Asymmetric Supercapacitor Performance Enhancement Through Fe-Doped MoS₂ Nanosheets Synthesized via Hydrothermal Method
Abstract
1. Introduction
2. Experimental Section
Fabrication of Fe-MoS2 Electrodes
3. Sample Characterization and Electrochemical Measurements
4. Results and Discussion
4.1. X-ray Diffraction Analysis
4.2. X-ray Photoelectron Spectroscopy
4.3. Morphological and Elemental Compositional Characteristics
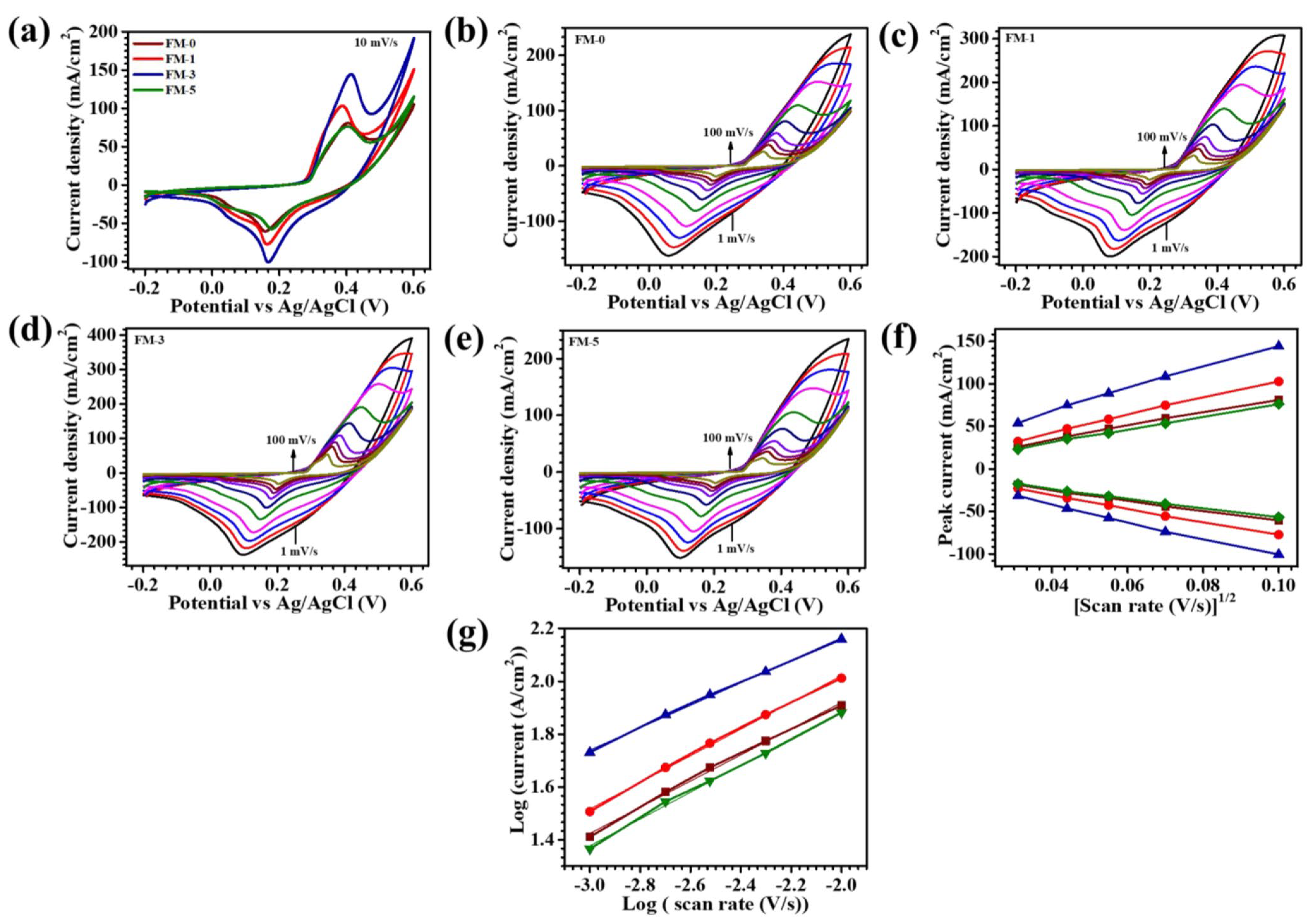
4.4. Electrochemical Measurements
5. Electrochemical Performance of Asymmetric Pouch-Type Supercapacitor
6. Conclusions
Supplementary Materials
Author Contributions
Funding
Institutional Review Board Statement
Informed Consent Statement
Data Availability Statement
Acknowledgments
Conflicts of Interest
References
- Moghimian, S.; Sangpour, P. One-step hydrothermal synthesis of GQDs-MoS2 nanocomposite with enhanced supercapacitive performance. J. Appl. Electrochem. 2020, 50, 71–79. [Google Scholar] [CrossRef]
- Shabangoli, Y.; Rahmanifar, M.S.; El-Kady, M.F.; Noori, A.; Mousavi, M.F.; Kaner, R.B. An integrated electrochemical device based on earth-abundant metals for both energy storage and conversion. Energy Storage Mater. 2018, 11, 282–293. [Google Scholar] [CrossRef]
- Hanifehpour, Y.; Abdolmaleki, M.; Moradi, N.; Farhood, A.H.S.; Ahmadiyeh, S.; Allahgholipour, G.R.; Hosseini, J. Investigation of the Supercapacitor Behavior of MoS2 and Fe-Doped MoS2 Nano-Flowers Synthesized Using the Hydrothermal Method. New J. Chem. 2022, 42, 20932–20939. [Google Scholar] [CrossRef]
- Vikraman, D.; Hussain, S.; Karuppasamy, K.; Kathalingam, A.; Jo, E.B.; Sanmugam, A.; Jung, J.; Kim, H.S. Engineering the Active Sites Tuned MoS2 Nanoarray Structures by Transition Metal Doping for Hydrogen Evolution and Supercapacitor Applications. J. Alloys Compd. 2022, 893, 162271. [Google Scholar] [CrossRef]
- Xu, C.; Yang, W.; Zhao, J.; Ma, J.; Wu, M. Designing Multifunctional Co and Fe Co-Doped MoS2 Nanocube Electrodes for Dye-Sensitized Solar Cells, Perovskite Solar Cells, and a Supercapacitor. ACS Omega 2021, 6, 24931–24939. [Google Scholar] [CrossRef]
- Wang, Y.; Xie, Y. Electroactive FeS2-Modified MoS2 Nanosheet for High-Performance Supercapacitor. J. Alloys Compd. 2020, 824, 153936. [Google Scholar] [CrossRef]
- Kour, P.; Kour, S.; Deeksha; Sharma, A.L.; Yadav, K. Electrochemical Advancements in Molybdenum Disulfide via Different Transition Metal (Cr, Mn, Fe, Co) Doping for Hybrid Supercapacitors. J. Alloys Compd. 2024, 981, 173740. [Google Scholar] [CrossRef]
- Zhang, M.; Song, Z.; Liu, H.; Wang, A.; Shao, S. MoO2 Coated Few Layers of MoS2 and FeS2 Nanoflower Decorated S-Doped Graphene Interoverlapped Network for High-Energy Asymmetric Supercapacitor. J. Colloid Interface Sci. 2021, 584, 418–428. [Google Scholar] [CrossRef]
- Qi, K.; Yuan, Z.; Hou, Y.; Zhao, R.; Zhang, B. Facile Synthesis and Improved Li-Storage Performance of Fe-Doped MoS2/Reduced Graphene Oxide as Anode Materials. Appl. Surf. Sci. 2019, 483, 688–695. [Google Scholar] [CrossRef]
- Saseendran, S.B.; Ashok, A.; Asha, A.S. Flexible and Binder-Free Supercapacitor Electrode with High Mass Loading Using Transition Metal Doped MoS2 Nanostructures. J. Alloys Compd. 2023, 968, 172131. [Google Scholar] [CrossRef]
- Bello, I.T.; Otun, K.O.; Nyongombe, G.; Adedokun, O.; Kabongo, G.L.; Dhlamini, M.S. Synthesis, Characterization, and Supercapacitor Performance of a Mixed-Phase Mn-Doped MoS2 Nanoflower. Nanomaterials 2022, 12, 490. [Google Scholar] [CrossRef]
- Toupin, M.; Brousse, T.; Bélanger, D. Charge storage mechanism of MnO2 electrode used in aqueous electrochemical capacitor. Chem. Mater. 2004, 16, 3184–3190. [Google Scholar] [CrossRef]
- Asaithambi, S.; Sakthivel, P.; Karuppaiah, M.; Balamurugan, K.; Yuvakkumar, R.; Thambidurai, M.; Ravi, G. Synthesis and Characterization of Various Transition Metals Doped SnO2@MoS2 Composites for Supercapacitor and Photocatalytic Applications. J. Alloys Compd. 2021, 853, 157060. [Google Scholar] [CrossRef]
- Chang, Z.; Ju, X.; Guo, P.; Zhu, X.; Liao, C.; Zong, Y.; Li, X.; Zheng, X. Enhanced Performance of Supercapacitor Electrode Materials Based on Hierarchical Hollow Flowerlike HRGOs/Ni-Doped MoS2 Composite. J. Alloys Compd. 2020, 824, 153873. [Google Scholar] [CrossRef]
- Bello, I.T.; Otun, K.O.; Nyongombe, G.; Adedokun, O.; Kabongo, G.L.; Dhlamini, M.S. Non-Modulated Synthesis of Cobalt-Doped MoS2 for Improved Supercapacitor Performance. Int. J. Energy Res. 2022, 46, 8908–8918. [Google Scholar] [CrossRef]
- Wang, L.; Wu, J.; Wang, X.; Fu, S. Defect Engineering of MoS2-Based Materials as Supercapacitors Electrode: A Mini Review. J. Alloys Compd. 2023, 959, 170548. [Google Scholar] [CrossRef]
- Choi, J.; Nkhama, A.; Kumar, A.; Mishra, S.R.; Perez, F.; Gupta, R.K. A Facile Preparation of Sulfur Doped Nickel–Iron Nanostructures with Improved HER and Supercapacitor Performance. Int. J. Hydrogen Energy 2022, 47, 7511–7521. [Google Scholar] [CrossRef]
- Velayutham, R.; Manikandan, R.; Raj, C.J.; Savariraj, A.D.; Cho, W.J.; Jang, H.M.; Kim, B.C. Rationally Designed Metal–Organic Framework Templated Iron-Molybdenum Sulfide for High Energy Density Hybrid Supercapacitors. Appl. Surf. Sci. 2021, 570, 151051. [Google Scholar] [CrossRef]
- Teli, A.M.; Beknalkar, S.A.; Amte, R.U.; Morankar, P.J.; Yewale, M.A.; Burungale, V.V.; Jeon, C.W.; Efstathiadis, H.; Shin, J.C. Investigating into the Intricacies of Charge Storage Kinetics in NbMn-Oxide Composite Electrodes for Asymmetric Supercapacitor and HER Applications. J. Alloys Compd. 2023, 965, 171305. [Google Scholar] [CrossRef]
- Wang, Z.; Wang, J.; Wang, F.; Zhang, X.; He, X.; Liu, S.; Zhang, Z.; Zhang, Z.; Wang, X.T. One-Step Hydrothermal Synthesis of High-Performance Stable Ni-Doped 1T-MoS2 Electrodes for Supercapacitors. J. Alloys Compd. 2023, 947, 169505. [Google Scholar] [CrossRef]
- Palanisamy, R.; Karuppiah, D.; Venkatesan, S.; Mani, S.; Kuppusamy, M.; Marimuthu, S.; Karuppanan, A.; Govindaraju, R.; Marimuthu, S.; Rengapillai, S.; et al. High-Performance Asymmetric Supercapacitor Fabricated with a Novel MoS2/Fe2O3/Graphene Composite Electrode. Colloids Interface Sci. Commun. 2022, 46, 100573. [Google Scholar] [CrossRef]
- Shao, J.; Li, Y.; Zhong, M.; Wang, Q.; Luo, X.; Li, K.; Zhao, W. Enhanced-Performance Flexible Supercapacitor Based on Pt-Doped MoS2. Mater. Lett. 2019, 252, 173–177. [Google Scholar] [CrossRef]
- Palanisamy, S.; Periasamy, P.; Subramani, K.; Shyma, A.P.; Venkatachalam, R. Ultrathin Sheet Structure Ni-MoS2 Anode and MnO2/Water Dispersion Graphene Cathode for Modern Asymmetrical Coin Cell Supercapacitor. J. Alloys Compd. 2018, 731, 936–944. [Google Scholar] [CrossRef]
- Falola, B.D.; Fan, L.; Wiltowski, T.; Suni, I.I. Electrodeposition of Cu-Doped MoS2 for Charge Storage in Electrochemical Supercapacitors. J. Electrochem. Soc. 2017, 164, D674–D679. [Google Scholar] [CrossRef]
- Ellabban, O.; Abu-Rub, H.; Blaabjerg, F. Renewable Energy Resources: Current Status, Future Prospects and Their Enabling Technology. Renew. Sustain. Energy Rev. 2014, 39, 748–764. [Google Scholar] [CrossRef]
- Schoetz, T.; Gordon, L.W.; Ivanov, S.; Bund, A.; Mandler, D.; Messinger, R.J. Disentangling Faradaic, Pseudocapacitive, and Capacitive Charge Storage: A Tutorial for the Characterization of Batteries, Supercapacitors, and Hybrid Systems. Electrochim. Acta 2022, 412, 140072. [Google Scholar] [CrossRef]
- Yun, Q.; Li, L.; Hu, Z.; Lu, Q.; Chen, B.; Zhang, H. Layered Transition Metal Dichalcogenide-Based Nanomaterials for Electrochemical Energy Storage. Adv. Mater. 2020, 32, 1903826. [Google Scholar] [CrossRef]
- Bao, E.; Sun, J.; Liu, Y.; Ren, X.; Liu, X.; Xu, C.; Chen, H. Facile Preparation of SnS2 Nanoflowers and Nanoplates for the Application of High-Performance Hybrid Supercapacitors. Int. J. Hydrogen Energy 2022, 47, 39204–39214. [Google Scholar] [CrossRef]
- Wu, M.; Yao, X.; Hao, Y.; Dong, H.; Cheng, Y.; Liu, H.; Lu, F.; Wang, W.; Cho, K.; Wang, W.H. Electronic Structures, Magnetic Properties and Band Alignments of 3d Transition Metal Atoms Doped Monolayer MoS2. Phys. Lett. A 2018, 382, 111–115. [Google Scholar] [CrossRef]
- Charapale, M.R.; Shembade, U.V.; Ahir, S.A.; Kothavale, V.P.; Jadhav, N.T.; Sankpal, V.G.; Waifalkar, P.P.; Moholkar, A.V.; Dongale, T.D.; Masti, S.A. Enhancing Capacitive Performance of MoS2 through Fe Doping: Synthesis, Characterization, and Electrochemical Evaluation for Supercapacitor Applications. Surf. Interfaces 2024, 52, 104814. [Google Scholar] [CrossRef]
- Yao, X.; Zhu, J.; Wang, H.; Yang, K.; Shu, Y.; He, J. Facile Synthesis of Fe-MoS2/NRGO Composite Material as Effective Electrocatalyst for High-Efficiency Hydrogen Evolution Reaction. Appl. Surf. Sci. 2022, 587, 152842. [Google Scholar] [CrossRef]
- Wang, W.; Huang, J.; Fu, Y.; Jiang, W.; Chen, Y.; Ma, Y.; Han, S. A 3D Porous Fe-MoS2/CMF Catalyst for High-Efficient Catalytic Reforming of Lignin Vapor by Microwave Irradiation. Appl. Catal. B Environ. 2023, 333, 122787. [Google Scholar] [CrossRef]
- Zarach, Z.; Nowak, A.P.; Trzciński, K.; Gajowiec, G.; Trykowski, G.; Sawczak, M.; Łapiński, M.; Szkoda, M. Influence of Hydrochloric Acid Concentration and Type of Nitrogen Source on the Electrochemical Performance of TiO2/N-MoS2 for Energy Storage Applications. Appl. Surf. Sci. 2023, 608, 155187. [Google Scholar] [CrossRef]
- Cheng, L.; Zhang, Q.; Xu, M.; Zhai, Q.; Zhang, C. Two-for-One Strategy: Three-Dimensional Porous Fe-Doped Co3O4 Cathode and N-Doped Carbon Anode Derived from a Single Bimetallic Metal-Organic Framework for Enhanced Hybrid Supercapacitor. J. Colloid Interface Sci. 2021, 583, 299–309. [Google Scholar] [CrossRef]
- Andikaey, Z.; Ensafi, A.A.; Rezaei, B. Iron-Doped Cobalt Copper Phosphide/Phosphate Composite with 3D Hierarchical Flower-like Structures as Electrodes for Hybrid Supercapacitors. Electrochim. Acta 2021, 393, 139061. [Google Scholar] [CrossRef]
- Liu, L.; Zhang, H.; Fang, L.; Mu, Y.; Wang, Y. Facile Preparation of Novel Dandelion-like Fe-Doped NiCo2O4 Microspheres@nanomeshes for Excellent Capacitive Property in Asymmetric Supercapacitors. J. Power Sources 2016, 327, 135–144. [Google Scholar] [CrossRef]
- Amate, R.U.; Morankar, P.J.; Chavan, G.T.; Teli, A.M.; Desai, R.S.; Dalavi, D.S.; Jeon, C.W. Bi-Functional Electrochromic Supercapacitor Based on Hydrothermal-Grown 3D Nb2O5 Nanospheres. Electrochim. Acta 2023, 459, 142522. [Google Scholar] [CrossRef]
- Sambath Kumar, K.; Choudhary, N.; Pandey, D.; Ding, Y.; Hurtado, L.; Chung, H.S.; Tetard, L.; Jung, Y.; Thomas, J. Investigating 2D WS2 supercapacitor Electrode Performance by Kelvin Probe Force Microscopy. J. Mater. Chem. A 2020, 8, 12699–12704. [Google Scholar] [CrossRef]
- Patil, A.M.; Moon, S.; Seo, Y.; Roy, S.B.; Jadhav, A.A.; Dubal, D.P.; Kang, K.; Jun, S.C. Reconfiguring the Electronic Structure of Heteroatom Doped Carbon Supported Bimetallic Oxide@Metal Sulfide Core–Shell Heterostructure via In Situ Nb Incorporation toward Extrinsic Pseudocapacitor. Small 2023, 19, 2205491. [Google Scholar] [CrossRef]
- Teli, A.M.; Bhat, T.S.; Beknalkar, S.A.; Mane, S.M.; Chaudhary, L.S.; Patil, D.S.; Pawar, S.A.; Efstathiadis, H.; Shin, J.C. Bismuth Manganese Oxide Based Electrodes for Asymmetric Coin Cell Supercapacitor. Chem. Eng. J. 2022, 430, 133138. [Google Scholar] [CrossRef]
- Padalkar, N.S.; Dubal, D.P.; Park, J.P. Self-Assembled Polyoxovanadate-Intercalated Layered Double Hydroxide Nanosheets Hybridized with Graphene Oxide for Extrinsic Supercapacitors. J. Mater. Chem. A 2024, 12, 13901–13914. [Google Scholar] [CrossRef]
- Khaladkar, S.R.; Maurya, O.; Gund, G.; Sinha, B.; Dubal, D.; Deshmukh, R.; Kalekar, A. Extrinsic Pseudocapacitive NiSe/RGO/g-C3N4 Nanocomposite for High-Performance Hybrid Supercapacitors. ACS Appl. Mater. Interfaces 2024, 16, 11408–11420. [Google Scholar] [CrossRef] [PubMed]
- Teli, A.M.; Beknalkar, S.A.; Burungale, V.V.; Amte, R.U.; Morankar, P.J.; Satale, V.V.; Yewale, M.A.; Dhavale, R.P.; Shin, J.C. Investigating the Synergistic Effects of NbCo-Oxide Composite Electrodes in Supercapacitor and Water Splitting Applications via Hydrothermal Synthesis. J. Energy Storage 2024, 86, 111155. [Google Scholar] [CrossRef]
- Deshmukh, T.B.; Mendhe, A.C.; Padwal, C.; Dubal, D.; Kim, D.Y.; Sankapal, B.R. Unlocking the synergetic potential of cobalt iron phosphate and multiwalled carbon nanotube composites towards supercapacitor application. J. Mater. Chem. A 2024, 12, 9896–9908. [Google Scholar] [CrossRef]
- Amate, R.U.; Morankar, P.J.; Teli, A.M.; Beknalkar, S.A.; Chavan, G.T.; Ahir, N.A.; Dalavi, D.S.; Jeon, C.W. Versatile Electrochromic Energy Storage Smart Window Utilizing Surfactant-Assisted Niobium Oxide Thin Films. Chem. Eng. J. 2024, 484, 149556. [Google Scholar] [CrossRef]
- Bello, I.T.; Oladipo, A.O.; Adedokun, O.; Dhlamini, S.M. Recent Advances on the Preparation and Electrochemical Analysis of MoS2-Based Materials for Supercapacitor Applications: A Mini-Review. Mater. Today Commun. 2020, 25, 101664. [Google Scholar] [CrossRef]
- Koo, B.R.; Jo, M.H.; Kim, K.H.; Ahn, H.J. Amorphous-Quantized WO3·H2O Films as Novel Flexible Electrode for Advanced Electrochromic Energy Storage Devices. Chem. Eng. J. 2021, 424, 130383. [Google Scholar] [CrossRef]
- Isacfranklin, M.; Princy, L.E.M.; Rathinam, Y.; Kungumadevi, L.; Ravi, G.; Al-Sehemi, A.G.; Velauthapillai, D. Rare Earth-Doped MoS2 for Supercapacitor Application. Energy Fuels 2022, 36, 6476–6482. [Google Scholar] [CrossRef]









| Sample Code | Diffusion Coefficient (cm2/s) × 10−7 | b-Value | ESR (Ω) | |
|---|---|---|---|---|
| Oxidation | Reduction | |||
| FM-0 | 10.1 | 5.6 | 0.42 | 0.9 |
| FM-1 | 16.3 | 9.2 | 0.5 | 0.66 |
| FM-3 | 32.3 | 15.6 | 0.49 | 0.62 |
| FM-5 | 9 | 5 | 0.5 | 0.78 |
| Sample Code | I (mA) | CA (F/cm2) | C (mAh/cm2) | ED (mWh/cm2) | PD (mW/cm2) |
|---|---|---|---|---|---|
| FM-0 | 10 | 5.52 | 0.675 | 0.15 | 2.2 |
| 20 | 2.27 | 0.280 | 0.06 | 4.4 | |
| 30 | 1.57 | 0.190 | 0.04 | 6.6 | |
| FM-1 | 10 | 5.57 | 0.680 | 0.15 | 2.2 |
| 20 | 2.95 | 0.361 | 0.079 | 4.4 | |
| 30 | 2.11 | 0.258 | 0.056 | 6.6 | |
| FM-3 | 10 | 8.25 | 1.008 | 0.22 | 2.2 |
| 20 | 3.73 | 0.455 | 0.10 | 4.4 | |
| 30 | 2.45 | 0.300 | 0.07 | 6.6 | |
| FM-5 | 10 | 4.75 | 0.580 | 0.13 | 2.2 |
| 20 | 2.27 | 0.277 | 0.06 | 4.4 | |
| 30 | 1.50 | 0.183 | 0.04 | 6.6 |
| Sample Code | I (mA) | CA (F/cm2) | C (mAh/cm2) | ED (mWh/cm2) | PD (mW/cm2) |
|---|---|---|---|---|---|
| FM-3//AC Device | 20 | 0.43 | 0.178 | 0.133 | 7.5 |
| 30 | 0.17 | 0.071 | 0.053 | 11.25 | |
| 40 | 0.08 | 0.033 | 0.025 | 15 |
Disclaimer/Publisher’s Note: The statements, opinions and data contained in all publications are solely those of the individual author(s) and contributor(s) and not of MDPI and/or the editor(s). MDPI and/or the editor(s) disclaim responsibility for any injury to people or property resulting from any ideas, methods, instructions or products referred to in the content. |
© 2024 by the authors. Licensee MDPI, Basel, Switzerland. This article is an open access article distributed under the terms and conditions of the Creative Commons Attribution (CC BY) license (https://creativecommons.org/licenses/by/4.0/).
Share and Cite
Morankar, P.J.; Sreekanth, T.V.M.; Amate, R.U.; Yewale, M.A.; Teli, A.M.; Beknalkar, S.A.; Jeon, C.-W. Asymmetric Supercapacitor Performance Enhancement Through Fe-Doped MoS₂ Nanosheets Synthesized via Hydrothermal Method. Coatings 2024, 14, 1328. https://doi.org/10.3390/coatings14101328
Morankar PJ, Sreekanth TVM, Amate RU, Yewale MA, Teli AM, Beknalkar SA, Jeon C-W. Asymmetric Supercapacitor Performance Enhancement Through Fe-Doped MoS₂ Nanosheets Synthesized via Hydrothermal Method. Coatings. 2024; 14(10):1328. https://doi.org/10.3390/coatings14101328
Chicago/Turabian StyleMorankar, Pritam J., Thupakula V. M. Sreekanth, Rutuja U. Amate, Manesh A. Yewale, Aviraj M. Teli, Sonali A. Beknalkar, and Chan-Wook Jeon. 2024. "Asymmetric Supercapacitor Performance Enhancement Through Fe-Doped MoS₂ Nanosheets Synthesized via Hydrothermal Method" Coatings 14, no. 10: 1328. https://doi.org/10.3390/coatings14101328
APA StyleMorankar, P. J., Sreekanth, T. V. M., Amate, R. U., Yewale, M. A., Teli, A. M., Beknalkar, S. A., & Jeon, C.-W. (2024). Asymmetric Supercapacitor Performance Enhancement Through Fe-Doped MoS₂ Nanosheets Synthesized via Hydrothermal Method. Coatings, 14(10), 1328. https://doi.org/10.3390/coatings14101328

