scholar] [CrossRef]
- Roua, A.; Hassani, A.A.E.; Fitri, A.; Benjelloun, A.T.; Benzakour, M.; Mcharfi, M.; Tanji, K. Adsorption studies of isoxazole derivatives as corrosion inhibitors for mild steel in 1M HCl solution: DFT studies and molecular dynamics simulation. J. Mol. Model. 2024, 30, 193. [Google Scholar] [CrossRef]
- Raffaini, G.; Bolzoni, F.; Ormellese, M. Benzoate-Based Inhibitor Film to Prevent Chloride-Induced Corrosion: Simulation Study of Efficiency of Dry or Hydrated Film. Macromol. Symp. 2024, 411, 2200165. [Google Scholar] [CrossRef]
- Rodríguez-Valdez, L.M.; Villamisar, W.; Casales, M.; González-Rodriguez, J.G.; Martínez-Villafañe, A.; Martinez, L.; Glossman-Mitnik, D. Computational simulations of the molecular structure and corrosion properties of amidoethyl, aminoethyl and hydroxyethyl imidazolines inhibitors. Corros. Sci. 2006, 48, 4053–4064. [Google Scholar] [CrossRef]
- Madkour, L.H.; Kaya, S.; Guo, L.; Kaya, C. Quantum chemical calculations, molecular dynamic (MD) simulations and experimental studies of using some azo dyes as corrosion inhibitors for iron. Part 2: Bis-azo dye derivatives. J. Mol. Struct. 2018, 1163, 397–417. [Google Scholar] [CrossRef]
- Zhang, X.-F.; Wang, N.; Li, X.-D.; Li, X.; Wang, C.-X. Molecular dynamics study of the corrosion protection improvement of superhydrophobic dodecyltrimethoxysilane film on mild steel. J. Mol. Graph. Model. 2023, 126, 108626. [Google Scholar] [CrossRef] [PubMed]
- Saraswat, V.; Yadav, M.; Obot, I.B. Investigations on eco-friendly corrosion inhibitors for mild steel in acid environment: Electrochemical, DFT and Monte Carlo Simulation approach. Colloids Surf. A Physicochem. Eng. 2020, 599, 124881. [Google Scholar] [CrossRef]
- Khvastin, M.A.; Stepanova, V.F.; Andreev, N.N.; Usanova, K.Y.; Baranov, A.O.; Kavkazskiy, V.N. Migrating corrosion inhibitor based on organic amines for protecting steel reinforcement in concrete. Int. J. Corros. Scale Inhib. 2024, 13, 1702–1714. [Google Scholar] [CrossRef]
- Kamaruzzaman, W.M.I.W.M.; Shaifudin, M.S.; Nasir, N.A.M.; Badruddin, M.A.; Yusof, N.; Adnan, A.; Aziz, N.A.; Nik, W.M.N.W.; Haque, J.; Murmu, M.; et al. Experimental, DFT and molecular dynamic simulation of Andrographis paniculata as corrosion inhibitor for mild steel in artificial seawater. Mater. Chem. Phys. 2023, 312, 128642. [Google Scholar] [CrossRef]
- Chen, L.; Shi, Y.; Xu, S.; Xiong, J.; Li, H.; Gao, F.; Zhang, S. Norfloxacin Skeleton-Included Dendritic Molecules as Corrosion Inhibitors on Mild Steel in Hydrochloric Acid: From Experiments to Molecular Dynamics Simulation. J. Electrochem. Soc. 2023, 170, 065503. [Google Scholar] [CrossRef]
- Ech-chebab, A.; Missioui, M.; Guo, L.; El Khouja, O.; Lachhab, R.; Kharbouch, O.; Galai, M.; Ouakki, M.; Ejbouh, A.; Dahmani, K.; et al. Evaluation of quinoxaline-2(1H)-one, derivatives as corrosion inhibitors for mild steel in 1.0 M acidic media: Electrochemistry, quantum calculations, dynamic simulations, and surface analysis. Chem. Phys. Lett. 2022, 809, 140156. [Google Scholar] [CrossRef]
- Belghiti, M.E.; Bouazama, S.; Echihi, S.; Mahsoune, A.; Elmelouky, A.; Dafali, A.; Emran, K.M.; Hammouti, B.; Tabyaoui, M. Understanding the adsorption of newly Benzylidene-aniline derivatives as a corrosion inhibitor for carbon steel in hydrochloric acid solution: Experimental, DFT and molecular dynamic simulation studies. Arab. J. Chem. 2020, 13, 1499–1519. [Google Scholar] [CrossRef]
- Materials Studio 7.0 BIOVIA; Discovery Studio 2020 BIOVIA. Accelrys Inc. InsightII 2000; Accelrys Inc.: San Diego, CA, USA, 2000; Available online: http://www.accelrys.com (accessed on 12 December 2024).
- Berman, H.M.; Westbrook, J.; Feng, Z.; Gilliland, G.; Bhat, T.N.; Weissig, H.; Shindyalov, I.N.; Bourne, P.E. The Protein Data Bank. Nucleic Acids Res. 2000, 28, 235–242. [Google Scholar] [CrossRef] [PubMed]
- Raffaini, G.; Ganazzoli, F. Surface hydration of polymeric (bio)materials: A molecular dynamics simulation study. J. Biomed. Mater. Res. A 2010, 92A, 1382–1391. [Google Scholar] [CrossRef] [PubMed]
- Raffaini, G. Adsorption and Self-Aggregation of Chiral [5]-Aza[6]helicenes on DNA Architecture: A Molecular Dynamics Study. J. Phys. Chem. B 2023, 127, 8285–8295. [Google Scholar] [CrossRef]










Disclaimer/Publisher’s Note: The statements, opinions and data contained in all publications are solely those of the individual author(s) and contributor(s) and not of MDPI and/or the editor(s). MDPI and/or the editor(s) disclaim responsibility for any injury to people or property resulting from any ideas, methods, instructions or products referred to in the content. |
© 2025 by the authors. Licensee MDPI, Basel, Switzerland. This article is an open access article distributed under the terms and conditions of the Creative Commons Attribution (CC BY) license (https://creativecommons.org/licenses/by/4.0/).
Share and Cite
Raffaini, G.; Catauro, M.; Bolzoni, F.; Ormellese, M. Glutamate- and Tartrate-Based Inhibitor Films to Prevent Chloride-Induced Corrosion in Reinforced Concrete: Efficiency of Dry or Hydrated Films via Molecular Dynamics Simulations. Coatings 2025, 15, 37. https://doi.org/10.3390/coatings15010037
Raffaini G, Catauro M, Bolzoni F, Ormellese M. Glutamate- and Tartrate-Based Inhibitor Films to Prevent Chloride-Induced Corrosion in Reinforced Concrete: Efficiency of Dry or Hydrated Films via Molecular Dynamics Simulations. Coatings. 2025; 15(1):37. https://doi.org/10.3390/coatings15010037
Chicago/Turabian StyleRaffaini, Giuseppina, Michelina Catauro, Fabio Bolzoni, and Marco Ormellese. 2025. "Glutamate- and Tartrate-Based Inhibitor Films to Prevent Chloride-Induced Corrosion in Reinforced Concrete: Efficiency of Dry or Hydrated Films via Molecular Dynamics Simulations" Coatings 15, no. 1: 37. https://doi.org/10.3390/coatings15010037
APA StyleRaffaini, G., Catauro, M., Bolzoni, F., & Ormellese, M. (2025). Glutamate- and Tartrate-Based Inhibitor Films to Prevent Chloride-Induced Corrosion in Reinforced Concrete: Efficiency of Dry or Hydrated Films via Molecular Dynamics Simulations. Coatings, 15(1), 37. https://doi.org/10.3390/coatings15010037

