Shell of Viviparid Snail as an Eco-Friendly Corrosion Inhibitor for Carbon Steel in 1 M HCl
Abstract
:1. Introduction
2. Materials and Methods
2.1. Materials
2.1.1. Carbon Steel
2.1.2. Test Solutions
2.2. Methods
2.2.1. Preparation of SVSE Extract
2.2.2. Component Analysis
2.2.3. Electrochemical Measurements
2.2.4. Surface Characterization
2.2.5. Quantum Chemical Calculations
2.2.6. Molecular Dynamics Simulation
3. Results
3.1. FTIR Analysis
3.2. HPLC Analysis
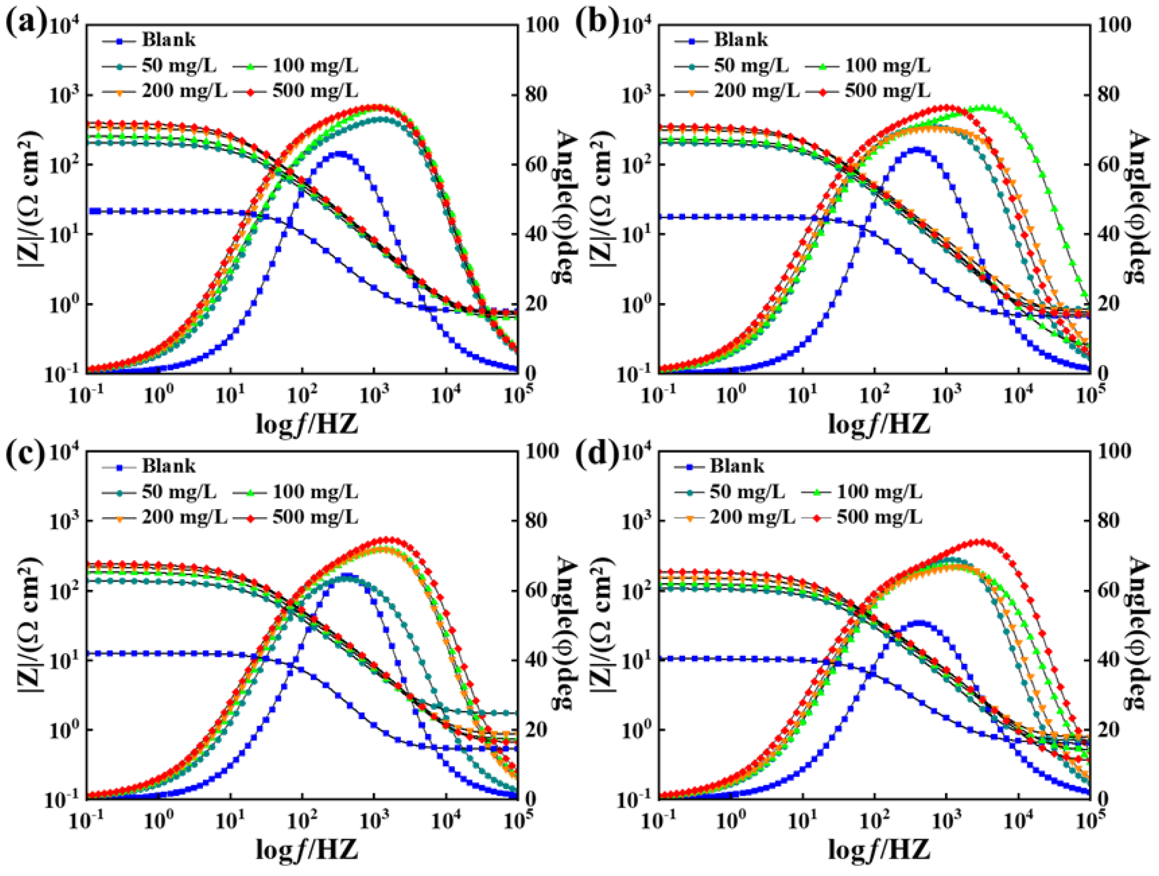
3.3. EIS Analysis
3.4. PDP Analysis
3.5. The Adsorption Isotherm Model
3.6. Surface Characterization
3.7. QC Analysis
3.8. MDS Analysis
3.9. Corrosion and Corrosion Inhibition Mechanism
4. Conclusions
- (1)
- HPLC results showed that SVSE contains 18 amino acids, which are the main active molecules in SVSE. FTIR confirmed that SVSE contains O–H, C–H and N–H, which are consistent with the general characteristics of corrosion inhibitors.
- (2)
- The electrochemical test results show that SVSE has good corrosion inhibition effect on CS in 1 M HCl, and the inhibition performance increases with increasing concentration and decreases with increasing temperature, which is a kind of mixed corrosion inhibitor with cathodic corrosion inhibition effect.
- (3)
- The results of theoretical calculations show that the main components of SVSE have active adsorption sites and eventually adsorb on the CS substrate in a parallel manner, forming a protective film with high stability. The results of theoretical calculations effectively support the conclusions of experimental data.
Author Contributions
Funding
Institutional Review Board Statement
Informed Consent Statement
Data Availability Statement
Conflicts of Interest
Abbreviations
| Abbreviation | Description |
| SVSE | Shell of viviparid snail extract |
| CS | Carbon steel |
| HPLC | High-performance liquid chromatography |
| FTIR | Fourier-transform infrared spectroscopy |
| QC | Quantum chemistry |
| MDS | Molecular dynamics simulations |
| EIS | Electrochemical impedance spectroscopy |
| PDP | Potentiodynamic polarization |
References
- Begum, A.; Vahith, R.; Kotra, V.; Shaik, M.R.; Khan, M. Spilanthes acmella Leaves Extract for Corrosion Inhibition in Acid Medium. Coatings 2021, 11, 106. [Google Scholar] [CrossRef]
- Tian, Y.; Zhang, G.; Ye, H.; Zeng, Q.; Zhang, Z.; Tian, Z.; Jin, X.; Jin, N.; Chen, Z.; Wang, J. Corrosion of steel rebar in concrete induced by chloride ions under natural environments. Constr. Build. Mater. 2023, 369, 130504. [Google Scholar] [CrossRef]
- Cai, F.; Huang, Y.; Xing, S.; Xu, Y.; Zhao, X.; Wang, X.; Wang, Z.; Ringsberg, J.W. Characteristics and mechanisms of low-alloy high-strength steel corrosion behavior under barnacle adhesion based on a comparison experiment. Corros. Sci. 2023, 217, 111146. [Google Scholar] [CrossRef]
- Kairy, S.K.; Zhou, S.; Turnbull, A.; Hinds, G. Corrosion of pipeline steel in dense phase CO2 containing impurities: A critical review of test methodologies. Corros. Sci. 2023, 214, 110986. [Google Scholar] [CrossRef]
- Emelyanenko, K.A.; Emelyanenko, A.M.; Boinovich, L.B. Laser Obtained Superhydrophobic State for Stainless Steel Corrosion Protection, a Review. Coatings 2023, 13, 194. [Google Scholar] [CrossRef]
- Zhang, W.; Li, C.; Wang, W.; Li, B.; Liu, X.; Liu, Y.; Guo, H.; Chen, S.; Feng, Y. Laminarin and sodium molybdate as efficient sustainable inhibitor for Q235 steel in sodium chloride solution. Colloids Surf. A 2022, 637, 128199. [Google Scholar] [CrossRef]
- Wang, Q.; Zhang, Q.; Liu, L.; Zheng, H.; Wu, X.; Li, Z.; Gao, P.; Sun, Y.; Yan, Z.; Li, X. Experimental, DFT and MD evaluation of Nandina domestica Thunb. extract as green inhibitor for CS corrosion in acidic medium. J. Mol. Struct. 2022, 1265, 133367. [Google Scholar] [CrossRef]
- Li, X.; Deng, S. Synergistic inhibition effect of walnut green husk extract and potassium iodide on the corrosion of cold rolled steel in trichloroacetic acid solution. J. Mater. Res. Technol. 2020, 9, 15604–15620. [Google Scholar] [CrossRef]
- Zhang, W.; Nie, B.; Wang, M.; Shi, S.; Gong, L.; Gong, W.; Pang, H.; Liu, X.; Li, B.; Feng, Y.; et al. Chemically modified resveratrol as green corrosion inhibitor for Q235 steel: Electrochemical, SEM, UV and DFT studies. J. Mol. Liq. 2021, 343, 117672. [Google Scholar] [CrossRef]
- Benzbiria, N.; Thoume, A.; Echihi, S.; Belghiti, M.E.; Elmakssoudi, A.; Zarrouk, A.; Azzi, M.; Zertoubi, M. Coupling of experimental and theoretical studies to apprehend the action of benzodiazepine derivative as a corrosion inhibitor of carbon steel in 1M HCl. J. Mol. Struct. 2023, 1281, 135139. [Google Scholar] [CrossRef]
- Wang, Q.; Wang, R.; Zhang, Q.; Zhao, C.; Zhou, X.; Zheng, H.; Zhang, R.; Sun, Y.; Yan, Z. Application of Biomass Corrosion Inhibitors in Metal Corrosion Control: A Review. Molecules 2023, 28, 062832. [Google Scholar] [CrossRef]
- Berrissoul, A.; Ouarhach, A.; Benhiba, F.; Romane, A.; Guenbour, A.; Dikici, B.; Bentiss, F.; Zarrouk, A.; Dafali, A. Assessment of corrosion inhibition performance of origanum compactum extract for mild steel in 1 M HCl: Weight loss, electrochemical, SEM/EDX, XPS, DFT and molecular dynamic simulation. Ind. Crops Prod. 2022, 187, 115310. [Google Scholar] [CrossRef]
- Farag, A.A.; Ismail, A.S.; Migahed, M.A. Environmental-friendly shrimp waste protein corrosion inhibitor for carbon steel in 1 M HCl solution. Egypt. J. Pet. 2018, 27, 1187–1194. [Google Scholar] [CrossRef]
- Wang, Q.; Liu, L.; Zhang, Q.; Wu, X.; Zheng, H.; Gao, P.; Zeng, G.; Yan, Z.; Sun, Y.; Li, Z.; et al. Insight into the anti-corrosion performance of Artemisia argyi leaves extract as eco-friendly corrosion inhibitor for carbon steel in HCl medium. Sustain. Chem. Pharm. 2022, 27, 100710. [Google Scholar] [CrossRef]
- Lin, B.; Shao, J.; Zhao, C.; Zhou, X.; He, F.; Xu, Y. Passiflora edulis Sims peel extract as a renewable corrosion inhibitor for mild steel in phosphoric acid solution. J. Mol. Liq. 2023, 375, 121296. [Google Scholar] [CrossRef]
- Song, Z.; Donkor, S.; Zhang, Y.; Liu, Q.; Liu, Y.; Na, X.; Cai, H.; Odoom, J.K. Adsorption and corrosion inhibition performance of rice bran extract on carbon steel in aqueous chloride solution: Experimental, computational and theoretical studies. Constr. Build. Mater. 2023, 363, 129801. [Google Scholar] [CrossRef]
- Akrom, M.; Saputro, A.G.; Maulana, A.L.; Ramelan, A.; Nuruddin, A.; Rustad, S.; Dipojono, H.K. DFT and microkinetic investigation of oxygen reduction reaction on corrosion inhibition mechanism of iron surface by Syzygium Aromaticum extract. Appl. Surf. Sci. 2023, 615, 156319. [Google Scholar] [CrossRef]
- Praveen, B.M.; Alhadhrami, A.; Hebbar, N.; Prabhu, R. Anti-Corrosion Behavior of Olmesartan for Soft-Cast Steel in 1 mol dm−3 HCl. Coatings 2021, 11, 965. [Google Scholar] [CrossRef]
- Ganjoo, R.; Sharma, S.; Thakur, A.; Assad, H.; Kumar, S.P.; Dagdag, O.; Berisha, A.; Seydou, M.; Ebenso, E.E.; Kumar, A. Experimental and theoretical study of Sodium Cocoyl Glycinate as corrosion inhibitor for mild steel in hydrochloric acid medium. J. Mol. Liq. 2022, 364, 119988. [Google Scholar] [CrossRef]
- Rajamohan, N.; Al Shibli, F.S.Z.S.; Rajasimman, M. Environmentally benign Prosopis juliflora extract for corrosion protection by sorption—Gravimetric, mechanistic and thermodynamic studies. Environ. Res. 2022, 203, 111816. [Google Scholar] [CrossRef]
- Setiawan, K.A.P.; Wahyuadi, S.J.; Wahyu, M.; Syaiful, A.M.; Ahmad, M.; Aga, R.; Rini, R. Insight on Corrosion Prevention of C1018 in 1.0 M Hydrochloric Acid Using Liquid Smoke of Rice Husk Ash: Electrochemical, Surface Analysis, and Deep Learning Studies. Coatings 2023, 13, 136. [Google Scholar] [CrossRef]
- Thomas, A.; At, J.R.; Joseph, A. Extended protection of mild steel in molar HCl using the Garcinia Indica fruit rind extract (GIW) and iodide ions; electrochemical, thermodynamic and kinetic studies. J. Indian Chem. Soc. 2021, 98, 100167. [Google Scholar] [CrossRef]
- Tang, M.; Li, X.; Deng, S.; Lei, R. Synergistic inhibition effect of Mikania micrantha extract with KI on steel corrosion in H2SO4 solution. J. Mol. Liq. 2021, 344, 117926. [Google Scholar] [CrossRef]
- Majd, M.T.; Ramezanzadeh, M.; Bahlakeh, G.; Ramezanzadeh, B. Steel corrosion lowering in front of the saline solution by a nitrogen-rich source of green inhibitors: Detailed surface, electrochemical and computational studies. Constr. Build. Mater. 2020, 254, 119266. [Google Scholar] [CrossRef]
- Mansha, M.; Madhan, K.A.; Adesina, A.Y.; Obot, I.B.; Khan, M. A novel trans-esterified water soluble hyperbranched polymer for surface protection of X60 steel: Experimental and theoretical approach. J. Mol. Liq. 2022, 349, 118091. [Google Scholar] [CrossRef]
- Nkiko, M.O. Evaluating the Deterioration of Galvanized Steel in an Acidic Medium using Pinus Oocarpa Seed Extract as Inhibitor. Port. Electrochim. Acta 2022, 40, 79–87. [Google Scholar] [CrossRef]
- Wang, Q.; Wu, X.; Zheng, H.; Xiao, X.; Liu, L.; Zhang, Q.; Gao, P.; Yan, Z.; Sun, Y.; Li, Z.; et al. Insight into anti-corrosion behavior of Centipeda minima leaves extract as high-efficiency and eco-friendly inhibitor. Colloids Surf. A 2022, 640, 128458. [Google Scholar] [CrossRef]
- Zhu, M.; Guo, L.; Chang, J.; He, Z.; Yao, Y.; Zhang, R.; Zheng, X.; Marzouki, R. Synergistic effect of 4-dimethylaminopyridine with sodium dodecyl sulfonate and potassium bromide on the corrosion inhibition of mild steel in HCl medium: A collective experimental and computational investigation. J. Adhes. Sci. Technol. 2021, 36, 2462–2477. [Google Scholar] [CrossRef]
- Kuznetsov, Y.I.; Redkina, G. Thin Protective Coatings on Metals Formed by Organic Corrosion Inhibitors in Neutral Media. Coatings 2022, 12, 149. [Google Scholar] [CrossRef]
- Al-Amiery, A.A.; Isahak, W.N.R.W.; Al-Azzawi, W.K. Corrosion Inhibitors: Natural and Synthetic Organic Inhibitors. Lubricants 2023, 11, 040174. [Google Scholar] [CrossRef]
- Jie, Y.; Zhongheng, L.; Jinfa, S.; Zhenwei, Y. Study on the corrosion inhibition performance of sodium silicate and polyaspartic acid for 35CrMo steel. Int. J. Electrochem. Sci. 2023, 18, 100042. [Google Scholar] [CrossRef]
- Verma, C.; Hussain, C.M.; Quraishi, M.A.; Alfantazi, A. Green surfactants for corrosion control: Design, performance and applications. Adv. Colloid Interface Sci. 2023, 311, 102822. [Google Scholar] [CrossRef] [PubMed]
- Thakur, A.; Kaya, S.; Abousalem, A.S.; Sharma, S.; Ganjoo, R.; Assad, H.; Kumar, A. Computational and experimental studies on the corrosion inhibition performance of an aerial extract of Cnicus Benedictus weed on the acidic corrosion of mild steel. Process Saf. Environ. Prot. 2022, 161, 801–818. [Google Scholar] [CrossRef]
- Dehghani, A.; Bahlakeh, G.; Ramezanzadeh, B. Green Eucalyptus leaf extract: A potent source of bio-active corrosion inhibitors for mild steel. Bioelectrochemistry 2019, 130, 107339. [Google Scholar] [CrossRef]
- Li, X.; Deng, S.; Fu, H. Inhibition of the corrosion of steel in HCl, H2SO4 solutions by bamboo leaf extract. Corros. Sci. 2012, 62, 163–175. [Google Scholar] [CrossRef]
- Chen, S.; Zhao, H.; Chen, S.; Wen, P.; Wang, H.; Li, W. Camphor leaves extract as a neoteric and environment friendly inhibitor for Q235 steel in HCl medium: Combining experimental and theoretical researches. J. Mol. Liq. 2020, 312, 113433. [Google Scholar] [CrossRef]
- Suriya, P.A.; Kavitha, K.; Benita, S.H.; Susai, R. Inhibition of corrosion of mild steel in simulated oil well water by an aqueous extract of Andrographis paniculata. Indian J. Chem. Technol. 2020, 27, 113433. [Google Scholar]
- Abhradip, P.; Chandan, D. New eco-friendly anti-corrosion inhibitor of purple rice bran extract for boiler quality steel: Experimental and theoretical investigations. J. Mol. Struct. 2022, 1251, 131988. [Google Scholar] [CrossRef]
- Zouarhi, M.; Chellouli, M.; Abbout, S.; Hammouch, H.; Dermaj, A.; Hassane, S.O.S.; Decaro, P.; Bettach, N.; Hajjaji, N.; Srhiri, A. Inhibiting Effect of a Green Corrosion Inhibitor Containing Jatropha Curcas Seeds Oil for Iron in an Acidic Medium. Port. Electrochim. Acta. 2018, 36, 179–195. [Google Scholar] [CrossRef]
- Pradipta, I.; Kong, D.; Tan, J.B.L. Natural organic antioxidants from green tea inhibit corrosion of steel reinforcing bars embedded in mortar. Constr. Build. Mater. 2019, 227, 351–362. [Google Scholar] [CrossRef]
- Eddy, O.N. Adsorption and inhibitive properties of ethanol extract of Garcinia kola and Cola nitida for the corrosion of mild steel in H2SO4. Pigm. Resin Technol. 2010, 39, 348–354. [Google Scholar] [CrossRef]
- Elqars, E.; Guennoun, M.; Aicha, O.; Sqalli Houssini, N.; Elhafdi, M.; Essadki, A.; Ait chaoui, M.; Nbigui, T.; Singh, A.K. Expired Chicken Egg-White Extract’s Adsorption Behavior As a Corrosion Inhibitor for CS in 1 M HCl. Acad. J. Chem. 2021, 2021, 3416092. [Google Scholar] [CrossRef]
- Zhang, Q.H.; Hou, B.S.; Zhang, G.A. Inhibitive and adsorption behavior of thiadiazole derivatives on carbon steel corrosion in CO2-saturated oilfield produced water: Effect of substituent group on efficiency. J Colloid Interface Sci. 2020, 572, 91–106. [Google Scholar] [CrossRef] [PubMed]
- Zhang, Q.H.; Hou, B.S.; Li, Y.Y.; Lei, Y.; Wang, X.; Liu, H.F.; Zhang, G.A. Two amino acid derivatives as high efficient green inhibitors for the corrosion of carbon steel in CO2-saturated formation water. Corros. Sci. 2021, 189, 109596. [Google Scholar] [CrossRef]
- Zaher, A.; Aslam, R.; Lee, H.S.; Khafouri, A.; Boufellous, M.; Alrashdi, A.A.; El aoufir, Y.; Lgaz, H.; Ouhssine, M. A combined computational & electrochemical exploration of the Ammi visnaga L. extract as a green corrosion inhibitor for carbon steel in HCl solution. Arab. Acad. J. Chem. 2022, 15, 103573. [Google Scholar] [CrossRef]
- Zhang, D.; Tang, Y.; Qi, S.; Dong, D.; Cang, H.; Lu, G. The inhibition performance of long-chain alkyl-substituted benzimidazole derivatives for corrosion of mild steel in HCl. Corros. Sci. 2016, 102, 517–522. [Google Scholar] [CrossRef]
- Shafek, S.H.; Ghiaty, E.A.; El Basiony, N.M.; Badr, E.A.; Shaban, S.M. Preparation of zwitterionic ionic surfactants-based sulphonyl for steel protections: Experimental and theoretical insights. Z. Phys. Chem. 2023, 237, 1–33. [Google Scholar] [CrossRef]
- Olawale, O.; Bello, J.O.; Ogunsemi, B.T.; Uchella, U.C.; Oluyori, A.P.; Oladejo, N.K. Optimization of chicken nail extracts as corrosion inhibitor on mild steel in 2 M H2SO4. Heliyon 2019, 5, e02821. [Google Scholar] [CrossRef]
- Saady, A.; Rais, Z.; Benhiba, F.; Salim, R.; Ismaily, A.K.; Arrousse, N.; Elhajjaji, F.; Taleb, M.; Jarmoni, K.; Kandri, R.Y.; et al. Chemical, electrochemical, quantum, and surface analysis evaluation on the inhibition performance of novel imidazo [4,5-b] pyridine derivatives against mild steel corrosion. Corros. Sci. 2021, 189, 109621. [Google Scholar] [CrossRef]
- Yeganeh, M.; Rezvani, M.H.; Laribaghal, S.M. Electrochemical behavior of additively manufactured 316L stainless steel in H2SO4 solution containing methionine as an amino acid. Colloids Surf. A 2021, 627, 127120. [Google Scholar] [CrossRef]
- Yang, X.; Fu, S.; Wang, Q.; Sun, Q.; Zhang, J.; Peng, Y.; Liang, Z.; Li, J. Protective behaviour of naphthylamine derivatives for steel reinforcement in the simulated concrete pore solutions: Detailed experimental and computational explorations. J. Mol. Struct. 2022, 1270, 133898. [Google Scholar] [CrossRef]
- Salinas-Solano, G.; Porcayo-Calderon, J.; Martinez de la Escalera, L.M.; Canto, J.; Casales-Diaz, M.; Sotelo-Mazon, O.; Henao, J.; Martinez-Gomez, L. Development and evaluation of a green corrosion inhibitor based on rice bran oil obtained from agro-industrial waste. Ind. Crops Prod. 2018, 119, 111–124. [Google Scholar] [CrossRef]
- Wang, Q.; Zheng, H.; Liu, L.; Zhang, Q.; Wu, X.; Yan, Z.; Sun, Y.; Li, X. Insight into the anti-corrosion behavior of Reineckia Carnea leaves extract as an eco-friendly and high-efficiency corrosion inhibitor. Ind. Crops Prod. 2022, 188, 115640. [Google Scholar] [CrossRef]
- Wan, S.; Wei, H.; Quan, R.; Luo, Z.; Wang, H.; Liao, B.; Guo, X. Soybean extract firstly used as a green corrosion inhibitor with high efficacy and yield for carbon steel in acidic medium. Ind. Crops Prod. 2022, 187, 115354. [Google Scholar] [CrossRef]
- Solomon, M.M.; Essien, K.E.; Loto, R.T.; Ademosun, O.T. Synergistic corrosion inhibition of low CS in HCl and H2SO4 media by 5-methyl-3-phenylisoxazole-4-carboxylic acid and iodide ions. J. Adhes. Sci. Technol. 2021, 36, 1200–1226. [Google Scholar] [CrossRef]
- Corrales-Luna, M.; Le Manh, T.; Romero-Romo, M.; Palomar-Pardavé, M.; Arce-Estrada, E.M. 1-Ethyl 3-methylimidazolium thiocyanate ionic liquid as corrosion inhibitor of API 5L X52 steel in H2SO4 and HCl media. Corros. Sci. 2019, 153, 85–99. [Google Scholar] [CrossRef]
- Cui, L.; Hang, M.; Huang, H.; Gao, X. Experimental study on multi-component corrosion inhibitor for steel bar in chloride environment. Constr. Build. Mater. 2021, 313, 125533. [Google Scholar] [CrossRef]
- Helal, N.H.; Badawy, W.A. Environmentally safe corrosion inhibition of Mg-Al-Zn alloy in chloride free neutral solutions by amino acids. Electrochim. Acta. 2011, 56, 6581–6587. [Google Scholar] [CrossRef]
- Hou, B.S.; Zhang, Q.H.; Li, Y.Y.; Zhu, G.Y.; Lei, Y.; Wang, X.; Liu, H.F.; Zhang, G.A. In-depth insight into the inhibition mechanism of pyrimidine derivatives on the corrosion of carbon steel in CO2-containing environment based on experiments and theoretical calculations. Corros. Sci. 2021, 181, 109236. [Google Scholar] [CrossRef]
- Prasad, D.; Singh, R.; Kaya, S.; el Ibrahimi, B. Natural corrosion inhibitor of renewable eco-waste for SS-410 in sulfuric acid medium: Adsorption, electrochemical, and computational studies. J. Mol. Liq. 2022, 351, 118671. [Google Scholar] [CrossRef]
- Rbaa, M.; Fardioui, M.; Verma, C.; Abousalem, A.S.; Galai, M.; Ebenso, E.E.; Guedira, T.; Lakhrissi, B.; Warad, I.; Zarrouk, A. 8-Hydroxyquinoline based chitosan derived carbohydrate polymer as biodegradable and sustainable acid corrosion inhibitor for mild steel: Experimental and computational analyses. Int. J. Biol. Macromol. 2020, 155, 645–655. [Google Scholar] [CrossRef] [PubMed]
- Yan, T.; Zhang, S.; Feng, L.; Qiang, Y.; Lu, L.; Fu, D.; Wen, Y.; Chen, J.; Li, W.; Tan, B. Investigation of imidazole derivatives as corrosion inhibitors of copper in sulfuric acid: Combination of experimental and theoretical researches. J. Taiwan Inst. Chem. Eng. 2020, 106, 118–129. [Google Scholar] [CrossRef]
- Pal, A.; Das, C. A novel use of solid waste extract from tea factory as corrosion inhibitor in acidic media on boiler quality steel. Ind. Crops Prod. 2020, 151, 112468. [Google Scholar] [CrossRef]
- Singh, A.; Ansari, K.R.; Ituen, E.; Guo, L.; Abdul, W.M.; Quraishi, M.A.; Kong, X.; Lin, Y. A new series of synthesized compounds as corrosion mitigator for storage tanks: Detailed electrochemical and theoretical investigations. Constr. Build. Mater. 2020, 259, 120421. [Google Scholar] [CrossRef]
- Wan, S.; Zhang, T.; Chen, H.; Liao, B.; Guo, X. Kapok leaves extract and synergistic iodide as novel effective corrosion inhibitors for Q235 carbon steel in H2SO4 medium. Ind. Crops Prod. 2022, 178, 114649. [Google Scholar] [CrossRef]
- Hou, B.S.; Xu, N.; Zhang, Q.H.; Xuan, C.J.; Liu, H.F.; Zhang, G.A. Effect of benzyl substitution at different sites on the inhibition performance of pyrimidine derivatives for mild steel in highly acidic solution. J. Taiwan Inst. Chem. Eng. 2019, 95, 541–554. [Google Scholar] [CrossRef]












| No. | Ingredient Name | Molecular | CAS | Retention Time | Concentration (%) |
|---|---|---|---|---|---|
| Formula | No. | (min) | |||
| 1 | Aspartic acid | C4H7NO4 | 6899–3–2 | 4.58 | 3.184 |
| 2 | Glutamic acid | C5H9NO4 | 6893–26–1 | 5.213 | 4.413 |
| 3 | Hydroxyproline | C5H9NO3 | 6912–67–2 | 7.908 | 0.173 |
| 4 | Serine | C3H7NO3 | 56–45–1 | 10.215 | 1.709 |
| 5 | Glycine | C2H5NO2 | 56–40–6 | 11.053 | 1.340 |
| 6 | Histidine | C6H9N3O2 | 71–00–1 | 11.549 | 0.371 |
| 7 | Arginine | C6H14N4O2 | 74–79–3 | 13.333 | 1.339 |
| 8 | Threonine | C4H9NO3 | 72–19–5 | 14.499 | 1.373 |
| 9 | Alanine | C3H7NO2 | 6898–94–8 | 15.253 | 1.419 |
| 10 | Proline | C5H9NO2 | 147–85–3 | 16.089 | 1.221 |
| 11 | Tyrosine | C9H11NO3 | 55520–40–6 | 21.721 | 1.019 |
| 12 | Valine | C5H11NO2 | 7004–03–7 | 23.118 | 1.314 |
| 13 | Methionine | C5H11O2NS | 348–67–4 | 24.241 | 0.142 |
| 14 | Cystine | C6H12N2O4S2 | 24645–67–8 | 26.032 | 0.174 |
| 15 | Isoleucine | C6H13NO2 | 131598–62–4 | 26.926 | 1.033 |
| 16 | leucine | C6H13NO2 | 61–90–5 | 27.371 | 1.657 |
| 17 | Phenylalanine | C9H11NO2 | 62056–68 | 29.602 | 0.928 |
| 18 | Lysine | C6H14N2O2 | 56–87–1 | 32.069 | 1.303 |
| RS | Rct | Rf | Qd1 | Qf |
|---|---|---|---|---|
| Solution resistance | Charge transfer resistance | Film resistance | Double-layer capacitance | Membrane capacitance |
| Temperature | C | Rs | Rf | CPEd1 | Rct | CPEf | ηR | ||
|---|---|---|---|---|---|---|---|---|---|
| (K) | (mg/L) | (Ω cm2) | (Ω cm2) | Y0 (μ Ω−1 sn cm−2) | n1 | (Ω cm2) | Y0 (μ Ω−1 sn cm−2) | n2 | (%) |
| 298 K | Blank | 7.87 | – | 198.3 | 0.94 | 20.58 | – | – | – |
| 50 | 0.71 | 20.63 | 20.62 | 1.00 | 188.90 | 150.10 | 0.69 | 90.18 | |
| 100 | 0.64 | 31.52 | 19.60 | 1.00 | 227.30 | 148.90 | 0.67 | 92.05 | |
| 200 | 0.72 | 36.48 | 18.52 | 1.00 | 306.70 | 83.90 | 0.72 | 94.00 | |
| 500 | 0.75 | 34.74 | 17.88 | 1.00 | 363.00 | 83.80 | 0.71 | 94.83 | |
| 303 K | Blank | 6.07 | – | 196.1 | 0.94 | 17.16 | – | – | – |
| 50 | 0.84 | 14.67 | 23.99 | 1.00 | 190.90 | 123.00 | 0.72 | 91.65 | |
| 100 | 0.25 | 12.3 | 18.42 | 1.00 | 220.70 | 123.40 | 0.72 | 92.64 | |
| 200 | 0.76 | 11.34 | 15.09 | 1.00 | 307.00 | 100.80 | 0.72 | 94.61 | |
| 500 | 0.71 | 36.02 | 21.97 | 1.00 | 320.80 | 118.20 | 0.70 | 95.19 | |
| 308 K | Blank | 0.36 | – | 165.9 | 1.00 | 11.81 | – | – | – |
| 50 | 1.74 | 8.33 | 19.80 | 1.00 | 129.80 | 160.70 | 0.70 | 91.45 | |
| 100 | 0.74 | 18.63 | 18.72 | 1.00 | 168.10 | 161.00 | 0.68 | 93.68 | |
| 200 | 0.87 | 22.23 | 17.24 | 1.00 | 196.60 | 128.80 | 0.70 | 94.60 | |
| 500 | 0.66 | 26.74 | 17.05 | 1.00 | 220.60 | 149.70 | 0.68 | 95.23 | |
| 313 K | Blank | 0.64 | – | 522.9 | 0.85 | 9.90 | – | – | – |
| 50 | 0.71 | 13.76 | 27.24 | 1.00 | 93.74 | 221.80 | 0.71 | 90.79 | |
| 100 | 0.51 | 4.06 | 17.64 | 1.00 | 123.00 | 185.90 | 0.70 | 92.21 | |
| 200 | 0.79 | 12.05 | 18.63 | 1.00 | 140.20 | 169.80 | 0.71 | 93.50 | |
| 500 | 0.36 | 13.18 | 18.11 | 1.00 | 175.40 | 172.80 | 0.70 | 94.75 | |
| Temperature | C | Ecorr | icorr | −βc | βa | ηp |
|---|---|---|---|---|---|---|
| (K) | (mg/L) | (mV/SCE) | (μA cm−2) | (mV dec−1) | (mV dec−1) | (%) |
| 298 K | Blank | −458 | 594.4 | 104.9 | 62.5 | – |
| 50 | −489 | 62.2 | 116.3 | 65.8 | 89.5 | |
| 100 | −495 | 53.7 | 114.1 | 71.8 | 91.0 | |
| 200 | −480 | 38.9 | 114.3 | 64.9 | 93.5 | |
| 500 | −484 | 35.3 | 114.9 | 69.7 | 94.1 | |
| 303 K | Blank | −462 | 774.4 | 104.5 | 60.4 | – |
| 50 | −478 | 61.9 | 114.1 | 60.0 | 92.0 | |
| 100 | −480 | 58.4 | 119.1 | 63.3 | 92.5 | |
| 200 | −485 | 46.7 | 118.0 | 67.4 | 94.0 | |
| 500 | −483 | 36.6 | 119.3 | 69.7 | 95.3 | |
| 308 K | Blank | −445 | 902.2 | 102.5 | 48.7 | – |
| 50 | −473 | 108.9 | 124.0 | 68.1 | 87.9 | |
| 100 | −488 | 80.4 | 122.5 | 67.8 | 91.1 | |
| 200 | −488 | 70.3 | 122.5 | 69.3 | 92.2 | |
| 500 | −501 | 65.8 | 118.8 | 79.8 | 92.7 | |
| 313 K | Blank | −451 | 1805.0 | 115.2 | 73.5 | – |
| 50 | −476 | 139.2 | 115.7 | 65.3 | 92.3 | |
| 100 | −484 | 130.7 | 118.2 | 72.7 | 92.8 | |
| 200 | −492 | 98.8 | 117.4 | 71.6 | 94.5 | |
| 500 | −497 | 84.6 | 117.7 | 78.3 | 95.3 |
| Inhibitors | EHOMO | ELUMO | ΔE | I | A | χ | γ | μ | ΔN |
|---|---|---|---|---|---|---|---|---|---|
| (eV) | (eV) | (eV) | (eV) | (eV) | (eV) | (eV) | (Debye) | ||
| Aspartic acid | −7.23 | −0.75 | 6.48 | 7.23 | 0.75 | 3.99 | 3.24 | 2.70 | 0.47 |
| Glutamic acid | −7.01 | −0.83 | 6.18 | 7.01 | 0.83 | 3.92 | 3.09 | 2.96 | 0.50 |
| Serine | −6.95 | −0.67 | 6.29 | 6.95 | 0.67 | 3.81 | 3.14 | 0.82 | 0.51 |
| Glycine | −6.95 | −0.59 | 6.37 | 6.95 | 0.59 | 3.77 | 3.18 | 2.12 | 0.51 |
| Arginine | −6.37 | −0.76 | 5.61 | 6.37 | 0.76 | 3.56 | 2.81 | 5.26 | 0.61 |
| Threonine | −7.26 | −0.79 | 6.47 | 7.26 | 0.79 | 4.03 | 3.24 | 2.96 | 0.46 |
| Alanine | −6.89 | −0.69 | 6.20 | 6.89 | 0.69 | 3.79 | 3.10 | 2.14 | 0.52 |
| Proline | −6.49 | −0.55 | 5.93 | 6.49 | 0.55 | 3.52 | 2.97 | 2.25 | 0.59 |
| Tyrosine | −6.19 | −0.69 | 5.51 | 6.19 | 0.69 | 3.44 | 2.75 | 0.95 | 0.65 |
| Valine | −6.91 | −0.53 | 6.38 | 6.91 | 0.53 | 3.72 | 3.19 | 1.60 | 0.51 |
| Isoleucine | −7.07 | −0.47 | 6.60 | 7.07 | 0.47 | 3.77 | 3.30 | 1.22 | 0.49 |
| Leucine | −6.93 | −0.53 | 6.40 | 6.93 | 0.53 | 3.73 | 3.20 | 1.54 | 0.51 |
| Phenylalanine | −6.94 | −0.67 | 6.27 | 6.94 | 0.67 | 3.81 | 3.13 | 2.44 | 0.51 |
| Lysine | −6.66 | −0.47 | 6.19 | 6.66 | 0.47 | 3.57 | 3.10 | 2.53 | 0.55 |
| Compounds | Etop | Esub | Einh | Einteract | Ebinding |
|---|---|---|---|---|---|
| (kJ/mol) | (kJ/mol) | (kJ/mol) | (kJ/mol) | (kJ/mol) | |
| Aspartic acid | −5139 | −4611 | −34 | −494 | 494 |
| Glutamic acid | −6686 | −6213 | 11 | −484 | 484 |
| Serine | −4983 | −4819 | 188 | −352 | 352 |
| Glycine | −4849 | −4689 | 141 | −294 | 301 |
| Arginine | −5536 | −4577 | −336 | −623 | 623 |
| Threonine | −4900 | −4659 | 169 | −410 | 410 |
| Alanine | −4822 | −4665 | 156 | −313 | 313 |
| Proline | −4990 | −4743 | 116 | −362 | 362 |
| Tyrosine | −5049 | −4556 | 218 | −711 | 711 |
| Valine | −4833 | −4658 | 194 | −370 | 370 |
| Isoleucine | −4910 | −4714 | 238 | −434 | 434 |
| Leucine | −4947 | −4648 | 106 | −406 | 406 |
| Phenylalanine | −4810 | −4602 | 286 | −493 | 493 |
| Lysine | −5045 | −4607 | 104 | −541 | 541 |
Disclaimer/Publisher’s Note: The statements, opinions and data contained in all publications are solely those of the individual author(s) and contributor(s) and not of MDPI and/or the editor(s). MDPI and/or the editor(s) disclaim responsibility for any injury to people or property resulting from any ideas, methods, instructions or products referred to in the content. |
© 2023 by the authors. Licensee MDPI, Basel, Switzerland. This article is an open access article distributed under the terms and conditions of the Creative Commons Attribution (CC BY) license (https://creativecommons.org/licenses/by/4.0/).
Share and Cite
Wang, Q.; Zhao, C.; Zheng, H.; Zhang, Q.; Zhou, X.; Wang, R.; Yan, Z.; Sun, Y.; Li, X. Shell of Viviparid Snail as an Eco-Friendly Corrosion Inhibitor for Carbon Steel in 1 M HCl. Coatings 2023, 13, 1136. https://doi.org/10.3390/coatings13071136
Wang Q, Zhao C, Zheng H, Zhang Q, Zhou X, Wang R, Yan Z, Sun Y, Li X. Shell of Viviparid Snail as an Eco-Friendly Corrosion Inhibitor for Carbon Steel in 1 M HCl. Coatings. 2023; 13(7):1136. https://doi.org/10.3390/coatings13071136
Chicago/Turabian StyleWang, Qihui, Chongkang Zhao, Huahao Zheng, Qi Zhang, Xing Zhou, Ruozhou Wang, Zhitao Yan, Yi Sun, and Xueming Li. 2023. "Shell of Viviparid Snail as an Eco-Friendly Corrosion Inhibitor for Carbon Steel in 1 M HCl" Coatings 13, no. 7: 1136. https://doi.org/10.3390/coatings13071136
APA StyleWang, Q., Zhao, C., Zheng, H., Zhang, Q., Zhou, X., Wang, R., Yan, Z., Sun, Y., & Li, X. (2023). Shell of Viviparid Snail as an Eco-Friendly Corrosion Inhibitor for Carbon Steel in 1 M HCl. Coatings, 13(7), 1136. https://doi.org/10.3390/coatings13071136

