Effect of the Activator Type on the Microstructure and Properties of the Vanadizing Layer on the Surface of GCr15 Steel
Abstract
1. Introduction
2. Specimen Preparation and Test Methods
3. Results and Analysis
3.1. The Microstructure of the Diffusion Layer
3.2. Mechanical Properties of the Diffusion Layer
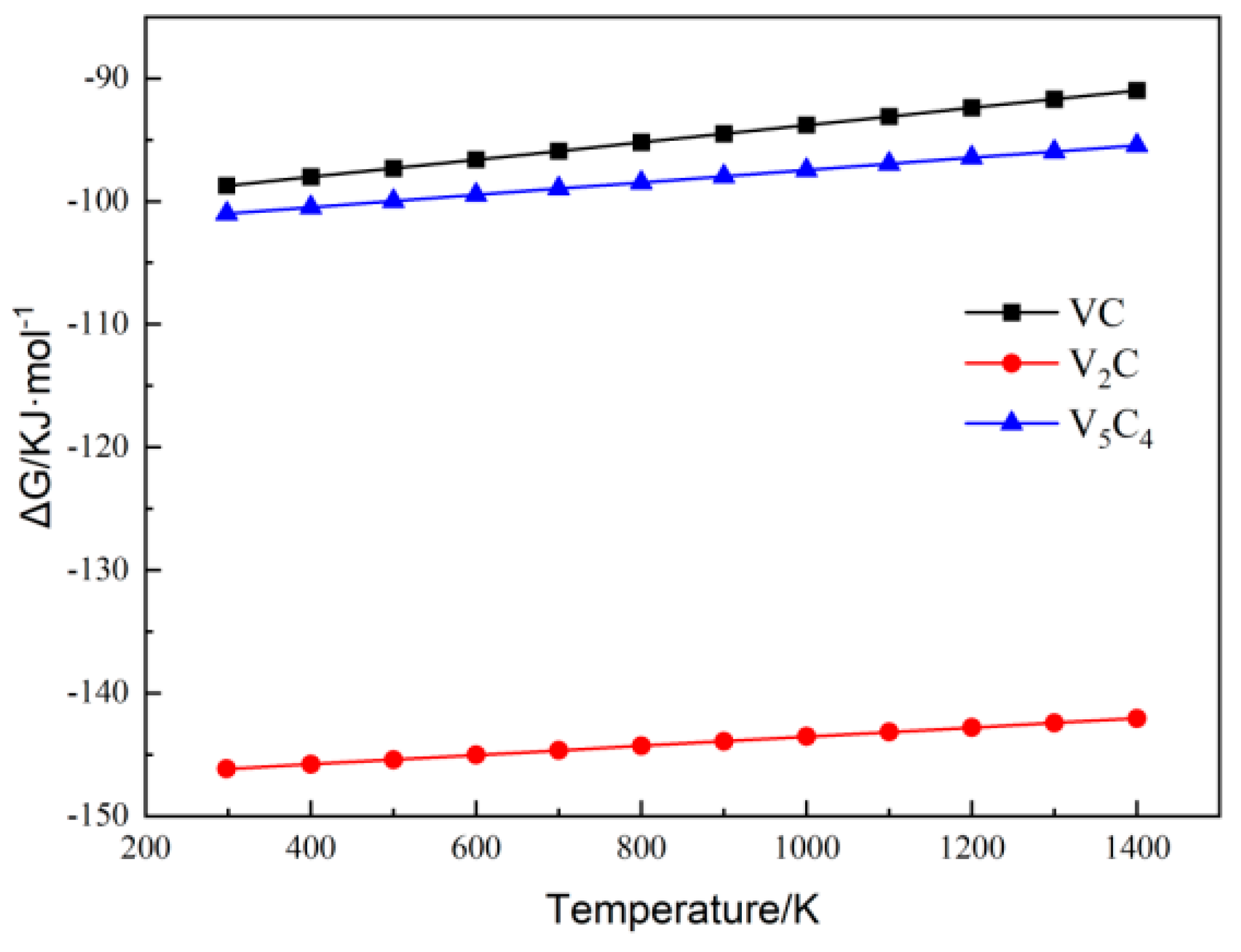
3.3. Vanadizing Differential Thermal Analysis
4. Conclusions
- (1)
- The vanadizing layer prepared through powder pack cementation on the surface of GCr15 steel is dense and uniform, and different kinds of activators have no obvious effect on the phase composition of the vanadizing layer, which is mainly composed of VCx, CrCx, and α-Fe phases. The element diffusion phenomenon exists between the vanadizing layer and the matrix prepared using different kinds of activators, the element V mainly concentrates in the diffusion layer, and the element Cr obviously accumulates at the joint of the diffusion layer and the collective.
- (2)
- When the type of activator is CuCl+Cr, the quality of the vanadizing layer is the best, the thickness reaches the maximum of 10.87 um, the hardness value reaches the maximum of 2331.7 HV, the bond between the diffusion layer and the matrix is close, and the toughness of the diffusion layer is better. The friction coefficient of the vanadizing layer prepared using the activator CuCl+Cr is not much different from that of the vanadizing layer prepared using the activator NH4Cl.
- (3)
- The activator CuCl+Cr and the activator NH4Cl have similar activation effects, and NH4Cl has a strong activation effect in a short time.
- (4)
- In summary, the vanadizing layer prepared with CuCl+Cr as an activator in a vanadizing agent has excellent performance, and it can replace NH4Cl. The effects of different CuCl+Cr contents on the vanadizing layer will be verified through continuous experiments at a later stage.
Author Contributions
Funding
Institutional Review Board Statement
Informed Consent Statement
Data Availability Statement
Conflicts of Interest
References
- Chen, N.; Wang, Z.; Chen, S. Effect of Rare Earth Ce on Primary Carbides in GCr15 Bearing Steel. Mater. Rep. 2024, 1, 1–13. [Google Scholar]
- Yin, Z.M.; Li, J.W.; Cao, C. Research on Timing Chain Wear Performance of the Engine. J. Mech. Transm. 2020, 44, 172–176. [Google Scholar]
- Aghaie, N.M.; Fazlalipour, F. Vanadium carbide coatings on die steel deposited by the thermo-reactive diffusion technique. J. Phys. Chem. Solids 2008, 69, 2465–2470. [Google Scholar] [CrossRef]
- Fan, X.S.; Yang, Z.G.; Zhang, C. Evaluation of vanadium carbide coatings on AISI H13 obtained by thermo-reactive deposition/diffusion techniqu. Surf. Coat. Technol. 2010, 205, 641–646. [Google Scholar] [CrossRef]
- Zhou, L.; Zhou, C.; Guo, L. Growth kinetics and wear resistance of vanadium carbide on AISI D2 steel produced by TRD process. Mater. Res. Express 2021, 8, 036501. [Google Scholar] [CrossRef]
- Hao, D.Z.; Gu, Z.G.; Xi, Z.L. Study of Powder-vanadizing Process for Cr12 Mould Steels. Hot Work. Technol. 2005, 3, 56–57. [Google Scholar]
- Meng, L.Y.; Shang, J.; Zhang, M.J. Growth Kinetics and Mechanical Properties of Rare-Earth Vanadiumizing Layer on GCr15 Steel Surface. Coatings 2022, 12, 1018. [Google Scholar] [CrossRef]
- Gu, Z.G.; Yang, J.X.; Li, Z.J. Resarch on Soild Power Vanadizing Technique. Hot Work. Technol. 1992, 3, 32–35. [Google Scholar]










| Chemical Element | C | Si | Mn | Cr | S | Ni | P |
|---|---|---|---|---|---|---|---|
| wt.% | 0.95–1.05 | 0.15–0.35 | 0.25–0.45 | 1.40–1.65 | ≤0.02 | ≤0.30 | ≤0.027 |
Disclaimer/Publisher’s Note: The statements, opinions and data contained in all publications are solely those of the individual author(s) and contributor(s) and not of MDPI and/or the editor(s). MDPI and/or the editor(s) disclaim responsibility for any injury to people or property resulting from any ideas, methods, instructions or products referred to in the content. |
© 2024 by the authors. Licensee MDPI, Basel, Switzerland. This article is an open access article distributed under the terms and conditions of the Creative Commons Attribution (CC BY) license (https://creativecommons.org/licenses/by/4.0/).
Share and Cite
Meng, L.; Jiang, D.; Pang, N.; Li, M.; Shang, J. Effect of the Activator Type on the Microstructure and Properties of the Vanadizing Layer on the Surface of GCr15 Steel. Coatings 2024, 14, 1397. https://doi.org/10.3390/coatings14111397
Meng L, Jiang D, Pang N, Li M, Shang J. Effect of the Activator Type on the Microstructure and Properties of the Vanadizing Layer on the Surface of GCr15 Steel. Coatings. 2024; 14(11):1397. https://doi.org/10.3390/coatings14111397
Chicago/Turabian StyleMeng, Lingyao, Depeng Jiang, Ningning Pang, Ming Li, and Jian Shang. 2024. "Effect of the Activator Type on the Microstructure and Properties of the Vanadizing Layer on the Surface of GCr15 Steel" Coatings 14, no. 11: 1397. https://doi.org/10.3390/coatings14111397
APA StyleMeng, L., Jiang, D., Pang, N., Li, M., & Shang, J. (2024). Effect of the Activator Type on the Microstructure and Properties of the Vanadizing Layer on the Surface of GCr15 Steel. Coatings, 14(11), 1397. https://doi.org/10.3390/coatings14111397

