Next Article in Journal
Strategic Selection of Refractory High-Entropy Alloy Coatings for Hot-Forging Dies by Applying Decision Science
Previous Article in Journal
Improvement of the Electrocatalytic Properties for the Methanol Oxidation Reaction (MOR) of the CoPt Alloy
 
 
Font Type:
Arial Georgia Verdana
Font Size:
Aa Aa Aa
Line Spacing:
Column Width:
Background:
Review

The Use of Natural Zeolites in Cement-Based Construction Materials—A State of the Art Review

by
Sergiu-Mihai Alexa-Stratulat
1,
Ioana Olteanu
1,
Ana-Maria Toma
1,
Cristian Pastia
1,*,
Oana-Mihaela Banu
1,
Ofelia-Cornelia Corbu
2 and
Ionut-Ovidiu Toma
1,*
1
Faculty of Civil Engineering and Building Services, The “Gheorghe Asachi” Technical University of Iasi, 700050 Iași, Romania
2
Faculty of Civil Engineering, Technical University of Cluj-Napoca, 400114 Cluj-Napoca, Romania
*
Authors to whom correspondence should be addressed.
Coatings 2024, 14(1), 18; https://doi.org/10.3390/coatings14010018
Submission received: 24 November 2023 / Revised: 20 December 2023 / Accepted: 21 December 2023 / Published: 23 December 2023
(This article belongs to the Section Corrosion, Wear and Erosion)

Abstract

:
Natural zeolite is a honeycomb-structured aluminosilicate mineral with an open crystalline structure which makes it suitable for a variety of applications. Given the beneficial effects of zeolites on the properties of cementitious materials, the present paper aims to summarize the recent findings reported in the scientific literature on the use of zeolites in cement-based construction materials. This paper limits the analysis to natural zeolites. The influence of natural zeolites on the workability and setting time of cement-based construction materials revealed that increasing the zeolite content led to a reduction in workability compared to the control mixes. At the same time, the initial and final setting times of cement pastes showed a decreasing trend with an increase in the replacement percentage. The slow pozzolanic reaction of clinoptilolite zeolite results in lower flexural strength and compressive strength values of mortars at the age of 28 days. Blending zeolites with other supplementary cementitious materials resulted in improved values of the mechanical properties of mortar and concrete. The findings regarding the impact of zeolite on the durability of concrete suggest that zeolite shows promise as a viable alternative to cement, with positive effects on various aspects of durability. The majority of the durability factors are interconnected. The presence of conflicting findings is particularly significant in this context, highlighting the need for a comprehensive approach to address these challenges in the future.

1. Introduction

Natural zeolite is a honeycomb-structured aluminosilicate mineral with an open crystalline structure which makes it suitable for a variety of applications. The term “zeolite” was proposed by the Swedish mineralogist A. F. Cronstedt in 1756 [1] and it stems from the Greek words “zeo”, meaning “to boil”, and “lithos”, meaning “stone”. Hence, the meaning of “zeolite” is literally “boiling stone” and was attributed to it based on the observations of Cronstedt, who discovered that rapidly heating this mineral produced steam from the water that was previously absorbed by the material.
Nowadays, there are more than 50 types of known natural zeolites and more than 150 types of synthetic zeolites, with different applications in various industries. In the construction industry, especially when referring to cement-based materials, natural zeolites are mostly known for replacing Portland cement due to their pozzolanic nature [2]. The large percentages of SiO2 and Al2O3 found in zeolites can react with Ca(OH)2 produced during the hydration process of cement and form additional phases of calcium–silicate–hydrate (C-S-H) [2,3,4]. This results in a denser structure of the cementitious matrix, leading to improved strength and durability characteristics of the material [5]. According to several studies, clinoptilolite, heulandite and faujasite are the most used types of natural zeolites in the construction industry [3,6] because of their cation exchange capacity.
Due to their internal structure, consisting of a network of tetrahedral crystals with extremely small pores and channels, zeolites have a very high total specific surface of 34–45 m2/g [2] and are able to easily absorb and desorb water. Clinoptilolite zeolites have the advantage of not changing their dimensions during the absorption and desorption phases [5] and are, therefore, preferred to other natural zeolites when used in cement-based materials. However, their pozzolanic effect is, sometimes, considered to be slow compared to other types of natural zeolites and their effect can continue for longer periods of time than the standard age of 28 days for assessing mortar/concrete mechanical properties [3,7].
While the pozzolanic properties of zeolites make them suitable as supplementary cementitious materials, leading to improved mechanical properties of cement-based construction materials [8], their high porosity and the configuration of their internal structure, as shown in Figure 1, leads to two different effects. In the fresh state, zeolites containing cementitious materials exhibit a lower workability, as reported by several recent studies [3,4,5,9], but without significant influence on the setting time [4,10]. In the hardened state, the water absorbed by the zeolites is gradually desorbed and contributes to the long-term hydration of the cement particles, thus acting as an internal curing agent [5,8]. At the same time, zeolites significantly reduce the autogenous shrinkage of cement-based materials [8,11].
Considering the large number of research papers investigating the effect of zeolites on the properties of cement-based materials, an attempt was made to summarize the findings and draw some generally valid conclusions [12]. The study highlighted the pozzolanic effect of natural zeolites, when used as a substitute for Portland cement, their internal curing capabilities, as well as their use as aggregates in lightweight concrete (as air entraining agents). A 12% improvement in the compressive strength value was reported for replacement percentages up to 20%. Higher replacement values resulted in a decline in the strength characteristics. Moreover, improvements in terms of chloride penetration, water penetration, frost resistance and shrinkage of concrete were also reported.
Given the beneficial effects of zeolites on the properties of cementitious materials, the present paper aims to summarize the recent findings reported in the scientific literature on the use of zeolites in cement-based construction materials. This paper limits the analysis to natural zeolites. Both fresh- and hardened-state characteristics are presented as the use of zeolites has influences on both of these phases/states of cement-based materials. The findings are summarized in terms of strength (compressive and flexural strength) and durability properties (freeze–thaw, chloride diffusivity, acid attack resistance, water transport properties, carbonation, electrical resistivity and drying shrinkage) for cement paste, mortar and concrete. Where applicable, differences will be highlighted between the use of natural zeolites as supplementary cementitious materials and their use as aggregates, although their use as aggregates is rather limited. A short discussion on the underlying mechanisms leading to the reported results in the scientific literature coupled with limitations on the use of natural zeolites and future challenges is also provided.

2. Fresh-State Properties

The influence of natural zeolites on the workability and setting time of cement-based construction materials was also investigated. The workability while in the plastic state can affect the hardened properties of cement-based materials. A stiff mix may require excessive vibration to fully and evenly fill the formwork, which may lead to segregation. On the other hand, a fluid mix may result in segregation and water bleeding. Both these extreme scenarios should be avoided and careful investigations should be conducted in designing a cohesive mix but with sufficient workability.
A recent study investigated the influence of clinoptilolite zeolite on the slump and setting time values of mortar and cement paste, respectively. Increasing the zeolite content to 10% resulted in a 25% reduction in workability compared to the control mix [3]. At the same time, the initial and final setting times of the cement pastes showed a decreasing trend with the increase in the replacement percentage. One possible explanation could be the higher specific area of zeolite particles coupled with the porous nature of zeolites, which results in part of the mixing water being absorbed. The effect of zeolites on the fresh properties of the investigated cement-based materials was more pronounced compared to other supplementary cementitious materials used in the study: metakaolin, ground granulated blast furnace slag and type C fly-ash.
In another study conducted on the pore structure of cement pastes containing natural zeolites, it was reported that the initial setting time values decreased with the increase in zeolite content, while the final setting time values increased. The considered cement replacement percentages by clinoptilolite zeolite were 10%, 20% and 30%, by mass. A rather high water/binder ratio of 0.6 was chosen, which could explain the longer final setting time values. Moreover, the initial setting time values did not change with the increase in the replacement percentage, while higher percentages than 20% had no influence on the final setting time. The flow, however, decreased with the increase in the zeolite content in an almost linear manner [4].
Different results were reported in [10] in terms of initial and final setting time values of cement pastes containing zeolites. The authors concluded that the variation between the setting time values of all considered mixes was small and, therefore, the zeolite content did not play a significant role. However, a 13.79% increase in the initial setting time value was reported for a replacement percentage of 20%. An interesting conclusion was drawn in terms of the volume stability of zeolite mixes, especially for replacement percentages equal to and higher than 10%. These mixes showed a better volume stability compared to the reference mix, which could be attributed to the volume stability of zeolite particles [5] and to the significantly reduced shrinkage provided by the presence of zeolites [11].
Calcination of zeolites to 600 °C and 800 °C results in a lower demand for superplasticizer, at a constant water/binder ratio of 0.33. The calcination leads to lower water demand because the porosity of zeolites is greatly reduced [13]. At the same time, while the amorphous content of zeolites increases with calcination temperature, their pozzolanic activity, porosity and surface area greatly reduced [13,14].
The use of natural zeolites together with limestone powder as substitutes for cement in self-compacting mortar resulted in a higher dosage of water-reducing admixture coupled with longer times for the mortar to reach spread diameters of 250 mm and 300 mm [15]. The study concluded that the combined use of zeolites with limestone powder in equal parts, at a constant water/cement ratio of 0.42 and a similar water/binder ratio of 0.336, resulted in overall better characteristics of self-compacting mortar than all other blends of supplementary cementitious materials investigated in the study.
In a different study, the cement was replaced by zeolite at rates of 5%, 10%, 15% and 20%, by volume. The results showed an increase in the flowability of mortar with up to 10% replacement, compared to the reference mix. Higher replacement percentages resulted in lower flowability values but all zeolite-containing mixes exhibited larger values compared to the control mix [9]. The porous nature of zeolite coupled with its high specific area were considered as the main influencing factors for the obtained results for replacement percentages higher than 10%. A previous study also indicated that another possible cause could be the angular shape of zeolite particles, which may result in increased friction forced between the particles of the mix [16].
In an earlier study, it was found that replacing Portland cement by amounts of 5%, 10%, 15% and 20%, by mass, resulted in a higher dosage of superplasticizer in order to obtain a similar slump with the reference concrete mix. At the same time, the air content of the mix increased with the increase in the replacement percentage due to the porous nature of zeolites [2].
Similar results were reported in [17] for 10% and 15% replacement percentages by mass of cement. Increasing the water/binder (w/b) ratio from 0.35 to 0.5 resulted in lower dosages of water-reducing admixture. However, the increased content of water-reducing admixture after increasing the replacement percentage was reported for all considered w/b ratios.
A summary of the presented results can be found in Table 1. The information was sorted first on the type of material, from cement paste to mortar and finally to concrete. The second sorting criterion was the water/binder ratio.

3. Mechanical Properties

This section summarizes recent findings in terms of the compressive strength, flexural strength and modulus of elasticity of cement-based construction materials. The information is presented and discussed in terms of influencing factors such as the role of natural zeolites as supplementary cementitious materials or aggregates, the replacement percentages of Portland cement or traditional aggregates and the water/cementitious binder ratio, as well as the curing age of tested specimens. Where applicable, the use of natural zeolites together with other pozzolans will be presented and discussed.

3.1. Cement Paste

There are not many studies addressing the mechanical properties of cement pastes with zeolites. Still, the findings are similar to the ones reported for mortars and concrete.
In a comprehensive research work, six different water/binder ratios, four replacement percentages of cement by natural zeolite and three different curing ages were considered for cement pastes in order to assess the compressive strength [18], as summarized in Table 2. The highest gain in compressive strength values were obtained from 7 days to 28 days, irrespective of zeolite content or water/binder ratio. However, the strength gain from 28 days to 70 days was more pronounced for zeolite-containing pastes than for the reference ones. This gain was mostly governed by the zeolite content, whereas the w/b ratio had little effect. This confirmed the slow pozzolanic reaction of clinoptilolite zeolite reported in other studies [3,7].
There was no clear increasing or decreasing trend in terms of compressive strength values up to the age of 28 days for pastes containing zeolites compared to the reference mix. However, at the age of 70 days, all pastes with zeolites showed consistently larger values compared to the reference mixes.

3.2. Mortar

In the case of mortars, the mechanical properties are determined on 40 mm × 40 mm × 160 mm prisms. The specimens are subjected to three-point loading tests to determine the flexural tensile strength. The compressive strength is determined from the uniaxial compression tests conducted either on the resulting half prisms from the bending test or on cube specimens.
The slow pozzolanic reaction of clinoptilolite zeolites results in lower flexural strength and compressive strength values of mortars at the age of 28 days. When samples are subjected to elevated temperatures (200 °C, 300 °C, 400 °C, 650 °C and 800 °C), the presence of zeolites increases the possibility of higher hydration production occurrence due to water release from the porous structure of the zeolite coupled with internal pore pressure, which leads to the so-called autoclave curing [20]. This effect was observed especially at temperatures higher than 400 °C.
Researchers looked for alternatives to improve the effect of zeolites as supplementary cementitious materials. There are currently two main approaches: milling, to decrease the particle size, and calcination, which helps in reducing their porous structure and, consequently, decreasing the water demand [13,21]. According to a recent study, calcination of natural zeolites resulted in marginal improvements over non-calcined zeolites in terms of compressive strength at either early age or 28 days. Milling pre-treatment, on the other hand, resulted in significantly improved values of the compressive strength of zeolites containing mortars, compared to the natural, non-treated zeolite mortar. The combination between milling and calcination pre-treatments resulted only in marginal gains that could not justify the embed energy consumption [21].
According to a recent study, the use of zeolites blended with other supplementary cementitious materials, at water/binder ratios lower than 0.45, resulted in improved values of mechanical properties [15]. The TGA analysis showed that blending limestone powder with natural zeolites resulted in better hydration compared to the control mix, although the cement content was lower.
The use of nano-silica in cement-based mortar promotes the acceleration of cement hydration. Using blends of nano-silica and zeolites to replace the cement not only results in higher compressive strength values at early ages but also beyond 28 days when the pozzolanic reaction of zeolites starts contributing [22]. The small dimensions of nano-silica create a nucleation site inside the matrix and lead to the formation of a denser structure. Hence, it has been hypothesized that calcium hydroxide crystals have less space to grow which results in smaller dimensions but larger numbers [23,24]. This leads to an increase in the lateral surface of CH crystals, accelerating the pozzolanic reaction. Therefore, it can be assumed that the use of nano-silica together with zeolites, or any other natural pozzolan, has a synergistic effect because their beneficial effects are augmented by the presence of the nano-silica.
The use of zeolites as a replacement for aggregates, e.g., sand, in engineering cementitious composites was considered from the point of view of the zeolite’s internal curing properties [25] rather than the strength gains of the resulting material. A successful decrease in the 28 day shrinkage was obtained at the cost of a 10% reduction in compressive strength for a 30% replacement, by mass, of quartz sand by natural zeolite.
A summary of individual findings in terms of using natural zeolites and their effect on the mechanical properties of mortars can be found in Table 3.

3.3. Concrete

In the case of concrete, studies revealed that a smaller zeolite particle size resulted in higher compressive strength values, irrespective of the considered curing age of concrete [27]. A lower w/b ratio resulted in a better performance of zeolites containing self-compacting concrete, which had higher compressive strength values compared to the reference mix [28]. The obtained results are in line with previously reported trends [29].
The increase in the compressive strength of zeolites containing concrete could be attributed to the active SiO2 and Al2O3 present in the zeolite, promoting its pozzolanic activity [30].
After 90 days of curing, the hydration of 20% zeolite concrete resulted in a compact microstructure of the matrix, as demonstrated by means of mercury intrusion porosimetry (MIP) results. The total porosity was lower than that of the control mix. Increasing the replacement percentage resulted in large capillary pores and cracks occurring in the concretes [31].
A summary of the individual findings in terms of elastic and strength properties of concrete using zeolites is presented in Table 4.

4. Durability

Due to the widespread application of concrete in civil engineering, enhancing its durability emerges as a crucial element in the development of sustainable structures characterized by increased life-span and lowered carbon footprint. Zeolite has the potential to be a significant factor towards achieving this goal. In addition to its pozzolanic activity, which makes it a desirable substitute for cement, the structure and characteristics of zeolite make it attractive for its use in cementitious materials. Natural zeolites exhibit intriguing properties related to ion exchange and water transport, which are derived from their framework-like structure [12,39].
The durability of concrete denotes its capacity to withstand and resist the action of different factors that can affect its structural integrity and functional performance. Enhancing this property will contribute to increasing the resilience of structures in line with sustainable construction practices, thereby reducing the environmental impact. In the following description, the discussion will take into consideration the most important and widely researched mechanisms regarding durability and the manner in which they are impacted by the presence of zeolites.

4.1. Freeze–Thaw Resistance

The ability of concrete to withstand frost effects is a critical characteristic as the material possesses a specific pore structure and water content. The repeated freezing and thawing cycles, as well as the presence of de-icing salts, can lead to the deterioration of the material [40]. Specific mechanisms have been suggested, stemming from the increase in volume of around 9% that the water undergoes upon freezing. Internal stresses will appear due to the hydraulic pressure inside the pores, while repeated freezing and thawing will lead to additional water in the capillary pores as well [41]. Following this process, which starts at the surface and propagates inwards, the microstructure can be severely affected.
Zeolites have been studied in relation to their potential for enhancing the frost resistance of concrete. Substituting 10% of the cement mass with natural zeolites reduces the percentage of strength loss after 150 cycles, when compared to the initial value, by over 30% [7]. Additionally, the study indicated that incorporating an air-entraining agent further enhanced resistance in both zeolite and control mixes, with the zeolite showing a positive impact in this comparison as well.
Several replacement percentages of cement with natural zeolite (10, 20, 30 and 40%) were investigated in [42]. It was found that only specimens with 10% and 20% replaced cement have a higher frost resistance coefficient when compared to the control. The study also found the same behavior for the mass loss due to de-icing salts. Weight loss during freezing–thawing was also found to be reduced by over 80% when using 15% zeolite instead of cement [43].
Research on mortars revealed that only 5% cement replacement results in better values than the reference [44], while in another study it was found that 10% increases frost resistance [45]. Both studies agree that superior replacement values will lead to poor resistance to the freezing–thawing of mortars. The researchers explain this on the basis of the pozzolanic activity of zeolite, which will lead to a densification of the microstructure, thus prohibiting expansion of ice crystals and subsequent damage.
The main findings are summarized in Table 5.

4.2. Chloride Diffusion Resistance

Chloride ions are mainly dangerous for reinforced concrete, with reinforcing bars being subjected to corrosion. Depletion of the passive layer will lead to the oxidation of steel, which leads to its volume expanding and, consequently, to the cracking of concrete due to internal stresses [46]. Several studies have indicated that zeolite can effectively decrease the diffusion of chloride ions.
It was found that replacements of 15% and 30% cement by natural zeolites significantly reduce chloride ion permeability compared to control, with values reduced by around 90% at an age of 90 days [11]. In another study where lower concentrations of zeolites were used (10% and 15%), chloride resistance was found to decrease, but with a maximum of 70% [34]. However, the authors simultaneously substituted volcanic tuff for the fine aggregates while also replacing cement.
In a more detailed study, chloride profiles and the total and surface chloride concentration, as well as the apparent chloride diffusion coefficient, were investigated [47]. These were tested in splash, tidal and laboratory conditions. Zeolites were used in percentages of 10%, 15% and 20% replacing cement. The chloride profiles were all steeper (for all types of tests and all concentrations) than those obtained for control. In tests under laboratory and tidal conditions, the total chloride contents at 10mm were similar for all zeolite concretes and the values were lower by around 20% than the reference, while, under splash conditions, only the specimens with 20% zeolites showed a reduction of over 50%. The apparent diffusion coefficient was markedly lower for all zeolite specimens, while the surface chloride concentration was lower only for the 20% replacement level.
Another study on the same replacement levels of 10%, 20% and 30% of cement with zeolites determined that the diffusion coefficient was lowered by more than 50% in modified concrete mixes [48]. It was also found that 10% and 20% zeolite use as a cement replacement leads to a decrease in the diffusion coefficient of more than 100%, as highlighted in [49]. Ahmadi replacement levels of 10%, 15% and 20% reduce the apparent diffusion coefficient by up to 66%, while 5% cement substitution shows almost no change [2].
The positive influence of zeolites regarding chloride diffusion can be altered by other factors, such as the water to binder ratio (w/b) and temperature and age of the specimens.
Tests performed on high cement replacement percentages, namely 30% and 40%, applied on mixes with w/b of 0.3 and 0.4, showed that only the lower w/b value had reduced chloride diffusivities [50]. In this case, 30% showed a greater chloride diffusivity reduction than 40% (38% vs. 21%) did compared to control. A similar approach was taken by other researchers, who tested various w/b (0.3, 0.35, 0.4 and 0.45) with cement replacement levels of 10% and 15% [17]. Irrespective of water or zeolite content, all modified concrete mixes showed reduced chloride permeability, with higher zeolite levels showing more improvement.
The influence of curing age was also investigated for a 15% cement replacement percentage with natural zeolite [43]. The migration coefficient up to 365 days and the behavior of control, which was quite different compared to the zeolite-containing concrete, were measured. The reference had a more linear drop in the migration coefficient with age, while the modified concrete showed a more abrupt change during the first 28 days. The final value for the reference was also 3 times higher at the end of the 365 day experiment. The same type of experiment was performed in [51] for 10% and 15% zeolite content. The same abrupt change in the migration coefficient was observed in both mixes, with slightly different slopes but with final values being similar at 365 days. The difference between the control and modified recipes is also similar to the previous study, with the control’s migration coefficient being around 3 times higher than that of the zeolite concretes.
The temperature influence was also measured in a research work trying to replicate, as much as possible, the real life exposure conditions of concrete [52]. Cement was replaced in amounts of 10%, 15% and 20% with natural zeolite, and the temperatures used in the study were: 22 °C, 35 °C and 50 °C. At every temperature, the apparent diffusion coefficient was reduced more with the increasing zeolite content. At the same time, the coefficient grew with increasing temperature for all specimens, but the increase was smaller for the zeolite concretes than the reference. The smallest increase was shown to happen for the 15% replacement.
A summary of the findings can be found in Table 6.

4.3. Acid Attack Resistance

Concrete is particularly susceptible to the action of acid environments, due to its alkaline nature. In general, any acid will firstly react with calcium hydroxide and soluble calcium salts will be formed. These are easily removed from the cement matrix, thus lowering its resistance [53]. The resulting calcium salts can be either very soluble, in the case of aggressive acids, or of lower solubility, when interaction with less aggressive acids occurs. One of the most aggressive and damaging instances of acid attack is represented by the interaction of concrete with sulfuric acid. This is due to the fact that the resulting salt, namely calcium sulfate (gypsum), will further react with calcium silicate hydrate (CSH), causing serious structural damage, or with calcium aluminate, which results in ettringite, that has a larger volume than gypsum and will induce micro-cracks [54,55].
Scientific literature findings vary in their assessment of the impact of zeolite utilization on the acid attack resistance of concrete, tending to predominantly indicate a detrimental effect. When testing concrete specimens with 15% and 30% cement substitution by natural zeolite [11], the results indicated that while the weight of the control mix increased during a 300-day immersion period, the mass of the zeolite concrete specimens initially decreased and then returned close to the initial value. However, the residual compressive strength was significantly affected by acid attack in the presence of zeolite. The initial strength was reduced by 20.8% (15% zeolite) and 23.3% (30% zeolite), which was considerably higher than the loss experienced by the control mix (5.5%).
Strength loss after sulfuric acid immersion was also obtained for higher zeolite contents, replacing 30% and 40% of cement [50]. Two water to binder (w/b) ratios: 0.3 and 0.4, were considered and the strength loss was more pronounced for the higher w/b for all mixes. The zeolite specimens exhibited a greater reduction in compressive strength compared to the reference, with the difference being more pronounced for w/b = 0.4. Additionally, it was found that the mass loss was lower for the 30% mixture compared to the reference for both w/b values, while the 40% mixture was more adversely affected in comparison to the control.
In the case of lower concentrations of zeolite in concrete (10% and 15%), it was found that, in relation to sulfuric acid, using zeolite increased the depth of erosion. Results indicated loss in both mass and strength proportional to the amount of zeolite [34]. The authors also performed tests with hydrochloric acid, for which zeolite imposed a similar trend of mass loss, albeit at lower reduction values.
For the same cement substitution amounts of 10% and 15%, opposing results after performing sulfuric acid immersion for 8 weeks were obtained in a different study [56]. In this case, the weight loss of 10% zeolite concrete was similar to the reference mix, while the 15% zeolite specimens presented a 40% lower weight loss. The same trend was observed in the results showing load loss by splitting. The 10% mix showed similar results to the control mix after 4 weeks immersion, but the loss was 35% smaller after 8 weeks. In contrast, the 15% zeolite mix demonstrated a load loss at 4 weeks that was 10 times smaller than that of the reference and nearly 4 times smaller at 8 weeks. These findings are consistent with the results reported in [57], where positive outcomes for specimens containing 20% cement replacement were observed. This study focused on resistance measurements that indicated a lower potential for corrosion for the zeolite mixes.
The highlights of this subsection are presented in Table 7.

4.4. Water Transport Properties

The movement of water within concrete is a critical factor in determining its long-term durability as it influences the penetration and distribution of chemical substances. The consequences of water ingress and permeation can be either advantageous or detrimental. For instance, the saturation of capillary pores due to water penetration can result in reduced resistance to frost. Additionally, the transport of water within concrete can act as a barrier against harmful gases, while also serving as a medium for the movement of various ions. Moreover, the presence of water may lead to its absorption by ettringite and alkali silica gel, causing volume expansion.
In most situations, the replacement of cement with zeolite has been demonstrated to enhance the performance of concrete in terms of water transport properties.
Water penetration is primarily influenced by the microstructure of the material, particularly the pore structure or network. Literature reports indicate that using zeolite decreases this parameter. When testing mixes with zeolite substituting 15% and 30% cement, it was found that water penetration depth decreased by up to 26% with increasing zeolite content at both 28 and 90 days when compared to the reference mix [11]. Similarly, in another study, higher decreases in water penetration values, tested at 28 days, when using 10% and 15% zeolite, with differences of 55% and 65%, respectively, were reported [51]. Using the same replacement values of 10% and 15% and changing the w/b ratio (0.35, 0.40, 0.45, 0.50), it was found that the penetration depth decreased with increasing zeolite content, while the w/b ratio had the opposite effect [17]. A smaller decrease was found when replacing 10% of the cement with zeolite, for which the water penetration depth reduced by only 13% [7]. Nevertheless, in this study, the reference mix already had a very low penetration depth. All of these results consistently indicated a relationship between reduced water penetration depth and other durability factors related to pore structure, including frost resistance and chloride diffusion/migration.
There is a more substantial body of research regarding the water absorption properties of mixtures incorporating zeolite, yielding a range of findings. However, the majority of studies tend to support the beneficial impact of zeolite use on water absorption.
An increase in water absorption of around 20% when using 15% and 30% cement replacement percentages was found. This behavior was assumed to be caused the higher absorption properties that zeolite particles have compared to cement [11]. Similarly, a nearly 23% increase in water absorption when substituting 10% of cement was reported in [7]. In a long-term study on concrete with zeolite-replaced cement in amounts of 10% and 15%, it was concluded that modified concrete presented higher water absorption than the control mix [51]. The authors tested the behavior of specimens in two circumstances: after immersion and after immersion and boiling. The results showed that at 365 days, absorption was higher by around 12% and 25% for 10% and 15% zeolite, respectively, in both scenarios. The findings correlated to permeable pores measurements that presented a similar behavior to water absorption.
Reports of water absorption decreasing with zeolite use are, nevertheless, more numerous. In this context, a decrease of up to 35% when cement was replaced with zeolite at levels of 10% and 15% was observed [34]. In this study, a part of fine aggregates was also replaced by tuff. The authors attributed this decrease to the pozzolanic activity of zeolite, which modified the capillary pore structure. The findings also had a good correlation with chloride diffusion measurements. A non-linear relation between cement replacement values with zeolite (10%, 20% and 30%) and water absorption was reported in [48]. Zeolite in amounts of 10% and 20% showed a slight increase in water absorption, with values close to the reference. Nevertheless, the replacement value of 30% proved to lower water absorption by around 15%. Water absorption measurements demonstrated a similar behavior to results obtained for the volume of voids. Lower substitution values (5%, 10%, 15%, 20%) were considered and all zeolite concrete mixes exhibited similar values of water absorption, which were around 20% lower than the reference [2]. The same replacement values but using two w/b ratios: 0.38 and 0.45, were considered in a different study [28]. Water absorption values at 90 days for high w/b = 0.45 were in good agreement with the previous study, with the variation in zeolite percentage having little impact. Nonetheless, using a lower w/b of 0.38 leads to a constant decrease in water absorption with zeolite content, reaching a reduction of almost 50% compared to control in the case of 20% zeolite use. A reduction in water absorption was also observed when using 10% and 20% zeolite instead of cement [49]. A higher zeolite percentage resulted in a slightly higher decrease in water absorption of about 20%. Lower zeolite concentrations, replacing cement with 2.5%, 5%, 7.5% and 10% zeolite, were also considered [30]. While 2.5% and 5% zeolite use yielded similar values to control, water absorption was significantly reduced when using 7.5% and 10%, by over 50%.
Sorptivity represents a durability factor that defines the absorption by capillary forces which can also be related to other durability parameters. Overall, zeolite use as cement replacement helps reduce this type of transport, albeit up to a certain concentration. This was demonstrated in tests using 10%, 20% and 30% replacement levels [48]. While sorptivity increased with increased zeolite content, 10% and 20% zeolite use provided smaller values than the reference mix. The reduction in capillary absorption observed in specimens with 15% cement replaced by natural zeolite was attributed to the pozzolanic activity of zeolite, leading to the formation of secondary CSH [43,51]. Additionally, when the w/b ratio was varied, a diminished benefit from zeolite usage was reported with the increase in the w/b ratio.
A summary of the findings is presented in Table 8.

4.5. Carbonation Resistance

The phenomenon of carbonation is the chemical process initiated by the interaction of cement paste with carbon dioxide. This reaction has the potential to corrode reinforcement by lowering the pH of concrete to levels as low as 8.3, which is below the depassivation threshold [58]. Due to carbonation, the porosity of cement pastes is bound to change and dissolution of certain cement phases is expected. At the same time, structural changes in C-S-H may result in strength increases, followed by carbonation cracking. Carbon dioxide affects both calcium hydroxide and CSH gels, leading to a reduction in porosity [59].
Accelerated carbonation tests were conducted on cement replacement levels of 10% and 15%, revealing a significant rise in carbonation depth with the incorporation of zeolite [17]. The measurements were performed at 28, 90 and 270 days, indicating a substantial reduction in carbonation depth after 90 days for all samples. Additionally, various w/b ratios of 0.35, 0.40, 0.45 and 0.50 were employed, demonstrating that an increase in w/b ratio correlates with higher carbonation depth. The findings were assumed to be related to the consumption of CH due to the pozzolanic reaction of natural zeolite. This significantly reduced the reaction between the carbon dioxide and the available CH and resulted in a larger carbonation depth.
Similar tests were conducted on the same cement substitution rates (10%, 15%), as reported in another study [56]. Their investigation demonstrated that zeolite concrete mixes exhibited increased carbonation depths under accelerated carbonation conditions, with values directly correlated to the extent of cement replacement. Additionally, the study included an assessment of natural carbonation effects, which indicated that only the 15% zeolite substitution level resulted in a measurable carbonation depth.
The main findings are summarized in Table 9.

4.6. Electrical Resistivity

Instead of serving as a parameter, electrical resistivity functions as an indicator of concrete durability, reflecting the ease of ion transportation within the material being measured. This property is linked to several durability factors, including carbonation, frost resistance, acid attack, and corrosion of reinforcement [60].
The findings from various studies indicate that the substitution of cement with zeolite results in an increase in resistivity and resistance values. It was observed that concrete mixes containing 10%, 20% and 30% zeolite in place of cement exhibited higher resistivity compared to the reference mix at both 28 and 365 days [48]. The highest resistivity value was recorded for the mix with 30% zeolite, showing a four-fold increase compared to the control mix. Similarly, a 3.5-fold increase in resistivity when 15% zeolite was used instead of cement was reported in another study [43]. Laboratory investigations on concrete incorporating lime and 10% and 15% zeolite as cement replacements showed resistivity increases of 2 and 2.75 times compared to the reference mix at 365 days [51]. It is noteworthy that measurements of permeable pores exhibited a similar trend to electrical resistivity.
The impact of zeolite replacement at 10% and 20% levels was also assessed [49]. After 90 days, the measurements indicated that the resistivity of the specimens was 3.5 and 6 times higher than the control group, respectively. Different zeolite percentages were considered, 10% and 15%, for which a significant increase in resistivity with age for these samples up to 270 days, compared to a smaller increase in the control group, was observed [17]. Additionally, their findings suggested that a higher zeolite content led to greater resistivity. Furthermore, the study revealed a general decrease in resistivity with an increase in the water-to-binder ratio for all specimens. In a study encompassing a broader range of cement replacement percentages (5%, 10%, 15%, 20%), it was found that all specimens containing zeolites exhibited higher resistivity values compared to the control, with the 5% zeolite mix closely resembling the reference [2].
It is important to note that there exists a minimum resistivity threshold that serves as a critical limit for the onset of reinforcement corrosion. Consequently, a resistivity level above 20kΩ·cm is considered adequate for safeguarding against corrosion [49]. It is noteworthy that the electrical resistivity results for the zeolite mixes mentioned earlier all surpass the minimum value required for cement replacement percentages, exceeding 5%. Some of the presented reports indicate that certain control mixes do not meet this criterion.
The data are summarized in Table 10.

4.7. Drying Shrinkage

The presence of a moisture gradient in concrete, caused by uneven drying, induces internal stresses in the material, which can lead to cracking in certain circumstances [61]. While this issue has been extensively researched in conventional concrete for more than five decades, there is limited documentation on its occurrence in zeolite-containing concrete.
Najimi et al. conducted a study to investigate the impact of replacing 15% and 30% of cement with natural zeolite on the drying shrinkage of concrete [11]. The specimens were cured in water for 28 days, and the drying shrinkage was subsequently measured. The results revealed a reduction of 16% and 36% in drying shrinkage for the concrete samples with 15% and 30% zeolite replacement, respectively, compared to the control group at 90 days. This difference was further amplified at 120 days. The observed outcomes were found to be closely associated with the decrease in moisture content.
A more consistent decrease was observed in a study where 10% cement was substituted with zeolite [7]. The modified concrete exhibited nearly three times lower drying shrinkage compared to the control, and a similar strong association with water loss was noted.
Similar studies were conducted on high-performance and ultra-high-performance concrete. The internal curing capabilities of zeolites contributed towards a significant reduction in the autogenous shrinkage [5,26,62].
A brief summary of the main findings is presented in Table 11

5. Discussions

According to a recent study [63], the research works investigating the use of natural zeolites in cement-based materials originate from various countries and employ various sources of zeolites. Although the chemical composition is mainly the same, there are small variations between the percentages of various components that may lead to different, sometimes contradictory, results. Some of these results are also presented in this paper. A summary of the chemical compositions of the employed natural zeolites in the studies that served as sources of information for the present paper is shown in Table 12.
The chemical composition of zeolites is an important indicator of their contribution on the overall behavior of cement-based materials. According to an earlier study [10], a high content of silica is more effective on the development of the compressive strength. As can be seen from the data presented in Table 12, all natural zeolites considered in the research work have a Si/Al ratio larger than 4. It is therefore expected that the use of zeolites as a partial replacement of cement is beneficial from the point of view of mechanical properties. The pozzolanic reactions between SiO2 and Al2O3 in natural zeolites and CH lead to the formation of calcium–silicate–hydrate (CSH) and calcium–aluminate–hydrate (CAH) gels, which further contribute to increasing the density of concrete and improve its mechanical and durability properties [12], as shown in previous sections. However, severe penalties in terms of strength values were reported for high replacement percentages of cement by natural zeolites [42].
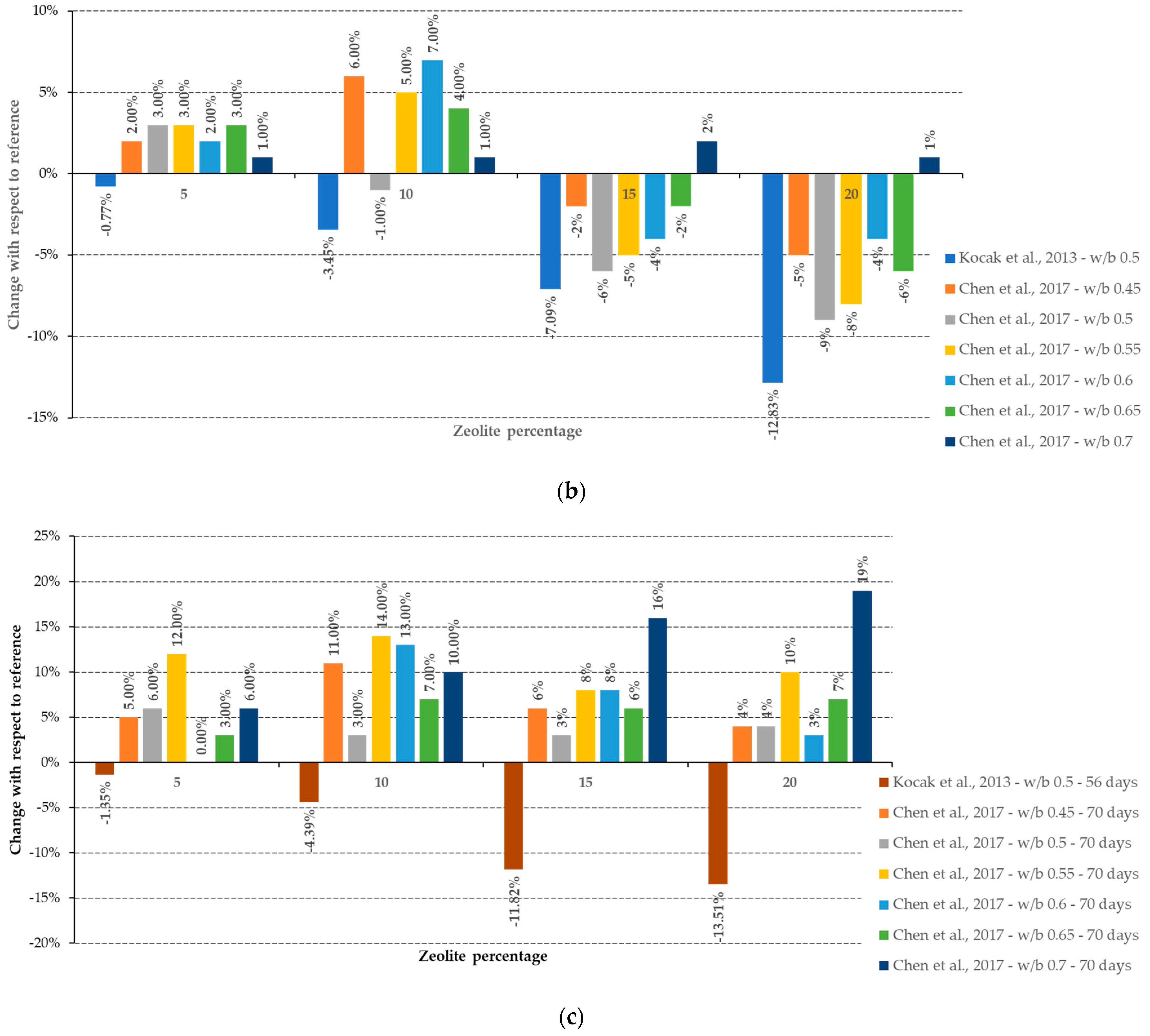
The evolution of the compressive strength of cement pastes with different percentage replacements of cement with natural zeolite is shown in Figure 2. It can be observed that at early ages, 2 and 7 days, the pastes with lower replacement percentages and higher water/binder ratios exhibited compressive strength values larger than the reference mix, shown in Figure 2a. At the age of 28 days, a similar pattern can be seen but the influence of the zeolite particle’s size becomes a significant influencing factor [18], as shown in Figure 2b. At the age of 70 days, the use of superfine zeolite results in an improved compressive strength compared to the reference mix, irrespective of the replacement percentage, Figure 2c. This trend could be explained by the slower pozzolanic reaction of clinoptilolite natural zeolite, as reported in previous studies [3,7].
A similar trend can be observed in the case of concrete with different replacement percentages of Portland cement with natural zeolite, shown in Figure 3. The conclusions that can be drawn at early ages are limited by the rather small number of data sets available, as shown in Figure 3a. The water/binder ratio seems to play a defining role, similar to the zeolite content. At the age of 28 days, shown in Figure 3b, both aforementioned parameters seem to equally influence the compressive strength. However, for higher zeolite contents, with a higher than 20% cement replacement, the compressive strength value is significantly reduced. This was attributed to the so-called dilution effect [32]. This effect occurs in cases of high replacement percentages and more significantly impacts the compressive strength values at 90 days and beyond, shown in Figure 3c. This effect is mainly caused by the lower amount of CH that is able to react with the pozzolanic material [31].
It is generally agreed that due to the low amount of CH produced at the early ages of cement hydration, the pozzolanic reaction of natural zeolite and, consequently, the secondary formation of CSH [4] is limited. This leads to lower values of mechanical properties of cement-based materials with natural zeolites at early ages [32]. There are, however, conflicting results reported in the scientific literature because the mechanism of zeolite interaction with cement hydration products is still unclear and under debate and requires more research in order to be fully understood [49].
Natural zeolites proved to be an efficient pozzolan, although the pozzolanic reaction is rather slow compared to other materials [49]. Moreover, their porous structure leads to some of the mixing water being absorbed by zeolites, resulting in the lower workability of cement-based materials [64]. The high specific surface area coupled with the irregular particle shape of zeolite powder leads to increased internal friction that contributes to further decreasing the workability. On the other hand, the free water absorbed during mixing is released later on, making zeolite a suitable candidate for internal curing [5,8]. This would contribute to improved mechanical and durability properties at later ages.
There are currently three main techniques to optimize the structure of zeolites. The first method involves the immersion of zeolite in acid solution to favor the reaction of dealumination inside the zeolite particles and thus increase their surface area [64]. This would increase the reactivity of zeolite to CH and promote the pozzolanic reaction. Another method frequently employed is calcination. Calcined zeolites have reduced porosity and water absorption properties. However, the benefits of this method on hardened properties of cement-based materials are only marginal and do not justify the high energy demand for calcination [21]. The third method involved milling the zeolite to a finer particle size. So far, this method has proved to be the most efficient from the point of view of energy consumption versus improvements in the mechanical and durability properties of cementitious materials [21].
There are certain drawbacks of using natural zeolites in cement-based mortar and concrete. First and foremost, there is an inconsistency in the reported results from the point of view of mechanical properties. The number of studies reporting improvements in mechanical properties is on par with the number of studies reporting the opposite effect, especially at early ages. The majority of studies concluded that the replacement of Portland cement with natural zeolite up to 20% is generally beneficial. Peak improvements were consistently reported for 10% replacement. Similar conclusions were drawn from the findings in terms of durability properties, with improved freeze–thaw performance, lower chloride permeability, lower water penetration depth and increased electrical resistivity. However, higher replacement percentages resulted in significant loss of compressive and flexural strength values.
The most significant benefits of using natural zeolites reside in a reduced carbon footprint [35] by using lower amounts of cement and improvements in the durability properties of cement-based materials. These benefits can be further enhanced when using natural zeolites together with other pozzolanic materials [48,49]. Nowadays, continuous advancements and technological breakthroughs offer the opportunity to combine natural zeolites with carbon nano-tubes and other nano materials [63].

6. Conclusions

The influence of natural zeolites on the workability and setting time of cement-based construction materials reveals that increasing the zeolite content results in a reduction in workability compared to the control mixes. At the same time, the initial and final setting times of cement pastes show a decreasing trend with the increase in the replacement percentage. Moreover, the increase in zeolite content results in a higher demand for water-reducing admixtures in order to maintain similar workability to the reference mix.
There is no clear increasing or decreasing trend in terms of compressive strength values up to the age of 28 days for pastes containing zeolites compared to the reference mix. However, at the age of 70 days, cement pastes with zeolites show consistently larger values compared to the reference mixes.
The slow pozzolanic reaction of clinoptilolite zeolite results in lower flexural strength and compressive strength values of mortars at the age of 28 days. The most used alternatives to improve the effect of zeolites as supplementary cementitious materials are milling, to decrease the particle size, and calcination, which helps reduce their porous structure and, consequently, the water demand. The calcination of natural zeolites results in marginal improvements over non-calcined zeolites in terms of compressive strength at either early age or 28 days. Milling pre-treatment, on the other hand, results in significantly improved values of the compressive strength of zeolites containing mortars, compared to natural, non-treated zeolite mortars.
Blending zeolites with other supplementary cementitious materials results in improved values of the mechanical properties of mortar and concrete. Using blends of nano-silica and zeolites to replace the cement not only leads to higher compressive strength values at early ages but also beyond 28 days when the pozzolanic reaction of zeolites starts contributing.
The use of zeolites as a replacement for aggregates, e.g., sand, in engineering cementitious composites was considered from the point of view of zeolite’s internal curing properties rather than the strength gains of the resulting material. A successful decrease in the 28 day shrinkage was obtained at the cost of reduced compressive strength.
The findings regarding the impact of zeolite on the durability of concrete suggest that zeolite shows promise as a viable alternative to cement, with positive effects on various aspects of durability. However, challenges have been observed in terms of resistance to acid and carbonation. It is important to note that carbonation may not be entirely detrimental and ongoing research is investigating its potential to enhance concrete properties.
The majority of durability factors are interconnected. For example, water movement significantly affects concrete’s susceptibility to damage during freeze–thaw cycles and the migration of chloride ions within the material. The complexity of these interactions is further complicated by the crucial role of pore size distribution and overall porosity in linking these effects. The presence of conflicting findings is particularly significant in this context, highlighting the need for a comprehensive approach to address these challenges in the future.

Author Contributions

Conceptualization, S.-M.A.-S., A.-M.T. and I.-O.T.; methodology, I.O., A.-M.T. and O.-M.B., literature search, S.-M.A.-S., I.O., A.-M.T., C.P., O.-M.B., O.-C.C. and I.-O.T.; formal data analysis, I.O., A.-M.T., C.P., O.-M.B. and O.-C.C.; writing—original draft preparation, S.-M.A.-S., I.O. and A.-M.T.; writing—review and editing, C.P., O.-M.B., O.-C.C. and I.-O.T.; supervision, I.O., A.-M.T., C.P. and I.-O.T.; project administration, I.-O.T.; funding acquisition, C.P. and I.-O.T. All authors have read and agreed to the published version of the manuscript.

Funding

This research was funded by PN-III-P2-2.1-PED-2021-0677 research grant “Sustainable Concrete for Energy Efficient Buildings” funded by Executive Agency for Higher Education, Research, Development and Innovation Funding—UEFISCDI.

Institutional Review Board Statement

Not applicable.

Informed Consent Statement

Not applicable.

Data Availability Statement

Data are contained within the article.

Conflicts of Interest

The authors declare no conflict of interest.

References

  1. Iijima, A. Geology of natural zeolites and zeolitic rocks. Pure Appl. Chem. 1980, 52, 2115–2130. [Google Scholar] [CrossRef]
  2. Ahmadi, B.; Shekarchi, M. Use of natural zeolite as a supplementary cementitious material. Cem. Concr. Compos. 2010, 32, 134–141. [Google Scholar] [CrossRef]
  3. Islam, M.S.; Mohr, B.J.; VandenBerge, D. Performance of natural clinoptilolite zeolite in the cementitious materials: A comparative study with metakaolin, fly ash, and blast furnace slag. J. Build. Eng. 2022, 53, 104535. [Google Scholar] [CrossRef]
  4. Toma, I.-O.; Stoian, G.; Rusu, M.-M.; Ardelean, I.; Cimpoeşu, N.; Alexa-Stratulat, S.-M. Analysis of Pore Structure in Cement Pastes with Micronized Natural Zeolite. Materials 2023, 16, 4500. [Google Scholar] [CrossRef] [PubMed]
  5. Kazemian, M.; Shafei, B. Internal curing capabilities of natural zeolite to improve the hydration of ultra-high performance concrete. Constr. Build. Mater. 2022, 340, 127452. [Google Scholar] [CrossRef]
  6. Gottardi, G.; Galli, E. Natural Zeolites; Springer: Berlin/Heidelberg, Germany, 1985; Volume 18, ISBN 978-3-642-46520-8. [Google Scholar]
  7. Markiv, T.; Sobol, K.; Franus, M.; Franus, W. Mechanical and durability properties of concretes incorporating natural zeolite. Arch. Civ. Mech. Eng. 2016, 16, 554–562. [Google Scholar] [CrossRef]
  8. Xuan, Z.; Jun, Z. Influence of zeolite addition on mechanical performance and shrinkage of high strength Engineered Cementitious Composites. J. Build. Eng. 2021, 36, 102124. [Google Scholar] [CrossRef]
  9. Kriptavičius, D.; Girskas, G.; Skripkiūnas, G. Use of Natural Zeolite and Glass Powder Mixture as Partial Replacement of Portland Cement: The Effect on Hydration, Properties and Porosity. Materials 2022, 15, 4219. [Google Scholar] [CrossRef]
  10. Kocak, Y.; Tascı, E.; Kaya, U. The effect of using natural zeolite on the properties and hydration characteristics of blended cements. Constr. Build. Mater. 2013, 47, 720–727. [Google Scholar] [CrossRef]
  11. Najimi, M.; Sobhani, J.; Ahmadi, B.; Shekarchi, M. An experimental study on durability properties of concrete containing zeolite as a highly reactive natural pozzolan. Constr. Build. Mater. 2012, 35, 1023–1033. [Google Scholar] [CrossRef]
  12. Tran, Y.T.; Lee, J.; Kumar, P.; Kim, K.-H.; Lee, S.S. Natural zeolite and its application in concrete composite production. Compos. Part B Eng. 2019, 165, 354–364. [Google Scholar] [CrossRef]
  13. Kaplan, G.; Coskan, U.; Benli, A.; Bayraktar, O.Y.; Kucukbaltacı, A.B. The impact of natural and calcined zeolites on the mechanical and durability characteristics of glass fiber reinforced cement composites. Constr. Build. Mater. 2021, 311, 125336. [Google Scholar] [CrossRef]
  14. Burris, L.E.; Juenger, M.C.G. Effect of calcination on the reactivity of natural clinoptilolite zeolites used as supplementary cementitious materials. Constr. Build. Mater. 2020, 258, 119988. [Google Scholar] [CrossRef]
  15. Faheem, A.; Rizwan, S.A.; Bier, T.A. Properties of self-compacting mortars using blends of limestone powder, fly ash, and zeolite powder. Constr. Build. Mater. 2021, 286, 122788. [Google Scholar] [CrossRef]
  16. Rahhal, V.F.; Pavlík, Z.; Tironi, A.; Castellano, C.C.; Trezza, M.A.; Černý, R.; Irassar, E.F. Effect of cement composition on the early hydration of blended cements with natural zeolite. J. Therm. Anal. Calorim. 2017, 128, 721–733. [Google Scholar] [CrossRef]
  17. Ramezanianpour, A.A.; Mousavi, R.; Kalhori, M.; Sobhani, J.; Najimi, M. Micro and macro level properties of natural zeolite contained concretes. Constr. Build. Mater. 2015, 101, 347–358. [Google Scholar] [CrossRef]
  18. Chen, J.J.; Li, L.G.; Ng, P.L.; Kwan, A.K.H. Effects of superfine zeolite on strength, flowability and cohesiveness of cementitious paste. Cem. Concr. Compos. 2017, 83, 101–110. [Google Scholar] [CrossRef]
  19. Jokar, F.; Khorram, M.; Karimi, G.; Hataf, N. Experimental investigation of mechanical properties of crumbed rubber concrete containing natural zeolite. Constr. Build. Mater. 2019, 208, 651–658. [Google Scholar] [CrossRef]
  20. Abdi Moghadam, M.; Izadifard, R.A. Effects of zeolite and silica fume substitution on the microstructure and mechanical properties of mortar at high temperatures. Constr. Build. Mater. 2020, 253, 119206. [Google Scholar] [CrossRef]
  21. Florez, C.; Restrepo-Baena, O.; Tobon, J.I. Effects of calcination and milling pre-treatments on natural zeolites as a supplementary cementitious material. Constr. Build. Mater. 2021, 310, 125220. [Google Scholar] [CrossRef]
  22. Ramezanianpour, A.A.; Mortezaei, M.; Mirvalad, S. Synergic effect of nano-silica and natural pozzolans on transport and mechanical properties of blended cement mortars. J. Build. Eng. 2021, 44, 102667. [Google Scholar] [CrossRef]
  23. Sobolev, K.; Flores, I.; Torres-Martinez, L.M.; Valdez, P.L.; Zarazua, E.; Cuellar, E.L. Engineering of SiO2 Nanoparticles for Optimal Performance in Nano Cement-Based Materials. In Nanotechnology in Construction 3; Springer: Berlin/Heidelberg, Germany, 2009; pp. 139–148. [Google Scholar]
  24. Said, A.M.; Zeidan, M.S.; Bassuoni, M.T.; Tian, Y. Properties of concrete incorporating nano-silica. Constr. Build. Mater. 2012, 36, 838–844. [Google Scholar] [CrossRef]
  25. Zhang, J.; Wang, Q.; Zhang, J. Shrinkage of internal cured high strength engineered cementitious composite with pre-wetted sand-like zeolite. Constr. Build. Mater. 2017, 134, 664–672. [Google Scholar] [CrossRef]
  26. Wang, Q.; Zhang, J.; Ho, J.C.M. Zeolite to improve strength-shrinkage performance of high-strength engineered cementitious composite. Constr. Build. Mater. 2020, 234, 117335. [Google Scholar] [CrossRef]
  27. Thang, N.C.; Van Tuan, N.; Yang, K.-H.; Phung, Q.T. Effect of Zeolite on Shrinkage and Crack Resistance of High-Performance Cement-Based Concrete. Materials 2020, 13, 3773. [Google Scholar] [CrossRef] [PubMed]
  28. Ranjbar, M.M.; Madandoust, R.; Mousavi, S.Y.; Yosefi, S. Effects of natural zeolite on the fresh and hardened properties of self-compacted concrete. Constr. Build. Mater. 2013, 47, 806–813. [Google Scholar] [CrossRef]
  29. Poon, C.S.; Lam, L.; Kou, S.C.; Lin, Z.S. A study on the hydration rate of natural zeolite blended cement pastes. Constr. Build. Mater. 1999, 13, 427–432. [Google Scholar] [CrossRef]
  30. Nagrockiene, D.; Girskas, G. Research into the properties of concrete modified with natural zeolite addition. Constr. Build. Mater. 2016, 113, 964–969. [Google Scholar] [CrossRef]
  31. Yu, Z.; Yang, W.; Zhan, P.; Liu, X.; Chen, D. Strengths, Microstructure and Nanomechanical Properties of Concrete Containing High Volume of Zeolite Powder. Materials 2020, 13, 4191. [Google Scholar] [CrossRef]
  32. Zolghadri, A.; Ahmadi, B.; Taherkhani, H. Influence of natural zeolite on fresh properties, compressive strength, flexural strength, abrasion resistance, Cantabro-loss and microstructure of self-consolidating concrete. Constr. Build. Mater. 2022, 334, 127440. [Google Scholar] [CrossRef]
  33. Raggiotti, B.B.; Positieri, M.J.; Oshiro, Á. Natural zeolite, a pozzolan for structural concrete. Procedia Struct. Integr. 2018, 11, 36–43. [Google Scholar] [CrossRef]
  34. Mohseni, E.; Tang, W.; Cui, H. Chloride Diffusion and Acid Resistance of Concrete Containing Zeolite and Tuff as Partial Replacements of Cement and Sand. Materials 2017, 10, 372. [Google Scholar] [CrossRef] [PubMed]
  35. Valipour, M.; Yekkalar, M.; Shekarchi, M.; Panahi, S. Environmental assessment of green concrete containing natural zeolite on the global warming index in marine environments. J. Clean. Prod. 2014, 65, 418–423. [Google Scholar] [CrossRef]
  36. Ganji, S.; Sharabiani, H.E.; Zeinali, F. Laboratory investigation on abrasion resistance and mechanical properties of concretes containing zeolite powder and polyamide tire cord waste as fiber. Constr. Build. Mater. 2021, 308, 125053. [Google Scholar] [CrossRef]
  37. Pachideh, G.; Gholhaki, M. Effect of pozzolanic materials on mechanical properties and water absorption of autoclaved aerated concrete. J. Build. Eng. 2019, 26, 100856. [Google Scholar] [CrossRef]
  38. Zhang, G.-Z.; Wang, X.-Y. Effect of Pre-Wetted Zeolite Sands on the Autogenous Shrinkage and Strength of Ultra-High-Performance Concrete. Materials 2020, 13, 2356. [Google Scholar] [CrossRef] [PubMed]
  39. Sobuś, N.; Czekaj, I.; Diichuk, V.; Kobasa, I.M. Characteristics of the structure of natural zeolites and their potential application in catalysis and adsorption processes. Tech. Trans. 2020, 117, e2020043. [Google Scholar] [CrossRef]
  40. Zhang, H. Concrete. In Building Materials in Civil Engineering; Zhang, H., Ed.; Elsevier: Amsterdam, The Netherlands, 2011; pp. 81–423. ISBN 9781845699550. [Google Scholar]
  41. Powers, T.C. A Working Hypothesis for Further Studies of Frost Resistance of Concrete. ACI J. Proc. 1945, 41, 245–272. [Google Scholar] [CrossRef]
  42. Vejmelková, E.; Koňáková, D.; Kulovaná, T.; Keppert, M.; Žumár, J.; Rovnaníková, P.; Keršner, Z.; Sedlmajer, M.; Černý, R. Engineering properties of concrete containing natural zeolite as supplementary cementitious material: Strength, toughness, durability, and hygrothermal performance. Cem. Concr. Compos. 2015, 55, 259–267. [Google Scholar] [CrossRef]
  43. Ebrahimi Besheli, A.; Samimi, K.; Moghadas Nejad, F.; Darvishan, E. Improving concrete pavement performance in relation to combined effects of freeze–thaw cycles and de-icing salt. Constr. Build. Mater. 2021, 277, 122273. [Google Scholar] [CrossRef]
  44. Bilim, C. Properties of cement mortars containing clinoptilolite as a supplementary cementitious material. Constr. Build. Mater. 2011, 25, 3175–3180. [Google Scholar] [CrossRef]
  45. Milović, T.; Šupić, S.; Malešev, M.; Radonjanin, V. The Effects of Natural Zeolite as Fly Ash Alternative on Frost Resistance and Shrinkage of Blended Cement Mortars. Sustainability 2022, 14, 2736. [Google Scholar] [CrossRef]
  46. Chakraborty, S.; Mandal, R.; Chakraborty, S.; Guadagnini, M.; Pilakoutas, K. Chemical attack and corrosion resistance of concrete prepared with electrolyzed water. J. Mater. Res. Technol. 2021, 11, 1193–1205. [Google Scholar] [CrossRef]
  47. Valipour, M.; Shekarchi, M.; Arezoumandi, M. Chlorine diffusion resistivity of sustainable green concrete in harsh marine environments. J. Clean. Prod. 2017, 142, 4092–4100. [Google Scholar] [CrossRef]
  48. Valipour, M.; Pargar, F.; Shekarchi, M.; Khani, S. Comparing a natural pozzolan, zeolite, to metakaolin and silica fume in terms of their effect on the durability characteristics of concrete: A laboratory study. Constr. Build. Mater. 2013, 41, 879–888. [Google Scholar] [CrossRef]
  49. Sabet, F.A.; Libre, N.A.; Shekarchi, M. Mechanical and durability properties of self consolidating high performance concrete incorporating natural zeolite, silica fume and fly ash. Constr. Build. Mater. 2013, 44, 175–184. [Google Scholar] [CrossRef]
  50. Madhuri, P.V.; Kameswara Rao, B.; Chaitanya, A. Improved performance of concrete incorporated with natural zeolite powder as supplementary cementitious material. Mater. Today Proc. 2021, 47, 5369–5378. [Google Scholar] [CrossRef]
  51. Samimi, K.; Kamali-Bernard, S.; Akbar Maghsoudi, A.; Maghsoudi, M.; Siad, H. Influence of pumice and zeolite on compressive strength, transport properties and resistance to chloride penetration of high strength self-compacting concretes. Constr. Build. Mater. 2017, 151, 292–311. [Google Scholar] [CrossRef]
  52. Dousti, A.; Rashetnia, R.; Ahmadi, B.; Shekarchi, M. Influence of exposure temperature on chloride diffusion in concretes incorporating silica fume or natural zeolite. Constr. Build. Mater. 2013, 49, 393–399. [Google Scholar] [CrossRef]
  53. Oueslati, O.; Duchesne, J. Resistance of blended cement pastes subjected to organic acids: Quantification of anhydrous and hydrated phases. Cem. Concr. Compos. 2014, 45, 89–101. [Google Scholar] [CrossRef]
  54. Chintalapudi, K.; Pannem, R.M.R. Enhanced chemical resistance to sulphuric acid attack by reinforcing Graphene Oxide in Ordinary and Portland Pozzolana cement mortars. Case Stud. Constr. Mater. 2022, 17, e01452. [Google Scholar] [CrossRef]
  55. Irico, S.; De Meyst, L.; Qvaeschning, D.; Alonso, M.C.; Villar, K.; De Belie, N. Severe Sulfuric Acid Attack on Self-Compacting Concrete with Granulometrically Optimized Blast-Furnace Slag-Comparison of Different Test Methods. Materials 2020, 13, 1431. [Google Scholar] [CrossRef] [PubMed]
  56. Samimi, K.; Kamali-Bernard, S.; Maghsoudi, A.A. Durability of self-compacting concrete containing pumice and zeolite against acid attack, carbonation and marine environment. Constr. Build. Mater. 2018, 165, 247–263. [Google Scholar] [CrossRef]
  57. Gerengi, H.; Kocak, Y.; Jazdzewska, A.; Kurtay, M.; Durgun, H. Electrochemical investigations on the corrosion behaviour of reinforcing steel in diatomite- and zeolite-containing concrete exposed to sulphuric acid. Constr. Build. Mater. 2013, 49, 471–477. [Google Scholar] [CrossRef]
  58. Šavija, B.; Luković, M. Carbonation of cement paste: Understanding, challenges, and opportunities. Constr. Build. Mater. 2016, 117, 285–301. [Google Scholar] [CrossRef]
  59. Thiery, M.; Villain, G.; Dangla, P.; Platret, G. Investigation of the carbonation front shape on cementitious materials: Effects of the chemical kinetics. Cem. Concr. Res. 2007, 37, 1047–1058. [Google Scholar] [CrossRef]
  60. Azarsa, P.; Gupta, R. Electrical Resistivity of Concrete for Durability Evaluation: A Review. Adv. Mater. Sci. Eng. 2017, 2017, 8453095. [Google Scholar] [CrossRef]
  61. Idiart, A.E.; López, C.M.; Carol, I. Modeling of drying shrinkage of concrete specimens at the meso-level. Mater. Struct. 2011, 44, 415–435. [Google Scholar] [CrossRef]
  62. Lv, Y.; Ye, G.; De Schutter, G. Investigation on the potential utilization of zeolite as an internal curing agent for autogenous shrinkage mitigation and the effect of modification. Constr. Build. Mater. 2019, 198, 669–676. [Google Scholar] [CrossRef]
  63. Shekarchi, M.; Ahmadi, B.; Azarhomayun, F.; Shafei, B.; Kioumarsi, M. Natural zeolite as a supplementary cementitious material—A holistic review of main properties and applications. Constr. Build. Mater. 2023, 409, 133766. [Google Scholar] [CrossRef]
  64. Wang, Q.; Xiong, Z.; He, J.; Lai, M.; Ho, J. Effective solution for improving rheological properties of cement paste containing zeolite. Constr. Build. Mater. 2022, 351, 128780. [Google Scholar] [CrossRef]
  65. Thomas, M.; Osińska, M.; Ślosarczyk, A. Long-Term Behavior of Cement Mortars Based on Municipal Solid Waste Slag and Natural Zeolite—A Comprehensive Physico-Mechanical, Structural and Chemical Assessment. Materials 2022, 15, 1001. [Google Scholar] [CrossRef] [PubMed]
Figure 1. Microstructure of clinoptilolite zeolite.
Figure 1. Microstructure of clinoptilolite zeolite.
Coatings 14 00018 g001
Figure 2. Variation of cement paste compressive strength with curing age, water/binder ratio and zeolite content (using data from [10,18]). (a)compressive strength values at early ages (2 and 7 days, normalized); (b) compressive strength values at 28 days (normalized) and (c) Compressive strength values at 56 and 70 days (normalized).
Figure 2. Variation of cement paste compressive strength with curing age, water/binder ratio and zeolite content (using data from [10,18]). (a)compressive strength values at early ages (2 and 7 days, normalized); (b) compressive strength values at 28 days (normalized) and (c) Compressive strength values at 56 and 70 days (normalized).
Coatings 14 00018 g002aCoatings 14 00018 g002b
Figure 3. Variation of concrete compressive strength with curing age, water/binder ratio and zeolite content (using data from [17,30,32,35,36,42]). (a) compressive strength values at early ages (7 days, normalized); (b) compressive strength values at 28 days (normalized) and (c) compressive strength values at 90 days (normalized).
Figure 3. Variation of concrete compressive strength with curing age, water/binder ratio and zeolite content (using data from [17,30,32,35,36,42]). (a) compressive strength values at early ages (7 days, normalized); (b) compressive strength values at 28 days (normalized) and (c) compressive strength values at 90 days (normalized).
Coatings 14 00018 g003
Table 1. Influence of zeolite content on the fresh properties of cement-based materials.
Table 1. Influence of zeolite content on the fresh properties of cement-based materials.
MaterialWater/Binder RatioReplacement PercentageFindingsRef.
Paste0.45%, 10%
by mass
The initial and final setting time decreased by 20–35 min and 15–35 min, respectively, compared to the control mix.[3]
Paste0.45, 0.5, 0.55, 0.6, 0.65, 0.75%, 10%, 15%, 20%
by mass
flow spread increased with increase in w/b but decreased with increase in zeolite content;
packing density increased with increase in zeolite content;
water film thickness increased with increase in w/b but decreased with increase in zeolite content.
[18]
Paste0.55%, 10%, 15%, 20%
not specified
water demand increased with zeolite content;
volume expansion was halved with more than 5% zeolite;
initial/final setting time showed little variations.
[10]
Paste0.610%, 20%, 30%
by mass
initial setting time decreased and final setting time increased when using zeolite;
flow of cement paste decreased with increase in zeolite content.
[4]
Mortar0.3315%, 30%
by mass
higher dosage of superplasticizer required when using zeolite;
slump increased after zeolite calcination.
[13]
Mortar0.33610%
by mass
higher water-reducing admixture content.
highest times for mortar to reach spread diameters of 250 mm and 300 mm.
[15]
Mortar0.4855%, 10%
by mass
the use of up to 10% zeolite decreased the workability by approximately 25% compared to the control mix.[3]
Mortar0.55%, 10%, 15%, 20%
by volume
the flowability increased up to 10% replacement and then decreased;
porosity was higher than control mix and highest for 10% replacement.
[9]
Concrete0.45%, 10%, 15%, 20%
by mass
Increased dosage of superplasticizer to obtain a similar slump to the control mix;
air content increased with the increase in the replacement percentage.
[2]
Concrete0.35, 0.4, 0.45, 0.510%, 15%
by mass
higher dosage of water-reducing admixture was required with the increase in the zeolite content in order obtain similar slump values with the control mix;
increasing the w/b ratio resulted in lower dosages of water-reducing admixture.
[17]
Concrete0.485%, 10%, 15%
by mass
slump decreased with an increase in zeolite percentage; The increase in the crumb rubber content resulted in a further decrease in the slump.[19]
Table 2. Influence of zeolite content on the compressive strength of cement paste.
Table 2. Influence of zeolite content on the compressive strength of cement paste.
Water/Binder RatioReplacement PercentageAge [Days]FindingsRef.
0.45, 0.5, 0.55, 0.6, 0.65, 0.75%, 10%, 15%, 20%
by mass
7, 28, 70Increasing the w/b ratio decreases the compressive strength irrespective of age or replacement percentage;
The compressive strength decreases with the increase in zeolite content compared to reference mix;
At the age of 70 days, all zeolites containing pastes showed higher values compared to the reference mix, irrespective of w/b ratio.
[18]
Table 3. Influence of zeolite content on the flexural tensile strength and compressive strength of mortar.
Table 3. Influence of zeolite content on the flexural tensile strength and compressive strength of mortar.
Water/Binder RatioReplacement PercentageAge [Days]FindingsRef.
0.55%, 10%, 15%, 20%
not specified
replaces cement
2, 7, 28, 56early age (2 and 7 days) flexural strength decreased with increase in zeolite content;
at 28 and 56 days, flexural strength of mortars with 5% and 10% zeolite was similar to the reference; higher percentages resulted in lower values;
compressive strength followed a similar trend.
[10]
0.530%, 40%, 50%
by mass of cement
1, 3, 7, 28lower compressive strength for all mortar mixes with zeolite; increase in replacement percentages resulted in lower values;
compressive strength was slightly improved by calcination of zeolite;
compressive strength was significantly improved by milling of zeolite;
milling and calcination did not show improvements in compressive strength over milling alone.
[21]
0.48515%
by mass of cement
3, 7, 28, 90compressive strength of mortar with zeolite increased with the curing age;
early age compressive strength is lower for zeolite mortars compared to the reference; at 28 and 90 days, compressive strength is higher for zeolite mortars;
when used together with nano-silica (3%, 4%), compressive strength is consistently higher than the one obtained for control.
[22]
0.45%, 10%, 15%, 20%
by volume of cement
90flexural tensile strength decreased when zeolite was used; smallest decrease recorded for 10% zeolite;
compressive strength marginally higher for 10% and 15% zeolite use compared to control; the other two mixes showed up to 12% decrease.
[9]
0.33610%
by mass of cement
7, 28compressive strength increased for both ages compared to control (additionally, 10% of cement was replaced by limestone powder);
highest increase, of 26%, obtained at 28 days.
[15]
Not specified10%, 20%
by mass of cement
28compressive strength at room temperature was 5% lower, on average, when using zeolite; with increasing temperature, the decrease was up to 10.53%;
flexural tensile strength at room temperature was similar to the reference for the 10% zeolite mix and 12.57% lower for the 20% mix; exposure to temperatures up to 800 °C resulted in an average decrease of 3.45%.
[20]
0.215%, 20%, 30%
by mass of sand
28compressive strength was lower at 28 days when using zeolite, both natural and calcined;
compressive strength reduced by 2.24% for 15% zeolite use (either natural or calcined) and by 5% for 20% calcined zeolite use; increasing zeolite content resulted in 10% decrease in compressive strength.
[26]
Table 4. Influence of zeolite content on the compressive strength (f′c), splitting/flexural tensile strength (ft) and modulus of elasticity (E) of concrete.
Table 4. Influence of zeolite content on the compressive strength (f′c), splitting/flexural tensile strength (ft) and modulus of elasticity (E) of concrete.
Water/Binder RatioReplacement PercentageAge [Days]Investigated Properties:
f′c, ft, E
FindingsRef.
0.485%, 10%, 15%
by mass of cement
7, 28f′c, ft, Ecompressive strength and splitting tensile strength at 28 days increased with increasing zeolite content for all crumb rubber percentages;
modulus of elasticity was influenced by the crumb rubber content rather than zeolite.
[19]
0.452.5%, 5%, 7.5%, 10%
by mass of cement
7, 28f′ccompressive strength of all zeolite mixes was higher than the reference;
increasing zeolite percentage resulted in a lower increase in compressive strength during curing.
[30]
0.42, 0.465%, 10%, 15%
by mass of cement
7, 28, 90f′c, fthigher w/b resulted in lower values of mechanical properties;
early age compressive strength was lower with increasing zeolite content;
compressive strength at 90 days was higher for zeolite concrete for all w/b; 10% zeolite use resulted in highest compressive strength, irrespective of w/b;
similar results were obtained for flexural tensile strength.
[32]
0.415%, 10%, 15%, 20%
by mass of cement
7, 28, 90, 180f′c, ft, Ecompressive strength was lower for all concrete mixes containing zeolite at all ages;
mechanical properties were highly affected by cement type;
tensile splitting strength was lowest for 10% zeolite use, irrespective of cement type;
tensile strength was higher for higher replacement percentages;
modulus of elasticity was not significantly influenced by zeolite or cement type.
[33]
0.45%, 10%, 15%, 20%
by mass of cement
3, 7, 28, 90f′ccompressive strength was higher for all zeolite concrete at all ages;
compressive strength decreased with increasing zeolite content, up to 28 days;
significantly higher compressive strength was obtained at 90 days compared to the reference.
[2]
0.410%, 15%
by mass of cement
28, 90, 236f′ccompressive strength was higher for all zeolite concrete at all ages;
increasing volcanic tuff content improved the compressive strength values;
concrete with 10% zeolite performed slightly better than the 15% mix.
[34]
0.410%, 20%, 30%
by mass of cement
7, 28f′ccompressive strength decreased with increase in zeolite content;
at 7 days, the 10% zeolite concrete mix showed higher compressive strength than the control;
at 28 days, both 10% and 15% zeolite concrete mixes showed higher compressive strength than the control.
[35]
0.38, 0.455%, 10%, 15%, 20%
by mass of cement
3, 7, 14, 28, 90f′c, ftcompressive strength increased with the age of concrete and with reduction in w/b;
higher rate of compressive strength development with age was recorded for zeolites containing self-compacting concrete;
splitting tensile strength at 28 days decreased with increasing zeolite content.
[28]
0.355%, 7.5%, 10%
by mass of cement
7, 28, 90f′c, ftcompressive and splitting tensile strength at all ages were improved by increasing the zeolite percentage;
mechanical properties were further improved by adding fibers.
[36]
0.320%, 40%, 60%
by mass of cement
7, 28, 90f′ccompressive strength of zeolite concrete was lower than the reference at 7 and 28 days;
20% zeolite use resulted in the highest compressive strength at 90 days; higher percentages resulted in lower compressive strength compared to the control.
[31]
0.185%, 10%, 15%
by mass of cement
3, 7, 28, 90f′ccompressive strength increased for all zeolite concrete at all ages, compared to the reference;
early age (3 and 7 days) compressive strength was highest for the 5% zeolite mix;
at 28 days and later, the 10% zeolite mix exhibited the highest compressive strength.
[27]
-7%, 14%, 21%
by mass of cement
N.A.f′c, ft compressive strength of autoclave aerated concrete was significantly improved by zeolite;
compressive and splitting tensile strength increased with increasing the zeolite content.
[37]
0.215%, 30%
by mass of sand
3, 7, 28f′ccompressive strength decreased with increasing the zeolite content at all ages;
zeolite calcination had a positive effect after 90 days, though compressive strength was slightly lower than the reference;
calcination pre-treatment was not effective at early ages.
[38]
Table 5. Influence of zeolite content on the freeze–thaw behavior of mortar and concrete.
Table 5. Influence of zeolite content on the freeze–thaw behavior of mortar and concrete.
MaterialReplacement PercentageMeasurementFindingsRef.
Concrete10%
by mass of cement
strength losslower strength loss percentage (25.6 vs. 37.9 after 150 cycles).[7]
Concrete10%, 20%, 40%, 60%
by mass of cement
strength loss10% and 20% zeolite use resulted in better results when compared to reference, in both compression and bending.[42]
Concrete10%, 20%, 40%, 60%
by mass of cement
mass loss
(de-icing salts)
mass loss was reduced by 50% for 10% and 20% zeolite use, compared to control; mass loss was increased 2–3 times by 40% and 60% zeolite use.[42]
Concrete15%
by mass of cement
mass loss
(de-icing salts)
four times less mass loss when using zeolite;
obs.: lime was also used in all mixes.
[43]
Mortar5%, 10%, 15%, 20%, 30%
by mass of cement
mechanical propertiesincrease in zeolite content resulted in better mechanical properties compared to the reference before freeze–thaw cycles;
after 50 freeze–thaw cycles, 5% zeolite use resulted in better values of mechanical properties.
[44]
Mortar10%, 20%, 30%
by mass of cement
Compressive strengthcompressive strength for all mixes decreased after 50 freeze–thaw cycles;
10% zeolite use resulted in the highest freeze–thaw performance.
[45]
Table 6. Influence of zeolite content on the chloride diffusion resistance of concrete.
Table 6. Influence of zeolite content on the chloride diffusion resistance of concrete.
MaterialReplacement PercentageMeasurementFindingsRef.
Concrete15%, 30%
by mass of cement
rapid chloride penetration testvalues were lowered by up to 85% and 93% for 15% and 30%, respectively, after 90 days of curing.[11]
Concrete30%, 40%
by mass of cement
rapid chloride penetration testzeolite mixes showed low chloride permeability for low w/b (0.3), while reference had a moderate one;
zeolite had no impact at higher w/b (0.4).
[50]
Concrete10%, 15%
by mass of cement
rapid chloride penetration testhigher w/b resulted in higher chloride penetration for the reference; similar behavior was observed for zeolite concrete for w/b ratios of 0.35, 0.4 and 0.45;
10% zeolite reduced chloride permeability by 43%, 57%, 59% and 54% for w/b of 0.35, 0.4, 0.45 and 0.5;
15% zeolite reduced chloride permeability by 51%, 58%, 65% and 70% for w/b of 0.35, 0.4, 0.45 and 0.5.
[17]
Concrete10%, 20%, 30%
by mass of cement
accelerated chloride penetration testzeolite use increased resistance to chloride diffusion;
20% zeolite presented the best results in splash conditions.
[47]
Concrete10%, 20%, 30%
by mass of cement
accelerated chloride penetration testchloride penetration was lower in zeolite specimens and it reduced with zeolite percentage.[48]
Concrete10%, 20%
by mass of cement
accelerated chloride penetration testdiffusion coefficient decreased more than 2 times compared to control[49]
Concrete15%
by mass of cement
non-steady-state chloride migrationthe diffusion coefficient value at day 7 is the same for reference and zeolite-containing mix;
during aging, zeolite mix showed a more pronounced reduction; after 365 days, zeolite mix showed a value 3 times lower than the control.
[43]
Concrete10%, 15%
by mass of cement
non-steady-state chloride migrationmigration coefficient decreased more abruptly during curing to 365 days when zeolite was used; values were 2.3 and 2.9 times lower than control;
penetration depth decreased by ~30% for zeolite mixes when tested after 230 days of saline solution immersion; diffusion coefficient was reduced to half for zeolite mixes.
[51]
Concrete10%, 20%, 30%
by mass of cement
apparent diffusion coefficientdiffusion coefficient decreased ~2 times when zeolite was used;
exposure temperature (22, 35, 50 °C) increased the diffusion coefficient, but growth rate was slower for zeolite concrete.
[52]
Concrete5%, 10%, 15%, 30%
by mass of cement
apparent diffusion coefficientdiffusion coefficient decreased with zeolite percentage;
5% zeolite mix was similar to control, while 30% zeolite resulted in ~66% reduction.
[2]
Concrete10%, 15%
by mass of cement
standard chloride diffusion testzeolite use decreased the diffusion coefficient, proportional to zeolite percentage.[34]
Table 7. Influence of zeolite content on the acid attack resistance of concrete.
Table 7. Influence of zeolite content on the acid attack resistance of concrete.
MaterialReplacement PercentageMeasurementFindingsRef.
Concrete15%, 30%
by mass of cement
strength lossafter H2SO4 immersion for 300 days, zeolite concrete showed a higher strength loss (20.8% and 23.3%) than control (5.5%).[11]
Concrete10%, 15%
by mass of cement
strength lossafter 180 days immersion in H2SO4, strength loss increased with zeolite content.[34]
Concrete10%, 15%
by mass of cement
strength lossafter H2SO4 immersion for 8 weeks, zeolite concrete behaved better compared to the reference; 10% zeolite use resulted in minor improvement of strength loss, and 15% zeolite use reduced strength loss by over 70%.[56]
Concrete30%, 40%
by mass of cement
strength lossafter H2SO4 immersion, zeolite concrete exhibited a higher strength loss.[50]
Concrete15%, 30%
by mass of cement
mass lossreference concrete mass increased during immersion;
zeolite modified concrete mass firstly decreased and then increased, almost reaching the initial value.
[11]
Concrete10%, 15%
by mass of cement
mass lossafter 180 days immersion in either HCl or H2SO4, mass loss increased with zeolite content.[34]
Concrete10%, 15%
by mass of cement
mass lossafter 8 weeks immersion in H2SO4, specimens with 10% zeolite were very similar to the control;
15% zeolite use reduced mass loss by over 37%.
[56]
Concrete30%, 40%
by mass of cement
mass lossafter H2SO4 immersion for 56 days, 30% zeolite mix reduced mass loss for w/b = 0.3 and w/b = 0.4; for higher w/b, mass loss is lower;
mass loss was higher than the reference for 40% zeolite mix, irrespective of w/b.
[50]
Concrete20%
not specified
electrochemical impedance spectroscopyresistance was higher for zeolite specimens during exposure to H2SO4, indicating a lower corrosion potential.[57]
Table 8. Influence of zeolite content on the water transport properties of concrete.
Table 8. Influence of zeolite content on the water transport properties of concrete.
MaterialReplacement PercentageMeasurementFindingsRef.
Concrete15%, 30%
by mass of cement
water penetrationwater penetration decreased with increasing zeolite content;
the effect of zeolite percentage is more pronounced at the age of 90 days.
[11]
Concrete10%, 15%
by mass of cement
water penetrationpenetration depth was decreased by 55% and 65% for 10% and 15% zeolite use, respectively.[51]
Concrete10%
by mass of cement
water penetration15% decrease in water penetration compared to reference mix[7]
Concrete10%, 15%
by mass of cement
water penetration28 days: 10% (15%) zeolite use reduced the maximum permeability by 18% (30%), 15% (42%), 16% (29%) and 28% (44%) for w/b ratios of 0.35, 0.4, 0.45 and 0.5
90 days: 10% (15%) zeolite use reduced maximum permeability by 12% (22%), 26% (36%), 12% (36%) and 10% (21%) for w/b ratios of 0.35, 0.4, 0.45 and 0.5
[17]
Concrete15%, 30%
by mass of cement
water absorptionwater absorption increased for zeolite mixes; age and replacement percentage had little impact.[11]
Concrete5%, 10%, 15%, 20%
by mass of cement
water absorptioninitial and final absorption for w/b = 0.45 decreased linearly with zeolite content at 28 and 90 days;
initial and final absorption for w/b = 0.38 was lowered for all zeolite mixes, with similar values at 90 days.
[28]
Concrete10%, 15%
by mass of cement
water absorptionwater absorption decreased with increasing zeolite content.[34]
Concrete10%, 20%, 30%
by mass of cement
water absorptionwater absorption decreased for 30% zeolite use compared to control and was similar for other mixes.[48]
Concrete10%, 15%
by mass of cement
water absorptionwater absorption after immersion increased by up to 12.5% and 25% for 10% and 15% zeolite use, respectively, after 365 days of curing;
water absorption after immersion and boiling was higher than the control by 11.7% and 23.5% for 10% and 15% zeolite use, respectively.
[51]
Concrete10%
by mass of cement
water absorptionwater absorption increased by 23% compared to reference mix.[7]
Concrete10%, 20%
by mass of cement
water absorption~20% reduction in water absorption when using zeolite.[49]
Concrete2.5%, 5%, 7.5%, 10%
by mass of cement
water absorptionwater absorption decreased with increasing zeolite percentage;
2.5% and 5% zeolite use resulted in values close to the control;
7.5% and 10% zeolite use resulted in values less than half of the control.
[30]
Concrete5%, 10%, 15%, 20%
by mass of cement
water absorptionzeolite lowered water absorption with a similar percentage for all specimens (20%).[2]
Concrete10%, 20%, 30%
by mass of cement
sorptivitysorptivity decreased compared to control for 10% and 20% zeolite use.[48]
Concrete15%
by mass of cement
sorptivitycapillary absorption decreased at various ages up to 365 days; values were 1.33–1.63 times lower than control.[43]
Concrete10%, 15%
by mass of cement
sorptivitysorptivity decreased with increasing zeolite content (by 25% and 42%)[51]
Concrete10%, 15%
by mass of cement
sorptivitycapillary absorption (measured at 28, 90 and 270 days) was improved by zeolite use; reduction percentages were between 20% and 53%.[17]
Table 9. Influence of zeolite content on the carbonation resistance of concrete.
Table 9. Influence of zeolite content on the carbonation resistance of concrete.
MaterialReplacement PercentageMeasurementFindingsRef.
Concrete10%, 15%
by mass of cement
accelerated carbonation10% zeolite use increased carbonation depth by 105%–253% for w/b between 0.35 and 0.5;
15% zeolite use increased carbonation depth by 163%–495% for w/b between 0.35 and 0.5.
[17]
Concrete10%, 15%
by mass of cement
accelerated and natural carbonationcarbonation depth (accelerated test) increased 4 times and 9 times for 10% and 15% zeolite use, respectively;
mass gain (accelerated test) was 3 times larger for 15% zeolite mix compared to reference;
carbonation depth (natural) increased only for 15% zeolite use (7 mm).
[56]
Table 10. Influence of zeolite content on the electrical resistivity of concrete.
Table 10. Influence of zeolite content on the electrical resistivity of concrete.
MaterialReplacement PercentageMeasurementFindingsRef.
Concrete10%, 20%, 30%
by mass of cement
AC Impedance Spectrometrythe 28 days resistivity increased with increasing zeolite content (up to ~3.5 times compared to reference);
The 365 days resistivity increased 3 times (10% and 20% zeolite) and 4 times (30% zeolite).
[48]
Concrete10%, 20%
by mass of cement
AC Impedance Spectrometryresistivity increased by 3.5 to 6 times with increase in zeolite content.[49]
Concrete5%, 10%, 15%, 20%
by mass of cement
AC Impedance Spectrometryresistivity during aging increased more with increasing zeolite percentage; at 90 days, resistivity of 20% zeolite mix is 3 times higher than control.[2]
Concrete15%
by mass of cement
electrical resistivity of water-saturated concreteresistance increased by zeolite use and age; 365 days value was 3.5 times larger for zeolite mix compared to reference.[43]
Concrete10%, 15%
by mass of cement
electrical resistivity of water-saturated concretethe 365 days resistivity was 2 times and 3 times larger for 10% and 15% zeolite use, respectively, compared to control.[51]
Concrete10%, 15%
by mass of cement
electrical resistivity of water-saturated concretethe 28 days resistance increased for 10% (15%) zeolite use compared to control, for w/b of 0.35, 0.4, 0.45 and 0.5, with 82%–159% (96%–200%); at 90 days and 270 days, resistance increased more, with up to 200%–300%.[17]
Table 11. Influence of zeolite content on the shrinkage of cement-based materials.
Table 11. Influence of zeolite content on the shrinkage of cement-based materials.
MaterialReplacement PercentageMeasurementFindingsRef.
Mortar10%
by mass of cement
Early age shrinkageshrinkage decreased by 5% compared to control when a blend of limestone powder and zeolite powder was used.[15]
Mortar15%, 30%
by mass of cement
Drying shrinkageshrinkage was increased by natural zeolite by up to 48.69%; calcination of zeolite did not improve the shrinkage behavior.[13]
Concrete10%
by mass of cement
Drying shrinkagedrying shrinkage was ~3 times lower when using zeolite compared to reference.[7]
Concrete15%, 30%
by mass of cement
Drying shrinkagedrying shrinkage, measured at 90 days, was 84% and 64% of the control value for 15% and 30% zeolite specimens, respectively.[11]
High performance concrete5%, 10%, 15%
by mass of cement
Autogenous shrinkageearly age autogenous shrinkage was reduced with increasing zeolite percentage;
long-term autogenous shrinkage decreased for lower zeolite percentage (5%);
both short-term and long-term autogenous shrinkage decreased with increasing zeolite particle size.
[27]
Ultra-high performance concrete25%, 50%, 75%, 100%
by mass of silica fume
Autogenous shrinkageautogenous shrinkage of ultra-high performance concrete was significantly reduced with increasing zeolite content.[5]
Table 12. Chemical composition of natural zeolites from surveyed scientific literature.
Table 12. Chemical composition of natural zeolites from surveyed scientific literature.
CaOSiO2Al2O3Fe2O3MgONa2OK2OSO3LOIReference(s)
1.6867.7913.661.441.22.041.420.5210.23[11,16,31,34,36,38,48,52]
1.3366.7011.480.90.221.83.423.4314.10[3]
1.2271.5011.302.050.171.244.55--[5]
3.372.512.51.70.60.23.6-5.6[9]
1.7764.448.31.660.072.32.240.0418.95[10]
2.1870.1111.451.891.620.772.360.039.52[13]
7.9768.713.592.431.123.032.69--[14]
3.4875.0412.852.380.80.54.86--[14]
5.9168.814.062.560.973.842.83--[14]
2.5876.5512.761.470.950.774.86--[14]
2.7476.9314.681.390.791.232.07--[14]
2.7162.8713.461.352.38----[18]
3.0471.2911.432.161.111.720.950.057.69[21]
3.166.511.81.30.82.032.10.529.85[22]
1.9964.2712.70.680.462.302.900.3414.18[26]
4.1160.2518.451.91.121.661.18-11.33[27]
1.5168.412.51.321.42.21.30.45-[28]
2.1071.3513.100.91.070.82.45--[30]
3.6766.9819.881.210.49-0.060.714.71[31]
5.5059.8114.321.040.835.761.36-7.47[33]
2.2469.215.283.011.42.22.10.45-[34]
3.5669.2810.430.490.50.731.270.00512.97[36]
4.3468.2812.300.081.050.260.94--[12]
3.2874.6914.991.530.6530.8343.6-5.32[42]
3.663.3211.70.321.2--0.0888.49[49]
3.9768.8511.711.291.060.292.190.1810[57]
9.2050.899.001.187.681.032.430.0418.17[64]
9.7360.911.07.91--8.89--[64,65]
Disclaimer/Publisher’s Note: The statements, opinions and data contained in all publications are solely those of the individual author(s) and contributor(s) and not of MDPI and/or the editor(s). MDPI and/or the editor(s) disclaim responsibility for any injury to people or property resulting from any ideas, methods, instructions or products referred to in the content.

Share and Cite

MDPI and ACS Style

Alexa-Stratulat, S.-M.; Olteanu, I.; Toma, A.-M.; Pastia, C.; Banu, O.-M.; Corbu, O.-C.; Toma, I.-O. The Use of Natural Zeolites in Cement-Based Construction Materials—A State of the Art Review. Coatings 2024, 14, 18. https://doi.org/10.3390/coatings14010018

AMA Style

Alexa-Stratulat S-M, Olteanu I, Toma A-M, Pastia C, Banu O-M, Corbu O-C, Toma I-O. The Use of Natural Zeolites in Cement-Based Construction Materials—A State of the Art Review. Coatings. 2024; 14(1):18. https://doi.org/10.3390/coatings14010018

Chicago/Turabian Style

Alexa-Stratulat, Sergiu-Mihai, Ioana Olteanu, Ana-Maria Toma, Cristian Pastia, Oana-Mihaela Banu, Ofelia-Cornelia Corbu, and Ionut-Ovidiu Toma. 2024. "The Use of Natural Zeolites in Cement-Based Construction Materials—A State of the Art Review" Coatings 14, no. 1: 18. https://doi.org/10.3390/coatings14010018

APA Style

Alexa-Stratulat, S.-M., Olteanu, I., Toma, A.-M., Pastia, C., Banu, O.-M., Corbu, O.-C., & Toma, I.-O. (2024). The Use of Natural Zeolites in Cement-Based Construction Materials—A State of the Art Review. Coatings, 14(1), 18. https://doi.org/10.3390/coatings14010018

Note that from the first issue of 2016, this journal uses article numbers instead of page numbers. See further details here.

Article Metrics

Back to TopTop