Development and Performance Evaluation of Stretchable Silver Pastes for Screen Printing on Thermoplastic Polyurethane Films
Abstract
:1. Introduction
2. Materials and Methods
2.1. Preparation of Silver Pastes
2.2. Characterization of the Printed Silver Paste
3. Results and Discussion
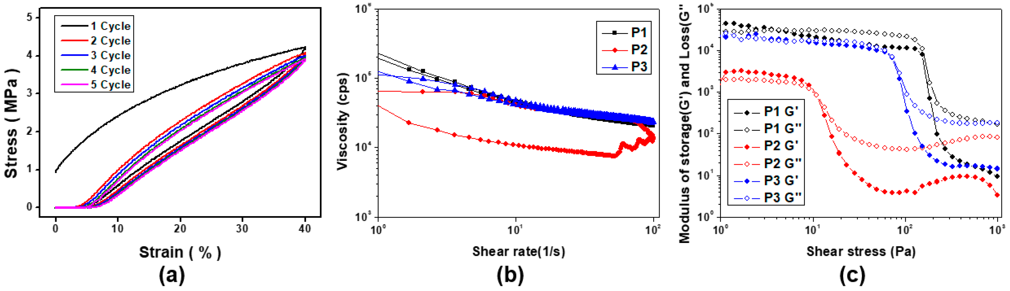
3.1. Hysteresis of TPU Films
3.2. Rheology Properties of Silver Pastes
3.3. TGA Results of Silver Pastes
3.4. Tensile Test Results of Silver Pastes
3.5. Optical Image of Silver Pastes with Mechanical Tests
3.6. TGA Results of Silver Pastes
4. Conclusions
Author Contributions
Funding
Institutional Review Board Statement
Informed Consent Statement
Data Availability Statement
Conflicts of Interest
References
- Nam, H.; Lim, J.; Lee, C.; Park, S. Development of epoxy based stretchable conductive adhesive. J. Microelectron. Packag. Soc. 2020, 27, 49–54. [Google Scholar]
- Kim, D.C.; Shim, H.J.; Lee, W.; Koo, J.H.; Kim, D.-H. Material-Based Approaches for the Fabrication of Stretchable Electronics. Adv. Mater. 2020, 32, e1902743. [Google Scholar] [CrossRef]
- Qi, D.; Zhang, K.; Tian, G.; Jiang, B.; Huang, Y. Stretchable Electronics Based on PDMS Substrates. Adv. Mater. 2020, 33, e2003155. [Google Scholar] [CrossRef]
- Zavanelli, N.; Yeo, W.-H. Advances in Screen Printing of Conductive Nanomaterials for Stretchable Electronics. ACS Omega 2021, 6, 9344–9351. [Google Scholar] [CrossRef]
- Lee, S.M.; Lim, J.E.; Kim, H.K. Technical trend of strechable electrodes. Vac. Mag. 2017, 6, 15–23. [Google Scholar]
- Kim, D.H.; Xiao, J.; Song, J.; Huang, Y.; Rogers, J.A. Stretchable, Curvilinear Electronics Based on Inorganic Materials. Adv. Mater. 2010, 22, 2108–2124. [Google Scholar] [CrossRef] [PubMed]
- Ko, E.-H.; Kim, H.-J.; Lee, S.-M.; Kim, T.-W.; Kim, H.-K. Stretchable Ag electrodes with mechanically tunable optical transmittance on wavy-patterned PDMS substrates. Sci. Rep. 2017, 7, 46739. [Google Scholar] [CrossRef]
- Nam, H.J.; Choa, S.-H.; Park, S.-H. Development and Characteristics of Multipurpose Transparent Polyurethane Film. J. Nanosci. Nanotechnol. 2021, 21, 5222–5228. [Google Scholar] [CrossRef]
- Rahmawan, Y.; Chen, C.-M.; Yang, S. Recent advances in wrinkle-based dry adhesion. Soft Matter 2014, 10, 5028–5039. [Google Scholar] [CrossRef]
- Jeong, G.S.; Baek, D.-H.; Jung, H.C.; Song, J.H.; Moon, J.H.; Hong, S.W.; Kim, I.Y.; Lee, S.-H. Solderable and electroplatable flexible electronic circuit on a porous stretchable elastomer. Nat. Commun. 2012, 3, 977. [Google Scholar] [CrossRef]
- Liu, W.-C.; Chung, C.-H.; Hong, J.-L. Highly Stretchable, Self-Healable Elastomers from Hydrogen-Bonded Interpolymer Complex (HIPC) and Their Use as Sensitive, Stable Electric Skin. ACS Omega 2018, 3, 11368–11382. [Google Scholar] [CrossRef] [PubMed]
- Li, M.; Li, H.; Zhong, W.; Zhao, Q.; Wang, D. Stretchable Conductive Polypyrrole/Polyurethane (PPy/PU) Strain Sensor with Netlike Microcracks for Human Breath Detection. ACS Appl. Mater. Interfaces 2014, 6, 1313–1319. [Google Scholar] [CrossRef] [PubMed]
- Jang, H.; Park, Y.J.; Chen, X.; Das, T.; Kim, M.-S.; Ahn, J.-H. Graphene-Based Flexible and Stretchable Electronics. Adv. Mater. 2016, 28, 4184–4202. [Google Scholar] [CrossRef] [PubMed]
- Wang, Y.; Zhu, C.; Pfattner, R.; Yan, H.; Jin, L.; Chen, S.; Molina-Lopez, F.; Lissel, F.; Liu, J.; Rabiah, N.I.; et al. A highly stretchable, transparent, and conductive polymer. Sci. Adv. 2017, 3, e1602076. [Google Scholar] [CrossRef]
- Cai, L.; Wang, C. Carbon Nanotube Flexible and Stretchable Electronics. Nanoscale Res. Lett. 2015, 10, 1013. [Google Scholar] [CrossRef]
- Nam, H.J.; Park, J.Y.; Vu, V.-P.; Choa, S.-H. Effects of Binder and Substrate Materials on the Performance and Reliability of Stretchable Nanocomposite Strain Sensors. J. Nanosci. Nanotechnol. 2021, 21, 2969–2979. [Google Scholar] [CrossRef]
- Hwangbo, Y.; Nam, H.J.; Choa, S.-H. Highly Stretchable Strain Sensor with a High and Broad Sensitivity Composed of Carbon Nanotube and Ecoflex Composite. Korean J. Met. Mater. 2023, 61, 500–508. [Google Scholar] [CrossRef]
- Liu, J.; Yi, Y.; Zhou, Y.; Cai, H. Highly Stretchable and Flexible Graphene/ITO Hybrid Transparent Electrode. Nanoscale Res. Lett. 2016, 11, 108. [Google Scholar] [CrossRef]
- Trung, T.Q.; Lee, N.-E. Recent Progress on Stretchable Electronic Devices with Intrinsically Stretchable Components. Adv. Mater. 2017, 29, 1603167. [Google Scholar] [CrossRef]
- Lei, T.; Pochorovski, I.; Bao, Z. Separation of Semiconducting Carbon Nanotubes for Flexible and Stretchable Electronics Using Polymer Removable Method. Acc. Chem. Res. 2017, 50, 1096–1104. [Google Scholar] [CrossRef]
- Kim, D.-H.; Rogers, J.A. Stretchable Electronics: Materials Strategies and Devices. Adv. Mater. 2008, 20, 4887–4892. [Google Scholar] [CrossRef]
- Nam, H.M.; Seo, D.M.; Yun, H.D.; Thangavel, G.; Park, L.S.; Nam, S.Y. Transparent Conducting Film Fabricated by Metal Mesh Method with Ag and Cu@Ag Mixture Nanoparticle Pastes. Metals 2017, 7, 176. [Google Scholar] [CrossRef]
- Sun, X.; Yang, X.; Zhang, J.; Shang, B.; Lyu, P.; Zhang, C.; Liu, X.; Xia, L. Fabrication of Silane-Grafted Cellulose Nanocrystals and Their Effects on the Structural, Thermal, Mechanical, and Hysteretic Behavior of Thermoplastic Polyurethane. Int. J. Mol. Sci. 2023, 24, 5036. [Google Scholar] [CrossRef]
- Xu, Y.-X.; Juang, J.-Y. Measurement of Nonlinear Poisson’s Ratio of Thermoplastic Polyurethanes under Cyclic Softening Using 2D Digital Image Correlation. Polymers 2021, 13, 1498. [Google Scholar] [CrossRef] [PubMed]
- He, Y.; Li, W.; Yang, G.; Liu, H.; Lu, J.; Zheng, T.; Li, X. A Novel Method for Fabricating Wearable, Piezoresistive, and Pressure Sensors Based on Modified-Graphite/Polyurethane Composite Films. Materials 2017, 10, 684. [Google Scholar] [CrossRef] [PubMed]
- Wang, Z.; Wang, D.; Zhang, C.; Chen, W.; Meng, Q.; Yuan, H.; Yang, S. A Fluorinated Polyimide Based Nano Silver Paste with High Thermal Resistance and Outstanding Thixotropic Performance. Polymers 2023, 15, 1150. [Google Scholar] [CrossRef]
- Yüce, C.; König, M.; Willenbacher, N. Rheology and Screen-Printing Performance of Model Silver Pastes for Metallization of Si-Solar Cells. Coatings 2018, 8, 406. [Google Scholar] [CrossRef]
- Qi, X.; Ha, H.; Hwang, B.; Lim, S. Printability of the Screen-Printed Strain Sensor with Carbon Black/Silver Paste for Sensitive Wearable Electronics. Appl. Sci. 2020, 10, 6983. [Google Scholar] [CrossRef]







| Paste | Fillers | Binders | Dispersants | Curing Agent | Solvents |
|---|---|---|---|---|---|
| Paste 1 | 72 | 13 | 1 | 1 | 13 |
| Paste 2 | 72 | 13 | 1 | 1 | 13 |
| Paste 3 | 72 | 13 | 1 | 1 | 13 |
| Shear Rate (1/s) | Paste 1 | Paste 2 | Paste 3 |
|---|---|---|---|
| 1 | 488,900 ± 20 | 88,780 ± 20 | 145,700 ± 10 |
| 5 | 70,250 ± 20 | 58,050 ± 10 | 68,780 ± 30 |
| 10 | 46,470 ± 10 | 40,940 ± 30 | 47,330 ± 20 |
| 50 | 24,880 ± 30 | 27,720 ± 20 | 28,880 ± 20 |
| 99.7 | 20,940 ± 20 | 14,390 ± 10 | 23,550 ± 10 |
| TI 5/50 | 2.82 | 2.09 | 2.38 |
| 0% | 20% | 40% | 60% | 80% | 100% | |
|---|---|---|---|---|---|---|
| P1 | ![]() | ![]() | ![]() | ![]() | ![]() | ![]() |
| P2 | ![]() | ![]() | ![]() | ![]() | ![]() | ![]() |
| P3 | ![]() | ![]() | ![]() | ![]() | ![]() | ![]() |
Disclaimer/Publisher’s Note: The statements, opinions and data contained in all publications are solely those of the individual author(s) and contributor(s) and not of MDPI and/or the editor(s). MDPI and/or the editor(s) disclaim responsibility for any injury to people or property resulting from any ideas, methods, instructions or products referred to in the content. |
© 2023 by the authors. Licensee MDPI, Basel, Switzerland. This article is an open access article distributed under the terms and conditions of the Creative Commons Attribution (CC BY) license (https://creativecommons.org/licenses/by/4.0/).
Share and Cite
Nam, H.J.; Hwangbo, Y.H.; Nam, S.Y.; Nam, H.M. Development and Performance Evaluation of Stretchable Silver Pastes for Screen Printing on Thermoplastic Polyurethane Films. Coatings 2023, 13, 1499. https://doi.org/10.3390/coatings13091499
Nam HJ, Hwangbo YH, Nam SY, Nam HM. Development and Performance Evaluation of Stretchable Silver Pastes for Screen Printing on Thermoplastic Polyurethane Films. Coatings. 2023; 13(9):1499. https://doi.org/10.3390/coatings13091499
Chicago/Turabian StyleNam, Hyun J., Yu H. Hwangbo, Su Y. Nam, and Hyun M. Nam. 2023. "Development and Performance Evaluation of Stretchable Silver Pastes for Screen Printing on Thermoplastic Polyurethane Films" Coatings 13, no. 9: 1499. https://doi.org/10.3390/coatings13091499
APA StyleNam, H. J., Hwangbo, Y. H., Nam, S. Y., & Nam, H. M. (2023). Development and Performance Evaluation of Stretchable Silver Pastes for Screen Printing on Thermoplastic Polyurethane Films. Coatings, 13(9), 1499. https://doi.org/10.3390/coatings13091499


















