Abstract
A hybrid type of polyimide fibers (PIF) grafted with multi-walled carbon nanotubes (MWCNTs) was developed for high-temperature tribological applications. Compared to pure PI samples, the mechanical properties (i.e., Young’s modulus and hardness) of the PIF-based composite were enhanced following a rule of mixture prediction; the onset decomposition temperature of the MWCNT-PIF-based composite was increased by 14.5 °C and the wear rate at 300 °C decreased by 34.5%. To understand the grafting mechanism, Dmol3 simulation was performed, which revealed that the benzene ring and the hydroxyl group of diene-acceptor (DA) donated electrons to the oxygen atom in the nitrogen-containing five-membered ring of PIF and the straight chain structures had higher reactivity than a branched chain structure.
1. Introduction
Polyimide (PI) has been used in many applications [1,2,3], especially under high-temperature conditions, due to its exceptional heat resistance [4] (thermogravimetry > 300 °C) and low linear thermal expansion coefficient [5] (2~4 × 10−5/°C). For example, DuPont’s SP series of polyimide composites replaced metal as a liner material in aircraft engines as early as the 1980s. Protective clothing made from polyimide fibers from the P84 series by Evonik GMBH can withstand temperatures of more than 300 °C [3]. Its unique thermal properties and low density [6] (ranging from 0.35 g/cm3 to 1.5 g/cm3) also make it a promising building-block candidate for synthesizing energy-efficient multi-functional composites, such as solid lubricants for high-temperature settings [7,8,9]. The most common approach involves incorporating dual-component fillers into the polymer matrix [10,11,12], including reinforcing fibers and lubricating agents. Typical reinforcing fibers include carbon fibers [13,14], glass fibers [14], and PBO fibers [15], while lubricating fillers may consist of graphite [16,17], molybdenum disulfide [18,19,20], boron nitride [21,22], among others. However, this approach, while endowing the matrix material with the respective advantages of the fillers, can also affect the crystallinity [23,24,25] of the polymer matrix and, in some cases, hinder molecular chain linking [26,27], resulting in the composite material not achieving the desired performance.
In recent years, researchers have developed hybrid fiber materials with improved overall performance through hydrothermal and coating methods. The aim is to maximize the advantages of lubricity and reinforcement while minimizing the adverse effects brought about by multi-component fillers. For instance, Yuan [28] and colleagues developed a CNT/Nomex/PTFE hybrid material and demonstrated through experiments that it exhibits increased tensile strength, bonding strength, and improved tribological properties. Meng [29] and his research team developed nanofiber hybrid materials with superior micro-sliding wear resistance, crystallinity, and modulus. Duan [30,31] and his fellow researchers produced Ag-Mo hybrids and g-C3N4 hybrids, which also enhanced the material’s temperature resistance and tribological performance. In short, the emergence of these novel hybrid materials effectively replaced traditional binary filler systems, providing new options for composite material modification. Chen [32] and her colleagues prepared a PI/CF-MoS2 hybrid filler, successfully reducing the room-temperature friction coefficient of the composite material by 11%, increasing the initial decomposition temperature by 12.5 °C, and lowering the wear rate by 65.8%.
PI fibers have also been applied as filler materials for composite enhancement due to its smooth surface, low surface energy, and strong chemical resistance [33]. They can also be developed into hybrid fibers to serve multiple purposes in a composite matrix. Several previous research teams [34,35] have employed irradiation to create surface defect sites for the anchoring of functional groups and enhancing interactions with the polymer matrix. However, the synthesis of hybrid PI fibers to serve as both mechanical reinforcement fillers as well as high-temperature tribological enhancement agents has rarely been investigated. Here, multi-walled carbon nanotube (MWCNT)-based PI fibers were developed and integrated into a PI matrix to synthesize composites for high-temperature tribological applications.
2. Materials and Methods
2.1. Preparation of the PIF-MWCNTs Composite
The short-cut PI fibers, diene-ac1ceptor (DA) and carboxyl-functionalized MWCNTs were dispersed in a tris–HCl buffer solution (pH 8.4) with a mass ratio of 1:1:1 followed by a 30 min ultrasonication. The resulting suspension was aged at 23 °C for 12 h. Subsequently, the MWCNTs-decorated PI fibers (PIF-MWCNTs) were obtained after drying at 120 °C for 12 h. PIF-MWCNT composites were synthesized by molding the mixtures of PI, PIF, and PIF-MWCNT with different weight ratios at 370 °C under 20 MPa of pressure for 120 min. The detailed compositions of all composites are listed in Table 1.
Table 1.
The composition of the composites (wt.%).
2.2. Simulation of Reaction Mechanisms
The structure of PIF and DA was obtained from the fiber manufacturer (Changchun Hipolyking Co., Ltd. Yilun® chopped fiber, Changchun, China) and we optimized the models according to the previous literature [36,37,38]. The geometries and energies of all stationary points were fully optimized using the generalized gradient approximation (GGA) with the Perdew–Burke–Ernzerh approximation of parameters, GGA-PBE [39], along with a double-numeric quality basis set with polarization functions (DNP) [40,41]. Each stationary point exhibited no imaginary frequency. The frontier molecular orbital (FMO) energies obtained were used to determine the electron-donating and accepting abilities of the studied reactants. The abilities in the corresponding atoms were predicted using Fukui functions [42,43,44]. The total electrostatic potential (ESP) charge distributions [45] were calculated to provide an interpretation of charge-transfer processes within the considered compounds. All calculations were performed using the Doml3 program package.
2.3. Characterization
The fracture surfaces, worn surfaces, and EDS analysis were examined using a JEM-5600 LV scanning electron microscope (SEM) from JEOL Ltd., Tokyo, Japan. Thermal gravimetric analysis (TGA) was conducted using an STA449C thermal analyzer from NETZSCH-Gerätebau GmbH, Selb, Germany, under an Ar atmosphere ranging from room temperature to 750 °C, with a heating rate of 10 °C/min. The nanoindentation tests were conducted at room temperature with a standard Berkovich tip under load-controlled mode (5000 μN) using a Ti-950 instrument from Hysitron, MN, Minnesota, USA. The surface roughness of the fibers was characterized by atomic force microscopy (AFM) (Bruker Dimension Icon, Marlborough, MA, USA). The surface was scanned in taping mode and the average roughness was calculated by the instrument software (NanoScope Analysis V200).
2.4. Tribological Tests
Friction tests were conducted under high-heat conditions using a pin-on-disk test mode with a THT07-135 friction and wear tester from CSEM, Neuchâtel, Switzerland. The friction pairs consisted of a GCr15 (AISI52100) steel pin (φ = 3.5 mm, with a hardness of ~9 GPa and a roughness of ~0.02 μm) and composites. The applied load was 10 N, with a fixed linear sliding speed of 0.5 m/s. The total sliding distance was set to 2000 m. The friction coefficient, which represents the mean value during the entire sliding process, was automatically recorded by the friction tester. The wear volume was measured using a MicroXAM-800 Nano Map three-dimensional (3D) non-contact surface mapping profile from KLA-Tencor, Milpitas, CA, USA. The wear rate (K) was calculated using the following relationship:
where ΔV represents the wear volume (mm3), F denotes the load (N) and S signifies the total sliding distance (m). Three duplicate friction and wear tests were conducted to minimize the data scattering.
3. Results and Discussion
3.1. Morphology and Microstructure
Figure 1 shows the images of the original (Figure 1a,b) vs. MWCNTs-decorated (Figure 1c,d) PI fibers. It is apparent that the decorated fibers are darker and exhibit a disordered fiber orientation. In addition, the previously smooth fiber surface was grafted with MWCNTs after treatment, which led to a surface roughness increase of 16% (untreated: Ra = ~117 nm; treated: Ra = ~136 nm) measured using an AFM (Figure S1).
Figure 1.
Optical images of original (a) PI fibers and (c) MWCNT-decorated PI fibers; SEM images of the surface of PI fibers (b) before and (d) after MWCNT decorations; the enlarged area shows the detail of the fiber hybrid.
Various strengthening and energy dissipation mechanisms have been proposed for thermoplastics reinforced with discontinuous fibers [46,47]. Numerous studies have indicated that the reinforcement effect of discontinuous fiber-reinforced composites depends on factors such as fiber content, residual fiber, fiber length, fiber strength, matrix properties, fiber–matrix interaction, and fiber orientation in the matrix. In a given composite material system, the interaction at the fiber–matrix interface typically plays a key role in strengthening the system. Figure 2 illustrates the even distribution of PI fibers inside the material. When the material breaks, the majority of the fibers break, and only a small portion are debonded and pulled out. This suggests a strong interface between the fiber and the matrix because the energy required to fracture, is greater than fiber debonding and pullout [36].
Figure 2.
SEM images of the fracture surfaces of (a) PI+PIF-MWCNTs and (b) PIF-MWCNTs.
3.2. Reaction Mechanism
According to the Hammond postulate [48], reactions with a lower energy requirement tend to occur favorably. In comparison to PIF, the DA serves as the electron donor, as substantiated by our EHOMO−LUMO results (refer to Table 2). These results reveal an energy gap E (PIFLUMO − DAHOMO) < E (DALUMO − PIFHOMO). Moreover, our computations indicate a diminished E (PIFLUMO − DAHOMO) value for PIF-1 in contrast to PIF-2, signifying a higher likelihood of DA reacting with PIF-1.
Table 2.
Calculated frontier molecular orbital energies of the title compound.
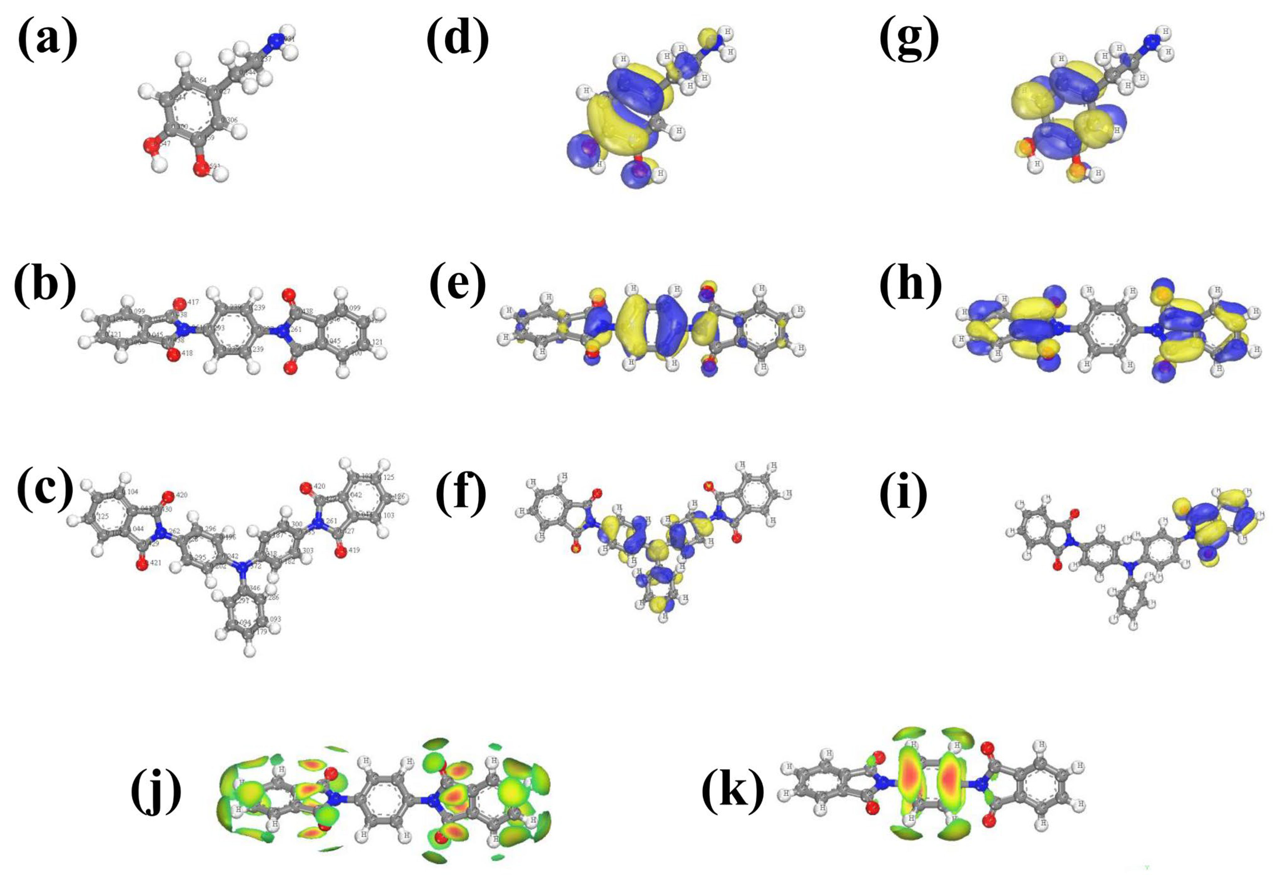
Upon scrutinizing the FMO analysis presented in Figure 3, it becomes apparent that the benzene ring and hydroxy group of DA contribute electrons to the nitrogen-containing five-membered ring in PIF-1. This suggests that DA may act as a nucleophilic reactant, thereby attacking PIF-1. Additionally, as depicted in Figure 3a–c, our ESP charges reveal values of approximately −0.261 e and −0.417 e for the N and O atoms in PIF-1, respectively. These findings strongly suggest that the hydroxyl group in the benzene ring of DA readily reacts with the oxygen atom associated with the nitrogen-containing five-membered ring in PIF-1.
Figure 3.
The ESP charge distributions of the (a) DA (b) PIF-1 (c) and PIF-2; the highest occupied molecular orbital (HOMO) of (d) DA (e) PIF-1 (f) and PIF-2; the lowest unoccupied molecular orbital (LUMO) of (g) DA (h) PIF-1 (i) and PIF-2; (j) the nucleophilic attack and (k) the electrophilic attack of PIF-1 calculated by the 3Fukui functions.
Furthermore, our results from the Fukui functions offer additional support for this conclusion. Notably, as observed in Figure 3j,k, a conspicuous red region is evident on the oxygen atom of the nitrogen-containing five-membered ring in PIF-1, indicating that the preferential active site of PIF-1 is the oxygen atom rather than the nitrogen atom.
3.3. Thermal Properties
The resistance to thermal decomposition of the synthesized PIF-MWCNTs composite were evaluated using a thermogravimetric analyzer (TGA) in argon atmosphere. As shown in Figure 4, the onset decomposition (at 95% residue weight) temperature for the bulk PI, PI+PIF, PIF-MWCNTs composites are 568.2 °C, 574.1 °C, and 582.7 °C (Table S1), respectively. In addition, at a temperature of 750 °C, the residual weights for the bulk PI, PI+PIF, and PIF-MWCNTs composites are 54.4%, 57.6%, and 61.7%, individually. The higher onset decomposition temperature and higher residual weight at higher temperature of the PIF-MWCNTs composite can be attributed to the great heat dissipation abilities of PIF [49,50] and the antioxidative properties of MWCNTs [51]. The inclusion of fibers enhances the heat absorption capacity of the composite, facilitating effective heat dissipation across the material. This, in turn, mitigates the rate of temperature rise, leading to an overall improvement in heat resistance. In addition, PIF-MWCNTs act as a physical barrier, reducing the rate of decomposition of volatile products during the thermal decomposition process of the composite. The composites need to absorb more heat to facilitate the movement of their molecular chains in the thermal decomposition process [52].
Figure 4.
TGA results of different samples (PI, PI+PIF, and PI+PIF-MWCNTs composites).
3.4. Mechanical Properties
To evaluate the mechanical properties of the PIF-MWCNTs composite and the control groups (PI and PI+PIF), nanoindentation tests were performed at room temperature using a Berkovich indenter under load-controlled conditions. Representative load–displacement curves are presented in Figure 5b and the Oliver–Pharr method was applied to calculate the hardness and moduli of samples. As illustrated in Figure 5a, both the hardness and modulus exhibit improvements in samples with fiber reinforcement when compared to the pure PI case. The modulus and hardness enhancement for the PI+PIF and PIF-MWCNTs samples could be due to the great load-bearing and energy absorption capabilities of PIF [53,54]. The presence of the fibers contributes to the even dispersion of stress, preventing concentration in a specific area. Moreover, the increase in modulus agrees reasonably well with a rule-of-mixture prediction. The relatively higher moduli of PI fibers and PI-MWCNTs fibers compared to pure PI act as reinforcement fillers to the composites, which resulted in an increase in the modulus. On the other hand, the modulus difference between the PI+PIF and PI+PIF-MWCNTs composites is small due to the fact that MWCNTs as grafts on the surfaces of PIF do not provide much load-bearing function.
Figure 5.
(a) Hardness and moduli of the PI samples and (b) representative load–displacement curves from nanoindentation tests.
3.5. Tribological Property
The tribological properties of the PI samples were investigated using a pin-on-disk equipment. Firstly, the effect of temperature to the coefficient of friction (COF) and wear rate among the three sample cases was studied. As illustrated in Figure 6a, higher COFs and wear rates were observed for all samples at elevated temperatures compared to those at room temperatures. This could be because at elevated temperatures, the surfaces of these thermoplastic samples became ‘stickier’ due to softening, which promotes friction and wear rate [55,56]. When compared across different types of PI samples, at either temperature, COF of PIF is slightly higher than those of pure PI and PIF-MWCNTs composites, while the wear rate shows a decreasing trend from pure PI to PIF then to PIF-MWCNTs. The slight uptick in COF for the PIF case could be due to the higher roughness of the composites induced by the incorporation of PIF fibers. The primary reason why the wear rate decreases when PIF fibers or PIF-MWCNTs were added could be due to the load-bearing role played by the fibers during the wear process [12,57].
Figure 6.
(a) COF and (b) wear rate of the PI samples at room temperature and 300 °C conducted at 0.5 m/s and 10 N; COF and wear rate of the PI+PIF-MWCNTs composites with varied (c) sliding speeds and (d) normal loads (Tables S2 and S3).
Figure 6c,d illustrate the variations in COF and wear rate of the PIF-MWCNTs composite under different frictional speeds at a constant normal load of 10 N as well as varied normal loads at a constant frictional speed. Figure 7 shows the 3D morphology of the worn surface of the PI/PIF-MWCNTs composites. As anticipated, increased frictional speed or normal load results in more pronounced interactions between the testing pin and the sample, which led to elevated COFs and wear rates.
Figure 7.
Three-dimensional morphology of the worn surface of the PI+PIF-MWCNTs composites with varied (a–c) normal loads and (d–f) sliding speeds.
The rise in COF and the decrease in wear resistance at higher frictional speeds can be attributed to several factors. Firstly, at elevated speeds, the PIF fibers are crushed more rapidly and dispersed on the friction surface, contributing to more severe abrasive wear. Secondly, a higher frictional speed generates more heat, elevating the temperature at the interface and causing softening and degradation of the polymer matrix. This, in turn, diminishes the load-bearing capacity of the resin matrix, making the composite more susceptible to plowing and scratching by the metal pin.
It is noteworthy that the changes in COF are not as pronounced as the wear rate when the frictional speed is increased. This discrepancy may be attributed to the competing effects induced by the elevated temperature. Specifically, higher temperatures soften the resin matrix, resulting in a smoother composite surface. On the other hand, the increased interface temperature makes the contact area between the composite and the metal pin higher, contributing to a higher COF. These opposing factors tend to balance each other out to a certain extent, resulting in an insignificantly altered COF as the temperature rises.
Similarly, when the composite is subjected to a higher normal load, an immediate consequence is a larger contact area, potentially leading to an elevated COF. Additionally, the higher load can accelerate fatigue wear, promoting faster defect propagation and accumulation in the composites. This, in turn, causes debris to be trapped between the contacts, resulting in three-body contact sites and accelerated wear rates. Furthermore, a higher normal load induces increased friction and interface temperature, further contributing to the mechanical degradation of the composite, and ultimately leading to higher COF and wear rates.
4. Conclusions
To enhance the application of polyimide fibers in high-temperature tribology, we employed the polydopamine coating method to graft carbon nanotubes onto the PIF surface. This hybrid fiber effectively enhanced the mechanical properties (i.e., modulus and hardness) as well as the heat and wear resistance of polyimide composites. Compared to pure PI, the onset decomposition temperature of the MWCNT-PIF-based composite was increased by 14.5 °C and the wear rate at 300 °C decreased by 34.5%.
Supplementary Materials
The following supporting information can be downloaded at: https://www.mdpi.com/article/10.3390/coatings14020181/s1, Figure S1. The roughness of PI fibers (a) before and (b) after MWCNT decorations; Table S1. Thermal data obtained by means of TGA analyses of composites; Table S2. COF and wear rate of the PI samples at room temperature and 300 °C conducted at 0.5 m/s and 10 N; Table S3. COF and wear rate of PI/PIF-MWCNTs composites with varied sliding speeds and normal loads.
Author Contributions
Y.Y.: data management, Writing—Original draft; B.Z.: formal analysis, data curation; J.W.: supervision; F.Y.: conceptualization and methodology; C.C.: writing—review and editing. All authors have read and agreed to the published version of the manuscript.
Funding
B.Z., Y.Y. and J.W. acknowledge the funding support from the Chinese Academy of Sciences Science technology cooperation high-tech industrialization project (No. 2023SYHZ0015).
Institutional Review Board Statement
Not applicable.
Informed Consent Statement
Not applicable.
Data Availability Statement
Data are contained within the article.
Conflicts of Interest
The authors declare that there are no conflicts of interest.
References
- Thomas, J.; Patil, R.S.; John, J.; Patil, M. A Comprehensive Outlook of Scope within Exterior Automotive Plastic Substrates and Its Coatings. Coatings 2023, 13, 1569. [Google Scholar] [CrossRef]
- Ma, J.; Liu, X.; Wang, R.; Lu, C.; Wen, X.; Tu, G. Research Progress and Application of Polyimide-Based Nanocomposites. Nanomaterials 2023, 13, 656. [Google Scholar] [CrossRef]
- Sroog, C.E. History of the invention and development of the polyimides. In Polyimides; CRC Press: Boca Raton, FL, USA, 2018; pp. 1–6. [Google Scholar]
- Ma, P.; Dai, C.; Wang, H.; Li, Z.; Liu, H.; Li, W.; Yang, C. A review on high temperature resistant polyimide films: Heterocyclic structures and nanocomposites. Compos. Commun. 2019, 16, 84–93. [Google Scholar] [CrossRef]
- Numata, S.; Kinjo, N.; Makino, D. Chemical structures and properties of low thermal expansion coefficient polyimides. Polym. Eng. Sci. 1988, 28, 906–911. [Google Scholar] [CrossRef]
- Gouzman, I.; Grossman, E.; Verker, R.; Atar, N.; Bolker, A.; Eliaz, N. Advances in polyimide-based materials for space applications. Adv. Mater. 2019, 31, 1807738. [Google Scholar] [CrossRef]
- Ji, S.; Yang, J.; Zhao, J.; Hu, Y.; Gao, H. Study about mechanical property and machinability of polyimide. Polymers 2018, 10, 173. [Google Scholar] [CrossRef] [PubMed]
- Tang, Q.-Y.; Chan, Y.-C.; Wong, N.-B.; Cheung, R. Surfactant-assisted processing of polyimide/multiwall carbon nanotube nanocomposites for microelectronics applications. Polym. Int. 2010, 59, 1240–1245. [Google Scholar] [CrossRef]
- Ree, M. High performance polyimides for applications in microelectronics and flat panel displays. Macromol. Res. 2006, 14, 1–33. [Google Scholar] [CrossRef]
- Wang, Q.; Wang, Y.; Wang, H.; Na, F.; Wang, M.; Hao, L.; Yan, F. Comparative study of the effects of nano-sized and micro-sized CF and PTFE on the thermal and tribological properties of PEEK composites. Polym Adv Technol. 2017, 29, 896–905. [Google Scholar] [CrossRef]
- Liu, N.; Wang, J.; Yang, J.; Han, G.; Yan, F. Combined Effect of Nano-SiO2 and Nano-Al2O3 on Improving the Tribological Properties of Kevlar Fabric/Phenolic Laminate in Water. Tribol. Trans. 2016, 59, 163–169. [Google Scholar] [CrossRef]
- Zhao, G.; Hussainova, I.; Antonov, M.; Wang, Q.; Wang, T. Friction and wear of fiber reinforced polyimide composites. Wear 2013, 301, 122–129. [Google Scholar] [CrossRef]
- Zheng, H.; Zhang, W.; Li, B.; Zhu, J.; Wang, C.; Song, G.; Wu, G.; Yang, X.; Huang, Y.; Ma, L. Recent advances of interphases in carbon fiber-reinforced polymer composites: A review. Compos. Part B Eng. 2022, 233, 109639. [Google Scholar] [CrossRef]
- Karataş, M.A.; Gökkaya, H. A review on machinability of carbon fiber reinforced polymer (CFRP) and glass fiber reinforced polymer (GFRP) composite materials. Def. Technol. 2018, 14, 318–326. [Google Scholar] [CrossRef]
- Liu, D.; Chen, P.; Yu, Q.; Ma, K.; Ding, Z. Improved mechanical performance of PBO fiber-reinforced bismaleimide composite using mixed O2/Ar plasma. Appl. Surf. Sci. 2014, 305, 630–637. [Google Scholar] [CrossRef]
- Zhao, J.; Mao, J.; Li, Y.; He, Y.; Luo, J. Friction-induced nano-structural evolution of graphene as a lubrication additive. Appl. Surf. Sci. 2018, 434, 21–27. [Google Scholar] [CrossRef]
- Li, C.; Xiang, M.; Zhao, X.; Ye, L. In situ synthesis of monomer casting nylon-6/graphene-polysiloxane nanocomposites: Intercalation structure, synergistic reinforcing, and friction-reducing effect. ACS Appl. Mater. Interfaces 2017, 9, 33176–33190. [Google Scholar] [CrossRef]
- Zhang, Z.; Yang, M.; Yuan, J.; Guo, F.; Men, X. Friction and wear behaviors of MoS2-multi-walled-carbonnanotube hybrid reinforced polyurethane composite coating. Friction 2019, 7, 316–326. [Google Scholar] [CrossRef]
- Yuan, H.; Yang, S.; Liu, X.; Wang, Z.; Ma, L.; Hou, K.; Yang, Z.; Wang, J. Polyimide-based lubricating coatings synergistically enhanced by MoS2@ HCNF hybrid. Compos. Part A Appl. Sci. Manuf. 2017, 102, 9–17. [Google Scholar] [CrossRef]
- Yuan, H.; Liu, X.; Ma, L.; Yang, Z.; Wang, H.; Wang, J.; Yang, S. Application of two-dimensional MoS2 nanosheets in the property improvement of polyimide matrix: Mechanical and thermal aspects. Compos. Part A Appl. Sci. Manuf. 2017, 95, 220–228. [Google Scholar] [CrossRef]
- Park, H.; Shin, G.H.; Lee, K.J.; Choi, S.Y. Atomic-scale etching of hexagonal boron nitride for device integration based on two-dimensional materials. Nanoscale 2018, 10, 15205–15212. [Google Scholar] [CrossRef]
- Pei, X.-Q.; Bennewitz, R.; Kasper, C.; Tlatlik, H.; Bentz, D.; Becker-Willinger, C. Tribological synergy of filler components in multifunctional polyimide coatings. Adv. Eng. Mater. 2017, 19, 1600363. [Google Scholar] [CrossRef]
- Majerczak, K.; Wadkin-Snaith, D.; Magueijo, V.; Mulheran, P.; Liggat, J.; Johnston, K. Polyhydroxybutyrate: A review of experimental and simulation studies of the effect of fillers on crystallinity and mechanical properties. Polym. Int. 2022, 71, 1398–1408. [Google Scholar] [CrossRef]
- Yudin, V.E.; Svetlichnyi, V.M.; Gubanova, G.N.; Didenko, A.L.; Sukhanova, T.E.; Kudryavtsev, V.V.; Ratner, S.; Marom, G. Semicrystalline polyimide matrices for composites: Crystallization and properties. J Appl. Polym. Sci. 2002, 83, 2873–2882. [Google Scholar] [CrossRef]
- Jordan, J.; Jacob, K.I.; Tannenbaum, R.; Sharaf, M.A.; Jasiuk, I. Experimental trends in polymer nanocomposites—A review. Mater. Sci. Eng. A 2005, 393, 1–11. [Google Scholar] [CrossRef]
- Zhu, J.; Abeykoon, C.; Karim, N. Investigation into the effects of fillers in polymer processing. Int. J. Lightweight Mater. Manuf. 2021, 4, 370–382. [Google Scholar] [CrossRef]
- Zhang, J.; Liu, Y.; Sun, L. Life satisfaction and degree of suicide intent: A test of the strain theory of suicide. Compr. Psychiatry 2017, 74, 1–8. [Google Scholar] [CrossRef] [PubMed]
- Yuan, J.; Zhang, Z.; Yang, M.; Guo, F.; Men, X.; Liu, W. Carbon nanotubes coated hybrid-fabric composites with enhanced mechanical and thermal properties for tribological applications. Compos. Part A Appl. Sci. Manuf. 2017, 102, 243–252. [Google Scholar] [CrossRef]
- Meng, Z.; Wang, Y.; Xin, X.; Liu, H.; Yan, Y.; Yan, F. Enhanced fretting wear performance of UHMWPE composites by grafting Co–Ni layered double hydroxides on attapulgite nanofibers. Tribol. Int. 2021, 153, 106628. [Google Scholar] [CrossRef]
- Duan, C.; Gao, C.; Li, S.; Yang, R.; Yang, Z.; Zhang, Y.; Tao, L.; Zhang, X.; Wang, Q.; Wang, T. Tailoring polyimide composites with low friction and wear at high temperatures. J. Appl. Polym. Sci. 2021, 139, 51736. [Google Scholar] [CrossRef]
- Duan, C.; He, R.; Li, S.; Shao, M.; Yang, R.; Tao, L.; Wang, C.; Yuan, P.; Wang, T.; Wang, Q. Exploring the friction and wear behaviors of Ag-Mo hybrid modified thermosetting polyimide composites at high temperature. Friction 2020, 8, 893–904. [Google Scholar] [CrossRef]
- Chen, B.; Li, X.; Jia, Y.; Li, X.; Yang, J.; Yan, F.; Li, C. MoS2 nanosheets-decorated carbon fiber hybrid for improving the friction and wear properties of polyimide composite. Compos. Part A Appl. Sci. Manuf. 2018, 109, 232–238. [Google Scholar] [CrossRef]
- Mu, S.; Wu, Z.; Qi, S.; Wu, D.; Yang, W. Preparation of electrically conductive polyimide/silver composite fibers via in-situ surface treatment. Mater. Lett. 2010, 64, 1668–1671. [Google Scholar] [CrossRef]
- Lu, C.; Shao, H.; Chen, N.; Jiang, J. Surface modification of polyimide fibers for high-performance composite by using oxygen plasma and silane coupling agent treatment. Text. Res. J. 2022, 92, 4899–4911. [Google Scholar] [CrossRef]
- Wen, Y.; Meng, X.; Liu, J.; Yan, J.; Wang, Z. Surface modification of high-performance polyimide fibers by oxygen plasma treatment. High Perform. Polym. 2016, 29, 1083–1089. [Google Scholar] [CrossRef]
- Zhang, L.; Han, E.; Wu, Y.; Wang, X.; Wu, D. Surface decoration of short-cut polyimide fibers with multi-walled carbon nanotubes and their application for reinforcement of lightweight PC/ABS composites. Appl. Surf. Sci. 2018, 442, 124–137. [Google Scholar] [CrossRef]
- Liu, C.; Song, J.; Zhao, G.; Yin, Y.; Ding, Q. Improving Thermal Conductivity and Tribological Performance of Polyimide by Filling Cu, CNT, and Graphene. Micromachines 2023, 14, 616. [Google Scholar] [CrossRef] [PubMed]
- Salley, J.M.; Miwa, T.; Frank, C.W. Intramolecular Charge Transfer in Aromatic Polyimides. MRS Online Proc. Libr. 1991, 227, 117. [Google Scholar] [CrossRef]
- Perdew, J.P.; Burke, K.; Ernzerhof, M. Generalized Gradient Approximation Made Simple. Phys. Rev. Lett. 1997, 77, 3865. [Google Scholar] [CrossRef]
- Delley, B. An all-electron numerical method for solving the local density functional for polyatomic molecules. J. Chem. Phys. 1990, 92, 508–517. [Google Scholar] [CrossRef]
- Delley, B. From molecules to solids with the DMol3 approach. J. Chem. Phys. 2000, 113, 7756–7764. [Google Scholar] [CrossRef]
- Parr, R.; Yang, W. Density functional approach to the frontier-electron theory of chemical reactivity. J. Am. Chem. Soc. 1984, 106, 4049–4050. [Google Scholar] [CrossRef]
- Yang, W.; Parr, R.G. Hardness, softness, and the fukui function in the electronic theory of metals and catalysis. Proc. Natl. Acad. Sci. USA 1985, 82, 6723–6726. [Google Scholar] [CrossRef]
- Ayers, P.W.; Levy, M. Perspective on “Density functional approach to the frontier-electron theory of chemical reactivity”. Theor. Chem. Acc. 2000, 103, 353–360. [Google Scholar] [CrossRef]
- Reed, A.E.; Curtiss, L.A.; Weinhold, F. Intermolecular interactions from a natural bond orbital, donor-acceptor viewpoint. Chem. Rev. 1988, 88, 899–926. [Google Scholar] [CrossRef]
- Wells, J.K.; Beaumont, P.W.R. The toughness of a composite containing short brittle fibers. J. Mater. Sci. 1988, 23, 1274–1278. [Google Scholar] [CrossRef]
- Wang, W.; Tang, L.; Qu, B. Mechanical properties and morphological structures of short glass fiber reinforced PP/EPDM composite. Eur. Polym. J. 2003, 39, 2129–2134. [Google Scholar] [CrossRef]
- Hammond, G.S. A correlation of reaction rates. J. Am. Chem. Soc. 1955, 77, 334–338. [Google Scholar] [CrossRef]
- Kuang, T.; Hans, L.; Suresh, G.A. Experimental investigation of heat dispersion due to impregnation of viscous fluids in heated fibrous porous during composites processing. ASME J. Heat Mass Transf. 2001, 123, 178–187. [Google Scholar]
- Yuan, B.; Ding, S.Q.; Wang, D.; Wang, G.; Li, H. Heat insulation properties of silica aerogel/glass fiber composites fabricated by press forming. Mater. Lett. 2012, 75, 204–206. [Google Scholar] [CrossRef]
- Zeynalov, E.B.; Friedrich, J.F. Antioxidant properties of multiwall carbon nanotubes: First measurements using a model oxidative reaction. Polym. Polym. Compos. 2006, 14, 779–786. [Google Scholar] [CrossRef]
- Zhang, J.; Du, Z.; Zou, W.; Li, H.; Zhang, C. MgO nanoparticles-decorated carbon fibers hybrid for improving thermal conductive and electrical insulating properties of Nylon 6 composite. Compos. Sci. Technol. 2017, 148, 1–8. [Google Scholar] [CrossRef]
- He, B.; Wang, B.; Wang, Z.; Qi, S.; Tian, G.; Wu, D. Mechanical properties of hybrid composites reinforced by carbon fiber and high-strength and high-modulus polyimide fiber. Polymer 2020, 204, 122830. [Google Scholar] [CrossRef]
- Yu, Z.; Wang, X.; Wu, D. Mechanical properties, impact fracture behavior, and morphology of long-polyimide-fiber-reinforced poly (butylene terephthalate) composites. J. Compos. Mater. 2017, 51, 3425–3439. [Google Scholar] [CrossRef]
- Chang, L.; Zhang, Z.; Ye, L.; Friedrich, K. Tribological properties of high temperature resistant polymer composites with fine particles. Tribol. Int. 2007, 40, 1170–1178. [Google Scholar] [CrossRef]
- Kurdi, A.; Kan, W.; Chang, L. Tribological behaviour of high performance polymers and polymer composites at elevated temperature. Tribol. Int. 2007, 130, 94–105. [Google Scholar] [CrossRef]
- HParikh, H.; Gohil, P.P. Tribology of fiber reinforced polymer matrix composites—A review. J. Reinf. Plast. Compos. 2015, 34, 1340–1346. [Google Scholar] [CrossRef]
Disclaimer/Publisher’s Note: The statements, opinions and data contained in all publications are solely those of the individual author(s) and contributor(s) and not of MDPI and/or the editor(s). MDPI and/or the editor(s) disclaim responsibility for any injury to people or property resulting from any ideas, methods, instructions or products referred to in the content. |
© 2024 by the authors. Licensee MDPI, Basel, Switzerland. This article is an open access article distributed under the terms and conditions of the Creative Commons Attribution (CC BY) license (https://creativecommons.org/licenses/by/4.0/).






