Effect of Mg Addition on Microstructure and Sacrificial Anode Protection Performance of Hot Dip Al-5Zn-4Si-xMg Coating
Abstract
1. Introduction
2. Materials and Methods
2.1. Preparation of Al-5Zn-4Si-xMg Alloy Coating
2.2. Characterization of Al-5Zn-4Si-xMg Coating
2.3. Full Immersion Corrosion of Al-5Zn-4Si-xMg Coating
2.4. Electrochemical Corrosion of Al-5Zn-4Si-xMg Coating
3. Results and Discussion
3.1. Effect of Mg Content on Molten Bath of Al-5Zn-4Si-xMg Alloy
3.2. Effect of Mg Content on Microstructure of Hot-Dip Al-5Zn-4Si-xMg Coating
3.3. Full Immersion Corrosion of Hot-Dip Al-5Zn-4Si-xMg Coating
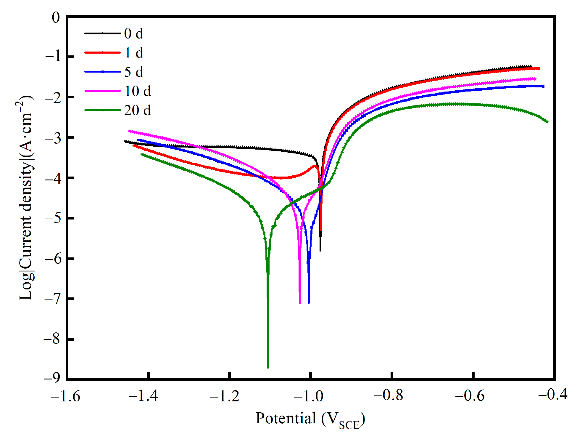
3.4. Potentiodynamic Polarization of Hot-Dip Al-5Zn-4Si-xMg Coating in 3.5 wt.% NaCl Solution
4. Conclusions
- (1)
- The Al-Zn-Si alloy was composed of an Al-rich phase and a Zn-rich phase. The MgZn2 phase appeared after Mg addition. When the addition of Mg increased to 0.15 wt.%, the Mg2Si phase began to appear in the alloy.
- (2)
- The hot-dip Al-5Zn-4Si-xMg coating was composed of Si particles, an Al-rich phase, and a Zn-rich phase. When the Mg content increased to 0.15 wt.%, Mg2Si phase and Al + Zn + MgZn2 eutectoid structure appeared in the coating.
- (3)
- The order of corrosion resistance of the hot-dip Al-5Zn-4Si-xMg coating for the full immersion corrosion test was 0.15% Mg coating > 0.2% Mg coating > 0.05% Mg coating > 0 Mg coating. In the corrosion process of hot-dipAl-5Zn-4Si-0.15Mg coating, with the increase in immersion, the self-corrosion current of the coating decreased, and the sacrificial protection performance was the best.
Author Contributions
Funding
Institutional Review Board Statement
Informed Consent Statement
Data Availability Statement
Conflicts of Interest
References
- Tsuru, T. Hot-dipped Al-Mg-Si Coating Steel—Its Structure, Electrochemical and Mechanical Properties. Corros. Sci. Technol. 2010, 9, 233–238. [Google Scholar]
- Huilgol, P.; Rajendra Udupa, K.; Udaya Bhat, K. Formation of microstructural features in hot-dip aluminized AISI 321 stainless steel. Int. J. Miner. Metall. Mater. 2018, 25, 190–198. [Google Scholar] [CrossRef]
- Yuan, X.; Zhang, Q. Microstructure Evolution of Hot-Dip Al-10% Si Coating During the Austenitization of 22MnB5 Hot Stamping Steel. Acta Metall. Sin. 2017, 53, 1495–1503. [Google Scholar]
- Liu, H.-H.; Cheng, W.-J.; Wang, C.-J. The mechanism of oxide whisker growth and hot corrosion of hot-dipped Al–Si coated 430 stainless steels in air–NaCl(g) atmosphere. Appl. Surf. Sci. 2011, 257, 10645–10652. [Google Scholar] [CrossRef]
- Kyo, Y.; Yadav, A.P.; Nishikata, A.; Tsuru, T. Hydrogen entry behaviour of hot-dip Al–Mg–Si coated steel. Corros. Sci. 2011, 53, 3866–3871. [Google Scholar] [CrossRef]
- Moreira, A.R.; Panossian, Z.; Camargo, P.L.; Moreira, M.F.; Da Silva, I.C.; De Carvalho, J.R. Zn/55Al coating microstructure and corrosion mechanism. Corros. Sci. 2006, 48, 564–576. [Google Scholar] [CrossRef]
- Li, Z.; Peng, H.; Liu, Y.; Su, X.; Kawi, S.; Wang, J. Synergy of ball-milling and pre-oxidation on microstructure and corrosion resistance of hot-dip zinc coating of nodular cast iron. J. Mater. Res. Technol. JmrT 2022, 16, 1402–1412. [Google Scholar] [CrossRef]
- Zeng, F.L.; Wei, Z.L.; Li, J.F.; Li, C.X.; Xing, T.A.; Zhang, Z.; Zheng, Z.Q. Corrosion mechanism associated with Mg2Si and Si particles in Al–Mg–Si alloys. Trans. Nonferr. Met. Soc. China 2011, 21, 2559–2567. [Google Scholar] [CrossRef]
- Thébault, F.; Vuillemin, B.; Oltra, R.; Ogle, K.; Allely, C. Investigation of self-healing mechanism on galvanized steels cut edges by coupling SVET and numerical modeling. Electrochim. Acta 2008, 53, 5226–5234. [Google Scholar] [CrossRef]
- Allely, C.; Dosdat, L.; Clauzeau, O.; Ogle, K.; Volovitch, P. Anticorrosion mechanisms of aluminized steel for hot stamping. Surf. Coat. Technol. 2014, 238, 188–196. [Google Scholar] [CrossRef]
- Gao, J.W.; Wen, J.B.; He, J.G. The Research of Electrochemical Properties of Al-Mg-Sn-Ga-Bi Alloys in Alkaline Electrolyte. Adv. Mater. Res. 2013, 800, 488–491. [Google Scholar] [CrossRef]
- Li, Z.; Peng, H.; Xie, A.; Wu, C.; Kawi, S.; Wang, J. Effect of ball-milling pretreatment on microstructure and corrosion of hot-dip galvanized coating. Mater. Charact. 2022, 192, 112177. [Google Scholar] [CrossRef]
- Cheng, W.-J.; Wang, C.-J. Microstructural evolution of intermetallic layer in hot-dipped aluminide mild steel with silicon addition. Surf. Coat. Technol. 2011, 205, 4726–4731. [Google Scholar] [CrossRef]
- Alvarez-Pampliega, A.; Lamaka, S.V.; Taryba, M.G.; Madani, M.; De Strycker, J.; Tourwé, E.; Ferreira, M.G.; Terryn, H. Cut-edge corrosion study on painted aluminum rich metallic coated steel by scanning vibrating electrode and micro-potentiometric techniques. Electrochim. Acta 2012, 61, 107–117. [Google Scholar] [CrossRef]
- Li, S.; Gao, B.; Tu, G.; Hu, L.; Sun, S.; Zhu, G.; Yin, S. Effects of magnesium on the microstructure and corrosion resistance of Zn–55Al–1.6Si coating. Constr. Build. Mater. 2014, 71, 124–131. [Google Scholar] [CrossRef]
- Liu, W.; Li, M.C.; Luo, Q.; Fan, H.Q.; Zhang, J.Y.; Lu, H.S.; Chou, K.C.; Wang, X.L.; Li, Q. Influence of alloyed magnesium on the microstructure and long-term corrosion behavior of hot-dip Al–Zn–Si coating in NaCl solution. Corros. Sci. 2016, 104, 217–226. [Google Scholar] [CrossRef]
- Li, Z.; Peng, H.; Liu, Y.; Wang, J.; Su, X. Effect of Surface Micromorphology and Roughness of Iron Ingot on Microstructures of Hot-Dip Galvanized Coating. Trans. Indian Inst. Met. 2021, 75, 397–406. [Google Scholar] [CrossRef]
- Li, Z.; Ruan, R.; Xi, S.; Wang, J.; Lei, Y.; Deng, S.; Su, X.; Peng, H. The Influence of Al on the Surface Properties of the Hot-dip Galvanized Melt. J. Wuhan Univ. Technol. Mater. Sci. Ed. 2022, 37, 117–122. [Google Scholar] [CrossRef]
- Gao, C.; Gao, M.; Wang, P. Study on the Inhibitory Effect of Silicon on Steel/Aluminum Rolling Composite Interfacial Compounds. J. Shenyang Norm. Univ. Nat. Sci. Ed. 2010, 28, 185–188. [Google Scholar]
- Breslin, C.B.; Carroll, W.M. The activation of aluminium by activator elements. Corros. Sci. 1993, 35, 197–203. [Google Scholar] [CrossRef]
- Paramonov, A.V.; Adamov, A.S.; Chernetsov, V.Y. Production problems of hot dip galvanized metal structures. Metallurgist 2011, 54, 793–796. [Google Scholar] [CrossRef]
- Khalaj, G.; Khalaj, M.-J. Modeling layer thickness of duplex ceramic (chromium carbonitride) coating on cold work tool steel using fuzzy logic. J. Intell. Fuzzy Syst. 2014, 26, 2229–2237. [Google Scholar] [CrossRef]
- Khalaj, G.; Khalaj, M.-J. Application of ANFIS for modeling of layer thickness of chromium carbonitride coating. Neural Comput. Appl. 2014, 24, 685–694. [Google Scholar] [CrossRef]
- Zhang, G.; Song, R.; Liu, J.; Zhao, S.; Cai, C. Effect of Mg content on structure and corrosion behavior of novel hot-dip Al-Zn-Si-rE-Mg coatings. Mater. Lett. 2022, 328, 133098. [Google Scholar] [CrossRef]
- Takata, N.; Nishimoto, M.; Kobayashi, S.; Takeyama, M. Morphology and formation of Fe–Al intermetallic layers on iron hot-dipped in Al–Mg–Si alloy melt. Intermetallics 2014, 54, 136–142. [Google Scholar] [CrossRef]
- Birbilis, N.; Buchheit, R.G. Electrochemical Characteristics of Intermetallic Phases in Aluminum Alloys. J. Electrochem. Soc. 2005, 152, B140. [Google Scholar] [CrossRef]
- Salgueiro Azevedo, M.; Allély, C.; Ogle, K.; Volovitch, P. Corrosion mechanisms of Zn(Mg,Al) coated steel: The effect of HCO3− and NH4+ ions on the intrinsic reactivity of the coating. Electrochim. Acta 2015, 153, 159–169. [Google Scholar] [CrossRef]
- Prosek, T.; Nazarov, A.; Bexell, U.; Thierry, D.; Serak, J. Corrosion mechanism of model zinc–magnesium alloys in atmospheric conditions. Corros. Sci. 2008, 50, 2216–2231. [Google Scholar] [CrossRef]
- Diler, E.; Lescop, B.; Rioual, S.; Vien, G.N.; Thierry, D.; Rouvellou, B. Initial formation of corrosion products on pure zinc and MgZn2 examinated by XPS. Corros. Sci. 2014, 79, 83–88. [Google Scholar] [CrossRef]
- Prosek, T.; Persson, D.; Stoulil, J.; Thierry, D. Composition of corrosion products formed on Zn–Mg, Zn–Al and Zn–Al–Mg coatings in model atmospheric conditions. Corros. Sci. 2014, 86, 231–238. [Google Scholar] [CrossRef]
- Salgueiro Azevedo, M.; Allély, C.; Ogle, K.; Volovitch, P. Corrosion mechanisms of Zn(Mg, Al) coated steel in accelerated tests and natural exposure: 1. The role of electrolyte composition in the nature of corrosion products and relative corrosion rate. Corros. Sci. 2015, 90, 472–481. [Google Scholar] [CrossRef]
- Salgueiro Azevedo, M.; Allély, C.; Ogle, K.; Volovitch, P. Corrosion mechanisms of Zn(Mg,Al) coated steel: 2. The effect of Mg and Al alloying on the formation and properties of corrosion products in different electrolytes. Corros. Sci. 2015, 90, 482–490. [Google Scholar] [CrossRef]








| Chemical Composition | C | Si | Mn | S | P | Fe |
|---|---|---|---|---|---|---|
| Content, wt.% | 0.12 | 0.18 | 0.5 | 0.045 | 0.04 | Bal. |
| Zinc Alloy Bath | Phase | Composition, wt.% | |||
|---|---|---|---|---|---|
| Al | Zn | Si | Mg | ||
| Al-Zn-Si | Al rich phase | 82.1 | 10.5 | 7.4 | - |
| High Zn phase | 4.0 | 85.3 | 10.7 | - | |
| Al-Zn-Si-0.05Mg | Al rich phase | 73.1 | 20.5 | 6.4 | - |
| High Zn phase | 5.6 | 82.6 | 10.3 | 1.5 | |
| Zn-Al-MgZn2 | 5.9 | 80.4 | 0.2 | 14.5 | |
| Al-Zn-Si-0.15Mg | Al rich phase | 73.6 | 20.7 | 5.7 | - |
| High Zn phase | 6.1 | 82.0 | 10.4 | 1.5 | |
| Zn-Al-MgZn2 | 8.8 | 94.6 | 1.2 | 15.4 | |
| Mg2Si | 3.4 | 1.0 | 33.7 | 61.9 | |
| Al-Zn-Si-0.20Mg | Al rich phase | 79.3 | 10.6 | 10.1 | - |
| High Zn phase | 3.3 | 84.5 | 10.1 | 2.1 | |
| Zn-Al-MgZn2 | 2.1 | 79.7 | 0.1 | 18.1 | |
| Test Specimen | Before Corrosion (g) | After Etching (g) | Average Corrosion Rate (g/m2·h) |
|---|---|---|---|
| Al-Zn-Si | 12.6076 ± 0.0005 | 12.6168 ± 0.0004 | 0.1917 |
| Al-Zn-Si-0.05Mg | 11.1925 ± 0.0002 | 11.1989 ± 0.0006 | 0.1306 |
| Al-Zn-Si-0.15Mg | 12.6603 ± 0.0003 | 12.6626 ± 0.0005 | 0.0479 |
| Al-Zn-Si-0.20Mg | 13.3902 ± 0.0003 | 13.3933 ± 0.0005 | 0.0645 |
| Time (Day) | Ecorr (V) | Icorr (A/cm2) |
|---|---|---|
| 0 | −0.9756 | 2.0721 × 10−4 |
| 1 | −0.9770 | 1.3055 × 10−4 |
| 5 | −1.0278 | 1.1769 × 10−5 |
| 10 | −1.0036 | 5.1363 × 10−6 |
| 20 | −1.1039 | 1.1164 × 10−6 |
Disclaimer/Publisher’s Note: The statements, opinions and data contained in all publications are solely those of the individual author(s) and contributor(s) and not of MDPI and/or the editor(s). MDPI and/or the editor(s) disclaim responsibility for any injury to people or property resulting from any ideas, methods, instructions or products referred to in the content. |
© 2023 by the authors. Licensee MDPI, Basel, Switzerland. This article is an open access article distributed under the terms and conditions of the Creative Commons Attribution (CC BY) license (https://creativecommons.org/licenses/by/4.0/).
Share and Cite
Liu, Z.; Li, J.; Peng, H.; Xie, A.; Li, Z. Effect of Mg Addition on Microstructure and Sacrificial Anode Protection Performance of Hot Dip Al-5Zn-4Si-xMg Coating. Coatings 2023, 13, 1087. https://doi.org/10.3390/coatings13061087
Liu Z, Li J, Peng H, Xie A, Li Z. Effect of Mg Addition on Microstructure and Sacrificial Anode Protection Performance of Hot Dip Al-5Zn-4Si-xMg Coating. Coatings. 2023; 13(6):1087. https://doi.org/10.3390/coatings13061087
Chicago/Turabian StyleLiu, Zhaobin, Jiaxin Li, Haoping Peng, Aijun Xie, and Zhiwei Li. 2023. "Effect of Mg Addition on Microstructure and Sacrificial Anode Protection Performance of Hot Dip Al-5Zn-4Si-xMg Coating" Coatings 13, no. 6: 1087. https://doi.org/10.3390/coatings13061087
APA StyleLiu, Z., Li, J., Peng, H., Xie, A., & Li, Z. (2023). Effect of Mg Addition on Microstructure and Sacrificial Anode Protection Performance of Hot Dip Al-5Zn-4Si-xMg Coating. Coatings, 13(6), 1087. https://doi.org/10.3390/coatings13061087

