Research on the Corrosion Inhibition Behavior and Mechanism of 1-Hydroxy-1,1-ethyledine Disodium Phosphonate under an Iron Bacteria System
Abstract
1. Introduction
2. Materials and Methods
2.1. Materials
2.2. Experimental Devices
2.3. Detection Methods
3. Results
3.1. Corrosion Rate Text
3.2. IB Characteristics Analysis
3.3. Biofilm EPS and EPS Component Analysis
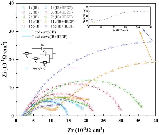
3.4. EIS Analysis
3.5. Potentiodynamic Polarization Curve Measurements
3.6. XPS Analysis
3.7. SEM Analysis
4. Discussion
5. Conclusions
- ◆
- First stage (1–3 days): Oxygen inhibits the activity of IRB, while HEDP promotes the activity of IOB, resulting in a decrease in the corrosion inhibition rate.
- ◆
- Second stage (3–7 days): HEDP inhibits the activity of IRB and stimulates the additional secretion of viscous EPS by IRB, thus enhancing the density of the biofilm, inhibiting the activity of IOB, and increasing the corrosion inhibition rate.
- ◆
- Third stage (7–11 days): Oxygen once again inhibits the activity of IRB, while HEDP continues to promote the activity of IOB. However, IRB still does not reduce Fe3+ in the environment. Gradually, the carbon steel interface transitions to predominantly chemically stable α-iron oxide, maintaining a stable corrosion inhibition rate.
- ◆
- Fourth stage (11–15 days): HEDP once again inhibits the activity of IRB and further suppresses the activity of IOB. Meanwhile, the carbon steel interface is already covered by α-iron oxide. This results in another increase in the corrosion inhibition rate.
Supplementary Materials
Author Contributions
Funding
Institutional Review Board Statement
Informed Consent Statement
Data Availability Statement
Acknowledgments
Conflicts of Interest
References
- Kokilaramani, S.; Al-Ansari, M.M. Microbial influenced corrosion of processing industry by re-circulating waste water and its control measures—A review. Chemosphere 2021, 265, 129075. [Google Scholar] [CrossRef] [PubMed]
- Chu, Y.; Xu, P. Corrosion behavior and interaction of mixed bacteria on carbon steel in reclaimed water. Sci. Total Environ. 2020, 718, 136679. [Google Scholar] [CrossRef] [PubMed]
- Zhang, Y.J.; Yao, L.F. Research on the influences of low-concentration phosphate in reclaimed water on the corrosion of carbon steel. Ind. Water Treat. 2016, 36, 69–72. [Google Scholar]
- Liu, S.; Wang, C. Simple spray method preparation of slow-release porous microcapsule for long-term active anti-corrosion and scale-inhibiting coatings. Prog. Org. Coat. 2022, 162, 106589. [Google Scholar] [CrossRef]
- Zhang, Q.; Shen, M. Construction and utilization of rare earth complexes as efficient corrosion inhibitor in epoxy coating. Prog. Org. Coat. 2024, 186, 108024. [Google Scholar] [CrossRef]
- Rajendran, S.; Apparao, B.V. Synergistic and biocidal effects of 1-hydroxyethane-1, 1-diphosphate, Zn2+ and polycrylamide on the inhibition of corrosion of mild steel in neutral aqueous environment. Anti-Corros. Methods Mater. 1998, 45, 256–261. [Google Scholar] [CrossRef]
- Agnesia, K.S.; Rajendran, S. Inhibitive Properties of Sodium tungstate-Zn2+ System and its Synergism with HEDP. Int. J. Electrochem. Sci. 2009, 4, 353–368. [Google Scholar] [CrossRef]
- Salasi, M.; Shahrabi, T. Effect of inhibitor concentration and hydrodynamic conditions on the inhibitive behaviour of combinations of sodium silicate and HEDP for corrosion control in carbon steel water transmission pipes. Anti-Corros. Methods Mater. 2007, 54, 82–92. [Google Scholar] [CrossRef]
- Shaw, S.S.; Sorbie, K.J. Synergistic Properties of Phosphonate and Polymeric Scale-Inhibitor Blends for Barium Sulfate Scale Inhibition. SPE Prod. Oper. 2015, 30, 16–25. [Google Scholar] [CrossRef]
- Wang, L.; Lu, S. Influence of synergistic effect of phosphate on corrosion resistance of self-assembled superhydrophobic composite film on 6061 aluminum alloy surfaces. J. Ind. Eng. Chem. 2023, 128, 335–345. [Google Scholar] [CrossRef]
- Giardino, L.; Savadori, P. Antimicrobial effectiveness of etidronate powder (Dual Rinse® HEDP) and two EDTA preparations against Enterococcus faecalis: A preliminary laboratory study of the article. Odontology 2020, 108, 396–405. [Google Scholar] [CrossRef]
- Alshanta, O.A.; Alqahtani, S. Comparison of three endodontic irrigant regimens against dual-species interkingdom biofilms: Considerations for maintaining the status quo. Antibiotics 2020, 9, 634. [Google Scholar] [CrossRef] [PubMed]
- Álvarez-Sagües, A.; Herce, N. Efficacy of EDTA and HEDP chelators in the removal of mature biofilm of enterococcus faecalis by PUI and XPF file activation. Dent. J. 2021, 9, 41. [Google Scholar] [CrossRef] [PubMed]
- Mannion, L.; Thomas, P. Inhibition of Phytophthora cinnamomi mycelial growth with stabilised hydrogen peroxide of the article. Australas. Plant Pathol. 2023, 52, 181–189. [Google Scholar] [CrossRef]
- Liang, R.; Li, J. Influence of inhibitors on the adhesion of SRB to the stainless steel in circulating cooling water. Colloids Surf. B Biointerfaces 2018, 172, 1–9. [Google Scholar] [CrossRef] [PubMed]
- Qi, Y.; Li, J. Chemical additives affect sulfate reducing bacteria biofilm properties adsorbed on stainless steel 316L surface in circulating cooling water system. Front. Environ. Sci. Eng. 2017, 11, 14. [Google Scholar] [CrossRef]
- Li, H.; Kang, Z. Enhanced inhibition of HEDP on SRB-mediated corrosion with D-phenylalanine. Environ. Res. 2023, 227, 115754. [Google Scholar] [CrossRef] [PubMed]
- Xu, C.M.; Zhang, J.R. Effect of D-amino Acids on Corrosion Behavior of Different Steels due to Mixed Bacteria. Chin. J. Mater. Res. 2023, 37, 924–932. [Google Scholar]
- Pi, Z.B.; Fan, Y.J. Electrochemical studies on carbon steel corrosion induced by mixed colonies. Corros. Sci. Prot. Technol. 2002, 14, 166–168. [Google Scholar]
- Liu, H.; Fu, C. Corrosion behavior of carbon steel in the presence of sulfate reducing bacteria and iron oxidizing bacteria cultured in oilfield produced water. Corros. Sci. 2015, 100, 484–495. [Google Scholar] [CrossRef]
- Lou, Y.; Chang, W. Microbiologically influenced corrosion inhibition mechanisms in corrosion protection: A review. Bioelectrochemistry 2021, 141, 107883. [Google Scholar] [CrossRef] [PubMed]
- Xu, X.; Liu, S. An overview on corrosion of iron and steel components in reclaimed water supply systems and the mechanisms involved. J. Clean. Prod. 2020, 276, 104079. [Google Scholar] [CrossRef]
- Sachan, R.; Singh, A.K. Comparison of microbial influenced corrosion in presence of iron oxidizing bacteria (strains DASEWM1 and DASEWM2). Constr. Build. Mater. 2020, 256, 119438. [Google Scholar] [CrossRef]
- Anandkumar, B.; George, R.P. Corrosion characteristics of sulfate-reducing bacteria (SRB) and the role of molecular biology in SRB studies: An overview. Corros. Rev. 2016, 34, 41–63. [Google Scholar] [CrossRef]
- Ma, Y.; Zhang, Y. Microbiologically influenced corrosion of marine steels within the interaction between steel and biofilms: A brief view. Appl. Microbiol. Biotechnol. 2019, 104, 515–525. [Google Scholar] [CrossRef] [PubMed]
- GB/T 699-2015; Quality Carbon Structure Steels. National Standardization Administration Committee: Beijing, China, 2015.
- GB/T 14643.6-2009; Examination of Bacteria and Algae in Industrial Circulating Cooling Water—Part 6: Examination of Iron Bacteria—MPN Test. National Standardization Administration Committee: Beijing, China, 2009.
- Sachan, R.; Singh, A.K. Study of Microbially Influenced Corrosion in the Presence of Iron-Oxidizing Bacteria (Strain DASEWM2). J. Bio-Tribo-Corros. 2020, 6, 109. [Google Scholar] [CrossRef]
- Kimbell, L.K.; LaMartina, E.L. Impact of corrosion inhibitors on antibiotic resistance, metal resistance, and microbial communities in drinking water. Msphere 2023, 8, e00307-23. [Google Scholar] [CrossRef] [PubMed]
- Koju, R.; Miao, S. Transcriptional and metabolic response against hydroxyethane-(1,1-bisphosphonic acid) on bacterial denitrification by a halophilic Pannonibacter sp. strain DN. Chemosphere 2020, 252, 126478. [Google Scholar] [CrossRef] [PubMed]
- Chitra, S.; Anand, B. A review on microbial mediated corrosion on mild steel by inactivating the extracellular polysaccharide secreted by aerobic/anaerobic microorganism. Chem. Sci. Rev. Lett. 2014, 3, 56–62. [Google Scholar]
- Zhang, Y.; Ma, H. Effects of substrate shock on extracellular polymeric substance (EPS) excretion and characteristics of attached biofilm anammox granules. RSC Adv. 2016, 6, 113289–113297. [Google Scholar] [CrossRef]
- Koju, R.; Miao, S. Effects of 1-hydroxyethane-(1,1-bisphosphonic acid) on heterotrophic denitrification performance: Impact of denitrifying microbial communities variation. Chem. Eng. J. 2020, 402, 126210. [Google Scholar] [CrossRef]
- Tan, Y.; Fu, L.Y. Research progress of the effects of extracellular polymeric substances EPS on wastewater treatment system. J. Environ. Eng. Technol. 2021, 11, 307–313. [Google Scholar]
- Zhao, J.L.; Sun, D. Effect of anodic polarization treatment on microbiologically influenced corrosion resistance of Cu-bearing stainless steel against marine Pseudomonas aeruginosa. Corros. Sci. 2022, 207, 110592. [Google Scholar] [CrossRef]
- Yu, B.; Wu, M. Analysis of electrochemical parameters and corroion rate model for steel rebar in concrete. Concrete 2015, 20–25. [Google Scholar] [CrossRef]
- Nie, X.H.; Du, C.W. Influence of temperature on the corrosion behavior and mechanism of Q235 steel in Dagang soil. J. Univ. Sci. Technol. Beijing 2009, 31, 48–53. [Google Scholar]
- Braun, V.; Hantke, K. Iron Uptake in Bacteria with Emphasis on E. coli and Pseudomonas; SpringerBriefs in Molecular Science; Springer: Dordrecht, The Netherlands, 2013; pp. 31–66. [Google Scholar]
- Tang, H.Y.; Yang, C. Stainless steel corrosion via direct iron-to-microbe electron transfer by Geobacter species. ISME J. 2021, 15, 3084–3093. [Google Scholar] [CrossRef] [PubMed]
- Yang, H.; Dong, C. Constructing nickel–iron oxyhydroxides integrated with iron oxides by microorganism corrosion for oxygen evolution. Proc. Natl. Acad. Sci. USA 2022, 119, e2202812119. [Google Scholar] [CrossRef] [PubMed]
- Kalajahi, S.T.; Rasekh, B. Corrosion behaviour of X60 steel in the presence of sulphate-reducing bacteria (SRB) and iron-reducing bacteria (IRB) in seawater. Corros. Eng. Sci. Technol. 2021, 56, 543–552. [Google Scholar] [CrossRef]
- Fox, E.M.; Mendz, G.L. Phosphonate degradation in microorganisms. Enzym. Microb. Technol. 2006, 40, 145–150. [Google Scholar] [CrossRef]
- Hernandez-Santana, A.; Kokbudak, H.N. The influence of iron-binding ligands in the corrosion of carbon steel driven by iron-reducing bacteria. npj Mater. Degrad. 2022, 6, 12. [Google Scholar] [CrossRef]
- Xu, P.; Zhao, M. Effect of chloride ions on the corrosion behavior of carbon steel in an iron bacteria system. RSC Adv. 2022, 12, 15158–15166. [Google Scholar] [CrossRef]
- Zhang, G.; Ge, J. Investigation of scale inhibition mechanisms based on the effect of scale inhibitor on calcium carbonate crystal forms. Sci. China Ser. B Chem. 2007, 50, 114–120. [Google Scholar] [CrossRef]
- Kamakshi, T.; Sunita, S.G. Effect of nickel dopant on structural, morphological and optical characteristics of Fe3O4 nanoparticles. Rasayan J. Chem. 2019, 12, 531–536. [Google Scholar] [CrossRef]
- Kooti, M.; Matturi, L.J. Microwave-Assisted Fabrication of γ-Fe2O3 Nanoparticles from Tris (acetylacetonato) Iron (III). Int. Nano Lett. 2011, 1, 38–42. [Google Scholar]
- Cui, Z.Y.; Ge, F. Corrosion Mechanism of Materials in Three Typical Harsh Marine Atmospheric Environments. J. Chin. Soc. Corros. Prot. 2022, 42, 403–409. [Google Scholar]
- Lemine, O.M. Microstructural characterisation of nanoparticles using, XRD line profiles analysis, FE-SEM and FT-IR. Superlattices Microstruct. 2009, 45, 576–582. [Google Scholar] [CrossRef]
- Nasrazadani, S.; Raman, A. Formation and Transformation of Magnetite (Fe3O4) on Steel Surfaces Under Continuous and Cyclic Water Fog Testing. Corrosion 1993, 49, 294–300. [Google Scholar] [CrossRef]
- Xiong, H.X.; Zhou, L.X. Synthesis of iron oxyhydroxides of different crystal forms and their roles in adsorption and removal of Cr(VI) from aqueous solutions. Acta Petrol. Mineral. 2008, 27, 559–566. [Google Scholar]
- Feng, C.M.; An, X.Y. Effects of Dissolved Organic Matter on Corrosion of Cast Iron Pipe for Reclaimed Water. Corros. Prot. 2018, 39, 571–575+581. [Google Scholar]
- Wang, Y.R.; Sun, H.L. Study on Microbiologically Influenced Corrosion Behavior of L360N Pipeline Steel with Coexistence of Condensate and Water for Tight Gas. Surf. Technol. 2023, 1–19. Available online: https://link.cnki.net/urlid/50.1083.TG.20231204.0927.002 (accessed on 16 April 2024).
- Lyu, M.X.; Li, Z.X. Formation, Function and Evolution of Biofilm in Microbiologically Influenced Corrosion. Surf. Technol. 2019, 48, 59–68. [Google Scholar]
- Wurzler, N.; Schutter, J.D. Abundance of Fe(III) during cultivation affects the microbiologically influenced corrosion (MIC) behaviour of iron reducing bacteria Shewanella putrefaciens. Corros. Sci. 2020, 174, 108855. [Google Scholar] [CrossRef]









| CaCl2 | Na2SO4 | NaHCO3 | NaNO3 | K2HPO4 | (NH4)2SO4 | pH | |
|---|---|---|---|---|---|---|---|
| Concentration (mg/L) | 693.7 | 340.2 | 619.6 | 60.0 | 7.0 | 10.0 | 7.9 |
| Time (d) | Rs (Ω·cm2) | Qb (F·cm2) | nb | Rb (Ω·cm2) | Qcs (F·cm2) | ncs | Rcs (Ω·cm2) |
|---|---|---|---|---|---|---|---|
| IB | |||||||
| 1 | 185.2 | - | - | - | 5.2 × 10−5 | 0.8315 | 2456 |
| 3 | 206.0 | 4.8 × 10−5 | 0.8812 | 445 | 7.2 × 10−3 | 0.8172 | 2035 |
| 7 | 258.6 | 5.1 × 10−4 | 0.7472 | 2237 | 4.7 × 10−3 | 0.9887 | 2857 |
| 11 | 293.2 | 8.7 × 10−4 | 0.7091 | 2742 | 1.3 × 10−4 | 1.0000 | 4462 |
| 15 | 274.5 | 1.5 × 10−3 | 0.6238 | 1236 | 1.0 × 10−3 | 1.0000 | 2924 |
| IB+HEDP | |||||||
| 1 | 190.0 | - | - | - | 4.8 × 10−4 | 0.7789 | 4032 |
| 3 | 188.2 | 2.4 × 10−5 | 0.7754 | 1087 | 8.2 × 10−4 | 0.8398 | 3687 |
| 7 | 257.4 | 3.1 × 10−4 | 0.9405 | 3213 | 8.6 × 10−5 | 0.8022 | 6751 |
| 11 | 287.6 | 1.9 × 10−6 | 0.8737 | 4042 | 3.1 × 10−6 | 0.6768 | 8230 |
| 15 | 304.1 | 1.4 × 10−6 | 0.8000 | 8643 | 5.4 × 10−7 | 0.8000 | 21,241 |
| Time (d) | Icorr (μA/cm2) | βa (mV/dec) | −βc (mV/dec) |
|---|---|---|---|
| IB | |||
| 1 | 6.779 | 87 | 176 |
| 3 | 7.622 | 121 | 209 |
| 7 | 4.495 | 104 | 220 |
| 11 | 3.808 | 105 | 242 |
| 15 | 5.562 | 80 | 233 |
| IB+HEDP | |||
| 1 | 2.321 | 99 | 326 |
| 3 | 3.401 | 119 | 376 |
| 7 | 1.936 | 113 | 447 |
| 11 | 1.352 | 144 | 342 |
| 15 | 0.892 | 325 | 354 |
| Time (d) | Fe (%) | O (%) | C (%) | N/S/P (%) |
|---|---|---|---|---|
| IB | ||||
| 3 | 22.71 | 46.22 | 30.97 | 0.10 |
| 7 | 25.22 | 45.93 | 28.85 | 0.00 |
| 11 | 29.62 | 45.40 | 26.25 | 0.12 |
| 15 | 27.14 | 45.78 | 26.80 | 0.28 |
| IB+HEDP | ||||
| 3 | 13.21 | 41.25 | 39.78 | 5.76 |
| 7 | 15.48 | 39.83 | 44.56 | 0.13 |
| 11 | 17.26 | 44.15 | 35.93 | 2.66 |
| 15 | 20.32 | 41.33 | 35.16 | 3.19 |
Disclaimer/Publisher’s Note: The statements, opinions and data contained in all publications are solely those of the individual author(s) and contributor(s) and not of MDPI and/or the editor(s). MDPI and/or the editor(s) disclaim responsibility for any injury to people or property resulting from any ideas, methods, instructions or products referred to in the content. |
© 2024 by the authors. Licensee MDPI, Basel, Switzerland. This article is an open access article distributed under the terms and conditions of the Creative Commons Attribution (CC BY) license (https://creativecommons.org/licenses/by/4.0/).
Share and Cite
Xu, P.; Zhao, Y.; Bai, P. Research on the Corrosion Inhibition Behavior and Mechanism of 1-Hydroxy-1,1-ethyledine Disodium Phosphonate under an Iron Bacteria System. Coatings 2024, 14, 580. https://doi.org/10.3390/coatings14050580
Xu P, Zhao Y, Bai P. Research on the Corrosion Inhibition Behavior and Mechanism of 1-Hydroxy-1,1-ethyledine Disodium Phosphonate under an Iron Bacteria System. Coatings. 2024; 14(5):580. https://doi.org/10.3390/coatings14050580
Chicago/Turabian StyleXu, Ping, Yuxuan Zhao, and Pengkai Bai. 2024. "Research on the Corrosion Inhibition Behavior and Mechanism of 1-Hydroxy-1,1-ethyledine Disodium Phosphonate under an Iron Bacteria System" Coatings 14, no. 5: 580. https://doi.org/10.3390/coatings14050580
APA StyleXu, P., Zhao, Y., & Bai, P. (2024). Research on the Corrosion Inhibition Behavior and Mechanism of 1-Hydroxy-1,1-ethyledine Disodium Phosphonate under an Iron Bacteria System. Coatings, 14(5), 580. https://doi.org/10.3390/coatings14050580
