Synthesis and Characterization of Silica-Titanium Oxide Nano-Coating on NiTi Alloy
Abstract
1. Introduction
2. Materials and Methods
2.1. NiTi Substrate
2.2. Synthesis of TiO2–SiO2 Nano-Composite
2.3. Preparation of Suspension, Electrophoretic Deposition, and Heat Treatment
2.4. Method of Testing
3. Results and Discussion
3.1. Determination of Optimal Parameters and Characterization of TiO2–SiO2 Colloidal Suspension
3.2. Microstructure and Structural Characterization of the Deposited TiO2–SiO2 Coatings
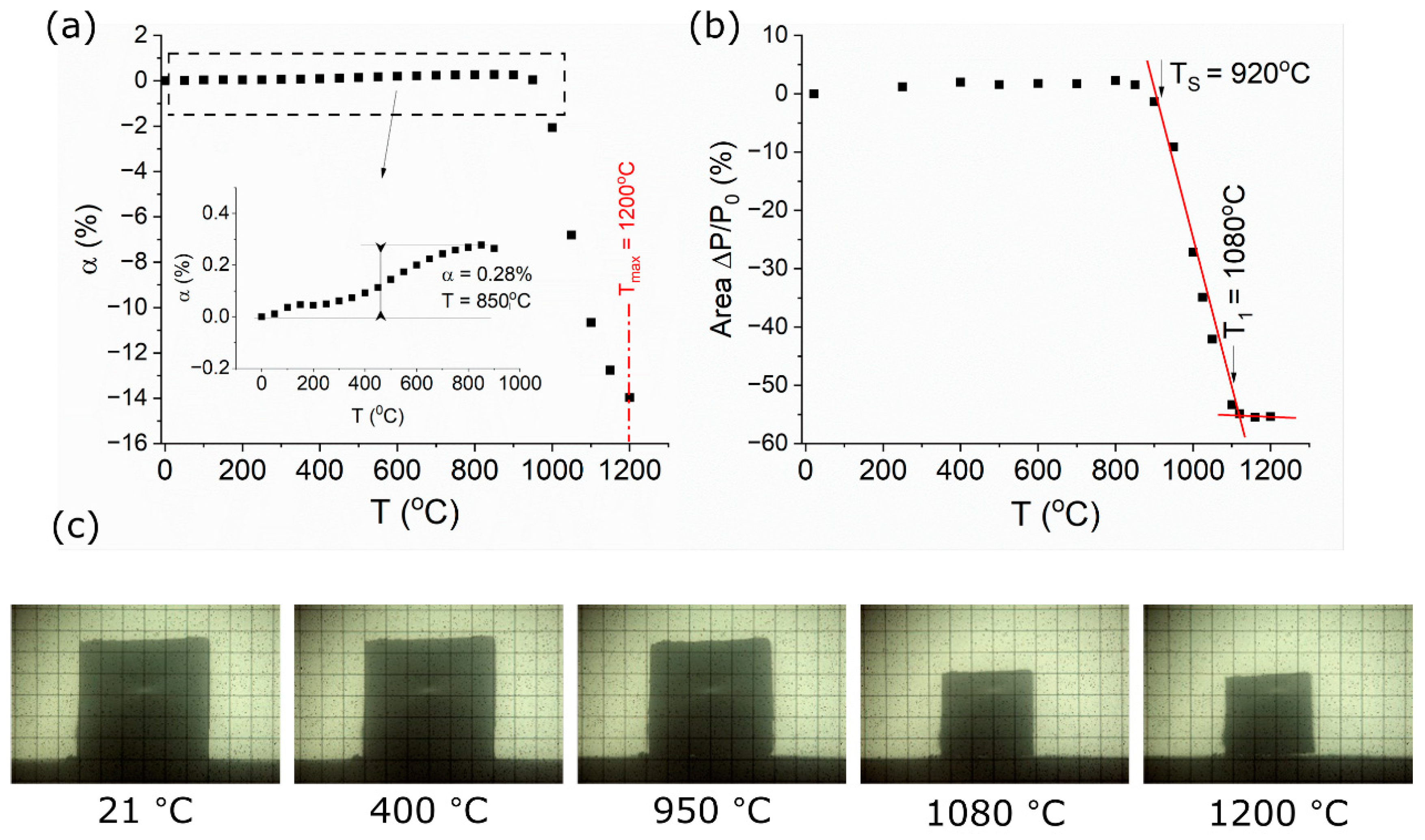
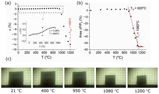
3.3. Determination of the Heat-Treatment Temperature of the TiO2–SiO2 Coating
3.4. Microstructure and Structural Characterization of the Heat-Treated TiO2–SiO2 Coating
4. Conclusions
Author Contributions
Funding
Institutional Review Board Statement
Informed Consent Statement
Data Availability Statement
Conflicts of Interest
References
- Chouirfa, H.; Bouloussa, H.; Migonney, V. Falentin-Daudré, C. Review of titanium surface modification techniques and coatings for antibacterial applications. Acta Biomater. 2019, 83, 37–54. [Google Scholar] [CrossRef] [PubMed]
- Lai, M.; Jin, Z.; Su, Z. Surface Modification of TiO2 Nanotubes with Osteogenic Growth Peptide to Enhance Osteoblast Differentiation. Mater. Sci. Eng. C Mater. Biol. Appl. 2017, 73, 490–497. [Google Scholar] [CrossRef] [PubMed]
- Jia, L.; Qiu, J.; Du, L.; Li, Z.; Liu, H.; Ge, S. TiO2 Nanorod Arrays as a Photocatalytic Coating Enhanced Antifungal and Antibacterial Efficiency of Ti Substrates. Nanomedicine 2017, 12, 761–776. [Google Scholar] [CrossRef] [PubMed]
- Lorenzetti, M.; Dogša, I.; Stošicki, T.; Stopar, D.; Kalin, M.; Kobe, S.; Novak, S. The influence of surface modification on bacterial adhesion to titanium-based substrates. ACS Appl. Mater. Interfaces 2015, 7, 1644–1651. [Google Scholar] [CrossRef] [PubMed]
- Łosiewicz, B.; Stróż, A.; Osak, P.; Maszybrocka, J.; Gerle, A.; Dudek, K.; Balin, K.; Łukowiec, D.; Gawlikowski, M.; Bogunia, S. Production, Characterization and Application of Oxide Nanotubes on Ti–6Al–7Nb Alloy as a Potential Drug Carrier. Materials 2021, 14, 6142. [Google Scholar] [CrossRef] [PubMed]
- Peltola, T.; Jokinen, M.; Veittola, S.; Rahiala, H.; Yli-Urpo, A. Influence of sol and stage of spinnability on in vitro bioactivity anddissolution of sol-gel-derived SiO2 fibers. Biomaterials 2001, 22, 589–598. [Google Scholar] [CrossRef] [PubMed]
- Selvarajan, V.; Obuobi, S. Silica Nanoparticles-A Versatile Tool for the Treatment of Bacterial Infections. Front Chem. 2020, 8, 602. [Google Scholar] [CrossRef] [PubMed]
- Kanugala, S.; Jinka, S.; Puvvada, N.; Banerjee, R.; Kumar, C.G. Phenazine-1-carboxamide functionalized mesoporous silica nanoparticles as antimicrobial coatings on silicone urethral catheters. Sci. Rep. 2019, 9, 6198. [Google Scholar] [CrossRef] [PubMed]
- Huang, K.; Chen, J.; Nugen, S.R.; Goddard, J.M. Hybrid antifouling and antimicrobial coatings prepared by electroless co-deposition of fluoropolymer and cationic silica nanoparticles on stainless steel: Efficacy against Listeria monocytogenes. ACS Appl. Mater. Interfaces 2016, 8, 15926–15936. [Google Scholar] [CrossRef] [PubMed]
- Nadachowski, F. Zarys Technologii Materiałów Ogniotrwałych; Techniczne; Śląskie Wydawnictwo: Katowice, Poland, 1995. [Google Scholar]
- Dudek, K.; Dulski, M.; Łosiewicz, B. Functionalization of the NiTi Shape Memory Alloy Surface by HAp/SiO2/Ag Hybrid Coatings Formed on SiO2-TiO2 Glass Interlayer. Materials 2020, 13, 1648. [Google Scholar] [CrossRef] [PubMed]
- Dulski, M.; Dudek, K.; Chalon, D.; Kubacki, J.; Sulowicz, S.; Piotrowska-Seget, Z.; Mrozek-Wilczkiewicz, A.; Gawecki, R.; Nowak, A. Toward the development of an innovative implant: NiTi alloy functionalized by multifunctional β-TCP+Ag/SiO2 coatings. ACS Appl. Bio Mater. 2019, 2, 987–999. [Google Scholar] [CrossRef] [PubMed]
- Petrini, L.; Migliavacca, F. Biomedical Applications of Shape Memory Alloys. J. Metall. 2011, 2011, 501483. [Google Scholar] [CrossRef]
- Yoneyama, T.; Miyazaki, S. (Eds.) Shape Memory Alloys for Biomedical Applications, 1st ed.; Woodhead Publishing: Cambridge, UK, 2008. [Google Scholar]
- Lelątko, T. Goryczka: Modyfikacja Powierzchni Stopów NiTi Wykazujących Pamięć Kształtu; Oficyna Wydawnicza WW: Katowice, Poland, 2013. [Google Scholar]
- Corni, I.; Ryan, M.P.; Boccaccini, A.R. Electrophoretic deposition: From traditional ceramics to nanotechnology. J. Eur. Ceram. Soc. 2008, 28, 1353–1367. [Google Scholar] [CrossRef]
- Dudek, K.; Dulski, M.; Podwórny, J.; Kujawa, M.; Gerle, A.; Rawicka, P. Functionalization of the NiTi Shape Memory Alloy Surface through Innovative Hydroxyapatite/Ag-TiO2 Hybrid Coatings. Materials 2024, 17, 604. [Google Scholar] [CrossRef]
- Łosiewicz, B.; Popczyk, M.; Goryczka, T.; Lelątko, J.; Smołka, A.; Kowalski, P. Structure and Resistance to Electrochemical Corrosion of NiTi Alloy. Solid State Phenom. 2013, 203–204, 335–338. [Google Scholar] [CrossRef]
- Hollricher, O.; Ibach, W. High-Resolution Optical and Confocal Microscopy. In Confocal Raman Microscopy; Springer: Berlin/Heidelberg, Germany, 2010; pp. 1–20. [Google Scholar] [CrossRef]
- Ferrari, R.; Moreno, R. EPD kinetics: A review. J. Eur. Ceram. Soc. 2010, 30, 1069–1078. [Google Scholar] [CrossRef]
- Wang, W.; Gu, B.H.; Liang, L.Y.; Hamilton, W.A.; Wesolowski, D.J. Synthesis of Rutile (α-TiO2) Nanocrystals with Controlled Size and Shape by Low-Temperature Hydrolysis: Effects of Solvent Composition. J. Phys. Chem. B 2004, 108, 14789. [Google Scholar] [CrossRef]
- Mazza, T.; Barborini, E.; Piseri, P.; Milani, P. Raman spectroscopy characterization of TiO2 rutile nanocrystals. Phys. Rev. B Condens. Matter Mater. Phys. 2007, 75, 045416. [Google Scholar] [CrossRef]
- Mali Sawanta, S.; Chirayath, A.B.; Bhosale Popatrao, N.; Patil Pramod, S. Hydrothermal synthesis of rutile TiO2 with hierarchical microspheres and their characterization. Cryst. Eng. Comm. 2011, 13, 6349–6351. [Google Scholar] [CrossRef]
- Porto, S.P.; Fleury, P.A.; Damen, T.C. Raman Spectra of TiO2, MgF2, ZnF2, FeF2, and MnF2. Phys. Rev. 1967, 154, 522–526. [Google Scholar] [CrossRef]
- Balachandran, U.; Eror, N.G. Raman spectra of titanium dioxide. J. Solid State Chem. 1982, 42, 276–282. [Google Scholar] [CrossRef]
- Parker, J.C.; Siegel, R.W. Calibration of the Raman spectrum to the oxygen stoichiometry of nanophase TiO2. Appl. Phys. Lett. 1990, 57, 943–945. [Google Scholar] [CrossRef]
- Kernazhitsky, L.; Shymanovska, V.; Gavrilko, T.; Naumov, V.; Fedorenko, L.; Kshnyakin, V.; Baran, J. Laser-Excited Excitonic Luminescence of Nanocrystalline TiO2 Powder. Ukr. J. Phys. 2018, 59, 246. [Google Scholar] [CrossRef]
- Wahlbeck, P.G.; Gilles, P.W. Reinvestigation of the Phase Diagram for the System Titanium–Oxygen. J. Am. Ceram. Soc. 1996, 49, 180–183. [Google Scholar] [CrossRef]
- Tian, F.; Zhang, Y.; Zhang, J.; Pan, C. Raman Spectroscopy: A New Approach to Measure the Percentage of Anatase TiO2 Exposed (001) Facets. J. Phys. Chem. C 2012, 116, 7515–7519. [Google Scholar] [CrossRef]
- Ohsaka, T.; Izumi, F.; Fujiki, Y. Raman spectrum of anatase, TiO2. J. Raman Spectrosc. 1978, 7, 321–324. [Google Scholar] [CrossRef]
- Alcántara, R.; Navas, J.; Fernández-Lorenzo, C.; Martín, J.; Guillén, E.; Anta, J.A. Synthesis and Raman spectroscopy study of TiO2 nanoparticles. Phys. Status Solidi. C 2011, 8, 1970–1973. [Google Scholar] [CrossRef]
- Chen, X.; Kierzek, K.; Jiang, Z.; Chen, H.; Tang, T.; Wojtoniszak, M.; Kalenczuk, R.J.; Chu, P.K.; Borowiak-Palen, E. Growth Mechanism, and Electrochemical Properties of Hollow Mesoporous Carbon Spheres with Controlled Diameter. J. Phys. Chem. C 2011, 115, 17717–17724. [Google Scholar] [CrossRef]
- Wong, J. A Review of infrared spectroscopic studies of vapor-deposited dielectric glass films on silicon. J. Electron. Mater. 1976, 5, 113–160. [Google Scholar] [CrossRef]
- Pliskin, W.A. Comparison of properties of dielectric films deposited by various methods. J. Vac. Sci. Technol. 1997, 14, 1064–1081. [Google Scholar] [CrossRef]
- Pai, P.G.; Chao, S.S.; Takagi, Y.; Lucovsky, G. Infrared spectroscopic study of SiOx films produced by plasma enhanced chemical vapor deposition. J. Vac. Sci. Technol. A 1986, 4, 689–694. [Google Scholar] [CrossRef]
- Verma, R.; Gangwar, J.; Srivastav, A.K. Multiphase TiO2 nanostructures: A review of efficient synthesis, growth mechanism, probing capabilities, and applications in bio-safety and health. RSC Adv. 2017, 7, 44199–44224. [Google Scholar] [CrossRef]
- Kadam, A.N.; Dhabbe, R.S.; Kokate, M.R.; Gaikwad, Y.B.; Garadkar, K.M. Preparation of N doped TiO2 via microwave-assisted method and its photocatalytic activity for degradation of Malathion. Spectrochim. Acta Part A Mol. Biomol. Spectrosc. 2014, 133, 669–676. [Google Scholar] [CrossRef] [PubMed]
- Johnson, M.S.; Ates, M.; Arslan, Z.; Farah, I.O.; Bogatu, C. Assessment of Crystal Morphology on Uptake, Particle Dissolution, and Toxicity of Nanoscale Titanium Dioxide on Artemia Salina. J. Nanotoxicol. Nanomed. 2017, 2, 11–27. [Google Scholar] [CrossRef] [PubMed]
- Hyun-Sig, K.; Yong-Jin, J.; Jung-In, M.; Jeong-Hwan, S.; Dae-Young, L.; Seung-Beom, C. Glycothermal Synthesis and Photocatalytic Properties of Highly Crystallized Anatase TiO2 Nanoparticles. J. Nanosci. Nanotechnol. 2015, 15, 6193–6200. [Google Scholar] [CrossRef]
- Ricchiardi, G.; Damin, A.; Bordiga, S.; Lamberti, C.; Spano, G.; Rivetti, F.; Zecchina, A. Vibrational Structure of Titanium Silicate Catalysts. A Spectroscopic and Theoretical Study. J. Am. Chem. Soc. 2001, 123, 11409–11419. [Google Scholar] [CrossRef] [PubMed]
- Zecchina, A.; Bordiga, S.; Spoto, G.; Marchese, L.; Petrini, G.; Leofanti, G.; Padovan, M. Silicalite characterization. 1. Structure, adsorptive capacity, and IR spectroscopy of the framework and hydroxyl modes. J. Phys. Chem. 1992, 96, 4985. [Google Scholar] [CrossRef]
- Zecchina, A.; Bordiga, S.; Spoto, G.; Marchese, L.; Petrini, G.; Leofanti, G.; Padovan, M. Silicalite characterization. 2. IR spectroscopy of the interaction of carbon monoxide with internal and external hydroxyl groups. J. Phys. Chem. 1992, 96, 4991. [Google Scholar] [CrossRef]
- Zecchina, A.; Bordiga, S.; Spoto, G.; Marchese, L.; Petrini, G.; Leofanti, G.; Padovan, M.; Otero Areàn, C. Low-temperature Fourier-transform Infrared Investigation of the Interaction of CO with Nanosized ZSM5 and Silicalite. J. Chem. Soc. 1992, 88, 2959–2969. [Google Scholar] [CrossRef]
- Bordiga, S.; Ugliengo, P.; Damin, A.; Lamberti, C.; Spoto, G.; Zecchina, A.; Spanò, G.; Buzzoni, R.; Dalloro, L.; Rivetti, F. Hydroxyls nests in defective silicalites and strained structures derived upon dehydroxylation: Vibrational properties and theoretical modelling. Top. Catal. 2001, 15, 43–52. [Google Scholar] [CrossRef]
- Larouche, S.; Szymanowski, H.; Klemberg-Sapieha, J.E.; Martinu, L.; Gujrathi, S.C. Microstructure of plasma-deposited optical films. J. Vac. Sci. Technol. A 2004, 22, 1200–1207. [Google Scholar] [CrossRef]
- de Man, A.; Sauer, J. Coordination, Structure, and Vibrational Spectra of Titanium in Silicates and Zeolites in Comparison with Related Molecules. An ab Initio Study. J. Phys. Chem. 1996, 100, 5025–5034. [Google Scholar] [CrossRef]
- Zhitomirsky, I. Cathodic electrodeposition of ceramic and organoceramic materials. Fundamental aspects. Adv. Colloid. Interfac. 2002, 97, 279–317. [Google Scholar] [CrossRef] [PubMed]
- Dudek, K.; Goryczka, T. Electrophoretic deposition and characterization of thin hydroxyapatite coatings formed on the surface of NiTi shape memory alloy. Ceram. Int. 2016, 42, 19133–19141. [Google Scholar] [CrossRef]
- Zhang, D.; Zhang, C.; Liu, J.; Chen, Q.; Zhu, X.; Liang, C. Carbon-Encapsulated Metal/Metal Carbide/Metal Oxide Core–Shell Nanostructures Generated by Laser Ablation of Metals in Organic Solvents. ACS Appl. Nano Mater. 2019, 2, 28–39. [Google Scholar] [CrossRef]
- Li, J.G.; Tsai, C.Y.; Kuo, S.W. Fabrication and Characterization of Inorganic Silver and Palladium Nanostructures within Hexagonal Cylindrical Channels of Mesoporous Carbon. Polymers 2014, 6, 1794–1809. [Google Scholar] [CrossRef]
- Malik, H.; Sarkar, S.; Mohanty, S.; Carlson, K. Modelling and synthesis of Magnéli Phases in ordered titanium oxide nanotubes with preserved morphology. Sci. Rep. 2020, 10, 8050. [Google Scholar] [CrossRef] [PubMed]
- Arif, A.F.; Balgis, R.; Ogi, T.; Iskandar, F.; Kinoshita, A.; Nakamura, K.; Okuyama, K. Highly conductive nano-sized Magnéli phases titanium oxide (TiOx). Sci. Rep. 2020, 7, 3646. [Google Scholar] [CrossRef] [PubMed]
- Du, Y.; Schuster, J.C.; Seifert, H.J.; Aldinger, F. Experimental Investigation and Thermodynamic Calculation of the Titanium–Silicon–Carbon System. J. Am. Ceram. Soc. 2020, 83, 197–203. [Google Scholar] [CrossRef]
- Amer, M.S.; Barsoum, M.; El-Raghy, T.; Weiss, I.; Leclair, S.; Liptak, D. The Raman spectrum of Ti3SiC2. Appl. Phys. 1998, 84, 5817. [Google Scholar] [CrossRef]
- Rakhadilov, B.; Maksakova, O.; Buitkenov, D.; Kylyshkanov, M.K. Structural-phase and tribo-corrosion properties of composite Ti3SiC2/TiC MAX-phase coatings: An experimental approach to strengthening by thermal annealing. Appl. Phys. A 2022, 128, 1–11. [Google Scholar] [CrossRef]
- Hernández-Ortiz, M.; Hernández-Padrón, G.; Bernal, R.; Cruz-Vázquez, C.; Castaño, V.M. Nanocrystalline mimetic opals: Synthesis and comparative characterization vs. natural stone. Int. J. Basic Appl. Sci. 2015, 4, 238–243. [Google Scholar] [CrossRef]
- Deng, Y.Q.; Sheng, G.M.; Xu, C. Evaluation of the microstructure and mechanical properties of diffusion bonded joints of titanium to stainless steel with a pure silver interlayer. Mater. Des. 2013, 46, 84–87. [Google Scholar] [CrossRef]
- Balasubramanian, M. Application of Box-Behnken design for fabrication of titanium alloy and 304 stainless steel joints with a silver interlayer by diffusion bonding. Mater. Des. 2015, 77, 161–169. [Google Scholar] [CrossRef]
- Dudek, K.; Dulski, M.; Podwórny, J.; Kujawa, M.; Rawicka, P. Optimi-zation of the Electrophoretic Deposition Parameters and Mechanism of Formation of Ag-TiO2 Nano-coating on a NiTi Shape Memory Alloy: Part I. Coatings 2023, 13, 44. [Google Scholar] [CrossRef]
- Padilha, A.C.M.; Raebiger, H.; Rocha, A.R.; Dalpian, G.M. Charge storage in oxygen-deficient phases of TiO2: Defect Physics without defects. Sci. Rep. 2016, 6, 2–8. [Google Scholar] [CrossRef]
- Murashkevich, A.N.; Lavitskaya, A.S.; Barannikova, T.I.; Zharskii, I.M. Infrared absorption spectra and structure of TiO2-SiO2 composites. J. Appl. Spectrosc. 2020, 75, 730–734. [Google Scholar] [CrossRef]
- Cheng, P.; Zheng, M.; Jin, Y.; Huang, Q.; Gu, M. Preparation and characterization of silica-doped titania photocatalyst through sol–gel method. Mater. Lett. 2003, 57, 2989–2994. [Google Scholar] [CrossRef]








Disclaimer/Publisher’s Note: The statements, opinions and data contained in all publications are solely those of the individual author(s) and contributor(s) and not of MDPI and/or the editor(s). MDPI and/or the editor(s) disclaim responsibility for any injury to people or property resulting from any ideas, methods, instructions or products referred to in the content. |
© 2024 by the authors. Licensee MDPI, Basel, Switzerland. This article is an open access article distributed under the terms and conditions of the Creative Commons Attribution (CC BY) license (https://creativecommons.org/licenses/by/4.0/).
Share and Cite
Dudek, K.; Dulski, M.; Podwórny, J.; Kujawa, M.; Gerle, A.; Rawicka, P. Synthesis and Characterization of Silica-Titanium Oxide Nano-Coating on NiTi Alloy. Coatings 2024, 14, 391. https://doi.org/10.3390/coatings14040391
Dudek K, Dulski M, Podwórny J, Kujawa M, Gerle A, Rawicka P. Synthesis and Characterization of Silica-Titanium Oxide Nano-Coating on NiTi Alloy. Coatings. 2024; 14(4):391. https://doi.org/10.3390/coatings14040391
Chicago/Turabian StyleDudek, Karolina, Mateusz Dulski, Jacek Podwórny, Magdalena Kujawa, Anna Gerle, and Patrycja Rawicka. 2024. "Synthesis and Characterization of Silica-Titanium Oxide Nano-Coating on NiTi Alloy" Coatings 14, no. 4: 391. https://doi.org/10.3390/coatings14040391
APA StyleDudek, K., Dulski, M., Podwórny, J., Kujawa, M., Gerle, A., & Rawicka, P. (2024). Synthesis and Characterization of Silica-Titanium Oxide Nano-Coating on NiTi Alloy. Coatings, 14(4), 391. https://doi.org/10.3390/coatings14040391

