Enhancement of Dopamine Electrochemical Detection with Manganese Doped Crystalline Copper Oxide
Abstract
1. Introduction
2. Materials and Methods
2.1. Materials
2.2. Synthesis of Copper Oxide (CuO) and Manganese Doped Copper Oxide (CuO:Mn) Samples
2.3. Characterization Methods
2.4. Modification of Screen Printed Electrodes (CuO/SPE and CuO:Mn/SPE)
3. Results and Discussion
3.1. Characterization of CuO and CuO:Mn Samples
3.1.1. Structural Characterization
3.1.2. Morphological Characterization
3.1.3. Qualitative and Quantitative Characterization of CuO:Mn
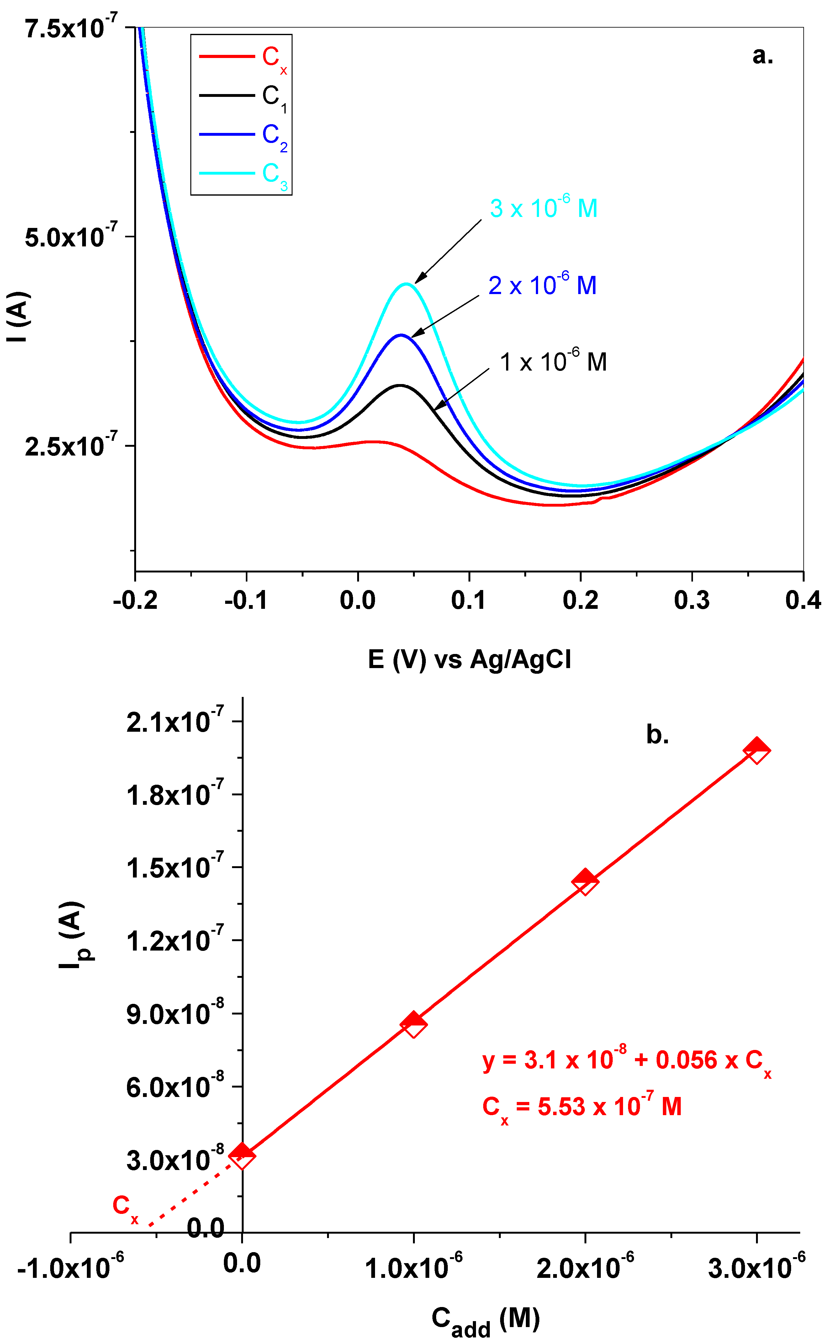
3.2. Electrochemical Detection of Dopamine
4. Conclusions
Supplementary Materials
Author Contributions
Funding
Institutional Review Board Statement
Informed Consent Statement
Data Availability Statement
Acknowledgments
Conflicts of Interest
References
- Channer, B.; Matt, S.M.; Nickoloff-Bybel, E.A.; Pappa, V.; Agarwal, Y.; Wickman, J.; Gaskill, P.J. Dopamine, Immunity and Disease. Pharmacol. Rev. 2023, 75, 618. [Google Scholar] [CrossRef] [PubMed]
- Bove, C.; Anselmi, L.; Travagli, R.A. Altered gastric tone and motility response to brain-stem dopamine in a rat model of parkinsonism. Am. J. Physiol. Gastrointest. Liver. Physiol. 2019, 317, G1–G7. [Google Scholar] [CrossRef] [PubMed]
- Bucolo, C.; Leggio, G.M.; Drago, F.; Salomone, S. Dopamine outside the brain: The eye, cardiovascular system and endocrine pancreas. Pharmacol. Ther. 2019, 203, 107392. [Google Scholar] [CrossRef] [PubMed]
- Tavares, G.; Martins, F.O.; Melo, B.F.; Matafome, P.; Conde, S.V. Peripheral Dopamine Directly Acts on Insulin-Sensitive Tissues to Regulate Insulin Signaling and Metabolic Function. Front. Pharmacol. 2021, 12, 713418. [Google Scholar] [CrossRef]
- Hou, S.; Kasner, M.L.; Su, S.; Patel, K.; Cuellari, R. Highly Sensitive and Selective Dopamine Biosensor Fabricated with Silanized Graphene. J. Phys. Chem. C 2010, 114, 14915–14921. [Google Scholar] [CrossRef]
- Dickson, D.W. Neuropathology of Parkinson disease. Parkinsonism Relat. Disord. 2018, 46 (Suppl. 1), S30–S33. [Google Scholar] [CrossRef]
- Neumann, J.; Hofmann, B.; Dhein, S.; Gergs, U. Role of Dopamine in the Heart in Health and Disease. Int. J. Mol. Sci. 2023, 24, 5042. [Google Scholar] [CrossRef]
- Klein, M.O.; Battagello, D.S.; Cardoso, A.R.; Hauser, D.N.; Bittencourt, J.C.; Correa, R.G. Dopamine: Functions, Signaling, and Association with Neurological Diseases. Cell. Mol. Neurobiol. 2019, 39, 31–59. [Google Scholar] [CrossRef]
- Vázquez-González, D.; Carreón-Trujillo, S.; Alvarez-Arellano, L.; Abarca-Merlin, D.M.; Domínguez-López, P.; Salazar-García, M.; Corona, J.C. A Potential Role for Neuroinflammation in ADHD. Adv. Exp. Med. Biol. 2023, 1411, 327–356. [Google Scholar] [CrossRef]
- Namkung, S.M.; Choi, J.S.; Park, J.H.; Yang, M.G.; Lee, M.W.; Kim, S.W. Detection of dopamine and serotonin by competitive enzyme-linked immunosorbent assay. Kor. J. Clin. Lab. Sci. 2017, 49, 220–226. [Google Scholar] [CrossRef]
- Zhao, H.-X.; Mu, H.; Bai, Y.-H.; Yu, H.; Hu, Y.-M. A rapid method for the determination of dopamine in porcine muscle by pre-column derivatization and HPLC with fluorescence detection. J. Pharmaceut. Analys. 2011, 1, 208–212. [Google Scholar] [CrossRef] [PubMed]
- Perez-Fernandez, V.; Harman, D.G.; Morley, J.W.; Cameron, M.A. Optimized Method to Quantify Dopamine Turnover in the Mammalian Retina. Anal. Chem. 2017, 89, 12276–12283. [Google Scholar] [CrossRef] [PubMed]
- Barreto, W.; Barreto, S.; Ando, R.; Santos, P.; DiMauro, E.; Jorge, T.; Raman, I.R. UV–vis and EPR characterization of two copper dioxolene complexes derived from L-dopa and dopamine. Spectrochim. Acta 2008, 71, 1419–1424. [Google Scholar] [CrossRef]
- Khattar, R.; Mathur, P. 1-(Pyridin-2-ylmethyl)-2-(3-(1-(pyridin-2-ylmethyl)benzimidazol-2-yl) propyl) benzimidazole and its copper(II) complex as a new fluorescent sensor for dopamine (4-(2-aminoethyl)benzene-1,2-diol). Inorg. Chem. Commun. 2013, 31, 37–43. [Google Scholar] [CrossRef]
- Li, H.; Li, C.; Yan, Z.; Yang, J.; Chen, H. Simultaneous monitoring multiple neurotransmitters and neuromodulators during cerebral ischemia/reperfusion in rats by microdialysis and capillary electrophoresis. J. Neurosci. Methods 2010, 189, 162–168. [Google Scholar] [CrossRef]
- Lakard, S.; Pavel, I.A.; Lakard, B. Electrochemical Biosensing of Dopamine Neurotransmitter: A Review. Biosensors 2021, 11, 179. [Google Scholar] [CrossRef]
- Magerusan, L.; Pogacean, F.; Pruneanu, S. Enhanced Acetaminophen Electrochemical Sensing Based on Nitrogen-Doped Graphene. Int. J. Mol. Sci. 2022, 23, 14866. [Google Scholar] [CrossRef]
- Tang, Z.D.; Jiang, K.; Sun, S.; Qian, S.H.; Wang, Y.H.; Lin, H.W. A conjugated carbon-dot–tyrosinase bioprobe for highly selective and sensitive detection of dopamine. Analyst 2019, 144, 468–473. [Google Scholar] [CrossRef]
- Li, Z.K.; Zheng, Y.J.; Gao, T.T.; Liu, H.; Zhang, J.; Zhou, G.W. Fabrication of biosensor based on core–shell and large void structured magnetic mesoporous microspheres immobilized with laccase for dopamine detection. J. Mater. Sci. 2018, 53, 7996–8008. [Google Scholar] [CrossRef]
- Florescu, M.; David, M. Tyrosinase-Based Biosensors for Selective Dopamine Detection. Sensors 2017, 17, 1314. [Google Scholar] [CrossRef]
- Koh, D.Y.; Kook, J.K.; Lee, S.W. Highly fluorescent oligodopamine (F-ODA) for accurate and sensitive detection of the neurotransmitter dopamine. Anal. Biochem. 2020, 591, 113571. [Google Scholar] [CrossRef] [PubMed]
- Armengaud, C.; Moisy, P.; Bedioui, F.; Devynck, J. Electrochemistry of conducting polypyrrole films containing cobalt porphyrin. J. Electroanal. Chem. 1990, 277, 197–211. [Google Scholar] [CrossRef]
- Li, X.-B.; Rahman, M.M.; Xu, G.-R.; Lee, J.-J. Highly Sensitive and Selective Detection of Dopamine at Poly(chromotrope 2B)-Modified Glassy Carbon Electrode in the Presence of Uric Acid and Ascorbic Acid. Electrochim. Acta 2015, 173, 440–447. [Google Scholar] [CrossRef]
- Uge, A.; Zeybek, D.K.; Zeybek, B. An electrochemical sensor for sensitive detection of dopamine based on MWCNTs/CeO2-PEDOT composite. J. Electroanal. Chem. 2018, 813, 134–142. [Google Scholar] [CrossRef]
- Bae, S.R.; Jeong, H.S.; Jo, S.H.; Jeon, S.W. The determination of dopamine in the presence of ascorbic acid at the modified glassy carbon electrode with phytic acid and single-walled carbon nanotubes. Bull. Korean Chem. Soc. 2007, 28, 2363–2368. [Google Scholar] [CrossRef]
- Zhang, X.J.; Zheng, J.B. High-index {hk0} facets platinum concave nanocubes loaded on multiwall carbon nanotubes and graphene oxide nanocomposite for highly sensitive simultaneous detection of dopamine and uric acid. Talanta 2020, 207, 120296. [Google Scholar] [CrossRef]
- Guo, X.; Yue, H.; Song, S.; Huang, S.; Gao, X.; Chen, H.; Wu, P.; Zhang, T.; Wang, Z. Simultaneous electrochemical determination of dopamine and uric acid based on MoS2 nanoflowers-graphene/ITO electrode. Microchem. J. 2020, 154, 104527. [Google Scholar] [CrossRef]
- Yu, G.; Xia, J.; Zhang, F.; Wang, Z. Hierarchical and hybrid RGO/ZIF-8 nanocomposite as electrochemical sensor for ultrasensitive determination of dopamine. J. Electroanal. Chem. 2017, 801, 496–502. [Google Scholar] [CrossRef]
- Kim, D.S.; Kang, E.S.; Baek, S.; Choo, S.-S.; Chung, Y.-H.; Lee, D.; Min, Y.; Kim, T.-H. Electrochemical detection of dopamine using periodic cylindrical gold nanoelectrode arrays. Sci. Rep. 2018, 8, 14049. [Google Scholar] [CrossRef]
- Fredj, Z.; Sawan, M. Advanced Nanomaterials-Based Electrochemical Biosensors for Catecholamines Detection: Challenges and Trends. Biosensors 2023, 13, 211. [Google Scholar] [CrossRef]
- Decarli, N.O.; Zapp, E.; Silveira de Souza, B.; Santana, E.R.; Winiarski, J.P.; Cruz Vieira, I. Biosensor based on laccase-halloysite nanotube and imidazolium zwitterionic surfactant for dopamine determination. Biochem. Eng. J. 2022, 186, 108565. [Google Scholar] [CrossRef]
- Pimpilova, M.; Kamarska, K.; Dimcheva, N. Biosensing Dopamine and L-Epinephrine with Laccase (Trametes pubescens) Immobilized on a Gold Modified Electrode. Biosensors 2022, 12, 719. [Google Scholar] [CrossRef]
- Álvarez-Martos, I.; Ferapontova, E.E. Electrochemical Label-Free Aptasensor for Specific Analysis of Dopamine in Serum in the Presence of Structurally Related Neurotransmitters. Anal. Chem. 2016, 88, 3608–3616. [Google Scholar] [CrossRef] [PubMed]
- Molinnus, D.; Hardt, G.; Käver, L.; Willenberg, H.S.; Poghossian, A.; Keusgen, M.; Schöning, M.J. Detection of Adrenaline Based on Bioelectrocatalytical System to Support Tumor Diagnostic Technology. Proceedings 2017, 1, 506. [Google Scholar] [CrossRef]
- Josypčuk, O.; Barek, J.; Josypčuk, B. Amperometric Determination of Catecholamines by Enzymatic Biosensors in Flow Systems. Electroanalysis 2018, 30, 1163–1171. [Google Scholar] [CrossRef]
- Winiarski, J.P.; Ferreira Tavares, B.; De Fátima Ulbrich, K.; De Campos, C.E.M.; Souza, A.A.U.; Guelli, U.; Souza, S.M.A.; Jost, C.L. Development of a multianalyte electrochemical sensor for depression biomarkers based on a waste of the steel industry for a sustainable and one-step electrode modification. Microchem. J. 2022, 175, 107141. [Google Scholar] [CrossRef]
- Yang, W.; Yu, Y.; Tang, Y.; Li, K.; Zhao, Z.; Li, M.; Yin, G.; Li, H.; Sun, S. Enhancing electrochemical detection of dopamine via dumbbell-like FePt-Fe3O4 nanoparticles. Nanoscale 2017, 9, 1022–1027. [Google Scholar] [CrossRef] [PubMed]
- Huang, Y.; Zhang, Y.; Liu, D.; Li, M.; Yu, Y.; Yang, W.; Li, H. Facile synthesis of highly ordered mesoporous Fe3O4 with ultrasensitive detection of dopamine. Talanta 2019, 201, 511–518. [Google Scholar] [CrossRef]
- Huang, Y.; Tang, Y.; Xu, S.; Feng, M.; Yu, Y.; Yang, W.; Li, H. A highly sensitive sensor based on ordered mesoporous ZnFe2O4 for electrochemical detection of dopamine. Anal. Chim. Acta. 2020, 1096, 26–33. [Google Scholar] [CrossRef]
- Fernandes, D.M.; Costa, M.; Pereira, C.; Bachiller-Baeza, B.; Rodríguez-Ramos, I.; Guerrero-Ruiz, A.; Freire, C. Novel electrochemical sensor based on N-doped carbon nanotubes and Fe3O4 nanoparticles: Simultaneous voltammetric determination of ascorbic acid, dopamine and uric acid. J. Colloid Interface Sci. 2014, 432, 207–213. [Google Scholar] [CrossRef]
- Sato, N.; Haruta, M.; Ohta, Y.; Sasagawa, K.; Ohta, J.; Pewnim, N.; Jongprateep, O. Fe2O3/MWCNTs modified microdialysis electrode for dopamine detection. Mater. Res. Express 2020, 7, 015701. [Google Scholar] [CrossRef]
- Intan, R.S.; Novi, A.; Tae, K.H. Nanomaterial-modified Hybrid Platforms for Precise Electrochemical Detection of Dopamine. BioChip J. 2019, 13, 20–29. [Google Scholar] [CrossRef]
- Swamy, B.K.; Shiprath, K.; Ratnam, K.V.; Manjunatha, H.; Janardan, S.; Ratnamala, A.; Babu Naidu, K.C.; Ramesh, S.; Suresh Babu, K. Electrochemical Detection of Dopamine and Tyrosine using Metal oxide (MO, M=Cu and Ni) Modified Graphite Electrode: A Comparative Study. Biointerface Res. Appl. Chem. 2020, 10, 6460–6473. [Google Scholar] [CrossRef]
- Zhang, H.; Zhu, Q.; Zhang, Y. One-pot synthesis and hierarchical assembly of hollow Cu2O microspheres with nanocrystals-composed porous multishell and their gas-sensingproperties. Adv. Funct. Mater. 2007, 17, 2766–2771. [Google Scholar] [CrossRef]
- Zhang, J.; Liu, J.; Peng, Q. Nearly monodisperse Cu2O and CuO nanospheres: Preparation and applications for sensitive gas sensors. Chem. Mater. 2006, 18, 867–871. [Google Scholar] [CrossRef]
- Xu, F.; Deng, M.; Li, G.; Chen, S.; Wang, L. Electrochemical behavior of cuperos oxide—Reduced grapheme oxide nanocomposite and their application in nonenzymatic hydrogen peroxide sensing. Electrochim. Acta 2013, 88, 59–65. [Google Scholar] [CrossRef]
- Miao, X.M.; Yuan, R.; Chai, Y.Q.; Shi, Y.T.; Yuan, Y.Y. Direct electrocatalitic reduction of hydrogen peroxide on Nafion and copper oxide nanoparticles modified Pt electrode. J. Electroanal. Chem. 2008, 612, 157–163. [Google Scholar] [CrossRef]
- Song, H.; Ni, Y.; Kokot, S. A novel electrochemical sensor based on the copper-doped copper oxide nano-particles for the analysis of hydrogen peroxide. Colloids Surf. A Eng. Asp. 2015, 465, 153–158. [Google Scholar] [CrossRef]
- He, G.-W.; Jiang, J.-Q.; Wu, D.; You, Y.-L.; Yang, X.; Wu, F.; Hu, Y.-J. A novel nonenzymatic hydrogen peroxide electrochemical sensor based on facile synthesis of copper oxide nanoparticles dopping into grapheme sheets @ cerium oxide nanocomposites sensitized screen printed electrode. Int. J. Electrochem. Sci. 2016, 11, 8486–8498. [Google Scholar] [CrossRef]
- Alizadeh, T.; Mirzagholipur, S. Anafion-free non-enzymatic amperometric glucose sensor based on copper oxide nanoparticles—Grapheme nanocomposite. Sens. Actuators B Chem. 2014, 198, 438–477. [Google Scholar] [CrossRef]
- Dhara, K.; Thiagarajan, R.; Nair, B.G. Highly sensitive and wide-range nonenzymatic disposable glucose sensor based on a screen printed carbon electrode modified with reduced grapheme oxide and Pd-CuO nanoparticles. Microchim. Acta 2015, 182, 2183–2192. [Google Scholar] [CrossRef]
- Yan, X.; Yang, J.; Ma, L.; Tong, X.; Wang, Y.; Jin, G.; Guo, X.Y. Size-controlled synthesis of Cu2O nanoparticles on reduced grapheme oxide sheets and their application as non-enzymatic glucose sensor materials. J. Solid State Electrochem. 2015, 19, 3195–3199. [Google Scholar] [CrossRef]
- Harris, P.A.; Taylor, R.; Minor, B.L.; Elliott, V.; Fernandez, M.; O’Neal, L.; McLeod, L.; Delacqua, G.; Delacqua, F.; Kirby, J.; et al. Highly selective and sensitive determination of dopamine by the novel molecularly imprinted poly (nicotinamide)/CuO nanoparticles modified electrode. Biosens. Bioelectron. 2015, 67, 121–128. [Google Scholar] [CrossRef]
- Reddy, S.; Swamy, B.E.K.; Jayadevappa, H. CuO nanoparticle sensor for the electrochemical determination of dopamine. Electrochim. Acta 2012, 61, 78–86. [Google Scholar] [CrossRef]
- Li, H.; Ye, L.; Wang, Y.; Xie, C. A glassy carbon electrode modified with hollow cubic cuperous oxide for voltammetric sensing of L-cysteine. Microchim. Acta 2018, 185, 5. [Google Scholar] [CrossRef]
- Gu, W.; Wang, M.; Mao, X.; Wang, Y.; Li, L.; Xia, W. A facile sensitive L-tyrosine electrochemical sensor based on coupled CuO/Cu2O nanoparticles and multi-walled carbon nanotubes nanocomposite film. Anal. Methods 2015, 7, 1313–1320. [Google Scholar] [CrossRef]
- Zhou, S.; Wei, D.; Shi, H.; Feng, X.; Xue, K.; Zhang, F.; Song, W. Sodium dodecyl benzene sulfonate functionalized grapheme for confined electrochemical growth of metal/oxide nanocomposites for sensing application. Talanta 2013, 107, 349–355. [Google Scholar] [CrossRef] [PubMed]
- Khoshhesab, Z.M. Simultaneous electrochemical determination of acetaminophen, caffeine and ascorbic acid using a new electrochemical sensor based on CuO-graphene nanocomposite. RSC. Adv. 2015, 5, 95140–95148. [Google Scholar] [CrossRef]
- Pana, O.; Leostean, C.; Soran, M.L.; Stefan, M.; Macavei, S.; Gutoiu, S.; Pop, V.; Chauvet, O. Synthesis and characterization of Fe-Pt based multi-shell magnetic nanoparticles. J. Alloy. Comp. 2013, 574, 477–485. [Google Scholar] [CrossRef]
- Macavei, S.; Toloman, D.; Stefan, M.; Popa, A.; Barbu-Tudoran, L.; Grosan, L.; Suciu, R.; Pana, O.; Balan, R. Characterization of Cu2ZnSnS4 Thin Film Deposited by Pulse Laser Deposition. In Proceedings of the 11th International Conference of Processes In Isotopes and Molecules, Cluj-Napoca, Romania, 27–29 September 2017; Volume 1917, p. 040010. [Google Scholar] [CrossRef]
- Stefan, M.; Pana, O.; Leostean, C.; Popa, A.; Toloman, D.; Macavei, S.; Lazar, D.; Barbu-Tudoran, L. Morpho-structural and photocatalytic properties of SnO2 nanoparticles. Stud. UBB Chem. 2019, 3, 99–109. [Google Scholar] [CrossRef]
- Sonia, S.; Jose Annsi, I.; Kumar, P.S.; Mangalaraj, D.; Viswanathan, C.; Ponpandian, N. Hydrothermal synthesis of novel Zn doped CuO nanoflowers as an efficient photodegradation material for textile dyes. Mater Lett. 2015, 144, 127–130. [Google Scholar] [CrossRef]
- Yildiz, A.; Horzum, S.; Serin, N.; Serin, T. Hopping conduction in In-doped CuO thin films. Appl. Surf. Sci. 2014, 318, 105–107. [Google Scholar] [CrossRef]
- Gao, W.L.; Yang, S.H.; Yang, S.g.; Lv, L.Y.; Du, Y.W. Synthesis and magnetic properties of Mn doped CuO. Phys. Lett. A 2010, 375, 180–182. [Google Scholar] [CrossRef]
- Mahomed Basith, N.; Judith Vijaya, J.; John Kennedy, L.; Bououdina, M. Structural, optical and room temperature ferromagnetic properties of Fe-doped CuO nanostructures. Phys. E Low-Dimens. Syst. Nanostructures 2013, 53, 193–199. [Google Scholar] [CrossRef]
- Mahomed Basith, N.; Judith Vijaya, J.; John Kennedy, L.; Bououdina, M. Structural, morphological, optical, and magnetic properties of Ni-doped CuO nanostructures prepared by rapid microwave combustion method. Mater. Sci. Semicond. Process. 2014, 17, 110–118. [Google Scholar] [CrossRef]
- Khalid, A.; Ahmad, P.; Alharthi, A.I.; Muhammad, S.; Khandaker, M.U.; Rehman, M.; Faruque, M.R.I.; Din, I.U.; Alotaibi, M.A.; Alzimami, K.; et al. Structural, Optical, and Antibacterial Efficacy of Pure and Zinc-Doped Copper Oxide Against Pathogenic Bacteria. Nanomaterials 2021, 11, 451. [Google Scholar] [CrossRef]
- Popa, A.; Stefan, M.; Toloman, D.; Pana, O.; Mesaros, A.; Leostean, C.; Macavei, S.; Marincas, O.; Suciu, R.; Barbu-Tudoran, L. Fe3O4-TiO2: Gd nanoparticles with enhanced photocatalytic activity and magnetic recyclability. Powder Technol. 2018, 325, 441–451. [Google Scholar] [CrossRef]
- Biesinger, M.C. Advanced analysis of copper X-ray photoelectron spectra. Surf. Interface Anal. 2017, 49, 1325–1334. [Google Scholar] [CrossRef]
- Chawla, S.K.; Sankarraman, N.; Payer, J.H. Diagnostic spectra for XPS analysis of Cu-O-S-H compounds. J. Electron Spectrosc. Relat. Phenom. 1992, 61, 1–18. [Google Scholar] [CrossRef]
- Ghijsen, J.; Tjeng, L.H.; Van Elp, J.; Eskes, H.; Westerink, J.; Sawatzky, G.A. Electronic structure of Cu2O and CuO. Phys. Rev. B 1988, 38, 11322–11330. [Google Scholar] [CrossRef]
- Svintsitskiy, D.A.; Kardash, T.Y.; Stonkus, O.A.; Slavinskaya, E.M.; Stadnichenko, A.I.; Koscheev, S.V.; Chupakhin, A.P.; Boronin, A.I. In Situ XRD, XPS, TEM, and TPR Study of Highly Active in CO Oxidation CuO Nanopowders. J. Phys. Chem. C 2013, 117, 14588–14599. [Google Scholar] [CrossRef]
- Piero, Z. Inorganic Electrochemistry Theory, Practice and Application; Royal Society of Chemistry: London, UK, 2003. [Google Scholar]
- Jin, H.; Zhao, C.Q.; Gui, R.J.; Gao, X.H.; Wang, Z.H. Reduced graphene oxide/nile blue/gold nanoparticles complex-modified glassy carbon electrode used as a sensitive and label-free aptasensor for ratiometric electrochemical sensing of dopamine. Anal. Chim. Acta. 2018, 1025, 154–162. [Google Scholar] [CrossRef]
- Xu, Y.Q.; Hun, X.; Liu, F.; Wen, X.L.; Luo, X.L. Aptamer biosensor for dopamine based on a gold electrode modified with carbon nanoparticles and thionine labeled gold nanoparticles as probe. Microchim. Acta 2015, 182, 1797–1802. [Google Scholar] [CrossRef]
- Wang, W.; Xu, G.; Cui, X.T.; Sheng, G.; Luo, X. Enhanced catalytic and dopamine sensing properties of electrochemically reduced conducting polymer nanocomposite doped with pure graphene oxide. Biosens. Bioelectron. 2014, 58, 153–156. [Google Scholar] [CrossRef]
- Weaver, C.L.; Li, H.; Luo, X.; Cui, X.T. A graphene oxide/conducting polymer nanocomposite for electrochemical dopamine detection: Origin of improved sensitivity and specificity. J. Mater. Chem. B 2014, 2, 5209–5219. [Google Scholar] [CrossRef]
- Huang, Y.; Miao, Y.E.; Ji, S.; Tjiu, W.W.; Liu, T. Electrospun carbon nanofibers decorated with Ag-Pt bimetallic nanoparticles for selective detection of dopamine. ACS Appl. Mater. Interfaces 2014, 6, 12449–12456. [Google Scholar] [CrossRef] [PubMed]
- Palanisamy, S.; Ku, S.H.; Chen, S.M. Dopamine Sensor Based on a Glassy Carbon Electrode Modified with a Reduced Graphene Oxide and Palladium Nanoparticles Composite. Microchim. Acta 2013, 180, 1037–1042. [Google Scholar] [CrossRef]
- Zhang, F.; Li, Y.; Gu, Y.; Wang, Z.; Wang, C. One-pot solvothermal synthesis of a Cu2O/graphene nanocomposite and its application in an electrochemical sensor for dopamine. Microchim. Acta 2011, 173, 103–109. [Google Scholar] [CrossRef]
- Zeng, Y.; Zhou, Y.; Kong, L.; Zhou, T.; Shi, G. A novel composite of SiO2 -coated graphene oxide and molecularly imprinted polymers for electrochemical sensing dopamine. Biosens. Bioelectron. 2013, 45, 25–33. [Google Scholar] [CrossRef] [PubMed]
- He, Q.; Liu, J.; Liu, X.; Li, G.; Chen, D.; Deng, P.; Liang, J. A Promising Sensing Platform toward Dopamine Using MnO2 Nanowires/Electro-Reduced Graphene Oxide Composites. Electrochim. Acta 2019, 296, 683–692. [Google Scholar] [CrossRef]
- Reddy, S.; Swamy, B.E.K.; Chandrashekar, B.N.; Chitravathi, S.; Jayadevappa, H. Cationic surfactants–assisted synthesis of ZnO nanoparticles and their modified carbon paste electrode for electrochemical investigation of dopamine. Anal. Bioanal. Electrochem. 2012, 4, 186–196. [Google Scholar]
- Yang, B.; Wang, J.; Duan, B.; Zhu, M.; Yang, P.; Du, Y. A three dimensional Pt nanodendrite/graphene/MnO2 nanoflower modified electrode for the sensitive and selective detection of dopamine. J. Mater. Chem. B 2015, 3, 7440–7448. [Google Scholar] [CrossRef] [PubMed]















| Modified Electrode | Linear Range (µM) | LOD (nM) | Reference |
|---|---|---|---|
| DNA aptamer-GO/nile blue/GCE DNA aptamer-GO/nile blue—reduced graphene oxide/nile blue/gold nanoparticles complex GCE—glassy carbon electrode | 0.01–200 | 1 | [74] |
| Thionin/AuNPs/CNPs/Au Thionin/AuNPs/CNPs—carbon nanoparticles (CNPs) coupled to thionine labeled gold nanoparticles (AuNPs) Au—gold electrode | 30–3000 | 10 | [75] |
| Electrodeposited PEDOT/GO/GCE Electrodeposited PEDOT/GO —nanocomposite composed of conducting polymer poly (3,4-ethylenedioxythiophene) (PEDOT) doped with graphene oxide (GO) GCE—glassy carbon electrode | 0.1–175 | 39 | [76] |
| GO/PEDOT/GCE GO/PEDOT—nanocomposite of poly(3,4-ethylendioxythiophene) (PEDOT) doped with GO nanosheets GCEglassy carbon electrode | 1–40 | 83 | [77] |
| Ag-Pt/pCNFs/GCE Ag-Pt/pCN—Fs—electrospun nanoporous carbon nanofibers (pCNFs) decorated with Ag–Pt bimetallic nanoparticles GCE—glassy carbon electrode | 10–500 | 110 | [78] |
| RGO/Pd-NPs/GCE RGO/Pd-NPs—nanocomposite containing electrochemically reduced graphene oxide (RGO) and palladium nanoparticles (Pd-NPs) GCE—glassy carbon electrode | 1–150 | 233 | [79] |
| Cu2O/Graphene/GCE Cu2O/graphene—nanocomposites composed of cuprous oxide (Cu2O) and graphene GCE—glassy carbon electrode | 0.1–10 | 10 | [80] |
| GO/SiO2-MIPs/GCE GO/SiO2-MIPs—composite of SiO2 -coated GO and molecularly imprinted polymers γ- methacryloxypropyl trimethoxysilane GCE—glassy carbon electrode | 0.05–160 | 30 | [81] |
| MnO2 NWs/ERGO/GCE MnO2 NWs/ERGO—MnO2 nanowires-electrochemically reduced graphene oxide GCE—glassy carbon electrode | 0.01–0.10 | 1 | [82] |
| ZnO/CPE ZnO—zinc oxide nanoparticles CPE—carbon paste electrode | 0.1–20 | 30 | [83] |
| CuO/CPE CuO—copper (II) oxide nanoparticles CPE—carbon paste electrode | 0.1–10 | 10 | [54] |
| 3D Pt/RGO/MnO2/GCE 3D Pt/RGO/MnO2—three dimensional (3D) ternary Pt nanodendrite/reduced graphene oxide/MnO2 nanoflower GCE—glassy carbon electrode | 1.5–215.56 | 100 | [84] |
| CuO:Mn/SPE | 0.1–1 1–100 | 30.3 | current work |
Disclaimer/Publisher’s Note: The statements, opinions and data contained in all publications are solely those of the individual author(s) and contributor(s) and not of MDPI and/or the editor(s). MDPI and/or the editor(s) disclaim responsibility for any injury to people or property resulting from any ideas, methods, instructions or products referred to in the content. |
© 2023 by the authors. Licensee MDPI, Basel, Switzerland. This article is an open access article distributed under the terms and conditions of the Creative Commons Attribution (CC BY) license (https://creativecommons.org/licenses/by/4.0/).
Share and Cite
Guţoiu, S.; Pogăcean, F.; Măgeruşan, L.; Miclăuş, M.O.; Grad, O.; Pană, I.-O.; Pruneanu, S. Enhancement of Dopamine Electrochemical Detection with Manganese Doped Crystalline Copper Oxide. Coatings 2023, 13, 1014. https://doi.org/10.3390/coatings13061014
Guţoiu S, Pogăcean F, Măgeruşan L, Miclăuş MO, Grad O, Pană I-O, Pruneanu S. Enhancement of Dopamine Electrochemical Detection with Manganese Doped Crystalline Copper Oxide. Coatings. 2023; 13(6):1014. https://doi.org/10.3390/coatings13061014
Chicago/Turabian StyleGuţoiu, Simona, Florina Pogăcean, Lidia Măgeruşan, Maria Olimpia Miclăuş, Oana Grad, Ioan-Ovidiu Pană, and Stela Pruneanu. 2023. "Enhancement of Dopamine Electrochemical Detection with Manganese Doped Crystalline Copper Oxide" Coatings 13, no. 6: 1014. https://doi.org/10.3390/coatings13061014
APA StyleGuţoiu, S., Pogăcean, F., Măgeruşan, L., Miclăuş, M. O., Grad, O., Pană, I.-O., & Pruneanu, S. (2023). Enhancement of Dopamine Electrochemical Detection with Manganese Doped Crystalline Copper Oxide. Coatings, 13(6), 1014. https://doi.org/10.3390/coatings13061014

