Abstract
We investigate theoretically the Josephson current through one semiconductor quantum dot (QD) coupled to triple nanowires (junctions) with Majorana bound states (MBSs) prepared at their ends. We find that not only the strength but also the period of the Josephson current flowing between the left and right Josephson junctions via the dot can be fully controlled in terms of the third junction side-coupled to the QD. When the phase factor is zero in the third junction, which acts as a current regulator, the Josephson current is a -period function of the difference in phases of the left and right junctions. Now, the magnitude of the current is suppressed by hybridization between the QD and the regulator junction. The period of the current becomes under the condition of nonzero phase factor in the regular junction, and thus either the magnitude or the sign (flow direction) of the current can be controlled in this trijunction device. This is difficult to realize in the usual tow-terminal structure. It is also found that the direct overlap between the MBSs in the regulator junction generally enhances the current’s amplitude, but those in the left and right Majorana junctions suppress the current. The above results are explained with the help of the device’s energy diagram and the current carrying density of states (CCDOS) and might be applied for adjusting the current density in the superconducting coated conductors technologies.
1. Introduction
Investigations on the physics of Josephson tunneling dates back to 1962 [1], when a supercurrent that flows through a Josephson junction composing two superconductors separated by a thin insulator film was theoretically predicted. According to the Bardeen–Cooper–Schrieffer (BCS) theory, superconductivity arises from the strong positive correlation between two electron states whose momentum and spin are equal in magnitude but opposite in directions, the so-called Cooper pairs. Josephson [1] found that under some certain conditions the Cooper pairs tunnel from the left superconductor to the right one through the thin insulator, leading to the Josephson current without bias voltage being applied across the two superconductors. This dc Josephson current arises from the difference in the phase of the two superconductors. In the presence of bias voltage, the Josephson current oscillates quickly, and the net current is zero. The exotic Josephson effect was verified in subsequent experiments and strongly supported the BCS theory. In the earlier years of this discovery, it was applied to the design of superconducting quantum interference devices for detecting tiny variations in the magnetic fields [2]. Electronic circuits made of two Josephson junctions are very useful in constructing quantum computers, medical diagnostic devices, and extremely sensitive magnetometers and voltmeters [2].
With the rapid development of nanofabrication techniques, the original insulator film sandwiched between the two superconductors was replaced by various other thinner and thinner materials, resulting in more pronounced quantum effects. Such quantum Josephson junctions behave like artificial atoms [3,4] and have become cornerstones in superconducting electronics providing state-of-the-art performance in various applications, such as quantum computing [5], photon dectors [6], tunnel diode [7,8], and superconducting thermoelectric devices [9,10], etc. In particular, when quantum dots (QDs) with controllable and discrete energy levels are inserted between two superconductors to replace the traditional insulator material, the Josephson tunneling processes become even more interesting [11,12]. For example, Andreev bound states (ABSs) are formed by superposition of the Cooper pair and QD states and become the main contribution to the Josephson current. Therefore, the Josephson effect in the superconductor–QD–superconductor structures can be controlled by changing the dot size, shape, or materials in addition to those conventional means [13,14,15,16,17,18].
Recently, much work concerning the Josephson effect has shifted towards junctions composed of topological superconductors realized by conventional nontopological ingredients, such as Shiba chains realized by magnetic Fe atoms deposited on the surface of Pb, which is an s-wave superconductor having strong spin-orbit interaction of Rashba type [19,20], or a conventional s-wave superconductor sandwiched between two-dimensional electron gases (2DEGs) with strong Rashba spin-orbit interaction [21]. There are also some works concerning hybridized junction with topological properties realized by particular design with conventional materials, for example, an InAs 2DEG proximitized by an epitaxial Al layer [22] and HgTe quantum well coupled to Al thin-film [23]. These new Josephson junctions provided important experimental platforms for the preparation, detection, and manipulation of the Majorana bound states (MBSs) [19,20,21,22,23,24,25,26,27]. The MBSs are exotic quasiparticles of Majorana fermions recently prepared at the edges of topological superconductors typically realized in HgTe/CdTe quantum wells [26]. These spatially separated zero-energy states obey non-Abelian statistics and are charge-neutral. Such unique natures enable them to be promising in applications of fault-tolerant topological quantum computation [27], spintronics [28], or thermoelectricity [29,30,31,32], etc. For example, the MBSs generally couple to electrons only of a certain spin direction due to their helical property and leave electrons of the other spin direction unaffected [26,28]. Consequently, a spin-polarized current or electron state naturally occurs in the presence of MBSs. Moreover, the spin-selective coupling between the MBSs and electrons are tunable in experiments [33,34,35], leading to more interesting phenomena. In systems composed of a QD and nanowires hosting MBSs, the thermopower and thermoelectric efficiency might be obviously enhanced, in addition to the sign reversion of thermopower by interaction between the dot and the Majorana fermions [29,30,31,32]. Currently, the detection of the MBSs is still challenging [36,37].
Motivated by the studies on the Josephson junction with topological superconductors, some recent work has been devoted to the devices consisting of a QD inserted between two semiconductor Majorana nanowires approximated with an s-wave superconductor [38,39,40]. The Josephson current driven by the topological phase associated with the MBSs in these structures is robust against the variation in the dot level, which is quite different from the case of usual resonant tunneling driven by the normal phase [38,39,40]. When the MBSs are coupled to electrons of both the two spin directions on the QD, the Josephson current can be adjusted by the dot level, magnetic fields, and the overlap between the MBSs in each nanowire [38,39,40].
Although the magnitude of the Josephson current in the abovementioned two-terminal Josephson junctions can be efficiently adjusted, the current’s period is difficult to alter. In view of this issue and those previously published works concerning multiple-terminal Josephson junctions [14,41,42,43], here, we propose a QD/Majorana-trijunction hybridized device to control both the magnitude and the period of the Josephson current. We emphasize that the proposed device is within the reach of present-day nanofabrication technologies, and the unique functions brought about by the additional third junction are difficult to realize in those two-terminal setups. As is plotted in Figure 1, a single-level QD couples simultaneously to three semiconductor nanowires (junctions) hosting MBSs at their ends [33]. We focus on the Josephson current flowing between the left and right junctions, and the third nanowire functions as the current’s regulator. Our calculation results show that when the phase factor of the regulator junction is zero, the Josephson current can be either strengthened or weakened by system’s parameters about the MBSs and a -period function of the phase difference between the two junctions. At finite phase factor , the current’s period becomes with respective to both phase difference and . Consequently, the flow direction of the Josephson current can be changed in addition to its tunable magnitude, which is useful in superconductor-based quantum devices.
Figure 1.
Schematic plot of the light-blue trijunction coupled to a QD denoted by the strong orange circle. The QD can be defined at the end of an InAs nanowire by applying gate voltages. The junctions are realizable by depositing an epitaxial Al layer on three facets of the InAs nanowire under a strong magnetic field, which induces the Majorana bound states (red circles). The coupling strengths between the dot and the Majorana bound states are denoted by . The phase factor in each nanowire is denoted by , which is added to . The MBSs at the two ends of each nanowire hybridize to each other with an amplitude of .
2. Model and Method
We study the device presented in Figure 1, in which a spinless QD is hybridized to triple semi-conductor nanowires hosting MBSs. The system’s total Hamiltonian can be divided into two parts [38,39]: , in which is for the QD with creation (annihilation) operator and energy level . Here the intradot Coulomb repulsion between electrons is neglected as the zero-energy MBSs mainly affects the transport processes around the Fermi level of the junctions , which are set to be zero [25,34,35,40]. The Hamiltonian describes the MBSs prepared at the ends of the Majorana trijunction, as well as the interaction with the QD [38,39,44],
where is the coupling strength between the MBSs existing at the different ends of the -th nanowire. Note that in the the present paper, we are interested in the Josephson current flowing between the two Majorana junctions, and the middle one is used as a regulator. We then assume that the QD is individually coupled to and due to the pairwise of the MBSs [38,39,44]. Accordingly, we have and , with . The quantity in the above expressions is the interaction strength between the QD and the left and right Majorana junction, and is the phase factor arising from the substrate superconductors in contact with the Majorana junctions. It is known that the difference between the phase factors gives rise to the Josephson current. As for the middle Majorana junction, we assume that both of the MBSs on it interact with the electrons on the QD, and [33,34,42,44]
in which . In the Hamiltonian , the operators for obey the commutation relation of and . As usual [38,39,44], we perform a unitary transformation to convert the MBSs representation into a regular fermion one by and . The Hamiltonian then becomes
in which , , and . The eigen-energy of the system is obtained by diagonalizing the whole Hamiltonian in matrix form. Under the generalized Nambu representation with the field annihilation and creation operators [38,45], and , the whole system’s Hamiltonian is given by following block matrix:
where the sub-matrices are and , where is the usual Pauli matrix of the z-component. The sub-matrices describing hopping between the QD and the Majorana junctions satisfy , and their explicit expressions are,
and
We calculate the dc Josephson current between the left and right Majorana junctions in terms of the nonequilibrium Green’s function technique, and its explicit expression is as follows [38,46,47],
where the quantity stands for the difference between the self-energies due to the left and right Majorana junctions, with . The retarded/advanced Green’s function for the -th Majorana junction without interaction with the QDs is . The total retarded/advanced Green’s function for the QD in Equation (8) is [38]
in which is a unitary matrix. Note that a Dynes Broadening is added in the QD Green’s function, whose value is set to be [43]. The equilibrium Dirac–Fermi distribution function in the expression of the Josephson current is , with the Boltzmann constant and T the temperature in equilibrium state. In the present paper, we only consider the case of zero temperature ().
3. Numerical Results
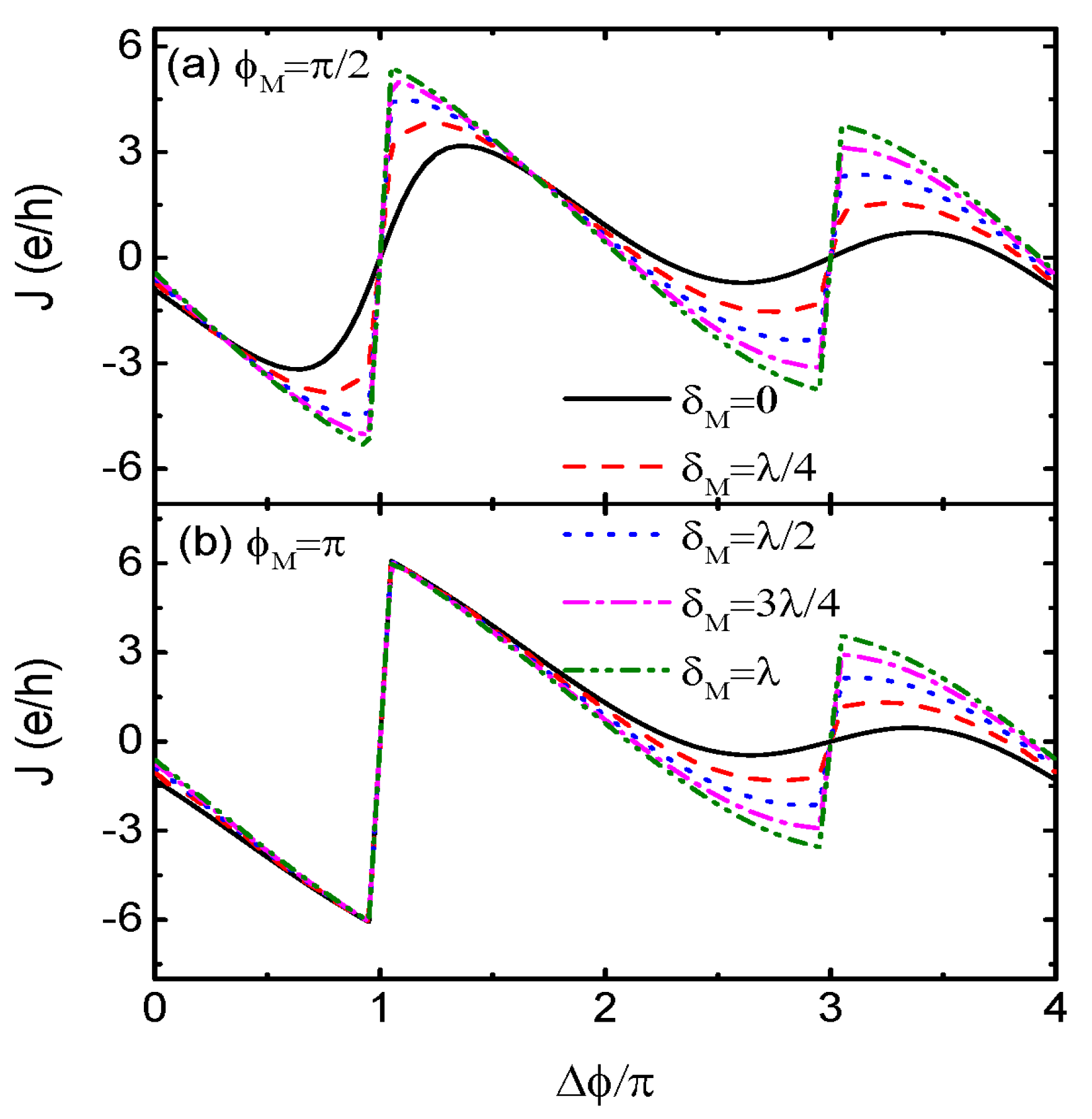
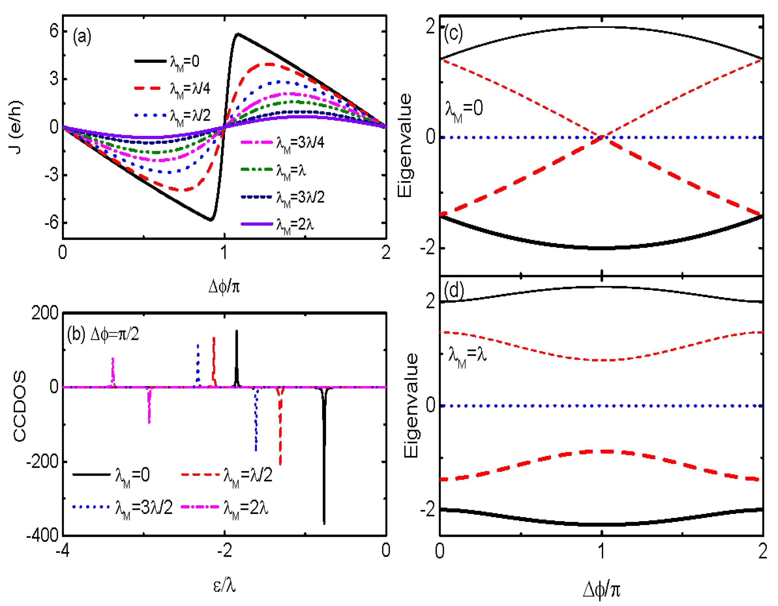
In the following numerical calculations, we focus on the situation of identical left/right Majorana junctions by choosing as the energy unit with [38]. As was found in previous works [38,39,40,42,43], the Josephson current generally reaches its maximum value when the Fermi levels of the junctions are aligned to the dot level, which is adjustable by gate voltages, its chemical compositions, and sizes. When the dot level is tuned to deeper or higher energy regimes, the magnitude of the current is suppressed. Accordingly, here, we fix the dot level and focus on the impacts of the regular junction. Figure 2a presents the Josephson current varying with respective to the phase difference and different . When the QD is free from coupling to the middle Majorana junction (), the Josephson current is characterized by the abrupt sign change (jump) at as shown by the black solid line. The period of the current with respective to the phase difference is , which is in agreement with previously published work [34,35,36]. When the QD is coupled to the middle Majorana junction , Figure 2a shows that the strength of the current is reduced obviously with increasing , whereas the jump at and the period of the current remain unchanged regardless of the value of . The curve becomes a sinuous lineshape, which has also been found in previous works [38,39,40,42,43].
Figure 2.
Josephson current in (a) versus the phase difference between the left and right Majorana nanowires for different values of coupling strength between the QD and the middle Majorana nanowire. (b) Current carrying density of states (CCDOS) as a function of the electron energy for different . (c,d) are the eigenvalues for the cases of and , respectively. Other parameters are , , and .
Influences of the middle Majorana junction on the Josephson current can be understood by examining the CCDOS and the energy diagram. In the absence of the middle Majorana junction (), there are two peaks with opposite signs in the CCDOS (black solid line) for [46]. The negative peak is higher than the positive one, and then the current is negative. Note that here we only show the CCDOS in the negative energy regime that contribute to the Josephson current at zero temperature. There are also a pair of peaks in the CCDOS in the positive energy regime, which are not shown in the figure as they have no contribution to the current. With increasing , the peaks in the CCDOS are shifted toward deeper energy regimes with an obvious reduction in the height. The magnitude of the current then is suppressed accordingly.
Figure 2c,d shows the eigenvalue (ABSs) of the system Hamiltonian in Equation (4) for zero and finite , respectively. It is known that the Josephson current is contributed to from two parts [38,39,46,47], of which one is the continuous part arising from an electron whose energy is outside of the superconducting gap. The other part is the discrete one due to electrons tunneling through the ABSs formed within the superconducting gap. Usually, the contribution from the discrete part is larger than the continuous one and is related to the ABSs by [39,46,47]. For , there are two pairs of non-zero ABSs in Figure 2c. The states’s energy denoted by the black solid lines changes slowly with respect to the phase difference and then has a smaller contribution to the Josephson current. The slopes of the red dashed curves, however, are quite large, and the ABSs denoted by them have a larger contribution to the current. Moreover, at the point of , the black solid and red dashed curves have individual maximums and zero-energy crossing points; then, the Josephson current is zero. For , as shown in Figure 2d, the ABSs denoted by the red dashed lines depart from the zero point (Fermi level of the Majorana junctions). Meanwhile, it is shown that the ABSs changes even more slowly as compared to Figure 2c. Due to the above two reasons, the strength of the Josephson current is weakened as shown in Figure 2a.
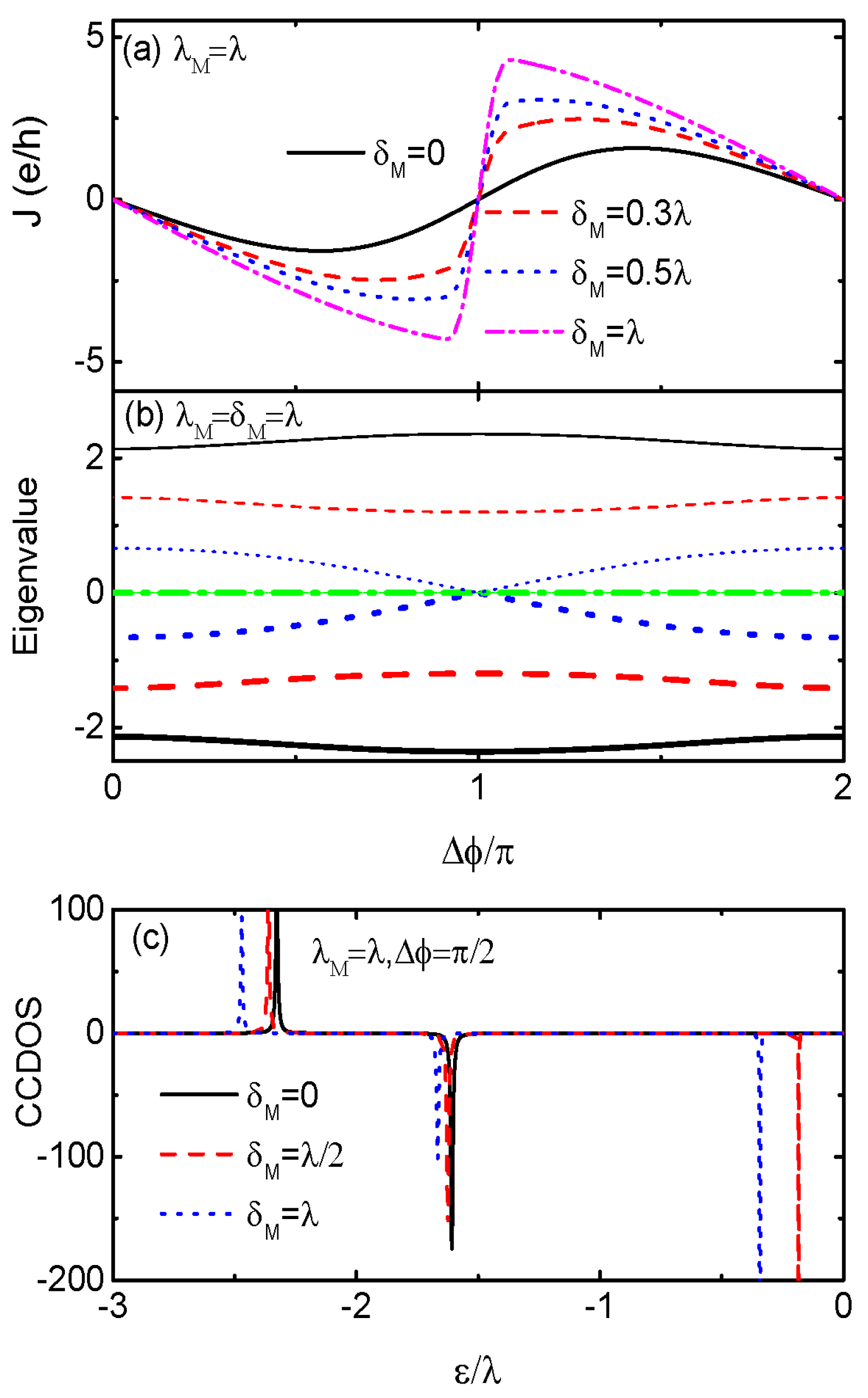
Next, we study the impacts of the inter-MBS hybridization within the middle Majorana junction on the Josephson current. The strength of arises from the overlap of the Majorana wavefunctions and depends the length of the nanowire [26,27,33,34], , where denotes the length of the nanowire and the superconducting coherence length. Here, we set , since they will suppress the Josephson current as described in Refs. [38,39]. Figure 3a indicates that the magnitude of the Josephson current is enhanced monotonously by increasing , while the jump at remains unchanged. We emphasize that the function of in the side-coupled Majorana junction is totally different from that of . A similar result was also found in a previous work [42]. The reason is that the overlap between the MBSs in the middle (side-coupled) junction induces new ABSs or, in other words, lifts the degeneracy of the ABSs [38]. This can be seen from the energy diagram and CCDOS. Figure 3b shows that another pair of non-zero ABSs (the blue dot lines) are induced by a finite , the slopes of which are quite large as compared to the states denoted by the black and red curves. This is confirmed by the CCDOS in Figure 3c, in which a new peak around the Fermi level emerges in the case of . When the electron energy moves away from the Fermi level, the peaks in the CCDOS are shifted to even deeper energy regimes with slightly reduced height, and the contributions to the current are weakened. This can also be confirmed by the slower change in the red dashed and black solid curves in Figure 3c varying as a function of the phase difference for finite .
Figure 3.
(a) Josephson current and (b) eigenvalue as functions of the phase difference for the indicated parameters. (c) CCDOS versus electron energy for different values of . Other parameters are as in Figure 2.
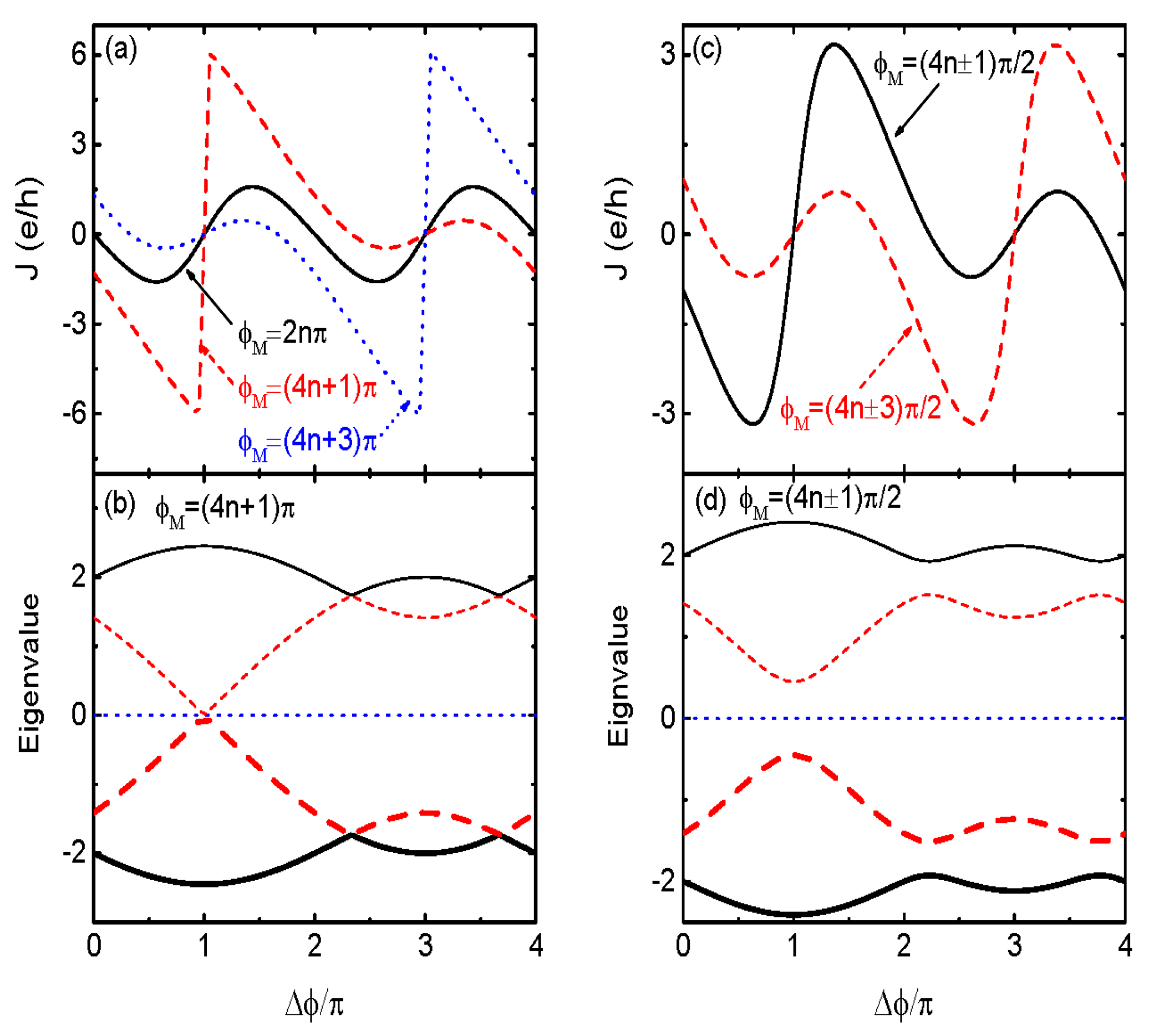
We studied, as shown in Figure 4, the influences of on the Josephson current under the condition when the QD is symmetrically coupled to the trijunction, i.e., . We find that the current’s period becomes in the presence of as shown in Figure 4a,c. The zero points of the current remain at , where regardless of the value of . The analytical expression of the current in the present symmetrical structure can be written as follows (zero dot level ):
in which is the self-energy induced by the MBSs, and is the denominator of the retarded Green’s function,
Figure 4.
Josephson current in (a,c) and the eigenvalue in (b,d) varying with respect to for chosen values of and a fixed . Other parameters are as in Figure 2.
Equation (10) indicates that the current in this Majorana trijunction can be divided into two parts, of which one is the usual Josephson current proportional to . The other part arises from the quantum interference effect in the presence of the middle junction and is proportional to . It determines the main characters of the current; for example, the current is a period function of both and . Figure 4b gives the energy diagram for , from which one can see that the ABSs reach maximums at , where the current changes sign. Figure 4d presents the energy diagram for and shows that the ABSs changes much more slowly than that in Figure 4b, and then the current is suppressed. We emphasize that by adjusting the phase factor of the middle Majorana junction, both the strength and the sign of the current can be tuned, which may be useful in designing Josephson-based instruments.
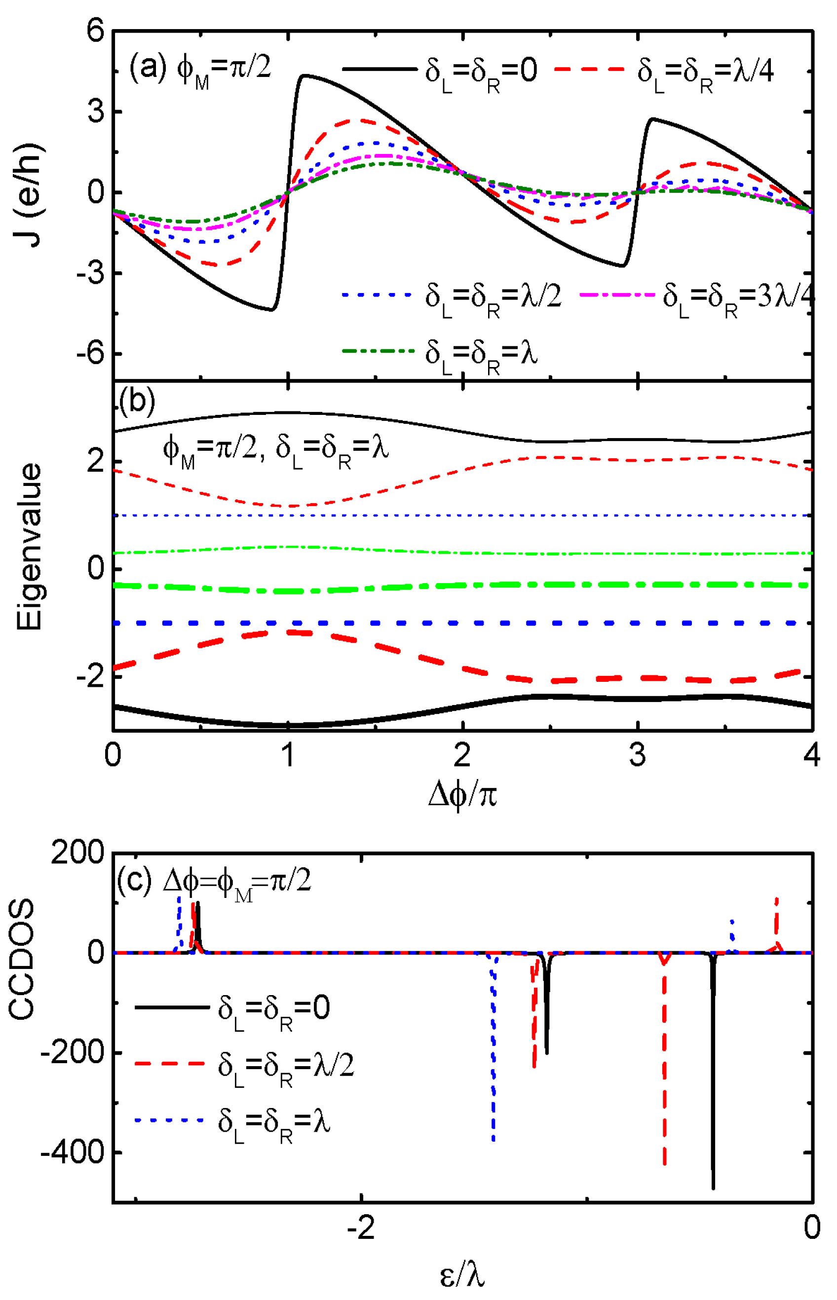
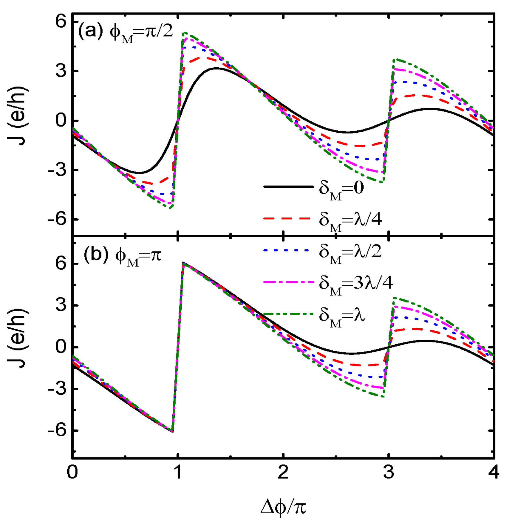
Figure 5 and Figure 6 show the impacts of the Majorana interactions in the nanowires on the Josephson current for a finite . Similar to the case in Figure 3, the direct overlap between the MBSs in the middle junction enhances the current’s amplitude as shown in Figure 5a,b. The abrupt change in the current at remains unchanged in the presence of . The enhancement of the current by depends on the value of both and . For in Figure 5a, the current is obviously enhanced in the whole regime except for several particular values. Whereas for as shown in Figure 5b, the Josephson current almost remains unchanged regardless of the value of in the regime of . As for , the behavior of the current is similar to that in Figure 5a. These results enrich the manipulation means of the Josephson current.
Figure 5.
Josephson current as a function of for in (a) and in (b) with different and fixed . Other parameters as as in Figure 2.
Figure 6.
Josephson current in (a) and eigenvalue in (b) varying with respect to for different values of . (c) CCDOS versus electron energy for different values of . Other parameters are as in Figure 2.
Figure 6a indicates that the current is significantly suppressed by Majorana interactions in the left/right nanowire, which act as the electrons’ source/drain. This result is in agreement with the previously published work because the overlap between the MBSs in the left and right Majorana nanowires destroy their zero-state [34]. As mentioned above, the MBS–MBS interaction in the middle junction plays a totally different role compared to those in the left and right junctions, since the states it induces carry the current in the same direction as the case of . Figure 6b shows that the degeneracy of the ABSs is totally broken in the presence of and , i.e., all four pairs of the ABSs depart from zero energy. The slopes of the ABSs are also changed as compared to Figure 3, which results in a reduction in the current. Figure 6c shows that the CCDOS has a triple-peak configuration in the presence of , which is different from that in Figure 3c. There are two higher negative peaks in the shallower energy regime and a lower positive one in the deeper energy regime for , resulting in a negative current. Turning on the MBS–MBS interaction in the left and right junctions (), a new positive peak emerges in the CCDOS as is shown by the dashed red and blue dotted curves in Figure 6c. They arise from the new non-zero state as denoted by the green dashed–dotted lines in Figure 6b. For , the two negative peaks in shallower energy regimes survive (the red dashed line), but one of them disappears and moves to a deeper energy regime for (red dotted line). The positive peak in the deep energy regime is less influenced by . Due to the behaviors of the energy diagram and the CCDOS, the current’s amplitude is reduced by the Majorana interaction in the left and right junctions.
4. Summary
In summary, we examined the properties of a Josephson current in a Majorana trijunction connected to a QD. It is found that the current flowing between the left and right junctions through the QD is sensitive to the presence of the additional third one, which acts as a current regulator. If the phase factor of the regulator junction is set to zero, the current’s amplitude is adjustable by changing the coupling between the regulator junction and the QD or the direct Majorana interaction in the third junction. Now, the period of the current with respect to the phase difference between the left and right junction remains . Interestingly, we find that the phase factor in the regulator junction will change the magnitude and sign, as well as the period of the Josephson current, which is quite different from the cases in the usual two-terminal Josephson junctions. We also find that the Majorana interaction in the regulator junction generally enhances the magnitude of the current, whereas it is suppressed by the overlap between the MBSs in two-terminal setups. We explain the numerical results by examining the energy diagram and the CCDOS of the system.
Author Contributions
Writing—original draft preparation, Y.G.; writing—review and editing, X.Z. All authors have read and agreed to the published version of the manuscript.
Funding
This research was funded by the Education Characteristic Innovation Project of the Department of Education in Guang-dong Province (No. 2021KTSCX183), the Engineering Technology Research Center of Colleges and Universities in Guang-dong Province (No. 2021GCZX005), the Innovation Team of Colleges and Universities in Guang-dong Province (No. 2021KCXTD040), the 13th Five-Year Plan of Education Scientific Research Project of the Department of Education in Guang-dong Province (No. 2019GXJK171), the Educational Quality Project of the Department of Education in Guang-dong Province (No. SJY201902), and the Key Scientific Research Project of the Department of Education in Guang-dong Province (No. 2021ZDZX1052).
Institutional Review Board Statement
Not applicable.
Informed Consent Statement
Not applicable.
Data Availability Statement
All data included in this study are available upon request by contact with the corresponding author.
Conflicts of Interest
The authors declare no conflict of interest.
References
- Josephson, B.D. Possible new effects in superconductive tunnelling. Phys. Lett. 1962, 1, 251. [Google Scholar] [CrossRef]
- Josephson, B.D. The discovery of tunnelling supercurrents. Rev. Mod. Phys. 1974, 46, 251. [Google Scholar] [CrossRef]
- Martinis, J.M.; Devoret, M.H.; Clarke, J. Quantum Josephson junction circuits and the dawn of artificial atoms. Nat. Phys. 2020, 16, 234. [Google Scholar] [CrossRef]
- Thimont, Y.; Xing, Y.T.; Bernstein, P.; Miryala, M.; Noudem, J. Joining Superconducting MgB Parts by Spark Plasma Sintering: A New Technique with High Potential for Manufacturing Future Superconducting Devices. Coatings 2022, 12, 1151. [Google Scholar] [CrossRef]
- Siddiqi, I. Engineering high-coherence superconducting qubits. Nat. Rev. Mater. 2021, 6, 875. [Google Scholar] [CrossRef]
- Friedrich, S. Superconducting Tunnel Junction Photon Detectors: Theory and Applications. J. Low. Temp. Phys. 2008, 151, 277. [Google Scholar] [CrossRef]
- Ando, F.; Miyasaka, Y.; Li, T.; Ishizuka, J.; Arakawa, T.; Shiota, Y.; Moriyama, T.; Yanase, Y.; Ono, T. Observation of superconducting diode effect. Nature 2020, 584, 373. [Google Scholar] [CrossRef]
- Strambini, E.; Spies, M.; Ligato, N.; Ilic, S.; Rouco, S.M.; Gonzalez-Orellana, C.; Ilyn, M.; Rogero, C.; Bergeret, F.S.; Moodera, J.S.; et al. Superconducting spintronic tunnel diode. Nat. Commun. 2022, 13, 2431. [Google Scholar] [CrossRef]
- Guttman, G.D.; Nathanson, B.; Ben-Jacob, E.; Bergman, D.J. Thermoelectric and thermophase effects in Josephson junctions. Phys. Rev. B 1997, 55, 12691. [Google Scholar] [CrossRef]
- Germanese, G.; Paolucci, F.; Marchegiani, G.; Braggio, A.; Giazotto, F. Bipolar thermoelectric Josephson engine. Nat. Nanotechnol. 2022, 17, 1084. [Google Scholar] [CrossRef]
- De Franceschi, S.; Kouwenhoven, L.; Schonenberger, C.; Wernsdorfer, W. Hybrid superconductor-quantum dot devices. Nat. Nanotechnol. 2010, 5, 703. [Google Scholar] [CrossRef]
- Kumar, B.; Verma, S.; Ajay. Phase and Thermal-Driven Transport across T-Shaped Double Quantum Dot Josephson Junction. J. Supercond. Nov. Magn. 2023, 36, 831. [Google Scholar] [CrossRef]
- Sun, Q.F.; Wang, J.; Lin, T.H. Photon-assisted Andreev tunneling through a mesoscopic hybrid system. Phys. Rev. B 1999, 59, 13126. [Google Scholar] [CrossRef]
- Sun, Q.F.; Wang, J.; Lin, T.H. Control of the supercurrent in a mesoscopic four-terminal Josephson junction. Phys. Rev. B 2000, 62, 648. [Google Scholar] [CrossRef]
- Rodero, A.M.; Yeyati, A.L. Josephson and Andreev transport through quantum dot. Adv. Phys. 2011, 60, 899. [Google Scholar] [CrossRef]
- Pala, M.G.; Governale, M.; Konig, J. Nonequilibrium Josephson and Andreev current through interacting quantum dots. New. J. Phys. 2007, 9, 278. [Google Scholar] [CrossRef]
- Debbarma, R.; Aspegren, M.; Bostrom, F.V.; Lehmann, S.; Dick, K.; Thelander, C. Josephson current via spin and orbital states of a tunable double quantum dot. Phys. Rev. B 2022, 106, L180507. [Google Scholar] [CrossRef]
- Ortega-Taberner, C.; Jauho, A.P.; Paaske, J. Anomalous Josephson current through a driven double quantum dot. Phys. Rev. B 2023, 107, 115165. [Google Scholar] [CrossRef]
- Rachel, S.; Mascot, E.; Cocklin, S.; Vojta, M.; Morr, D.K. Quantized charge transport in chiral Majorana edge modes. Phys. Rev. B 2017, 96, 205131. [Google Scholar] [CrossRef]
- Mascot, E.; Cocklin, S.; Rachel, S.; Morr, D.K. Dimensional tuning of Majorana fermions and real space counting of the Chern number. Phys. Rev. B 2019, 100, 184510. [Google Scholar] [CrossRef]
- Volpez, Y.; Loss, D.; Klinovaja, J. Rashba sandwiches with topological superconducting phases. Phys. Rev. B 2018, 97, 195421. [Google Scholar] [CrossRef]
- Hell, M.; Leijnse, M.; Flensberg, K. Two-Dimensional Platform for Networks of Majorana Bound States. Phys. Rev. Lett. 2017, 118, 107701. [Google Scholar] [CrossRef] [PubMed]
- Ren, H.; Pientka, F.; Hart, S.; Pierce, A.T.; Kosowsky, M.; Lunczer, L.; Schlereth, R.; Scharf, B.; Hankiewicz, E.M.; Molenkamp, L.W.; et al. Topological superconductivity in a phase-controlled Josephson junction. Nature 2019, 569, 93. [Google Scholar] [CrossRef] [PubMed]
- Glodzik, S.; Sedlmayr, N.; Domanski, T. How to measure the Majorana polarization of a topological planar Josephson junction. Phys. Rev. B 2020, 102, 085411. [Google Scholar] [CrossRef]
- Wu, B.H.; Hassan, S.A.; Xu, X.F.; Wang, C.R.; Gong, W.J.; Cao, J.C. Quantum transport of planar Josephson junctions with Majorana bound states. Phys. Rev. B 2020, 102, 085414. [Google Scholar] [CrossRef]
- Qi, X.L.; Zhang, S.C. Topological insulators and superconductors. Rev. Mod. Phys. 2011, 83, 1057. [Google Scholar] [CrossRef]
- Alicea, J.; Oreg, Y.; Refael, G. Non-abelian statistics and topological quantum information processing in 1d wire networks. Nat. Phys. 2011, 7, 412. [Google Scholar] [CrossRef]
- Liu, X.; Li, X.; Deng, D.L.; Liu, X.J.; Das, S.D. Majorana spintronics. Phys. Rev. B 2016, 94, 014511. [Google Scholar] [CrossRef]
- Lopez, R.; Lee, M.; Serra, L.; Lim, J. Thermoelectrical detection of majorana states. Phys. Rev. B 2014, 89, 205418. [Google Scholar] [CrossRef]
- Leijnse, M. Thermoelectric signatures of a Majorana bound state coupled to a quantum dot. New J. Phys. 2014, 16, 015029. [Google Scholar] [CrossRef]
- Hong, L.; Chi, F.; Fu, Z.G.; Hou, Y.F.; Wang, Z. Large enhancement of thermoelectric effect by majorana bound states coupled to a quantum dot. J. Appl. Phys. 2020, 127, 124302. [Google Scholar] [CrossRef]
- Chi, F.; Fu, Z.G.; Liu, J.; Li, K.; Wang, Z.; Zhang, P. Thermoelectric effect in a quantum dot side-coupled to Majorana bound states. Nanoscale Res. Lett. 2020, 15, 79. [Google Scholar] [CrossRef]
- Deng, M.T.; Vaitiekenas, S.; Prada, E.; San-Jose, P.; Nygard, J.; Krogstrup, P.; Aguado, R.; Marcus, C.M. Nonlocality of Majorana modes in hybrid nanowires. Phys. Rev. B 2018, 98, 085215. [Google Scholar] [CrossRef]
- Ricco, L.S.; de Souza, M.; Figueira, M.S. Spin-dependent zero-bias peak in a hybrid nanowire-quantum dot system: Distinguishing isolated majorana fermions from Andreev bound states. Phys. Rev. B 2019, 99, 155159. [Google Scholar] [CrossRef]
- Gorski, G.; Kucab, K. The Spin-Dependent Coupling in the Hybrid Quantum Dot-Majorana Wire System. Phys. Status Solidi B 2019, 256, 1800492. [Google Scholar] [CrossRef]
- Tsintzis, A.; Souto, R.S.; Leijnse, M. Creating and detecting poor man Majorana bound states in interacting quantum dots. Phys. Rev. B 2022, 106, L201404. [Google Scholar] [CrossRef]
- Ziesen, A.; Altland, A.; Egger, R.; Hassler, F. Statistical Majorana Bound State Spectroscopy. Phys. Rev. Lett. 2023, 130, 106001. [Google Scholar] [CrossRef]
- Xu, L.T.; Li, X.Q.; Sun, Q.F. Majorana dc Josephson current mediated by a quantum dot. J. Phys. Condens. Matter 2017, 29, 195301. [Google Scholar] [CrossRef]
- Stefanski, P. Properties of the Majorana-state tunneling Josephson junction mediated by an interacting quantum dot. J. Phys. Condens. Matter 2019, 31, 185301. [Google Scholar] [CrossRef]
- Chi, F.; Jia, Q.-S.; Liu, J.; Gao, Q.-G.; Yi, Z.-C.; Liu, L.-M. Enhancement of the Josephson Current in a Quantum Dot Connected to Majorana Nanowires. Nanomaterials 2023, 13, 1482. [Google Scholar] [CrossRef]
- Xie, H.Y.; Levchenko, A. Topological supercurrents interaction and fluctuations in multiterminal Josephson effect. Phys. Rev. B 2019, 99, 094519. [Google Scholar] [CrossRef]
- Chi, F.; Jia, Q.S.; Liu, J.; Gao, Q.G.; Yi, Z.C.; Liu, L.M. Electronic Tunnelling in Superconductor/Quantum-Dot Josephson Junction Side-Coupled to Majorana Nanowire. Coatings 2023, 13, 612. [Google Scholar] [CrossRef]
- Zhang, H.R.; Sun, L.L.; Liu, J. Josephson dc Current through T-Shaped Double-Quantum-Dots Hybridized to Majorana Nanowires. Coatings 2023, 13, 523. [Google Scholar] [CrossRef]
- Liu, D.E.; Baranger, H.U. Detecting a majorana-fermion zero mode using a quantum dot. Phys. Rev. B 2011, 84, 201308R. [Google Scholar] [CrossRef]
- Wang, S.X.; Li, Y.X.; Liu, J.J. Resonant Andreev reflection in a normal-metal/quantum-dot/superconductor system with coupled Majorana bound states. Chin. Phys. B 2016, 25, 037304. [Google Scholar] [CrossRef]
- Zhu, Y.; Sun, Q.F.; Lin, T.H. Andreev bound states and the π-junction transition in a superconductor/quantum-dot/superconductor system. J. Phys. Condens. Matter 2001, 13, 8783. [Google Scholar] [CrossRef]
- Cheng, S.G.; Sun, Q.F. Josephson current transport through T-shaped double quantum dots. J. Phys. Condens. Matter 2008, 20, 505202. [Google Scholar] [CrossRef]
Disclaimer/Publisher’s Note: The statements, opinions and data contained in all publications are solely those of the individual author(s) and contributor(s) and not of MDPI and/or the editor(s). MDPI and/or the editor(s) disclaim responsibility for any injury to people or property resulting from any ideas, methods, instructions or products referred to in the content. |
© 2023 by the authors. Licensee MDPI, Basel, Switzerland. This article is an open access article distributed under the terms and conditions of the Creative Commons Attribution (CC BY) license (https://creativecommons.org/licenses/by/4.0/).





