Numerical Investigation on the Effect of Electrical Parameters on the Discharge Characteristics of NS-SDBD
Abstract
1. Introduction
2. Numerical modeling
2.1. Plasma Fluid Model
2.2. Boundary Conditions
2.3. Simulation Setup
3. Results and Discussion
3.1. Analysis of Discharge Characteristics
3.1.1. Analysis of Voltage–Current (V-A) Characteristics
3.1.2. Analysis of the Evolution of Discharge Particles
3.1.3. Analysis of Spectrum Characteristics
3.2. Influence of Electrical Parameters on Discharge Characteristics
3.2.1. Effect of Voltage Amplitude on Discharge Characteristics
3.2.2. Effect of Pulse Width on Discharge Characteristics
3.2.3. Effect of Rise Time on Discharge Characteristics
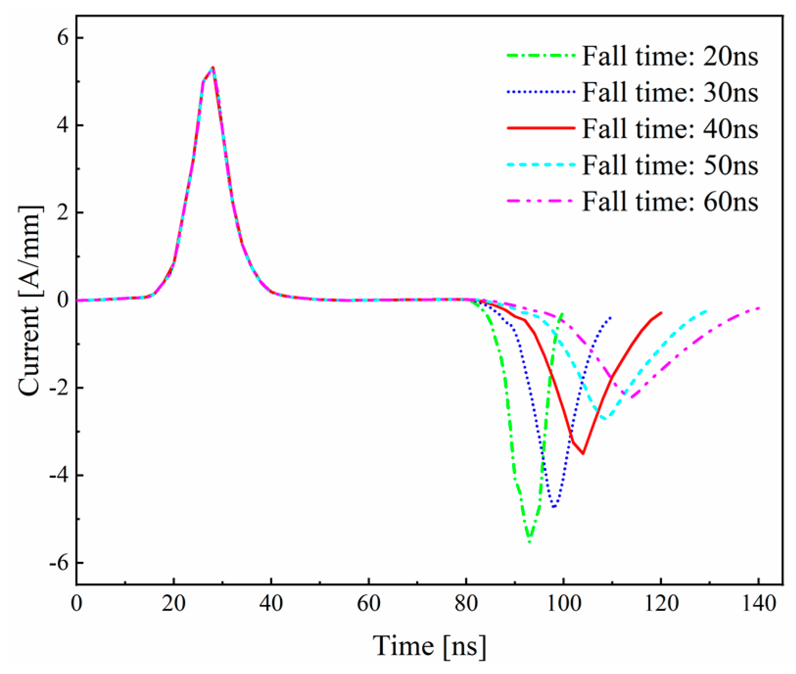
3.2.4. Effect of Fall Time on Discharge Characteristics
3.3. Discussion
- The voltage amplitude has a significant impact on the discharge behavior. Higher voltage amplitudes result in a higher discharge current and electron density. Higher voltage amplitudes generate stronger electric field intensities, facilitating ionization and excitation processes, thereby increasing energy transfer efficiency.
- The pulse width affects the characteristics of the second discharge. A longer pulse width increases the current and electron density of the second discharge, but it has almost no effect on the first discharge. A longer pulse width provides more time for electrons to acquire energy, thereby enhancing the excitation and ionization processes.
- The rise time has an impact on the first discharge but has a smaller effect on the second discharge. A longer rise time leads to a decrease in the peak current and electron density of the first discharge, as well as a delay in the discharge initiation. The results of total power deposition indicate that a longer rise time reduces the energy conversion efficiency of the first discharge but increases the peak value of total power deposition for the second discharge.
- The fall time has an impact on the second discharge but does not affect the discharge characteristics during the voltage-rise process. A longer fall time increases the chance of electron collisions with gas molecules, leading to an increase in electron energy loss. As a result, the peak current and electron density of the second discharge decrease, and the wave form becomes smoother.
4. Conclusions
Author Contributions
Funding
Institutional Review Board Statement
Informed Consent Statement
Data Availability Statement
Conflicts of Interest
References
- Mishra, H.; Bolouki, N.; Hsieh, S.T.; Li, C.; Wu, W.; Hsieh, J.-H. Application of Spectroscopic Analysis for Plasma Polymerization Deposition onto the Inner Surfaces of Silicone Tubes. Coatings 2022, 12, 865. [Google Scholar] [CrossRef]
- Guo, M.; Cui, Y.; Wang, C.; Jiao, J.; Bi, X.; Tao, C. Characterization and Control of Residual Stress in Plasma-Sprayed Silicon Coatings on SiC/SiC Composites. Coatings 2023, 13, 674. [Google Scholar] [CrossRef]
- Sanito, R.C.; You, S.-J.; Wang, Y.-F. Application of plasma technology for treating e-waste: A review. J. Environ. Manag. 2021, 288, 112380. [Google Scholar] [CrossRef] [PubMed]
- Elaissi, S.; Charrada, K. Simulation of Cold Atmospheric Plasma Generated by Floating-Electrode Dielectric Barrier Pulsed Discharge Used for the Cancer Cell Necrosis. Coatings 2021, 11, 1405. [Google Scholar] [CrossRef]
- Zhu, Y.; Wu, Y.; Wei, B.; Xu, H.; Liang, H.; Jia, M.; Song, H.; Li, Y. Nanosecond-pulsed dielectric barrier discharge-based plasma-assisted anti-icing: Modeling and mechanism analysis. J. Phys. D Appl. Phys. 2020, 53, 145205. [Google Scholar] [CrossRef]
- Zhang, X.; Li, H.; Choi, K.S.; Song, L. Coherent structures induced by dielectric barrier discharge plasma actuator. Mod. Phys. Lett. B 2017, 31, 1850038. [Google Scholar] [CrossRef]
- Zhang, C.; Han, L.; Qiu, J.; Shao, T.; Luo, Z.-; Wang, L. A pulsed generator for synchronous discharges of high-energy plasma synthetic jet actuators. IEEE Trans. Dielectr. Electr. Insul. 2017, 24, 2076–2084. [Google Scholar] [CrossRef]
- Benard, N.; Zouzou, N.; Claverie, A.; Sotton, J.; Moreau, E. Optical visualization and electrical characterization of fast-rising pulsed dielectric barrier discharge for airflow control applications. J. Appl. Phys. 2012, 111, 033303. [Google Scholar] [CrossRef]
- Lei, P.; Kun, H.; Qiaogen, Z. The discharge characteristics of surface dielectric barrier discharge sustained by repetitive nanosecond pulses in open air. J. Appl. Phys. 2016, 120, 103302. [Google Scholar] [CrossRef]
- Xie, Q.; Gan, W.; Zhang, C.; Che, X.; Yan, P.; Shao, T. Effect of rise time on nanosecond pulsed surface dielectric barrier discharge actuator. IEEE Trans. Dielectr. Electr. Insul. 2019, 26, 346–352. [Google Scholar] [CrossRef]
- Huang, B.; Zhang, C.; Adamovich, I.V.; Akishev, Y.S.; Shao, T. Surface ionization wave propagation in the nanosecond pulsed surface dielectric barrier discharge: The influence of dielectric material and pulse repetition rate. Plasma Sources Sci. Technol. 2020, 29, 044001. [Google Scholar] [CrossRef]
- Enloe, C.L.; Font, G.I.; McLaughlin, T.E.; Orlov, D.M. Surface Potential and Longitudinal Electric Field Measurements in the Aerodynamic Plasma Actuator. AIAA J. 2008, 46, 2730–2740. [Google Scholar] [CrossRef]
- Singh, K.P.; Roy, S. Modeling plasma actuators with air chemistry for effective flow control. J. Appl. Phys. 2007, 101, 123308. [Google Scholar] [CrossRef]
- Nishida, H.; Nonomura, T.; Abe, T. Numerical Study on Spanwise Nonuniformity in Body-Force Field of Dielectric-Barrier-Discharge Plasma Actuator. AIAA J. 2016, 54, 659–669. [Google Scholar] [CrossRef]
- Wu, Y.; Zhu, Y.; Cui, W.; Jia, M.; Li, Y. Simulation of Nanosecond Pulsed DBD Plasma Actuation with Different Rise Times. Plasma Process. Polym. 2015, 12, 642–654. [Google Scholar] [CrossRef]
- Mertz, B.E.; Corke, T.C. Single-dielectric barrier discharge plasma actuator modelling and validation. J. Fluid Mech. 2011, 669, 557–583. [Google Scholar] [CrossRef]
- Soloviev, V.R.; Krivtsov, V.M. Numerical modelling of nanosecond surface dielectric barrier discharge evolution in atmospheric air. Plasma Sources Sci. Technol. 2018, 27, 114001. [Google Scholar] [CrossRef]
- Ahn, S.; Chae, J.; Kim, H.-J.; Kim, K.H. Numerical Simulation of Streamer Physics in Nanosecond Pulsed Surface Discharges. Int. J. Aeronaut. Space Sci. 2021, 22, 547–559. [Google Scholar] [CrossRef]
- Shi, C.A.; Adamiak, K.; Castle, G.S.P. Numerical study of the characteristics of a dielectric barrier discharge plasma actuator. J. Phys. D Appl. Phys. 2018, 51, 095201. [Google Scholar] [CrossRef]
- Peng, B.; Jiang, N.; Liu, Z.; Yao, X.; Li, J.; Wu, Y. Discharge dynamics of primary and secondary streamers in a repetitively pulsed surface dielectric barrier discharge. J. Appl. Phys. 2022, 131, 113301. [Google Scholar] [CrossRef]
- Xu, S.Y.; Cai, J.S.; Wang, J.F.; Tang, S.J. Characterization of the single nanosecond pulsed surface dielectric barrier plasma actuator: Geometric and electric effects. Contrib. Plasma Phys. 2020, 60, e201900081. [Google Scholar] [CrossRef]
- Unfer, T.; Boeuf, J.P. Modelling of a nanosecond surface discharge actuator. J. Phys. D Appl. Phys. 2009, 42, 194017. [Google Scholar] [CrossRef]
- Abdollahzadeh, M.; Pascoa, J.C.; Oliveira, P.J. Implementation of the classical plasma–fluid model for simulation of dielectric barrier discharge (DBD) actuators in OpenFOAM. Comput. Fluids 2016, 128, 77–90. [Google Scholar] [CrossRef]
- Kossyi, I.A.; Kostinsky, A.Y.; Matveyev, A.A.; Silakov, V.P. Kinetic scheme of the non-equilibrium discharge in nitrogen-oxygen mixtures. Plasma Sources Sci. Technol. 1992, 1, 207–220. [Google Scholar] [CrossRef]
- Alves, L.L. The IST-LISBON database on LXCat. J. Phys. Conf. Ser. 2014, 565, 012007. [Google Scholar] [CrossRef]
- Hagelaar, G.J.M.; Pitchford, L.C. Solving the Boltzmann equation to obtain electron transport coefficients and rate coefficients for fluid models. Plasma Sources Sci. Technol. 2005, 14, 722–733. [Google Scholar] [CrossRef]
- Leonov, S.B.; Adamovich, I.V.; Soloviev, V.R. Dynamics of near-surface electric discharges and mechanisms of their interaction with the airflow. Plasma Sources Sci. Technol. 2016, 25, 063001. [Google Scholar] [CrossRef]
- Peng, B.; Jiang, N.; Yao, X.; Ruan, Y.; Wang, D.; Shang, K.; Lu, N.; Namihira, T.; Li, J.; Wu, Y. Experimental and numerical studies of primary and secondary streamers in a pulsed surface dielectric barrier discharge. J. Phys. D Appl. Phys. 2019, 52, 325202. [Google Scholar] [CrossRef]
- Shao, T.; Jiang, H.; Zhang, C.; Yan, P.; Lomaev, M.I.; Tarasenko, V.F. Time behaviour of discharge current in case of nanosecond-pulse surface dielectric barrier discharge. Europhys. Lett. 2013, 101, 45002. [Google Scholar] [CrossRef]
- Paris, P.; Aints, M.; Valk, F.; Plank, T.; Haljaste, A.; Kozlov, K.V.; Wagner, H.-E. Intensity ratio of spectral bands of nitrogen as a measure of electric field strength in plasmas. J. Phys. D Appl. Phys. 2005, 38, 3894–3899. [Google Scholar] [CrossRef]
- Yun, W.; Yinghong, L.; Min, J.; Huimin, S.; Changbing, S.; Yikang, P. Experimental Investigation into Characteristics of Plasma Aerodynamic Actuation Generated by Dielectric Barrier Discharge. Chin. J. Aeronaut. 2010, 23, 39–45. [Google Scholar] [CrossRef]


















| Sequence | Reaction Equations | Rate Coefficient |
|---|---|---|
| R 1 | e + N2 => e + N2 | α1 |
| R 2 | e + O2 => e + O2 | α2 |
| R 3 | e + 2O2 => O2 + O2− | α3 |
| R 4 | e + O2 => O2+ + 2e | α4 |
| R 5 | e + N2 => N2+ + 2e | α5 |
| R 6 | e + O2 => O2− | α6 |
| R 7 | e + N2+ => N2 | 4.65 × 1010 × (Te)−0.5 |
| R 8 | e + N2+ => N2 | 2.4 × 106 |
| R 9 | O2+ + O2− => 2O2 | 1.2 × 1011 |
| R 10 | 2e + N2+ => N2 + e | 2.6 × 109 × (Te)−4.5 |
| R 11 | 2e + O2+ => O2 + e | 2.6 × 109 × (Te)−4.5 |
| R 12 | O2+ + O2− + O2 => 3O2 | 7.25 × 1010 |
| R 13 | O2+ + O2− + N2 => 2O2 + N2 | 7.25 × 1010 |
| Sequence | Reaction Equations | Sticking Coefficient |
|---|---|---|
| R 1 | N2+ => N2 | 1 |
| R 2 | O2+ => O2 | 1 |
| R 3 | O2− => O2 | 1 |
| R 4 | O => 0.5O2 | 1 |
| R 5 | O+ => 0.5O2 | 1 |
| R 6 | O− => 0.5O2 | 1 |
Disclaimer/Publisher’s Note: The statements, opinions and data contained in all publications are solely those of the individual author(s) and contributor(s) and not of MDPI and/or the editor(s). MDPI and/or the editor(s) disclaim responsibility for any injury to people or property resulting from any ideas, methods, instructions or products referred to in the content. |
© 2023 by the authors. Licensee MDPI, Basel, Switzerland. This article is an open access article distributed under the terms and conditions of the Creative Commons Attribution (CC BY) license (https://creativecommons.org/licenses/by/4.0/).
Share and Cite
Liang, S.; Yu, Y.; Zheng, B.; Mao, Y. Numerical Investigation on the Effect of Electrical Parameters on the Discharge Characteristics of NS-SDBD. Coatings 2023, 13, 1237. https://doi.org/10.3390/coatings13071237
Liang S, Yu Y, Zheng B, Mao Y. Numerical Investigation on the Effect of Electrical Parameters on the Discharge Characteristics of NS-SDBD. Coatings. 2023; 13(7):1237. https://doi.org/10.3390/coatings13071237
Chicago/Turabian StyleLiang, Sijia, Yang Yu, Borui Zheng, and Yuepeng Mao. 2023. "Numerical Investigation on the Effect of Electrical Parameters on the Discharge Characteristics of NS-SDBD" Coatings 13, no. 7: 1237. https://doi.org/10.3390/coatings13071237
APA StyleLiang, S., Yu, Y., Zheng, B., & Mao, Y. (2023). Numerical Investigation on the Effect of Electrical Parameters on the Discharge Characteristics of NS-SDBD. Coatings, 13(7), 1237. https://doi.org/10.3390/coatings13071237

