Microstructure and Properties of CoCrFeNiMnTix High-Entropy Alloy Coated by Laser Cladding
Abstract
1. Introduction
2. Materials and Procedures
2.1. Experiment Materials
2.2. Experiment Method
3. Results and Discussion
3.1. Cladding Coating Morphology Analysis
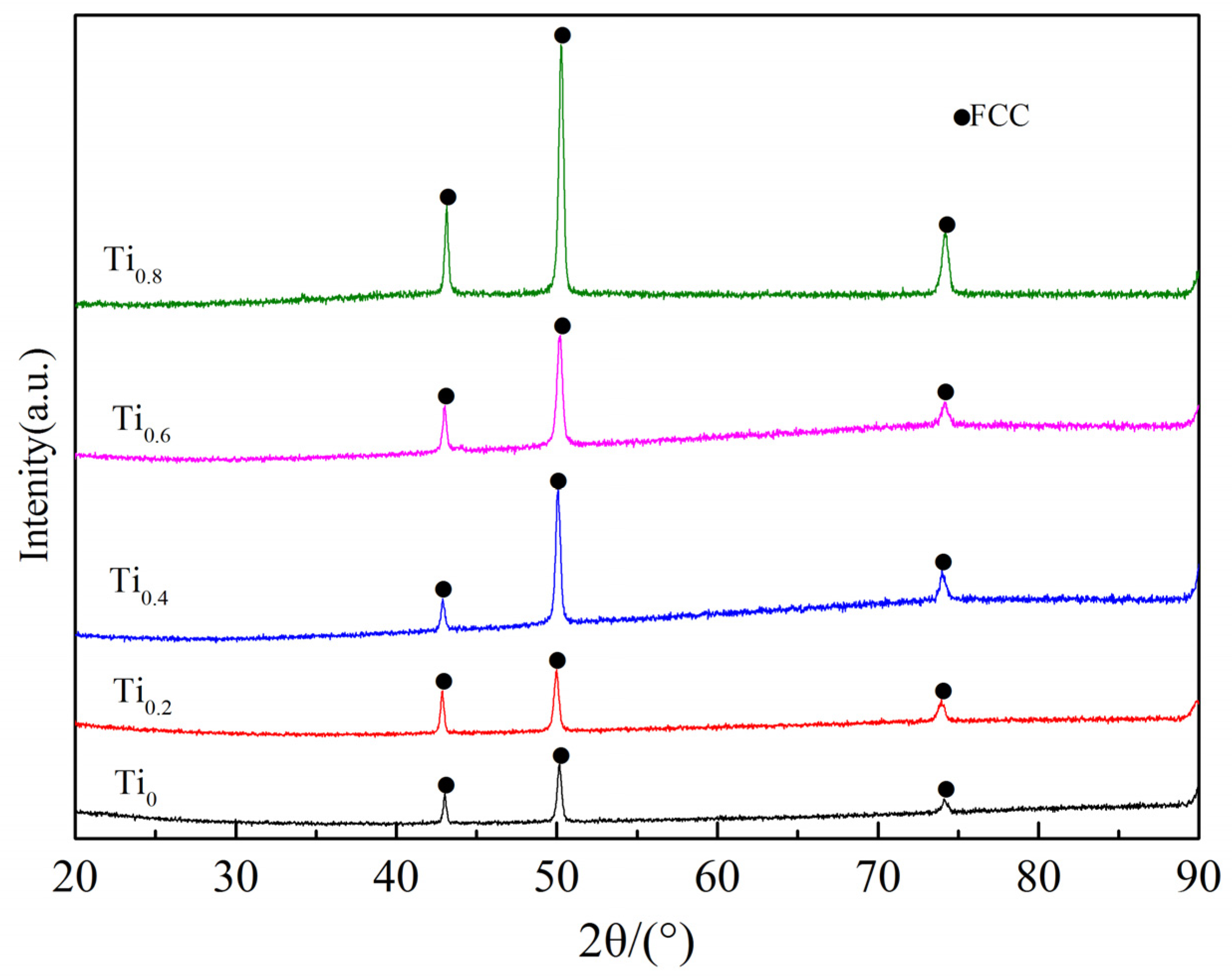
3.2. Phase Analysis
3.3. Microstructural Morphology and Structural Analysis
3.4. Microhardness Analysis
3.5. Friction and Wear Performance
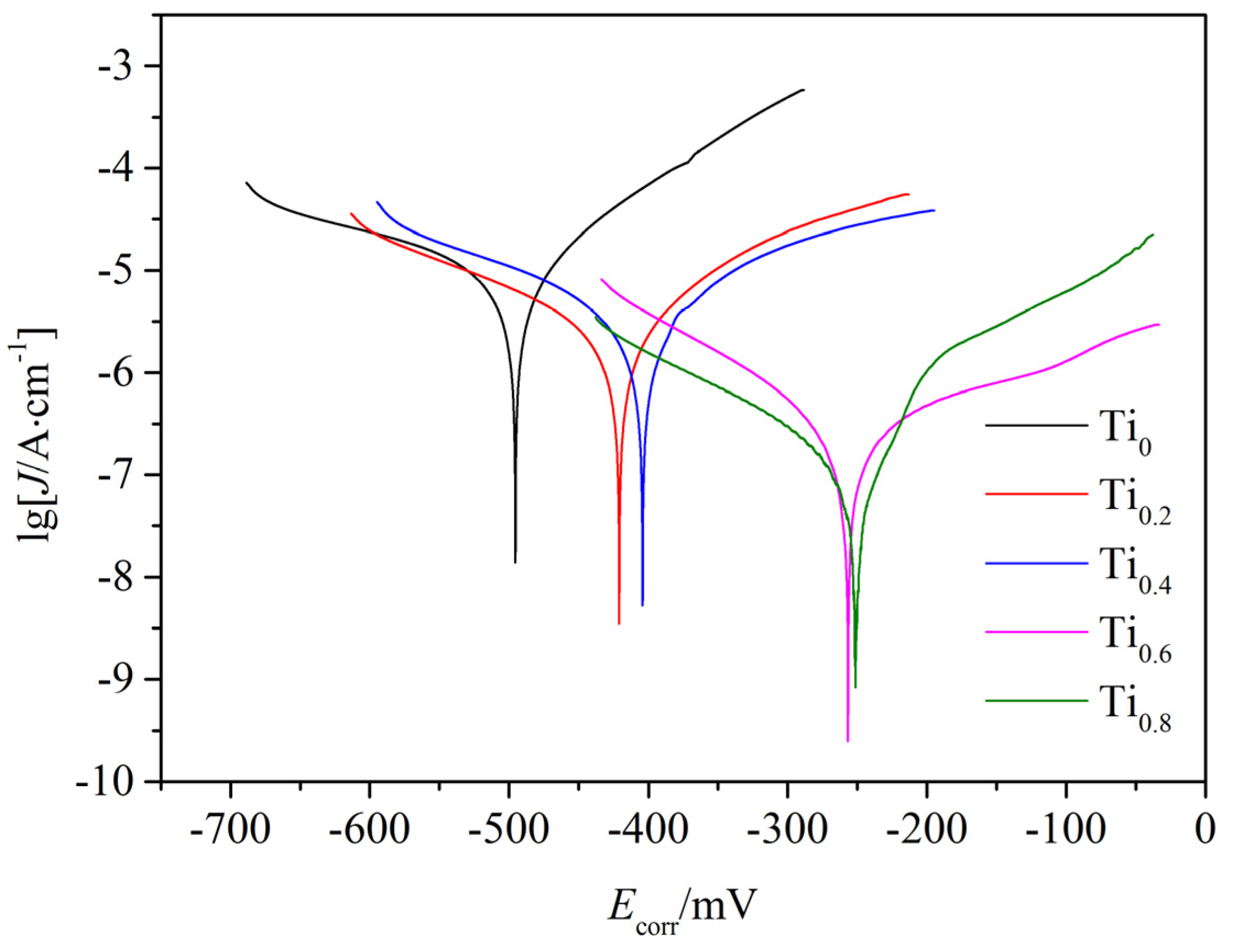
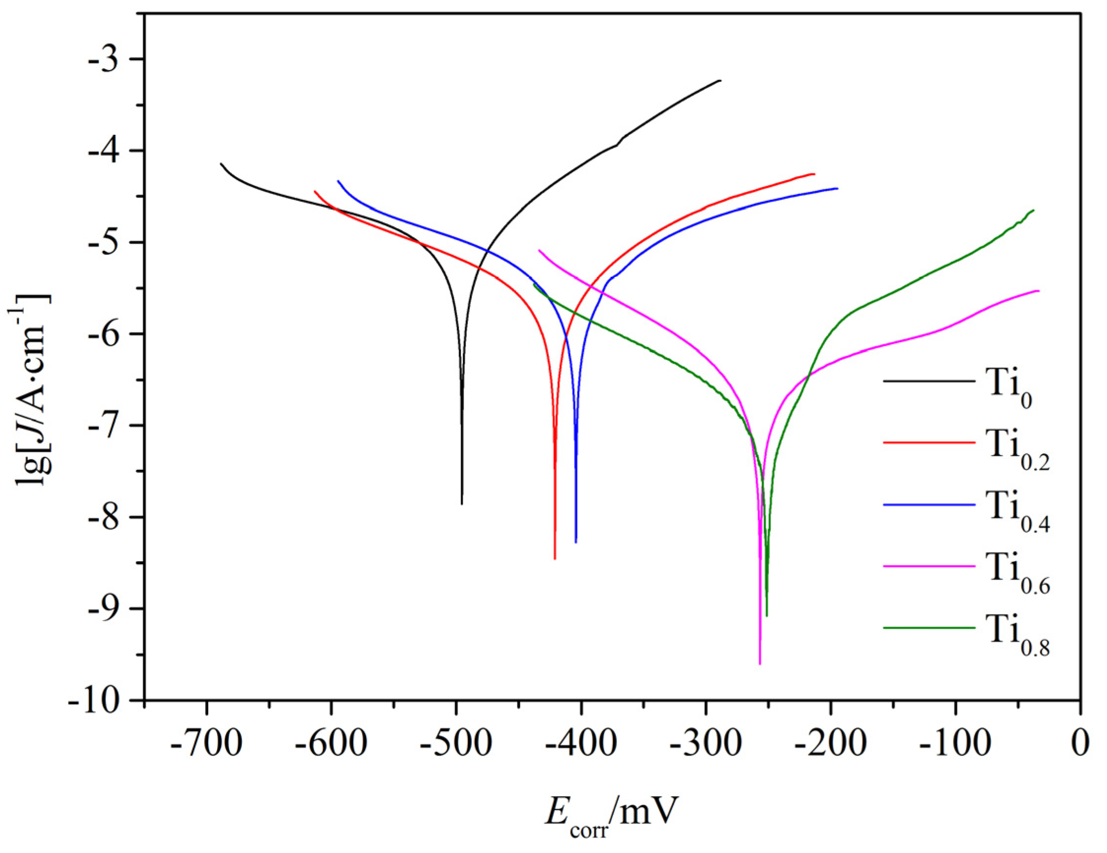
3.6. Corrosion Resistance Analysis
4. Conclusions
Author Contributions
Funding
Institutional Review Board Statement
Informed Consent Statement
Data Availability Statement
Conflicts of Interest
References
- Jiang, W.; Zhang, C.Y.; Gu, Q.M.; Xu, K.; Zhu, H.; Cao, Z.H. Tribological properties of micro-pit texture generated by composite processing. Lubr. Eng. 2019, 44, 85–89. [Google Scholar]
- Liu, Q.S.; Liu, X.B.; Wang, G.; Liu, Y.F.; Meng, Y.; Zhang, S.H. Effect of Cu content on microstructure evolution and tribological behaviors of Ni60 composite coatings on 45# steel by laser cladding. Opt. Laser Technol. 2022, 156, 108549. [Google Scholar]
- Huang, G.K.; Qu, L.D.; Lu, Y.Z.; Wang, Y.Z.; Li, H.G. Corrosion resistance improvement of 45 steel by Fe-based amorphous coating. Vacuum 2018, 153, 39–42. [Google Scholar] [CrossRef]
- Liu, H.X.; Wang, C.Q.; Zhang, X.W.; Jiang, Y.H.; Cai, C.X.; Tang, S.J. Improving the corrosion resistance and mechanical property of 45 steel surface by laser cladding with Ni60CuMoW alloy powder. Surf. Coat. Technol. 2013, 228, S296–S300. [Google Scholar] [CrossRef]
- Chong, Z.Z.; Sun, Y.N.; Cheng, W.J.; Han, C.Y.; Huang, L.F.; Su, C.J. Enhanced wear and corrosion resistances of AlCoCrFeNi high-entropy alloy coatings via high-speed laser cladding. Mater. Today Commun. 2022, 33, 104417. [Google Scholar] [CrossRef]
- Ma, S.B.; Xia, Z.W.; Xu, Y.; Shi, H.R.; Wang, X.; Zheng, Y. Microstructure and abrasion resistance of In-situ TiC particles reinforced Ni-based composite coating by laser cladding. J. Mater. Eng. 2017, 45, 24–30. [Google Scholar]
- Li, Y.F.; Shi, Y. Effect of WC on microstructure, wear resistance and impact resistance of laser cladding layer. China Surf. Eng. 2021, 34, 104–113. [Google Scholar]
- Liu, H.F.; Su, H.J.; Shen, Z.L.; Zhao, D.; Liu, Y.; Guo, Y.N.; Guo, H.T.; Guo, M.; Xie, K.Y.; Zhang, J.; et al. One-step additive manufacturing and microstructure evolution of melt-grown Al2O3/GdAlO3/ZrO2 eutectic ceramics by laser directed energy deposition. J. Eur. Ceram. Soc. 2021, 41, 3547–3558. [Google Scholar] [CrossRef]
- Ning, J.S.; Lan, Q.; Zhu, L.D.; Xu, L.; Yang, Z.C.; Xu, P.H. Microstructure and mechanical properties of SiC-reinforced Inconel 718 composites fabricated by laser cladding. Surf. Coat. Technol. 2023, 463, 129514. [Google Scholar] [CrossRef]
- Yeh, J.W. High-entropy alloys: Overview. Encycl. Mater. Met. Alloys 2022, 2, 294–307. [Google Scholar]
- Han, C.Y.; Sun, Y.N.; Xu, Y.F.; Zhang, R.H.; Zhao, F.; Chen, L.N. Wear and corrosion properties of nano-TiC reinforced AlCoCrFeNi high entropy alloy prepared by laser cladding. Rare Met. Mater. Eng. 2022, 51, 607–614. [Google Scholar]
- Shen, Q.K.; Kong, X.D.; Chen, X.Z. Fabrication of bulk Al-Co-Cr-Fe-Ni high-entropy alloy using combined cable wire arc additive manufacturing (CCW-AAM): Microstructure and mechanical properties. J. Mater. Sci. Technol. 2021, 74, 136–142. [Google Scholar] [CrossRef]
- Zia, U.A.; Muhammad, Y.K.; Ehtsham, U.R.; Sibghat, U.; Muhammad, A.; Ali, T. A review on laser cladding of high-entropy alloys, their recent trends and potential applications. J. Manuf. Process. 2021, 68, 225–273. [Google Scholar]
- Jyoti, M.; Akash, V.; Pringal, P.; Harshad, N.; Satish, M. Wear, erosion and corrosion behavior of laser cladded high entropy alloy coatings—A review. Mater. Today Proc. 2021, 38, 2824–2829. [Google Scholar]
- Li, Y.Z.; Shi, Y. Microhardness, wear resistance, and corrosion resistance of AlxCrFeCoNiCu high-entropy alloy coatings on aluminum by laser cladding. Opt. Laser Technol. 2021, 134, 106632. [Google Scholar] [CrossRef]
- Cui, Y.; Shen, J.Q.; Sunusi, M.M.; Keping, G.; Hu, S.S. Wear resistance of FeCoCrNiMnAlx high-entropy alloy coatings at high temperature. Appl. Surf. Sci. 2020, 512, 145736. [Google Scholar] [CrossRef]
- Rakesh, B.N.; Sean, N.; Andre, M. Dry abrasive wear and solid particle erosion assessments of high entropy alloy coatings fabricated by cold spraying. Mater. Today Commun. 2023, 34, 105527. [Google Scholar]
- Yang, J.J.; Wang, C.L.; Zhang, L.C.; Wang, Z.J.; Liang, M.L.; Liu, C.; Liu, W.J.; Li, X.; Zhou, S.F.; Tan, H. Microstructure evolution and properties of Fe-Ni-Cr-Co-Mo-W high-entropy alloy coatings by plasma surface alloying technology. Surf. Coat. Technol. 2023, 467, 129732. [Google Scholar] [CrossRef]
- Jiang, M.M.; Sun, S.F.; Wang, J.; Wang, P.P.; Sun, X.Y.; Shao, J. Research progress in wear resistance of high entropy alloy coating prepared by laser cladding. J. Mater. Eng. 2022, 50, 18–32. [Google Scholar]
- Li, Z.; Morteza, T.; Pouria, T.; Isa, H.; Mohammad, J.T. Laser cladding of NiCrCoFeNbMox high-entropy alloy to increase resistance to corrosion of gas turbine blades. Vacuum 2024, 219, 112749. [Google Scholar] [CrossRef]
- Ma, S.B.; Su, B.B.; Wang, X.; Xia, Z.W.; Liu, J.; Xu, Y. Wear resistance of SiC/Ni composite coating based on laser cladding. J. Mater. Eng. 2016, 44, 77–82. [Google Scholar]
- Lv, T.Y.; Zou, W.K.; He, J.Q.; Ju, X.; Zheng, C.B. Study on the microstructure and properties of FeCoNiCrAl high-entropy alloy coating prepared by laser cladding-remelting. Coatings 2024, 14, 49. [Google Scholar] [CrossRef]
- Zhang, H.L.; Li, W.J.; Xu, H.H.; Chen, H.H.; Chen, L.; Zeng, J.S.; Ding, Z.B.; Guo, W.M.; Liu, B. Microstructure and corrosion behavior of laser cladding FeCoNiCrBSi based high-entropy alloy coatings. Coatings 2022, 12, 628. [Google Scholar] [CrossRef]
- Liu, Y.F.; Chang, T.; Liu, X.B.; Zhu, Y.; Wang, G.; Meng, Y.; Liang, J.; Xie, J.C. Research progress on tribological properties of high-entropy alloy coatings. Surf. Technol. 2021, 50, 156–169. [Google Scholar]
- Zhou, Z.J.; Jiang, F.L.; Song, P.F.; Yang, F.Z.; Wang, Y.L.; Yang, Y.; Liang, P. Advances in corrosion resistance of high entropy alloy coating prepared by laser cladding. Surf. Technol. 2021, 50, 257–270. [Google Scholar]
- Liu, J.; Liu, H.; Chen, P.J.; Hao, J.B. Microstructural characterization and corrosion behaviour of AlCoCrFeNiTix high-entropy alloy coatings fabricated by laser cladding. Surf. Coat. Technol. 2019, 361, 63–74. [Google Scholar] [CrossRef]
- Chen, B.; Li, X.M.; Tian, L.Y.; Jia, H.Y.; Li, H.; Li, Y. The CrFeNbTiMox refractory hihg-entropy alloy coating prepared on the 40Cr by laser cladding. J. Alloys Compd. 2023, 966, 171630. [Google Scholar] [CrossRef]
- Caner, B.; Fatih, Y.; Temel, V.; Tevfik, O.E. Effect of titanium on the structural, mechanical and surface properties of CoCrFeMnNiTix high entropy alloy fabricated by selective laser melting. Intermetallics 2024, 169, 108281. [Google Scholar]
- Zhang, Z.K.; Hua, K.; Cao, H.; Song, Y.Q.; Li, X.L.; Zhou, Q.; Wang, H.F. Microstructures and properties of FeCrAlMoSix high entropy alloy coatings prepared by laser cladding on a titanium alloy substrate. Surf. Coat. Technol. 2024, 478, 130437. [Google Scholar] [CrossRef]
- Sun, Z.L.; Zhang, M.Y.; Wang, G.Q.; Yang, X.F.; Wang, S.R. Wear and corrosion resistance analysis of FeCoNiTiAlx high-entropy alloy coating prepared by laser cladding. Coatings 2021, 11, 155. [Google Scholar] [CrossRef]
- Liu, Y.; Xu, Z.X.; Xu, G.J.; Chen, H.Y. Influence of Al addition on the microstructure and wear behavior of laser cladding FeCoCrNiAlx high-entropy alloy coatings. Coatings 2023, 13, 426. [Google Scholar] [CrossRef]
- Liu, H.; Gao, Q.; Gao, W.P.; Liu, X.B.; Hao, J.B.; Yang, H.F. High temperature tribological properties of CoCrFeNINbx high-entropy alloy coatings by laser cladding. Tribology 2021, 42, 1–20. [Google Scholar]
- Zuo, R.Y.; Sun, R.L.; Niu, W.; Hao, W.J.; Gu, M.; Li, X.L. Microstructure and properties of CoCrFeNiTix high entropy alloy coated by laser cladding. Surf. Technol. 2022, 51, 363–370. [Google Scholar]
- Wang, X.Y.; Liu, Q.; Ren, H.T.; Li, Z.; Xu, Q.; Huang, Y.B.; Guo, Y.M. Effects of Ti content on hardness and wear resistance of CoCrFeNiTi high-entropy alloy coatings. Surf. Technol. 2023, 52, 47–55. [Google Scholar]
- Xu, Y.K.; Li, Z.Y.; Liu, J.R.; Chen, Y.N.; Zhang, F.Y.; Wu, L.; Hao, J.M.; Liu, L. Micrstructure evolution and properties of laser cladding CoCrFeNiTiAlx high-entropy alloy coatings. Coatings 2020, 10, 373. [Google Scholar] [CrossRef]
- Liang, H.; Hou, J.X.; Jiang, L.; Cao, Z.Q. Microstructure and dry-sliding wear resistance of CoCrFeNiMoTix high entropy alloy coating produced by laser cladding. Coating 2024, 14, 221. [Google Scholar] [CrossRef]
- He, B.; Zhang, N.N.; Lin, D.Y.; Zhang, Y.; Dong, F.Y.; Li, D.Y. The phase evolution and property of FeCoCrNiAlTix high-entropy alloying coatings on Q235 laser cladding. Coatings 2017, 7, 157. [Google Scholar] [CrossRef]
- Daniela, Z.; Beate, H.; Isabella, G. Corrosion resistance of Cu-Zr-Al-Y and Zr-Cu-Ni-Al-Nb bulk metallic glasses. J. Alloys Compd. 2007, 434–435, 234–236. [Google Scholar]
- Varshney, P.; Mishra, R.S.; Kumar, N. Understanding the nature of passivation film formed during corrosion of Fe39Mn20Co20Cr15Si5Al1 high entropy alloy in 3.5 wt% NaCl solution. J. Alloys Compd. 2022, 904, 164100. [Google Scholar] [CrossRef]
- Kocks, U.F.; Meching, H. Physics and phenomenology of strain hardening: The FCC case. Prog. Mater. Sci. 2003, 48, 171–273. [Google Scholar] [CrossRef]
- Xu, Z.L.; Zhang, H.; Du, X.J.; He, Y.Z.; Luo, H.; Song, G.S.; Mao, L.; Zhou, T.W.; Wang, L.L. Corrosion resistance enhancement of CoCrFeMnNi high-entropy alloy fabricated by additive manufacturing. Corros. Sci. 2020, 177, 108954. [Google Scholar] [CrossRef]











| HEAs | Co | Cr | Fe | Ni | Mn | Ti |
|---|---|---|---|---|---|---|
| CoCrFeNiMnTi0.0 | 20.00 | 20.00 | 20.00 | 20.00 | 20.00 | 0.00 |
| CoCrFeNiMnTi0.2 | 19.23 | 19.23 | 19.23 | 19.23 | 19.23 | 3.85 |
| CoCrFeNiMnTi0.4 | 18.52 | 18.52 | 18.52 | 18.52 | 18.52 | 7.4 |
| CoCrFeNiMnTi0.6 | 17.86 | 17.86 | 17.86 | 17.86 | 17.86 | 10.7 |
| CoCrFeNiMnTi0.8 | 17.24 | 17.24 | 17.24 | 17.24 | 17.24 | 13.8 |
| Parameters | Data |
|---|---|
| Laser power | 1000 W |
| Scanning speed | 6 mm/s |
| laser beam diameter | 3 mm |
| Overlap rate | 40% |
| HEAs | Ecorr/mV | Jcorr/A·cm−2 |
|---|---|---|
| CoCrFeNiMnTi0.0 | −495 | 7.17 × 10−5 |
| CoCrFeNiMnTi0.2 | −421 | 3.55 × 10−5 |
| CoCrFeNiMnTi0.4 | −403 | 2.96 × 10−5 |
| CoCrFeNiMnTi0.6 | −256 | 8.03 × 10−6 |
| CoCrFeNiMnTi0.8 | −251 | 3.41 × 10−6 |
Disclaimer/Publisher’s Note: The statements, opinions and data contained in all publications are solely those of the individual author(s) and contributor(s) and not of MDPI and/or the editor(s). MDPI and/or the editor(s) disclaim responsibility for any injury to people or property resulting from any ideas, methods, instructions or products referred to in the content. |
© 2024 by the authors. Licensee MDPI, Basel, Switzerland. This article is an open access article distributed under the terms and conditions of the Creative Commons Attribution (CC BY) license (https://creativecommons.org/licenses/by/4.0/).
Share and Cite
Ma, S.; Zhang, C.; Li, L.; Yang, Y. Microstructure and Properties of CoCrFeNiMnTix High-Entropy Alloy Coated by Laser Cladding. Coatings 2024, 14, 620. https://doi.org/10.3390/coatings14050620
Ma S, Zhang C, Li L, Yang Y. Microstructure and Properties of CoCrFeNiMnTix High-Entropy Alloy Coated by Laser Cladding. Coatings. 2024; 14(5):620. https://doi.org/10.3390/coatings14050620
Chicago/Turabian StyleMa, Shibang, Congzheng Zhang, Liang Li, and Yinhai Yang. 2024. "Microstructure and Properties of CoCrFeNiMnTix High-Entropy Alloy Coated by Laser Cladding" Coatings 14, no. 5: 620. https://doi.org/10.3390/coatings14050620
APA StyleMa, S., Zhang, C., Li, L., & Yang, Y. (2024). Microstructure and Properties of CoCrFeNiMnTix High-Entropy Alloy Coated by Laser Cladding. Coatings, 14(5), 620. https://doi.org/10.3390/coatings14050620

