Improving the Technical Characteristics of Untreated and Heat-Treated Ayous Wood against Accelerating Ageing by Testing Two Application Modalities of an Innovative Polyurethane Coating for Outdoor Uses
Abstract
1. Introduction
2. Materials and Methods
2.1. Sample Preparation and Coating Application
2.2. Coating Characterisation via Fourier Transform Infrared Spectroscopy (FTIR)
2.3. Colour Measurements
2.4. Contact Angle Measurements
2.5. Roughness
2.6. Micro-Hardness Test
2.7. Wearing Test
3. Results and Discussion
3.1. FTIR Spectrum of the Coating Product
3.2. Colour Data
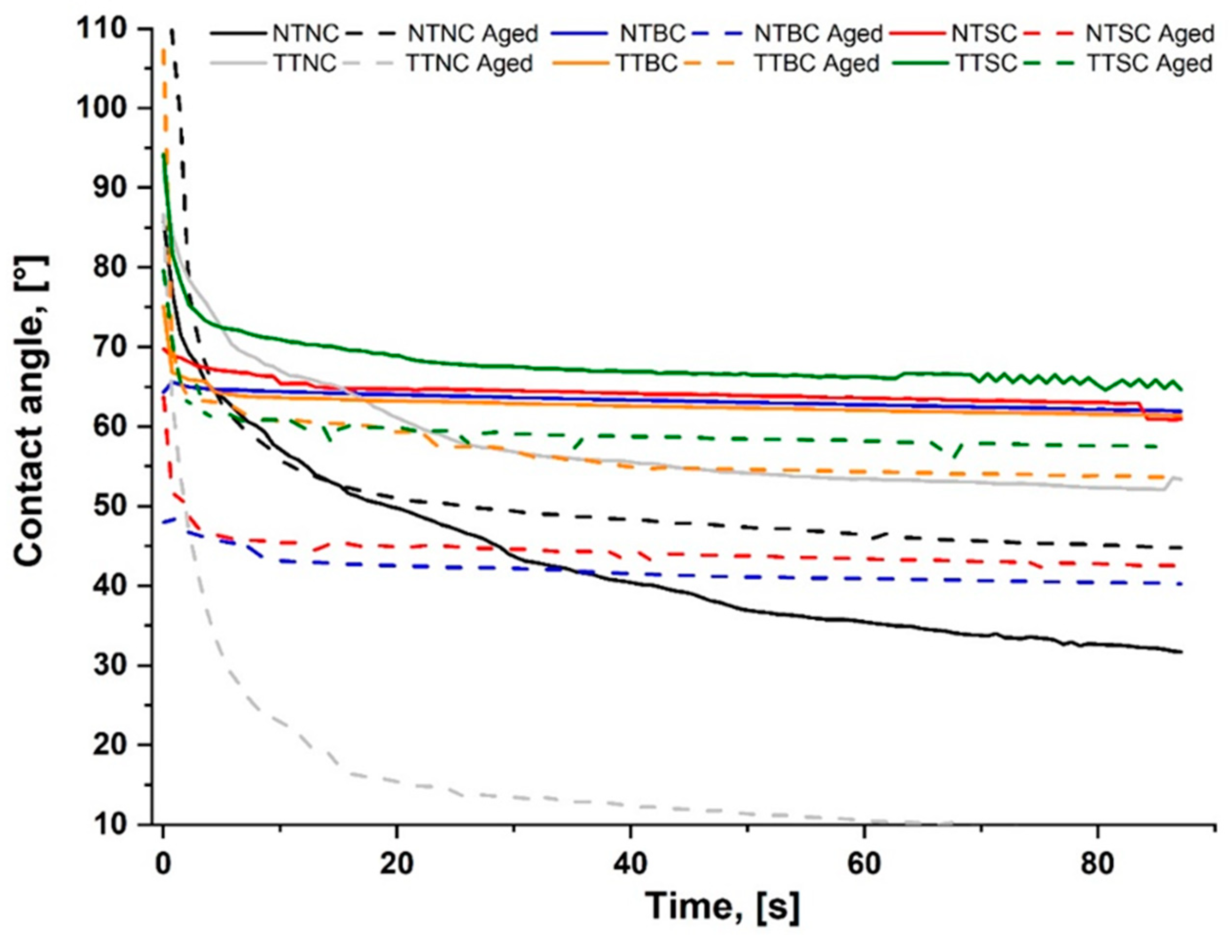
3.3. Contact Angle Data
3.4. Roughness Data
3.5. Micro-Hardness Data
3.6. Wearing Test Data
4. Conclusions
Author Contributions
Funding
Institutional Review Board Statement
Informed Consent Statement
Data Availability Statement
Acknowledgments
Conflicts of Interest
References
- Bonifazi, G.; Calienno, L.; Capobianco, G.; Lo Monaco, A.; Pelosi, C.; Picchio, R.; Serranti, S. A new approach for the modelling of chestnut wood photo-degradation monitored by different spectroscopic techniques. Environ. Sci. Pollut. Res. 2017, 24, 13874–13884. [Google Scholar] [CrossRef] [PubMed]
- Pandey, K.K. Study of the effect of photo-irradiation on the surface chemistry of wood. Polym. Degrad. Stab. 2005, 90, 9–20. [Google Scholar] [CrossRef]
- Blanchet, P.; Pepin, S. Trends in Chemical Wood Surface Improvements and Modifications: A Review of the Last Five Years. Coatings 2021, 11, 1514. [Google Scholar] [CrossRef]
- Oberhofnerová, E.; Šimůnková, K.; Dvořák, O.; Štěrbová, I.; Hiziroglu, S.; Šedivka, P.; Pánek, M. Comparison of Exterior Coatings Applied to Oak Wood as a Function of Natural and Artificial Weathering Exposure. Coatings 2019, 9, 864. [Google Scholar] [CrossRef]
- Jones, D.; Sandberg, D.; Goli, G.; Todaro, L. Wood Modification in Europe: A State-of-the-Art about Processes, Products and Applications; Content CC BY-SA 4.0 International, Metadata CC0 1.0 Universal; Firenze University Press: Firenze, Italy, 2019. [Google Scholar]
- Cao, S.; Cheng, S.; Cai, J. Research Progress and Prospects of Wood High-temperature Heat Treatment Technology. BioResources 2022, 17, 3702–3717. [Google Scholar] [CrossRef]
- Cirule, D.; Sansonetti, E.; Andersone, I.; Kuka, E.; Andersons, B. Enhancing Thermally Modified Wood Stability against Discoloration. Coatings 2021, 11, 81. [Google Scholar] [CrossRef]
- Varga, D.; Tolvaj, L.; Molnar, Z.; Pasztory, Z. Leaching effect of water on photodegraded hardwood species monitored by IR spectroscopy. Wood Sci. Technol. 2020, 54, 1407–1421. [Google Scholar] [CrossRef]
- Bahrami, A.; Hornborg, A.; Persson, S.; Norén, J.; Asplin, B.B. Evaluation of Untreated and Surface-Treated Wooden Facades of Buildings in Sweden. Coatings 2023, 13, 746. [Google Scholar] [CrossRef]
- Evans, P.D.; Haase, J.G.; Seman, A.S.B.M.; Kiguchi, M. The search for durable exterior clear coatings for wood. Coatings 2015, 5, 830–864. [Google Scholar] [CrossRef]
- Vidholdová, Z.; Slabejová, G.; Šmidriaková, M. Quality of Oil- and Wax-Based Surface Finishes on Thermally Modified Oak Wood. Coatings 2021, 11, 143. [Google Scholar] [CrossRef]
- Palla, F.; Louppe, D. Obeché. Forafri, Libreville, Gabon & Cirad-Forȇt; CIRAD: Montpellier, France, 2002; Volume 3, pp. 1–6. [Google Scholar]
- Hall, J.B.; Bada, S.O. The Distribution and Ecology of Obeche (Triplochiton scleroxylon). J. Ecol. 1979, 67, 543–564. [Google Scholar] [CrossRef]
- ITTO (International Tropical Timber Organization). Status of Tropical Forest Management 2005; ITTO Technical Series 24; International Tropical Timber Organization: Yokohama, Japan, 2006; 302p. [Google Scholar]
- Gennari, E.; Picchio, R.; Lo Monaco, A. Ayous wood: Main uses and selected physical and mechanical properties of an increasingly interesting material originating from Cameroon. Drewno 2022, 65, 209. [Google Scholar]
- Brischke, C.; Meyer, L.; Alfredsen, G.; Humar, M.; Francis, L.; Flate, P.-O.; Larsson-Brelid, P. Natural Durability of Timber Exposed Above Ground—A Survey. Drv. Ind. 2013, 64, 113–129. [Google Scholar] [CrossRef]
- Humar, M.; Kržišnik, D.; Lesar, B.; Brischke, C. The performance of wood decking after five years of exposure: Verification of the combined effect of wetting ability and durability. Forests 2019, 10, 903. [Google Scholar] [CrossRef]
- Gennari, E.; Picchio, R.; Tocci, D.; Lo Monaco, A. Modifications of Physical and Mechanical Characteristics Induced by Heat Treatment: Case Study on Ayous Wood (Triplochiton sleroxylon K. Schum). Environ. Sci. Proc. 2021, 3, 27. [Google Scholar]
- Hill, C.A.S. Wood Modification: Chemical, Thermal and Other Processes; John Wiley and Sons: Hoboken, NJ, USA, 2006. [Google Scholar]
- Esteves, B.M.; Pereira, H.M. Wood modification by heat treatment: A review. BioResources 2009, 4, 370–404. [Google Scholar] [CrossRef]
- Candelier, K.; Thevenon, M.-F.; Petrissans, A.; Dumarcay, S.; Gerardin, P.; Petrissans, M. Control of wood thermal treatment and its effects on decay resistance: A review. Ann. For. Sci. 2016, 73, 571–583. [Google Scholar] [CrossRef]
- Enjily, V.; Jones, D. The potential for modified materials in the panel products industry. In Proceedings of the Wood Resources and Panel Properties Conference, Valencia, Spain, 12–14 June 2006. COST Action E44/E49. [Google Scholar]
- Korkut, S.; Kocaefe, D. Effect of heat treatment on wood properties, Düzce University. J. For. 2009, 5, 11–34. [Google Scholar]
- Ayadi, N.; Lejeune, F.; Charrier, F.; Charrier, B.; Merlin, A. Color stability of heat-treated wood during artificial weathering. Holz Roh Werkst. 2003, 61, 221–226. [Google Scholar] [CrossRef]
- Lo Monaco, A.; Pelosi, C.; Agresti, G.; Picchio, R.; Rubino, G. Influence of thermal treatment on selected properties of chestnut wood and full range of its visual features. Drewno 2020, 23, 5–24. [Google Scholar]
- Gennari, E.; Picchio, R.; Lo Monaco, A. Industrial Heat Treatment of Wood: Study of Induced Effects on Ayous Wood (Triplochiton scleroxylon K. Schum). Forests 2021, 12, 730. [Google Scholar] [CrossRef]
- Pelosi, C.; Agresti, G.; Lanteri, L.; Picchio, R.; Gennari, E.; Lo Monaco, A. Artificial Weathering Effect on Surface of Heat-Treated Wood of Ayous (Triplochiton scleroxylon K. Shum). Environ. Sci. Proc. 2021, 3, 15. [Google Scholar]
- Das, A.; Mahanwar, P. A brief discussion on advances in polyurethane applications. Adv. Ind. Eng. Polym. Res. 2020, 3, 93–101. [Google Scholar] [CrossRef]
- Nikolic, M.; Lawther, J.M.; Sanadi, A.R. Use of nanofillers in wood coatings: A scientific review. J. Coat. Technol. Res. 2015, 12, 445–461. [Google Scholar] [CrossRef]
- Scrinzi, E.; Rossi, S.; Deflorian, F.; Zanella, C. Evaluation of aesthetic durability of waterborne polyurethane coatings applied on wood for interior applications. Prog. Org. Coat. 2011, 72, 81–87. [Google Scholar] [CrossRef]
- Akindoyo, J.O.; Beg, M.D.H.; Ghazali, S.; Islam, M.R.; Jeyaratnama, N.; Yuvarajc, A.R. Polyurethane types, synthesis and applications—A review. RSC Adv. 2016, 6, 114453. [Google Scholar] [CrossRef]
- Somarathna, H.M.C.C.; Raman, S.N.; Mohotti, D.; Mutalib, A.A.; Badri, K.H. The use of polyurethane for structural and infrastructural engineering applications: A state-of-the-art review. Constr. Build. Mater. 2018, 190, 995–1014. [Google Scholar] [CrossRef]
- Delpech, M.C.; Miranda, G.S. Waterborne polyurethanes: Influence of chain extender in ftir spectra profiles. Cent. Eur. J. Eng. 2012, 2, 231–238. [Google Scholar] [CrossRef]
- Defeyt, C.; Langenbacher, J.; Rivenc, R. Polyurethane coatings used in twentieth century outdoor painted sculptures. Part I: Comparative study of various systems by means of ATR-FTIR spectroscopy. Herit. Sci. 2017, 5, 11. [Google Scholar] [CrossRef]
- Mishra, A.K.; Chattopadhyay, D.K.; Sreedhar, B.; Raju, K.V.S.N. FT-IR and XPS studies of polyurethane-urea-imide coatings. Prog. Org. Coat. 2006, 55, 231–243. [Google Scholar] [CrossRef]
- Ludwick, A.; Aglan, H.; Abdalla, M.O.; Calhoun, M. Degradation behavior of an ultraviolet and hygrothermally aged polyurethane elastomer: Fourier transform infrared and differential scanning calorimetry studies. J. Appl. Polym. Sci. 2008, 110, 712–718. [Google Scholar] [CrossRef]
- Bhargava, S.; Kubota, M.; Lewis, R.D.; Advani, S.G.; Prasad, A.K.; Deitzel, J.M. Ultraviolet, water, and thermal aging studies of a waterborne polyurethane elastomer-based high reflectivity coating. Prog. Org. Coat. 2015, 79, 75–82. [Google Scholar] [CrossRef]
- Davis, K.; Leavengood, S.; Morrell, J.J. Effects of Climate on Exterior Wood Coating Performance: A Comparison of Three Industrial Coatings in a Warm-Summer Mediterranean and a Semi-Arid Climate in Oregon, USA. Coatings 2022, 12, 85. [Google Scholar] [CrossRef]
- Davis, K.; Leavengood, S.; Morrell, J. Performance of exterior wood coatings in temperate climates. Coatings 2021, 11, 325. [Google Scholar] [CrossRef]
- Papp, E.A.; Csiba, C. Contact angle as function of surface roughness of different wood species. Surf. Interfaces 2017, 8, 54–59. [Google Scholar] [CrossRef]
- Benkreif, R.; Brahmia, F.Z.; Csiha, C. Influence of moisture content on the contact angle and surface tension measured on birch wood surfaces. Eur. J. Wood Prod. 2021, 79, 907–913. [Google Scholar] [CrossRef]
- Pétrissans, M.; Gérardin, P.; El bakali, I.; Serraj, M. Wettability of Heat-Treated Wood. Holzforschung 2003, 57, 301–307. [Google Scholar] [CrossRef]
- Herrera, R.; Krystofiak, T.; Labidi, J.; Llano-Ponte, R. Characterization of thermally modified wood at different industrial conditions. Drewno 2010, 59, 197. [Google Scholar]
- Altgen, D.; Altgen, M.; Kyyrö, S.; Rautkari, L.; Mai, C. Time-dependent wettability changes on plasma-treated surfaces of unmodified and thermally modified European beech wood. Eur. J. Wood Prod. 2020, 78, 417–420. [Google Scholar] [CrossRef]
- de Oliveira Lopes, J.; Aparecida Garcia, R.; do Nascimento, A.M. Wettability of the surface of heat-treated juvenile teak wood assessed by drop shape analyzer. Maderas. Cienc. Tecnol. 2018, 20, 249–256. [Google Scholar]
- Huang, X.; Kocaefe, D.; Kocaefe, Y.; Boluk, Y.; Pichette, A. Changes in Wettability of Heat-Treated Wood due to Artificial Weathering. Wood Sci. Technol. 2012, 46, 1215–1237. [Google Scholar] [CrossRef]
- Kúdela, J.; Strbová, M.; Jas, F. Influence of accelerated ageing on morphology and wetting of wood surface treated with a modified water-based coating system. Acta Fac. Xylologiae Zvolen Publica Slovaca 2017, 59, 27–39. [Google Scholar]
- Nguyen, T.; Johns, W.E. The effects of aging and extraction on the surface free energy of Douglas-Fir and Redwood. Wood Sci. Technol. 1979, 13, 29–40. [Google Scholar] [CrossRef]
- Gardner, D.J.; Generalla, N.C.; Gunnells, D.W.; Wolcott, M.C. Dynamic wetting of wood. Langmuir 1991, 7, 2498–2502. [Google Scholar] [CrossRef]
- Liu, F.P.; Gardner, J.D.; Wolcott, M.P. A model for the description of polymer surface dynamic behaviour. Contact angle vs. polymers surface properties. Langmuir 1995, 11, 2674–2681. [Google Scholar] [CrossRef]
- Nussbaum, R.M. Natural surface inactivation of Scots pine and Norway spruce evaluated by contact angle measurements. Holz Roh Werkst. 1999, 57, 419–424. [Google Scholar] [CrossRef]
- Gindl, M.; Reiterer, A.; Sinn, G.; Stanzl-Tschegg, S.E. Effects of surface ageing on wettability, surface chemistry, and adhesion of wood. Holz Roh Werkst. 2004, 62, 273–280. [Google Scholar] [CrossRef]
- Hanifah, N.P.; Martha, R.; Rahayu, I.S.; Darmawan, W.; George, B.; Gérardin, P. Surface characterization and paint bonding quality on chemically and thermally modified short rotation teak wood. Int. Wood Prod. J. 2023, 14, 13–20. [Google Scholar] [CrossRef]
- Herrera, R.; Sandak, J.; Robles, E.; Krystofiak, T.; Labidi, J. Weathering resistance of thermally modified wood finished with coatings of diverse formulations. Prog. Org. Coat. 2018, 119, 145–154. [Google Scholar] [CrossRef]
- Tomak, E.D.; Ustaomer, D.; Ermeydan, M.A.; Yildiz, S. An investigation of surface properties of thermally modified wood during natural weathering for 48 months. Measurement 2018, 127, 187–197. [Google Scholar] [CrossRef]
- Keržič, E.; Lesar, B.; Humar, M. Influence of weathering on surface roughness of thermally modified wood. BioResources 2021, 16, 4675–4692. [Google Scholar] [CrossRef]
- Godinho, D.; Araújo, S.d.O.; Quilhó, T.; Diamantino, T.; Gominho, J. Thermally Modified Wood Exposed to Different Weathering Conditions: A Review. Forests 2021, 12, 1400. [Google Scholar] [CrossRef]
- Mitani, A.; Ntalos, G.; Koutsianitis, D.; Ninikas, K. Aging effect of some varnish coated wood species on color difference and surface roughness. Proligno 2019, 15, 173–178. [Google Scholar]
- Nzokou, P.; Kamdem, D.P.; Temiz, A. Effect of accelerated weathering on discoloration and roughness of finished ash wood surfaces in comparison with red oak and hard maple. Prog. Org. Coat. 2011, 71, 350–354. [Google Scholar] [CrossRef]
- Tolvaj, L.; Molnar, Z.; Magoss, E. Measurement of photodegradation-caused roughness of wood using a new optical method. J. Photoch. Photobio. B 2014, 134, 23–26. [Google Scholar] [CrossRef]
- Mohebby, B.; Saei, A.M. Effects of geographical directions and climatological parameters on natural weathering of fir wood. Constr. Build. Mater. 2015, 94, 684–690. [Google Scholar] [CrossRef]
- Oberhofnerová, E.; Pánek, M.; García-Cimarras, A. The effect of natural weathering on untreated wood surface. Maderas-Cienc. Technol. 2017, 19, 173–184. [Google Scholar] [CrossRef]
- Williams, R.S.; Knaebe, M.T.; Feist, W.C. Erosion rates of wood during natural weathering. Part II. Earlywood and latewood erosion rates. Wood Fiber Sci. 2001, 33, 43–49. [Google Scholar]
- Nejad, M.; Shafaghi, R.; Ali, H.; Cooper, P. Coating performance on oil-heat treated wood for flooring. BioResources 2013, 8, 1881–1892. [Google Scholar] [CrossRef]
- Capobianco, G.; Calienno, L.; Pelosi, C.; Scacchi, M.; Bonifazi, G.; Agresti, G.; Picchio, R.; Santamaria, U.; Serranti, S.; Lo Monaco, A. Protective behaviour monitoring on wood photo-degradation by spectroscopic techniques coupled with chemometrics. Spectroch. Acta A 2017, 172, 34–42. [Google Scholar] [CrossRef]








| Characteristics of the Coating | Description |
|---|---|
| Macroscopic appearance of the coating film | Transparent and brilliant |
| Dry residue | 37 ± 1% |
| Specific weight | 0.940 ± 0.03 kg/dm3 |
| Binder | Aliphatic polyisocyanate |
| Application modality | Applied via spraying, brushing or rollering. It is a ready-to-use product, |
| Drying | Dust out: 4–5 h; dry to thew touch: 12 h; complete drying: 7 days. |
| Storage duration | Six months in its original sealed package. Store in a cool and dry place at a temperature between +5 °C and +25 °C. |
Disclaimer/Publisher’s Note: The statements, opinions and data contained in all publications are solely those of the individual author(s) and contributor(s) and not of MDPI and/or the editor(s). MDPI and/or the editor(s) disclaim responsibility for any injury to people or property resulting from any ideas, methods, instructions or products referred to in the content. |
© 2023 by the authors. Licensee MDPI, Basel, Switzerland. This article is an open access article distributed under the terms and conditions of the Creative Commons Attribution (CC BY) license (https://creativecommons.org/licenses/by/4.0/).
Share and Cite
Rubino, G.; Lo Monaco, A.; Lanteri, L.; Pelosi, C. Improving the Technical Characteristics of Untreated and Heat-Treated Ayous Wood against Accelerating Ageing by Testing Two Application Modalities of an Innovative Polyurethane Coating for Outdoor Uses. Coatings 2023, 13, 1312. https://doi.org/10.3390/coatings13081312
Rubino G, Lo Monaco A, Lanteri L, Pelosi C. Improving the Technical Characteristics of Untreated and Heat-Treated Ayous Wood against Accelerating Ageing by Testing Two Application Modalities of an Innovative Polyurethane Coating for Outdoor Uses. Coatings. 2023; 13(8):1312. https://doi.org/10.3390/coatings13081312
Chicago/Turabian StyleRubino, Gianluca, Angela Lo Monaco, Luca Lanteri, and Claudia Pelosi. 2023. "Improving the Technical Characteristics of Untreated and Heat-Treated Ayous Wood against Accelerating Ageing by Testing Two Application Modalities of an Innovative Polyurethane Coating for Outdoor Uses" Coatings 13, no. 8: 1312. https://doi.org/10.3390/coatings13081312
APA StyleRubino, G., Lo Monaco, A., Lanteri, L., & Pelosi, C. (2023). Improving the Technical Characteristics of Untreated and Heat-Treated Ayous Wood against Accelerating Ageing by Testing Two Application Modalities of an Innovative Polyurethane Coating for Outdoor Uses. Coatings, 13(8), 1312. https://doi.org/10.3390/coatings13081312

