Next Article in Journal
Evaluation and Characterization of Ultrasonic Cutting of Monofilament Nylon
Next Article in Special Issue
Preparation of Chitosan-Coated Toddalia asiatica (L.) Lam Extract Microcapsules and Its Effect on Coating Antibacterial Properties
Previous Article in Journal
The Tribological Properties of Plasma Electrolytic Oxidation Layers Synthesized on Arc Spray Coatings on Aluminum Alloys in Contact with Various Friction Materials
 
 
Font Type:
Arial Georgia Verdana
Font Size:
Aa Aa Aa
Line Spacing:
Column Width:
Background:
Article

Synthesis and Performance Evaluation of Bio-Sourced PO3G Ester Plasticizer in L-Polylactic Acid Thin Films

Green Preparation Technology of Biobased Materials National & Local Joint Engineering Research Center, Yunnan Minzu University, Kunming 650500, China
*
Authors to whom correspondence should be addressed.
Coatings 2024, 14(4), 461; https://doi.org/10.3390/coatings14040461
Submission received: 5 March 2024 / Revised: 2 April 2024 / Accepted: 8 April 2024 / Published: 11 April 2024

Abstract

This study aims to synthesize and evaluate the properties of bio-sourced poly(1,3-propanediol) laurate (PO3G-LA) as a plasticizer in the fabrication of poly(1,3-propanediol) laurate/L-polylactic acid (PO3G-LA/PLLA) thin films. Utilizing an esterification reaction between poly(1,3-propanediol) (PO3G) and lauric acid (LA), PO3G-LA is synthesized and incorporated into PLLA films via solution casting. Results demonstrate that PO3G-LA exhibits excellent compatibility with PLLA, markedly enhancing the toughness and slightly improving the thermal stability of the resulting films. Specifically, the addition of 20% PO3G-LA increases the elongation at the break of the films to 190%, indicating enhanced flexibility. Accelerated degradation experiments conducted at 60 °C revealed that the presence of PO3G-LA under neutral conditions had minimal impact on the degradation rate of the film samples. Conversely, variations in the PO3G-LA content of the films when exposed to acidic and alkaline conditions were found to influence their degradation rates.

1. Introduction

Polylactic acid (PLA) stands out among bio-based polyesters for its excellent thermal processability, optical properties, high modulus, environmental sustainability, and biocompatibility, making it a promising alternative to traditional plastics [1,2]. PLA finds extensive applications in the medical field, serving as an implant material, drug delivery system, and tissue engineering scaffold [3]. Its utility extends to commodity packaging, where its biodegradability and minimal environmental footprint offer a compelling substitute for traditional plastics [4]. Moreover, PLA’s potential in textiles is under exploration, driven by its biodegradability and capacity to mitigate the environmental footprint of textile manufacturing [5]. However, the inherent brittleness and low elongation at the break of PLA materials limit their broader applications [6,7].
Common modification strategies to mitigate these limitations include chemical copolymerization and physical blending [8,9,10]. Physical blending modification is presently the prevailing approach in industrial production [11]. An established technique involves incorporating plasticizers, which can diminish intermolecular forces among PLA molecules, thereby enhancing the material’s flexibility and processability [12,13]. Additives such as citrate esters [14], Ethyl triacetate (TAC) [15], and poly(1,2-propanediol) (PPG) have demonstrated efficacy in bolstering PLA’s ductility and flexibility [16]. Buong et al. [17] found that blending a small amount of polyethylene glycol (PEG)-200 with PLLA yielded no significant toughening effect, but the toughness improved noticeably when the PEG-200 content exceeded 10 wt% [18]. Chu et al. [19] explored the toughening impact of varying N-ethyl-p-toluenesulfonamide (N-PTSA) concentrations on PLA. Their findings revealed enhanced motility and flexibility of PLA molecular chains upon N-PTSA addition, alongside improved interfacial compatibility and reduced melt processing viscosity, thus leading to cost savings. Lin et al. [20] combined PCL, TBC, and sodium dodecylbenzenesulphonate (SDBS)-modified multi-walled carbon nanotubes (s-MWCNTs) with PLA, synergistically enhancing PLA toughness through PCL flexibility and TBC’s plasticizer effect, while s-MWCNTs acted as reinforcement. Hao et al. [21] utilized poly(diethylene glycol adipate) (PDEGA) as a plasticizer, finding that low molecular weight PDEGA (L-PDEGA) improved PLA’s elongation at break, while high molecular weight PDEGA (H-PDEGA) enhanced its impact strength. These studies underscore the efficacy of physical blending and specific additive incorporation as strategies to enhance the mechanical properties of PLA, thereby broadening its application potential.
Poly(1,3-propanediol) (PO3G), a novel fully bio-derived polyether developed by DuPont, exhibits superior compliance, mechanical properties, and thermal stability attributed to its elongated molecular chain. PO3G is synthesized through the condensation of 1,3-propanediol. 1,3-Propanediol can be produced via a bio-based method using biomass such as sugarcane or corn as feedstock through microbial fermentation [22,23,24]. Therefore, PO3G is a potential high-quality green plasticizer derived entirely from renewable sources [25,26]. PO3G has similar structural units to PEG and PPG, suggesting its potential as a plasticizer for polylactic acid (PLLA). Nonetheless, the terminal hydroxyl group in PO3G was anticipated to expedite the degradation of PLLA. In response, this study pursued the esterification of PO3G with lauric acid (LA), leading to the synthesis of a new PLLA plasticizer, poly(1,3-propanediol) laurate (PO3G-LA). PO3G-LA utilizes the renewable and biodegradable nature of its principal raw material, PO3G, and aligns with PLLA in environmental sustainability, presenting a green and natural copolymer that minimizes environmental impacts typically associated with plasticizers. The introduction of PO3G-LA into PLLA films significantly enhances their elongation at break, thermal stability, and crystallinity, positioning PO3G-LA as an innovative green plasticizer and a viable alternative to conventional plasticizers.

2. Experimental

2.1. Experimental Reagents

Materials used in this study include L-polylactic acid (PLLA, 4032D, Nature Works, Minnetonka, MN, USA), poly(1,3-propanediol) (PO3G, Mn = 2300, DuPont, Wilmington, NC, USA), lauric acid (LA, Chengdu Kelong Chemical Reagent Factory, Chengdu, China), 1,4-dioxane (Adamas Reagent Co., Shanghai, China), molybdenum trioxide (MoO3, Adamas Reagent Company, Shanghai, China), and dichloromethane (DCM, Damao Chemical Reagent Factory, Tianjin, China).

2.2. Experimental Apparatus

The equipment utilized encompasses a collector-type constant temperature heating magnetic stirrer (DF-101S, Gongyi Yuhua Instrument Co., Ltd., Gongyi, China); an electric blast drying oven (GZX-9240MBE, Bo Xun Industrial Co., Ltd., medical equipment factory, Shanghai, China); an electronic balance (FA2004, Koshihira Scientific Instrument Co., Ltd., Shanghai, China); a 1HNMR (400 MHz Bruker Avance II, Bruker, Billerica, MA, USA); a Fourier Transform Infrared Spectrum Analyzer (IS10, Nicolet Instrument Co., Ltd., Madison, WI, USA); an SEM (NOVA NANOSEM 450, FEI, Hillsboro, OR, USA); a Microcomputer Controlled Universal Tensile Tester (CMT4104, Chuangcheng Zhijia Science and Technology Co., Ltd., Beijing, China); a Thermogravimetric Analyzer (STA449F3, NETZSCH, Selb, Germany); and a Differential Scanning Calorimeter (2414Polyma, NETZSCH, Bavaria, Germany).

2.3. Preparation of PO3G-LA

In a 250 mL three-necked flask, 143.75 g of PO3G and 32 g of LA, along with 3.125 g of molybdenum trioxide, were combined. The flask was initially purged with dry nitrogen at room temperature for 15 min, then heated to 160 °C with uniform stirring under a nitrogen stream for a 6 h reaction period. Upon cooling to room temperature, an appropriate amount of dichloromethane was added to dissolve the reaction mixture. The catalyst molybdenum trioxide and any unreacted lauric acid were removed through filtration, performed five times to ensure thorough separation. Subsequently, excess water was eliminated via distillation under reduced pressure, yielding 152.85 g of a light yellow viscous liquid, identified as PO3G-LA. The synthesis route of PO3G-LA is illustrated in Figure 1.

2.4. PO3G-LA/PLLA Composite Film Blending Experiment with Different Ratios

For film preparation, a casting solution with a 20% mass fraction was created using dioxane as the solvent and PO3G-LA and PLLA as solutes. The mass fractions of PO3G-LA to PLLA varied at 0%, 5%, 10%, 15%, 20%, and 25%, resulting in composite films designated as PLLA, 5PO3G-LA/PLLA, 10PO3G-LA/PLLA, 15PO3G-LA/PLLA, 20PO3G-LA/PLLA, and 25PO3G-LA/PLLA. The composite material was dissolved in a three-necked flask to form a homogeneous, colorless, viscous liquid. This solution was then transferred to a conical flask.
A clean glass plate was prepared, and a measured amount of the solution was evenly spread across the glass plate’s surface using a 500 µm film scraper to form a thin film. The glass plate was left to air-dry in a fume hood for 6 h, followed by drying in a 60 °C oven for an additional 6 h. After oven drying, the film-coated glass plate was left in the oven at 60 °C for 24 more hours to ensure complete drying. The film was then removed, sealed, and stored for further analysis. The schematic diagram of PO3G-LA/PLLA film preparation is depicted in Figure 2.

2.5. Performance Testing and Structural Characterization

Nuclear magnetic resonance hydrogen spectroscopy test. Approximately 5 mg of PO3G, LA, and PO3G-LA were weighed using an analytical balance, dissolved in about 0.05 g of CDCL3, and then transferred to an NMR tube for analysis.
Fourier transform infrared spectroscopy (FTIR) Characterization. One mg each of PO3G, LA, PO3G-LA, as well as samples of PLLA and PO3G-LA/PLLA films with varying PO3G-LA contents (5%, 10%, 15%, 20%, 25%), were dissolved in a suitable amount of dichloromethane. These solutions were then applied to KBr plates—prepared by repeated milling and pressing of KBr powders—dried of solvent and scanned in the wavenumber range of 4000–400 cm−1 using FTIR.
Thermogravimetric analysis (TGA). TGA was employed to determine the thermal decomposition temperatures of the PO3G-LA/PLLA film samples with different PO3G-LA ratios. The experiments were conducted under a nitrogen gas flow, heating at a rate of 10 °C/min within the temperature range of 25–600 °C.
Differential scanning calorimetry (DSC) characterization. DSC analyzed the thermal behavior of the PO3G-LA/PLLA films across a temperature range of −40 °C to 190 °C, with a heating rate of 10 °C/min. The crystallinity of the films with various ratios was calculated using the following equation:
X c = Δ H m Δ H 0 × ω P L L A × 100 % ,
where Δ H m is the enthalpy of melting of the film sample, Δ H 0 is the enthalpy of crystallization for fully crystallized PLLA under ideal conditions (93.6 J/g), and ω is the mass fraction of PLLA in the film sample.
Mechanical performance test. The tensile strength and elongation at the break of the film samples were measured using an electronic universal testing machine. Specimens were prepared as rectangles measuring 50 × 20 mm and tested at a tensile rate of 10 mm/min, with the experiment conducted five times for each ratio of film samples to obtain average values.
Surface morphology characterization. The surface morphology of the films was examined under a scanning electron microscope (SEM). Five dry specimens were fixed on a sample stage using conductive adhesive and sputter-coated with gold for 30 s to enhance conductivity. Images of the surface structures were captured at consistent magnification levels using SEM.
Biodegradability test. Twenty-one square samples, each measuring 20 × 20 mm2, were prepared from PO3G-LA/PLLA films with varying PO3G-LA contents and subsequently dried under vacuum at 65 °C for 20 h to achieve a constant weight, which was recorded as m0. These samples were then placed into twenty-one sample bottles, each receiving 20 mL of a pre-prepared buffer solution at pH levels of 3.0, 7.0, and 11.0. The bottles were securely sealed and incubated in an oven set at 60 °C to undergo degradation experiments, with the buffer solutions being refreshed every 48 h over a 21-day degradation cycle.

3. Results and Analysis

3.1. Nuclear Magnetic Resonance Map Hydrogen Characterization of PO3G-LA

The 1H-NMR spectrum of LA reveals characteristic chemical shifts (Figure 3): 2.3 ppm for -CH2-(C=O)OH, 1.2 ppm and 1.32 ppm for -CH2-CH2-CH2-, and 1.6 ppm and 0.75 ppm for CH3-CH2-. In the PO3G spectrum, the peaks at 3.55 ppm, 3.4 ppm, and 1.8 ppm correspond to -CH2-OH, -CH2-CH2-O, and -CH2-CH2-CH2-, respectively. The integral areas of these peaks at 3.55 ppm, 3.4 ppm, and 1.8 ppm were 1, 19.67, and 39.11, respectively, allowing for the calculation of PO3G’s average degree of polymerization to be about 20, with a molecular weight (Mn) of 2300. The PO3G-LA profile exhibited a shift in the chemical shifts of 3.55 ppm and 3.6 ppm to a higher chemical shift at 4.1 ppm, with the 4.1 ppm peak corresponding to CH2-O(C=O)-. This shift indicates the completion of the esterification reaction between the hydroxyl group on PO3G and lauric acid, signifying the formation of PO3G-LA.

3.2. Fourier Infrared Spectroscopic Characterization of PO3G-LA, PO3G-LA/PLLA Films

Figure 4 illustrates the FTIR analysis, where the peak at 2924 cm−1 in the LA spectrum is identified as the stretching vibration of C-H, and the peak at 1687 cm−1 corresponds to the C=O stretching vibration. In the PO3G spectrum, the 1121 cm−1 peak is attributed to the C-O stretching vibration. Notably, in the PO3G-LA spectra, the C=O stretching vibration shifts to 1732 cm−1, altering the carboxylate absorption peak seen at 1687 cm−1 in LA’s spectrum, confirming the occurrence of an esterification reaction.
Figure 5 displays the FTIR spectra of PO3G-LA/PLLA composite films and those of pure PLLA films. The spectra of the composite films closely mirror those of PLLA without the emergence of new characteristic peaks or the disappearance of existing ones, aside from variations in peak intensity. The peak at 1758 cm−1 aligns with the C-O stretching vibration in both PLLA and PO3G-LA, while the peaks at 1367 cm−1 and 1457 cm−1 are proximate to the C-H stretching vibrations in -CH3 and -CH2-. Additionally, the peak at 1090 cm−1 represents the C-O stretching vibration. These spectral characteristics indicate the successful synthesis of PO3G-LA and its incorporation into the PO3G-LA/PLLA films.

3.3. Analysis of Thermal Stability and Crystallization Properties of PO3G-LA/PLLA Films

Figure 6 presents the thermogravimetric (TGA) and derivative thermogravimetry (DTG) analyses for PO3G-LA/PLLA composite films with varying concentrations of PO3G-LA. Incorporating PO3G-LA into PLLA films not only slightly elevates the temperature required to reach a 50% weight loss, as seen in the TGA curves, but also diminishes the overall thermal decomposition. This enhancement in thermal stability is further evidenced by the DTG curves, which demonstrate a consistent decline in the peak thermal loss rate with an increase in PO3G-LA concentration. Notably, the inclusion of 5% PO3G-LA shows an increase in the thermal loss rate for the composite films compared to pure PLLA. However, when the PO3G-LA concentration is raised to 10% or beyond, a notable decrease in the thermal loss rate is observed, indicating an improvement in thermal stability.
This phenomenon can be attributed to the plasticizing effect of PO3G-LA, which increases the mobility of the PLLA chains, thereby facilitating a more orderly thermal decomposition process. The presence of PO3G-LA likely aids in dispersing thermal energy more evenly throughout the polymer matrix, which in turn elevates the degradation temperature. This mechanism is supported by literature indicating that plasticizers can improve the thermal stability of biopolymers by enhancing the mobility of polymer chains [27].
Furthermore, studies have shown that the incorporation of bio-based plasticizers into biopolymers not only enhances their flexibility but also can slightly increase their thermal stability due to improved energy dissipation and thermal resistance [28]. These references corroborate our findings that the addition of PO3G-LA, particularly at concentrations of 10% or higher, contributes to the enhanced thermal stability of PLLA films, making it a promising plasticizer for improving the thermal properties of bio-based polymers.
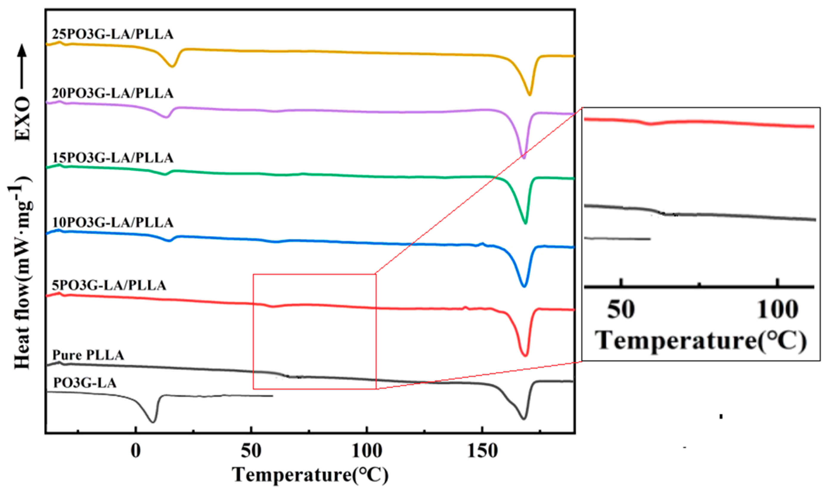
Figure 7 showcases the Differential Scanning Calorimetry (DSC) curves for PO3G-LA/PLLA composite films across a range of PO3G-LA concentrations, with corresponding quantitative data detailed in Table 1. The analysis of Table 1 elucidates that the incorporation of PO3G-LA not only lowers the glass transition temperature (Tg) of the PLLA films but also influences the crystallinity of the composites in a noteworthy manner. Specifically, a nuanced variation in Tg is observed, which initially decreases with the addition of PO3G-LA, reaching a nadir at 50.2 °C with a 20% PO3G-LA content, indicative of the highest level of compatibility between PO3G-LA and PLLA at this or lower concentrations. An upward shift in Tg with a 25% PO3G-LA inclusion signals a slight reduction in compatibility. Moreover, the crystallinity of the films undergoes a significant alteration upon PO3G-LA addition. The pure PLLA film exhibits a crystallinity of 35.76%, whereas the incorporation of 5%, 10%, 15%, 20%, and 25% PO3G-LA enhances the crystallinity to 39.64%, 37.95%, 43.19%, 45.33%, and 40.62%, respectively. This increment in crystallinity with PO3G-LA addition underscores its role as an efficacious nucleating agent, promoting the orderly arrangement of PLLA chains and thus enhancing the crystallinity of the composite films.
It is important to note the absence of a cold crystallization peak in the DSC curves, which is typically observed in polymers with significant amorphous regions undergoing heating. This absence can be attributed to the films’ high degree of crystallinity achieved during the solution casting process, possibly nearing the material’s crystalline saturation. This high initial crystallinity limits the availability of amorphous regions that could recrystallize upon heating, hence the non-observation of cold crystallization peaks in our DSC analysis. This phenomenon, coupled with the observed increases in crystallinity upon PO3G-LA addition, suggests an enhanced ordering and densification of the polymer matrix, contributing to the thermal and structural properties of the PLLA composites.

3.4. Analysis of Mechanical Properties of PO3G-LA/PLLA Films

Analysis from Table 2 reveals that the pure PLLA film exhibits an elongation at a break of only 5.71%. However, the introduction of PO3G-LA into PLLA films significantly enhances their ductility, with elongation at break values reaching 77%, 91%, 139%, and 190% for PO3G-LA additions of 5%, 10%, 15%, 20%, and 25%, respectively. This improvement demonstrates a progressive increase in the elongation at break for PO3G-LA contents ranging from 0% to 20%. A subsequent addition of PO3G-LA to 25% results in a reduction of elongation at break to 99%. Figure 8 illustrates that with increasing PO3G-LA content, the elongation at break initially increases and then decreases while the tensile strength of the films gradually declines. This observed pattern suggests that excessive PO3G-LA concentrations may lead to its aggregation, negatively impacting the material’s toughening effect on PLLA films. Notably, the tensile strength of the composite films decreases marginally with PO3G-LA additions between 5% and 25%.
The molecular structure of PO3G-LA, characterized by ether bonds along the main chain, facilitates more flexible rotation around these bonds, thereby enhancing chain flexibility. This property suggests that PO3G-LA holds promise as an effective plasticizer for PLLA, capable of improving its mechanical properties by enhancing ductility without significantly compromising tensile strength.

3.5. PO3G-LA/PLLA Thin Films Indicating Morphology Analysis

Figure 9 illustrates the surface morphologies of PO3G-LA/PLLA composite films with varying PO3G-LA contents. The films, prepared in different ratios, were laid on a paper sheet marked with “FILM”. As observed in Figure 8, the macroscopic morphology of the composite films exhibited minimal change across different PO3G-LA concentrations, maintaining high transparency.

3.6. Microscopic Morphology Analysis of PO3G-LA/PLLA Films

Figure 10 provides a detailed view of the microscopic morphologies of PO3G-LA/PLLA composite films with varying PO3G-LA concentrations. The surfaces of these films are observed to be uniformly smooth and flat across all samples. However, an increase in PO3G-LA content leads to a rougher surface texture and the appearance of bulges without any evident phase separation or surface material precipitation. This observation indicates excellent compatibility between PO3G-LA and PLLA, suggesting that PO3G-LA integrates well into the PLLA matrix without causing adverse effects on the film’s uniformity.
Figure 11 shows the tensile fracture morphologies of PO3G-LA/PLLA composite films, contrasting the effects of different PO3G-LA concentrations on fracture behavior. Pure PLLA films exhibit relatively flat fracture surfaces, indicative of brittle failure. The introduction of PO3G-LA transforms these surfaces, making them rougher and adorned with burrs resulting from the material’s stretching. This morphological change is emblematic of toughness fractures, underscoring that PO3G-LA incorporation significantly enhances the toughness of PLLA films.
Furthermore, numerous holes were noted along the tensile direction in the film sections, primarily attributable to the dispersed phase. This dispersed phase causes the PO3G-LA to deform along the direction of tension, transforming from spherical to elliptical shapes. The tips of the ellipses act as energy-absorbing sites, which during detachment from the substrate, absorb significant energy, leading to the formation of holes in the direction of tension.

3.7. Biodegradability Testing of PO3G-LA/PLLA Films

The degradation rate of polyester film materials can be significantly accelerated under acidic or alkaline conditions compared to the conventional degradation process in soil or compost, as evidenced in previous studies [29,30,31]. These environments have been shown to exert a profound influence on the degradation of biodegradable polymeric materials. Moreover, conducting degradation experiments at temperatures near the glass transition temperature (Tg) of PLLA enhances the mobility of macromolecular chains, thus expediting the degradation process and increasing experimental efficiency [32,33,34]. This mechanism primarily involves ester bond hydrolysis, resulting in the gradual breakdown of both PLLA and PO3G-LA/PLLA films, as observed in various research investigations [29,35,36].
Figure 12 illustrates that under neutral conditions (pH = 7), the addition of PO3G-LA had minimal impact on the film’s degradation rate. However, under acidic conditions, the degradation rates of PO3G-LA/PLLA composite films with 5% to 25% PO3G-LA content were all lower compared to pure PLLA films. Among these, the 5PO3G-LA/PLLA films showed higher degradation rates than those containing 10PO3G-LA/PLLA, 15PO3G-LA/PLLA, 20PO3G-LA/PLLA, and 25PO3G-LA/PLLA, films, and the degradation rates of the latter three ratios of composite films showed no significant differences. This trend could be attributed to the fact that PO3G-LA addition enhances the crystallinity of the PLLA films. As the content of PO3G-LA increases, the crystallinity of the PLLA films also increases, which, in turn, slows down the degradation rate.
Figure 12 also demonstrates that the films degrade more rapidly under alkaline conditions (pH 11) compared to neutral and acidic environments. Initially, the degradation rate of the composite film is primarily influenced by the PO3G-LA content, as PO3G-LA hydrolyzes more swiftly in alkaline conditions than in acidic ones, as indicated by references [37,38]. An increase in PO3G-LA content enhances the penetration of the solution into the film’s interior, resulting in an accelerated degradation rate. Subsequent degradation rates are affected by multiple factors. The 25PO3G-LA/PLLA composite films were completely degraded by day 18, whereas the 20PO3G-LA/PLLA and 15PO3G-LA/PLLA films reached full degradation by day 19. The 10PO3G-LA/PLLA, 5PO3G-LA/PLLA, and pure PLLA films were all completely degraded by day 20. This variation in degradation times may be associated with the infiltration of small-molecule plasticizers and alterations in the crystallinity of the PLLA films.

4. Conclusions

In our research, we developed an eco-friendly, non-toxic ester plasticizer, PO3G-LA, from PO3G and LA, significantly enhancing PLA toughness. The toughness and thermal stability of PLLA films improved notably with the addition of PO3G-LA, particularly at higher concentrations. This improvement highlights PO3G-LA’s potential as a sustainable plasticizer in toughening PLLA. Future research should explore its broader applications in sustainable materials development and investigate its behavior under varied environmental conditions to fully harness its ecological benefits.

Author Contributions

Methodology, H.T., Y.Z. and M.Y.; Validation, H.T., Y.Z. and X.K.; Formal analysis, Y.Z. and W.Z.; Data curation, H.T., X.K., J.L. and W.Z.; Writing—original draft, H.T.; Visualization, J.L.; Supervision, D.J.; Project administration, D.J.; Funding acquisition, M.Y. All authors have read and agreed to the published version of the manuscript.

Funding

This research was funded by the National Natural Science Foundation of China (52163013).

Institutional Review Board Statement

Not applicable.

Informed Consent Statement

Not applicable.

Data Availability Statement

Data are contained within the article.

Conflicts of Interest

The author declares no conflicts of interest.

References

  1. Jem, K.J.; Tan, B. The development and challenges of poly (lactic acid) and poly (glycolic acid). Adv. Ind. Eng. Polym. Res. 2020, 3, 60–70. [Google Scholar] [CrossRef]
  2. Pang, X.; Zhuang, X.; Tang, Z.; Chen, X. Polylactic acid (PLA): Research, development and industrialization. Biotechnol. J. 2010, 5, 1125–1136. [Google Scholar] [CrossRef]
  3. Tyler, B.; Gullotti, D.; Mangraviti, A.; Utsuki, T.; Brem, H. Polylactic acid (PLA) controlled delivery carriers for biomedical applications. Adv. Drug Deliv. Rev. 2016, 107, 163–175. [Google Scholar] [CrossRef]
  4. Mohamad, N.; Mazlan, M.M.; Tawakkal, I.S.M.A.; Talib, R.A.; Kian, L.K.; Fouad, H.; Jawaid, M. Development of active agents filled polylactic acid films for food packaging application. Int. J. Biol. Macromol. 2020, 163, 1451–1457. [Google Scholar] [CrossRef]
  5. Guruprasad, R.; Prasad, G.K.; Prabu, G.; Raj, S.; Patil, P.G. Low-stress mechanical properties and fabric hand of cotton and pol-ylactic acid fibre blended knitted fabrics. Indian J. Fibre Text. Res. 2018, 43, 381–384. [Google Scholar]
  6. Muller, J.; González-Martínez, C.; Chiralt, A. Combination of poly(lactic) acid and starch for biodegradable food packaging. Materials 2017, 10, 952. [Google Scholar] [CrossRef]
  7. Malek, N.S.; Faizuwan, M.; Khusaimi, Z.; Bonnia, N.N.; Rusop, M.; Asli, N.A. Preparation and Characterization of Biodegradable Polylactic Acid (PLA) Film for Food Packaging Application: A Review. J. Phys. Conf. Ser. 2021, 1892, 012037. [Google Scholar] [CrossRef]
  8. Auras, R.; Harte, B.; Selke, S. An Overview of Polylactides as PackagingMaterials. Macromol. Biosci. 2004, 4, 835–864. [Google Scholar] [CrossRef]
  9. Yang, Y.; Zhang, L.; Xiong, Z.; Tang, Z.; Zhang, R.; Zhu, J. Research progress in the heat resistance, toughening and filling modification of PLA. Sci. China Chem. 2016, 59, 1355–1368. [Google Scholar] [CrossRef]
  10. Ding, Y.; Lu, B.; Wang, P.; Wang, G.; Ji, J. PLA-PBAT-PLA tri-block copolymers: Effective compatibilizers for promotion of the mechanical and rheological properties of PLA/PBAT blends. Polym. Degrad. Stab. 2018, 147, 41–48. [Google Scholar] [CrossRef]
  11. Akindoyo, J.O.; Beg, M.D.; Ghazali, S.; Heim, H.P.; Feldmann, M. Impact modified PLA-hydroxyapatite composites–Thermo-mechanical properties. Compos. Part A Appl. Sci. Manuf. 2018, 107, 326–333. [Google Scholar] [CrossRef]
  12. Puthumana, M.; Santhana Gopala Krishnan, P.; Nayak, S.K. Chemical modifications of PLA through copolymerization. Int. J. Polym. Anal. Charact. 2020, 25, 634–648. [Google Scholar] [CrossRef]
  13. Labrecque, L.V.; Kumar, R.A.; Gross, R.A.; McCarthy, S.P.; Davé, V. Citrate esters as plasticizers for poly(lactic acid). J. Appl. Polym. Sci. 1997, 66, 1507–1513. [Google Scholar] [CrossRef]
  14. Mazitova, A.K.; Aminova, G.K.; Vikhareva, I.N. Designing of green plasticizers and assessment of the effectiveness of their use. Polymers 2021, 13, 1761. [Google Scholar] [CrossRef]
  15. Nagarajan, V.; Mohanty, A.K.; Misra, M. Perspective on Polylactic Acid (PLA) based Sustainable Materials for Durable Ap-plications: Focus on Toughness and Heat Resistance. ACS Sustain. Chem. Eng. 2016, 4, 2899–2916. [Google Scholar] [CrossRef]
  16. Krishnan, S.; Pandey, P.; Mohanty, S.; Nayak, S.K. Toughening of Polylactic Acid: An Overview of Research Progress. Polym. Technol. Eng. 2016, 55, 1623–1652. [Google Scholar] [CrossRef]
  17. Xie, D.; Zhao, Y.; Li, Y.; LaChance, A.M.; Lai, J.; Sun, L.; Chen, J. Rheological, Thermal, and Degradation Properties of PLA/PPG Blends. Materials 2019, 12, 3519. [Google Scholar] [CrossRef]
  18. Chieng, B.W.; Ibrahim, N.A.; Yunus, W.M.Z.W.; Hussein, M.Z. Plasticized poly (lactic acid) with low molecular weight poly (ethylene glycol): Mechanical, thermal, and morphology properties. J. Appl. Polym. Sci. 2013, 130, 4576–4580. [Google Scholar] [CrossRef]
  19. Chu, W.; Yan, S.; Cai, Z.; Yang, S.; Hu, X.; Yin, X. Poly(lactic acid) toughen by aromatic sulfonamide toward balanced rheology processing and mechanical properties. Mater. Res. Express 2022, 9, 065307. [Google Scholar] [CrossRef]
  20. Lin, G.; Wang, J.; Lv, N.; Wang, H.; Wang, H.; Yu, B.; Liu, S.; Liang, D.; Wang, Q.; Yu, K. Simultaneously Strengthening and Toughening Poly (lactic acid) by Co-Additions of Poly (ε-caprolactone), Tributyl Citrate Plasticizer and Functionalized Multiwall Carbon Nanotube. Sci. Adv. Mater. 2020, 12, 950–957. [Google Scholar] [CrossRef]
  21. Jia, Z.; Tan, J.; Han, C.; Yang, Y.; Dong, L. Poly(ethylene glycol-co-propylene glycol) as a macromolecular plasticizing agent for polylactide: Thermomechanical properties and aging. J. Appl. Polym. Sci. 2009, 114, 1105–1117. [Google Scholar] [CrossRef]
  22. Vo, A.D.; Cui, W.J.; McAuley, K.B. An Improved PO3G Model–Accounting for Cyclic Oligomers. Macromol. Theory Simul. 2020, 29, 2000023. [Google Scholar] [CrossRef]
  23. Zhang, C.; Luan, H.; Wang, G. A novel thermosensitive triblock copolymer from 100% renewably sourced poly(trimethylene ether) glycol. J. Appl. Polym. Sci. 2018, 135, 46112. [Google Scholar] [CrossRef]
  24. Yang, J.-X.; Qian, H.-J.; Gong, Z.; Lu, Z.-Y.; Cui, S.-X. Stretching Elasticity and Flexibility of Single Polyformaldehyde Chain. Chin. J. Polym. Sci. 2022, 40, 333–337. [Google Scholar] [CrossRef]
  25. Maiza, M.; Benaniba, M.T.; Massardier-Nageotte, V. Plasticizing effects of citrate esters on properties of poly(lactic acid). J. Polym. Eng. 2016, 36, 371–380. [Google Scholar] [CrossRef]
  26. Butt, J.; Oxford, P.; Sadeghi-Esfahlani, S.; Ghorabian, M.; Shirvani, H. Hybrid Manufacturing and Mechanical Characterization of Cu/PLA Composites. Arab. J. Sci. Eng. 2020, 45, 9339–9356. [Google Scholar] [CrossRef]
  27. Okpuwhara, R.O.; Oboirien, B.O.; Sadiku, E.R. The lanolin-based oil plasticized polylactide: Thermal and chemical character-istics. Polym. Eng. Sci. 2022, 62, 1571. [Google Scholar] [CrossRef]
  28. Rozaki, N.Z.; Gan, S.-N.; Ang, D.T.-C. Environmentally Friendly Oil-Modified Polyesters as Polymeric Plasticizers for Poly(vinyl chloride). J. Polym. Environ. 2017, 25, 286–295. [Google Scholar] [CrossRef]
  29. Elsawy, M.A.; Kim, K.-H.; Park, J.-W.; Deep, A. Hydrolytic degradation of polylactic acid (PLA) and its composites. Renew. Sustain. Energy Rev. 2017, 79, 1346–1352. [Google Scholar] [CrossRef]
  30. Ebadi-Dehaghani, H.; Barikani, M.; Borhani, S.; Bolvardi, B.; Khonakdar, H.A.; Jafari, S.H.; Aarabi, A. Biodegradation and hy-drolysis studies on polypropylene/polylactide/organo-clay nanocomposites. Polym. Bull. 2016, 73, 3287–3304. [Google Scholar] [CrossRef]
  31. Kumar, S.; Singh, S.; Senapati, S.; Singh, A.P.; Ray, B.; Maiti, P. Controlled drug release through regulated biodegradation of poly(lactic acid) using inorganic salts. Int. J. Biol. Macromol. 2017, 104, 487–497. [Google Scholar] [CrossRef]
  32. Hottle, T.A.; Agüero, M.L.; Bilec, M.M.; Landis, A.E. Alkaline amendment for the enhancement of compost degradation for polylactic acid biopolymer products. Compos. Sci. Util. 2016, 24, 159–173. [Google Scholar] [CrossRef]
  33. Gómez, E.F.; Michel, F.C. Biodegradability of conventional and bio-based plastics and natural fiber composites during com-posting, anaerobic digestion and long-term soil incubation. Polym. Degrad. Stab. 2016, 98, 2583–2593. [Google Scholar] [CrossRef]
  34. Rodriguez, E.J.; Marcos, B.; Huneault, M.A. Hydrolysis of polylactide in aqueous media. J. Appl. Polym. Sci. 2016, 133. [Google Scholar] [CrossRef]
  35. Simmons, H.; Kontopoulou, M. Hydrolytic degradation of branched PLA produced by reactive extrusion. Polym. Degrad. Stab. 2018, 158, 228–237. [Google Scholar] [CrossRef]
  36. Momeni, S.; Ghomi, E.R.; Shakiba, M.; Shafiei-Navid, S.; Abdouss, M.; Bigham, A.; Khosravi, F.; Ahmadi, Z.; Faraji, M.; Abdouss, H.; et al. The Effect of Poly (Ethylene glycol) Emulation on the Degradation of PLA/Starch Composites. Polymers 2021, 13, 1019. [Google Scholar] [CrossRef]
  37. Tsuji, H.; Ikada, Y. Properties and morphology of poly(l-lactide) 4. Effects of structural parameters on long-term hydrolysis of poly(l-lactide) in phosphate-buffered solution. Polym. Degrad. Stab. 2000, 67, 179–189. [Google Scholar] [CrossRef]
  38. Tsuji, H.; Ikarashi, K. In vitro hydrolysis of poly(l-lactide) crystalline residues as extended-chain crystallites: III. Effects of pH and enzyme. Polym. Degrad. Stab. 2004, 85, 647–656. [Google Scholar] [CrossRef]
Figure 1. Synthesis route of PO3G-LA.
Figure 1. Synthesis route of PO3G-LA.
Coatings 14 00461 g001
Figure 2. Schematic diagram of PO3G-LA/PLLA film preparation.
Figure 2. Schematic diagram of PO3G-LA/PLLA film preparation.
Coatings 14 00461 g002
Figure 3. 1H-NMR characterization of LA, PO3G, and PO3G-LAA.
Figure 3. 1H-NMR characterization of LA, PO3G, and PO3G-LAA.
Coatings 14 00461 g003
Figure 4. FTIR spectra of PO3G-LA, PO3G, and LA.
Figure 4. FTIR spectra of PO3G-LA, PO3G, and LA.
Coatings 14 00461 g004
Figure 5. FTIR spectra of PO3G-LA/PLLA films with different PO3G-LA contents.
Figure 5. FTIR spectra of PO3G-LA/PLLA films with different PO3G-LA contents.
Coatings 14 00461 g005
Figure 6. Thermogravimetric (TGA) (left) and derivative thermogravimetry (DTG) (right) curves of PO3G-LA/PLLA composite films with different PO3G-LA contents.
Figure 6. Thermogravimetric (TGA) (left) and derivative thermogravimetry (DTG) (right) curves of PO3G-LA/PLLA composite films with different PO3G-LA contents.
Coatings 14 00461 g006
Figure 7. DSC curves of PO3G-LA/PLLA films with different PO3G-LA contents.
Figure 7. DSC curves of PO3G-LA/PLLA films with different PO3G-LA contents.
Coatings 14 00461 g007
Figure 8. Elongation at break and tensile strength of PO3G-LA/PLLA composite films with different PO3G-LA contents.
Figure 8. Elongation at break and tensile strength of PO3G-LA/PLLA composite films with different PO3G-LA contents.
Coatings 14 00461 g008
Figure 9. Surface morphology of PO3G-LA/PLLA composite films with different PO3G-LA contents.
Figure 9. Surface morphology of PO3G-LA/PLLA composite films with different PO3G-LA contents.
Coatings 14 00461 g009
Figure 10. Micro-morphology of PO3G-LA/PLLA composite films with different PO3G-LA contents: (a) Pure PLLA (b) 5% PO3G-LA/PLLA (c) 10% PO3G-LA/PLLA (d) 15% PO3G-LA/PLLA (e) 20% PO3G-LA/PLLA (f) 25% PO3G-LA/PLLA.
Figure 10. Micro-morphology of PO3G-LA/PLLA composite films with different PO3G-LA contents: (a) Pure PLLA (b) 5% PO3G-LA/PLLA (c) 10% PO3G-LA/PLLA (d) 15% PO3G-LA/PLLA (e) 20% PO3G-LA/PLLA (f) 25% PO3G-LA/PLLA.
Coatings 14 00461 g010
Figure 11. Tensile cross-sectional morphology of PO3G-LA/PLLA films with different PO3G-LA contents: (a) Pure PLLA (b) 5% PO3G-LA/PLLA (c) 10% PO3G-LA/PLLA (d) 15% PO3G-LA/PLLA (e) 20% PO3G-LA/PLLA (f) 25% PO3G-LA/PLLA.
Figure 11. Tensile cross-sectional morphology of PO3G-LA/PLLA films with different PO3G-LA contents: (a) Pure PLLA (b) 5% PO3G-LA/PLLA (c) 10% PO3G-LA/PLLA (d) 15% PO3G-LA/PLLA (e) 20% PO3G-LA/PLLA (f) 25% PO3G-LA/PLLA.
Coatings 14 00461 g011
Figure 12. pH degradation curves of PO3G-LA/PLLA composite films with different PO3G-LA contents: (a) pH = 3, (b) pH = 7, (c) pH = 11.
Figure 12. pH degradation curves of PO3G-LA/PLLA composite films with different PO3G-LA contents: (a) pH = 3, (b) pH = 7, (c) pH = 11.
Coatings 14 00461 g012
Table 1. DSC data of PO3G-LA/PLLA films with varying PO3G-LA contents.
Table 1. DSC data of PO3G-LA/PLLA films with varying PO3G-LA contents.
SampleTg (°C)Tm (°C)ΔHm (J/g)Xc (%)
Pure PLLA60.4166.833.4835.76
5PO3G–LA/PLLA54.9168.335.2539.64
10PO3G–LA/PLLA55.8168.031.9737.95
15PO3G–LA/PLLA52.4167.234.3643.19
20PO3G–LA/PLLA50.2167.033.9545.33
25PO3G–LA/PLLA56.1167.928.5240.62
Table 2. Elongation at break and tensile strength of PO3G-LA/PLLA composite films with different PO3G-LA contents.
Table 2. Elongation at break and tensile strength of PO3G-LA/PLLA composite films with different PO3G-LA contents.
SampleElongation at Break/%Tensile Strength/MPa
Pure PLLA5.71 ± 1.9342.46 ± 1.32
5PO3G–LA/PLLA77.33 ± 6.2730.24 ± 0.49
10PO3G–LA/PLLA91.54 ± 2.4029.18 ± 0.43
15PO3G–LA/PLLA139.38 ± 5.0027.21 ± 0.77
20PO3G–LA/PLLA190.88 ± 4.8426.46 ± 1.69
25PO3G–LA/PLLA99.95 ± 6.6224.33 ± 1.18
Disclaimer/Publisher’s Note: The statements, opinions and data contained in all publications are solely those of the individual author(s) and contributor(s) and not of MDPI and/or the editor(s). MDPI and/or the editor(s) disclaim responsibility for any injury to people or property resulting from any ideas, methods, instructions or products referred to in the content.

Share and Cite

MDPI and ACS Style

Tian, H.; Zhu, Y.; Kong, X.; Long, J.; Zhao, W.; Jiang, D.; Yuan, M. Synthesis and Performance Evaluation of Bio-Sourced PO3G Ester Plasticizer in L-Polylactic Acid Thin Films. Coatings 2024, 14, 461. https://doi.org/10.3390/coatings14040461

AMA Style

Tian H, Zhu Y, Kong X, Long J, Zhao W, Jiang D, Yuan M. Synthesis and Performance Evaluation of Bio-Sourced PO3G Ester Plasticizer in L-Polylactic Acid Thin Films. Coatings. 2024; 14(4):461. https://doi.org/10.3390/coatings14040461

Chicago/Turabian Style

Tian, Hongzhao, Yiyi Zhu, Xinyue Kong, Jiao Long, Wan Zhao, Dengbang Jiang, and Mingwei Yuan. 2024. "Synthesis and Performance Evaluation of Bio-Sourced PO3G Ester Plasticizer in L-Polylactic Acid Thin Films" Coatings 14, no. 4: 461. https://doi.org/10.3390/coatings14040461

APA Style

Tian, H., Zhu, Y., Kong, X., Long, J., Zhao, W., Jiang, D., & Yuan, M. (2024). Synthesis and Performance Evaluation of Bio-Sourced PO3G Ester Plasticizer in L-Polylactic Acid Thin Films. Coatings, 14(4), 461. https://doi.org/10.3390/coatings14040461

Note that from the first issue of 2016, this journal uses article numbers instead of page numbers. See further details here.

Article Metrics

Back to TopTop