Next Article in Journal
Switchable Dual-Function Terahertz Metamaterial Device Based on Vanadium Dioxide
Previous Article in Journal
Synthesis of Polycrystalline Diamond Films in Microwave Plasma at Ultrahigh Concentrations of Methane
 
 
Font Type:
Arial Georgia Verdana
Font Size:
Aa Aa Aa
Line Spacing:
Column Width:
Background:
Article

Wood Cutting Board Finishes and Their Effect on Bacterial Growth

by
Sarath M. Vega Gutierrez
1,
Patricia T. Vega Gutierrez
1,
Joy Waite-Cusic
2 and
Seri C. Robinson
1,*
1
Department of Wood Science & Engineering, College of Forestry, Oregon State University, Corvallis, OR 97331, USA
2
Department of Food Science & Technology, College of Agricultural Sciences, Oregon State University, Corvallis, OR 97331, USA
*
Author to whom correspondence should be addressed.
Coatings 2023, 13(4), 752; https://doi.org/10.3390/coatings13040752
Submission received: 7 March 2023 / Revised: 1 April 2023 / Accepted: 6 April 2023 / Published: 8 April 2023
(This article belongs to the Special Issue Coatings for Timber and Wood-Based Material)

Abstract

Although wooden cutting boards have been used for centuries, debate remains on how best to coat/seal the boards for microbial protection. A growing body of the literature points to the hygroscopicity of wood—its ability to draw water and bacteria from its surface, deep into the wood, where the bacteria are trapped and die—as the wood attempts to even out its moisture content. There is little research as to how coatings affect this mechanism. In this study, four wood species were coated with either a hardening or nonhardening oil and then, were inoculated with either Listeria or Salmonella, then ‘stamped’ onto sterile agar plates at given time intervals to check microbial growth. The coated woods had significantly more recoverable bacteria on their surface than did the uncoated samples. There was no significant difference in performance between the oils. Remaining bacterial loads did vary significantly by wood species, with European beech having significantly less surface bacteria when inoculated with Salmonella, and the oak species having significantly less surface bacteria with Listeria. Multiple factors appeared to affect the ability of wood to move bacteria from its surface, including porosity of the wood, type of bacteria applied, and time. These results run counter to popular understanding of wood cutting board maintenance and will hopefully impact the way households and professional kitchens use and care for their food-contact wood in the future.

1. Introduction

From building materials to kitchenware, wood was present in households since the start of human civilization. Its abundance and ease of workability make it an easy choice for everyday items such as cutting boards and cooking spoons. That wood persisted in the kitchen despite the advent of modern materials such as plastic, which is likely due to its unique physical-mechanical properties which are directly linked to wood’s microanatomy.
At the most basic level, dichot wood can be broken down into softwoods (angiosperms) and hardwoods (gymnosperms). Softwoods possess mainly tracheids as vertical elements, while hardwoods have vessels and fibers. What these elements have in common is a lumen (hollow space) and a straw-like shape. While the tree is alive, tracheids (softwoods) and vessels (hardwoods) perform an important role—their shapes are optimized for water flow within the trunk via capillary action. This characteristic is also present when the lumber is kiln-dried and one of the reasons why wood is considered a hygroscopic material, as the lumen contains a high number of hydroxyl groups (-OH) that bond easily to water molecules. In addition, wood is constantly absorbing and losing water into the atmosphere as it equilibrates its internal moisture content with the surrounding air.
Usually, when wood is used in the household, a coating (finish) is utilized to slow the absorption of water (vapor or liquid) into the material, minimizing dimensional change. Coatings are common on furniture and flooring, and increasingly in cookware such as cooking spoons and butcher block boards/cutting boards. This trend was aided by the increase in ‘specialized’ finishes marketed for such applications, which often promise to keep wood cutting boards from cracking (which occurs usually only when a board has been improperly washed via extended submersion) and to keep ‘harmful bacteria’ from being absorbed into the wood. Kitchen tools, in general, are exposed to a wide array of bacteria that are natural members of the microbiota of diverse food types, but also may contact foodborne pathogenic bacteria, such as Shiga toxin-producing Escherichia coli (STEC), Salmonella enterica, and Listeria monocytogenes.
Cutting boards are a common surface used to cut many of these food items. After the cutting boards are washed, which introduces liquid water onto what is likely a dry piece of wood, the wood pulls the water into the wood, and the bacteria along with it, as it equilibrates the moisture. This keeps the surface of the wood clean, and the bacteria remain trapped inside the board, where they eventually die [1,2,3,4]. This remains true no matter how scarred the wooden board becomes over time, the same of which is not true of plastic boards.
There is very little research on wood cutting boards and their movement of bacteria, with most of the available research coming from a single research group. Other studies that compared wood to plastic boards did not consider wood anatomy or the mechanics of the moment. There were studies on wood’s ability to move bacteria outside of cutting boards, with a prominent example being oak’s use in healthcare facilities [5]; however, this deals with a different type of bacteria and environment. To make matters more difficult, there is little to no literature on the role of finishes/coatings on cutting boards, and how this might affect bacterial movement [6]. Many research articles that tested wood cutting boards against plastic boards did not note if any coating was on the wood at all, leaving the reader to infer the wood was raw. It is reasonable to infer that blocking the vessels and tracheids of wood would slow or inhibit bacterial absorption, giving the board properties closer to plastic boards, wherein the bacteria must be physically washed away [7]. This can be seen to a lesser extent in studies that used bacteria carried in chicken broth, as the fat in the broth was shown to inhibit wood absorption of the bacteria, leaving more recoverable bacteria on the wood surface [7]. Whether finishing cutting boards is actually any safer than raw wood cutting boards is unknown, as the aforementioned study noted that washing any board with soap and water removed the bacteria sufficiently, regardless of material. One of the few studies that did explore how plant-based coatings affect wood-in-use and bacterial growth was tied to instruments (Tran-Ly et al. 2022), but was tied more to the role of fungal melanin. Another recent study investigated how coatings encourage bacterial growth on wood, specifically wood furniture, and found linseed oil the worst offender (Bohinic et al. 2019).
In order to begin to answer the question of whether it is reasonable to coat wood cutting boards for use in the home kitchen, this study focused on the effect of two coatings on the capillarity of wooden cutting boards, in an attempt to determine if coatings affect the recovery of bacteria from the surface of different wood species. Results from this study can be used to guide appropriate cutting board care to reduce the risk of survival and cross-contamination of foodborne pathogens on wooden butcher blocks and cutting boards and will hopefully serve as a springboard for future research.

2. Materials and Methods

2.1. Wood

Four different woods were selected based upon their differential anatomy and use in kitchenware (utensils, butcherblocks, and cutting boards) (Figure 1), as well as their low extractive load (pale, white woods). Kiln-dried European beech sapwood (Fagus sylvatica L.), sugar maple sapwood (Acer saccharum Marshall), red oak heartwood (Quercus rubra L.), and white oak heartwood (Quercus alba L.) were milled to 4.5 × 4.5 × 2 cm with the tangential face on the broad side (Bell Forest Products, Ishpeming, MI, USA). This sizing maximized the amount of wood that would fit on a standard size Petri dish (100 mm diameter) (Fischer Scientific, Waltham, MA, USA). Sapwood versus heartwood choices were made based upon the most common usage of the wood.

2.2. Coating of Wood Samples

Wood samples were autoclaved (121 °C, 50 min) and conditioned to 12% MC in autoclave bags prior to coating. Wood samples were randomly assigned to three groups: (i) raw (unfinished), (ii) finished with one or five coats of pure raw linseed oil (Sunnyside Corp. Wheeling, IL, USA), (iii) finished with either one of five coats of pure food grade mineral oil (Bluewater Chemgroup, Plantation, FL, USA). Each oil was applied using a sterile 5.08 cm paint brush (#2 Utility Paint Brush, Home Depot, Atlanta, GA, USA) to cover the surface of the samples, following manufacturer instructions. For the samples treated with oil, the coat(s) was/were applied to the samples and they were left to dry under ambient conditions for 48 h.
It was not possible to sterilize the oil coatings in either UV-light or autoclave, as it would have modified the properties of the coatings. To determine that they were not contaminated with other organisms, 2 mL of each oil were plated onto Tryptic Soy Agar (TSA) (NutriSelect Plus, Sigma Aldrich, St. Louis, MO, USA) and incubated at 21 °C for 48 h. The plates were evaluated at 24 and 48 h to confirm absence of bacteria or fungi in the coatings. The coating application was carried out in a sterile environment to prevent contamination.

2.3. Bacterial Cultures, Inoculation, and Microbial Analysis

Non-pathogenic surrogate bacteria Salmonella Typhimurium ATCC 53648 and Listeria innocua ATCC 33090 were individually cultured in Tryptic Soy Broth (TSB) (NutriSelect Plus, Sigma Aldrich, St. Louis, MO, USA) at ambient temperature (21 °C) for 24 h. This culture was serially diluted in 0.84% saline solution to achieve a cell density of 2 log CFU/mL which served as the inoculum for wood treatment experiments.
A 1 mL aliquot of the inoculum was delivered by pipette to the center of each wood piece. The inoculum was then spread across the surface of the wood using the pipette so it would be well distributed. Inoculated wood samples (n = 12/wood species/surface treatment) were randomized for analysis at three timepoints: T0 (immediate; after the solution had absorbed—approximately 1 min), T1 (1 h after inoculation), and T24 (24 h after inoculation). Bacteria remaining on the surface of the wood sample were recovered by inverting the wood sample onto the surface of a TSA plate. The wood samples were removed after 30 s and the plates were closed and incubated at 21 °C for 24 h prior to enumeration. Four replicates of each combination of time, bacteria, wood species, and coating treatment were analyzed. Unique wood samples were used for each analysis; no wood block was inoculated or analyzed more than once (see Supplemental Figures S1–S3).

2.4. Statistical Evaluation

A mixed model ANOVA using Tukey’s HSD test as the post hoc were performed using the log10 conversion of the number of colonies recovered per wood sample as the dependent variable. Wood samples with no detectable colonies (0 CFU/sample) were scored as 0.5 CFU/sample (half the value of the detection limit) prior to log10 conversion for graphical visualization and statistical analysis. Microorganism, wood species, surface treatment, and time as independent variables. Fisher’s exact tests were used to compare the qualitative recovery of bacteria from wood treatments with comparison to their respective control (Table 1). Statistical analyses were performed using JMP Pro 16.0.0 software.

3. Results

Samples with five coats of either linseed or mineral oil were not able to absorb the bacterial solution, which merely ran off the sample. As such, these samples were removed from the analysis.
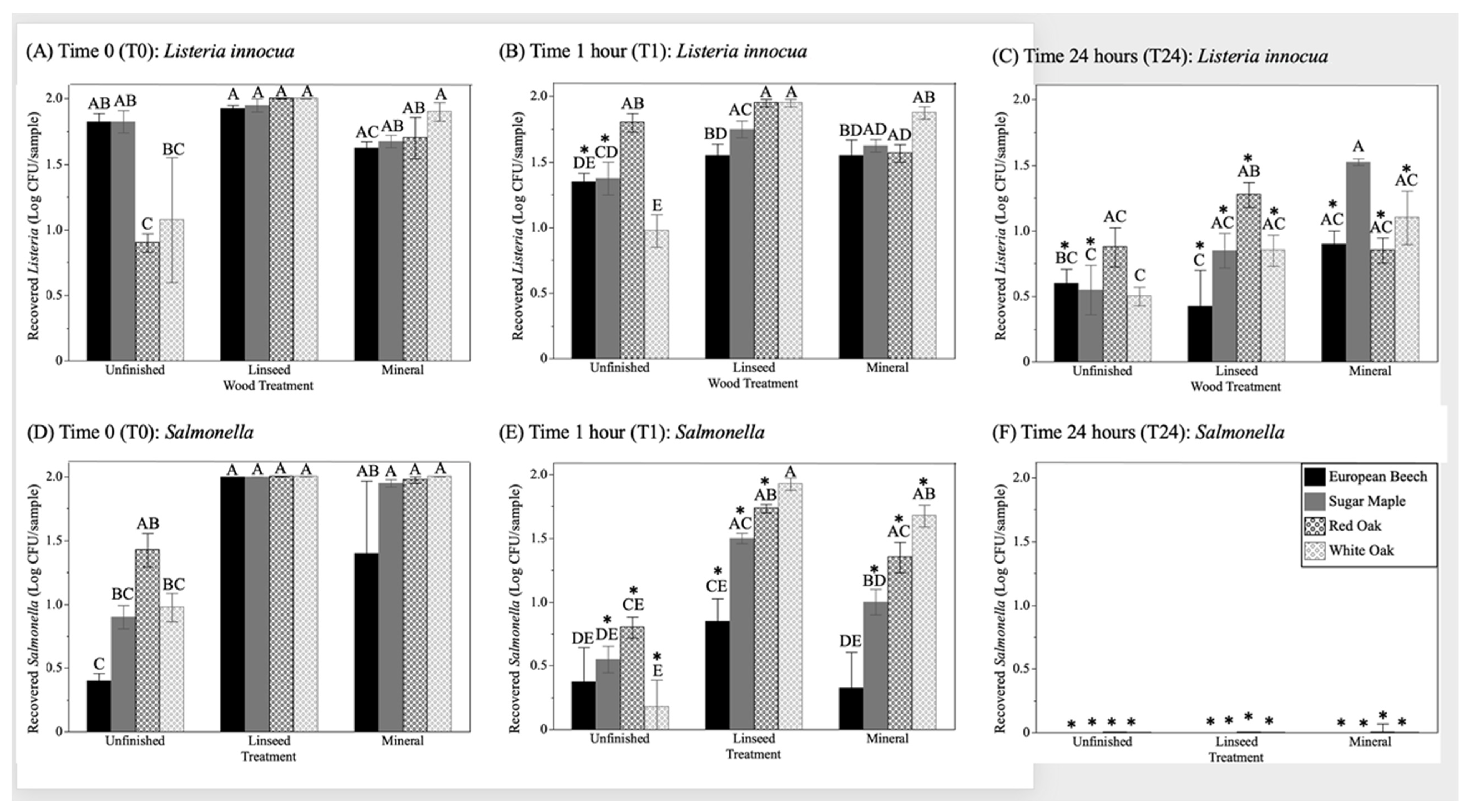
Quantitative recovery of Listeria and Salmonella from wood samples of different surface treatments are shown in Figure 2. Wood species (p = 0.0006), wood surface treatment (untreated, linseed oil, mineral oil) (p <0.0001), and time (p <0.0001) had statistically significant impacts on the recovery of inoculated bacteria from wood samples. Significantly lower recovery of bacteria were for European beech samples, whereas all other wood species were comparable across the study. The application of an oil coating (either linseed or mineral) resulted in significantly higher levels of bacterial recovery from the wood surface compared to untreated wood (p < 0.0001). Bacterial recovery significantly decreased with increasing time since inoculation (p < 0.0001). Listeria and Salmonella differed significantly in recovery across the experiment with Listeria having significantly higher recovery compared to Salmonella across the experimental design (p < 0.0001).
Bacterial recovery from wood samples immediately after inoculation (T0) and drying (T0) varied significantly depending on the wood species and surface treatment for both Listeria (Figure 2A) and Salmonella (Figure 2D). For both bacteria, the highest levels of recovery (~100% of inoculum) were, for wood samples, treated with 1 coating of linseed oil with variability between individual samples regardless of wood species. Similarly, wood samples treated with 1 coating of mineral oil also resulted in high rates of recovery of bacteria from all wood species. These findings suggest that one coating of may slow the absorption of bacteria into the wood grain, keeping the bacteria available on the surface of the wood.
The recovery of bacteria at T0 from unfinished wood samples was more variable, particularly between wood species. Listeria recovery from the unfinished diffuse porous wood species (European beech and sugar maple) was comparable to wood samples treated with one coating of linseed oil, whereas the recovery of Listeria was significantly reduced from unfinished ring porous species (red oak and white oak) (Figure 2A), which have larger vessel elements and, in theory, a faster ability to equilibrate liquids. The recovery of Listeria from white oak, a species where tyloses clog the vessel elements, had a high level of variability. The recovery of Salmonella was significantly lower for unfinished European beech compared with unfinished red oak (Figure 2D). The reduced recovery of bacteria from unfinished wood samples is a well-understood function of wood hygroscopicity and, along with it, the absorption of bacteria into the wood grain; the lack of mobility of Listeria compared to Salmonella in diffuse porous woods was unclear, and may be due to cell surface charge and/or relative hydrophobicity.
The recovery of Listeria and Salmonella decreased with increasing time post-inoculation and drying. Listeria recovery from untreated diffuse porous woods (European beech and sugar maple) was significantly lower at the 1 h timepoint (T1) compared to T0 (Figure 2B). There was not a significant difference in recovery of Listeria between any other treatments between T0 and T1. The recovery of Listeria from wood samples continued to decrease over time with significantly lower recovery at T24 from all oil-treated samples with the exception of sugar maple treated with mineral oil. Nearly all (98%) of wood samples had recoverable Listeria at the T24 timepoint indicating strong survival of Listeria and/or a lack of penetration into the wood surface (Table 1).
Salmonella recovery was significantly reduced between the T0 and T1 timepoint for nearly all woods and wood treatments with the exception of white oak treated with linseed oil. Salmonella recovery declined precipitously between T1 and T24, with detection (1–2 CFU/sample) only occurring in wood samples treated with mineral oil (Figure 2F and Table 1). This low level of detection of Salmonella from mineral oil-treated samples occurred across all wood species (1–2 samples out of 4 per species) with the exception of white oak (0/4). The reduced recovery of Salmonella from wood samples suggest either the inability of Salmonella to survive on these surfaces and/or that these cells are adsorbed deeper within the wood structure preventing them from being recovered.

4. Discussion

Many studies investigating the survival of bacteria on kitchen surfaces, in particular cutting boards, inoculated extremely high contamination levels (>7 log CFU/sample) and often in a solution with high organic load (e.g., media, chicken fat) [1,6,7]. These methodological decisions assist in the modeling of microbial inactivation and/or mimic a worst-case scenario for contamination using a food system; however, they can overwhelm the wood system, making it difficult to identify impacts of the wood system on microbial survival. Previous studies recovered bacteria from cutting board surfaces by agitating in an isotonic diluent prior to further dilution and plating onto agar media [7,8]. This standard approach is a necessity for high inoculum studies (e.g., those that require dilution for enumeration purposes) and would likely result in high recovery of bacteria from the test sample; however, it will recover bacteria not only from the surface, but also from the interior crevices, cracks, and microstructure of the wood—thereby giving a false inference about how much bacteria are actually ‘available.’ Methods used in the study were intended to mimic pathogen levels (Listeria and Salmonella) that may transfer from contaminated food onto cutting boards with normal use (100 cells). Using this low level of inoculation, we could effectively sample and directly enumerate viable cells only from the top food contact surface of the wood without confounding results due to the recovery of bacteria that may have been adsorbed more deeply in the wood tissue. Our inoculation and recovery approach is comparable to that previously described by Ak et al. [7] and appropriately mimicked contact with a home kitchen cutting board.
Most of the prior research on wood cutting boards prioritized comparisons between wood and plastic surfaces as opposed to comparing wood species. Of the wood cutting board specific research to date, there was no significant difference found between tested wood species (1,2,3,4,7). Ak et al. [1,7] evaluated the survival of Escherichia coli on commercial wood cutting boards made from ash, basswood, beech, birch, butternut, cherry, hard maple (sugar maple), oak, and American black walnut. Within 3 min of inoculation, the recovery of E. coli was reduced to between 1 and 20% of the initial inoculum level (3–4 log CFU/sample) with no significant differences between wood species (7). In a second study, Ak et al. [1] also demonstrated a rapid loss of recovery from wooden cutting boards inoculated at >7 log CFU/sample with no difference between these same wood species. Schonwalder et al. [9] tested the penetration and survival of E. coli and Enterococcus faecium on wood boards and blocks of Scots pine, Norway spruce, European larch, beech, and black poplar using destructive sampling methods (sawing and grinding) with the collective results of various experiments pointing to pine wood having the lowest microbial recovery. Given that differences in microbial survival to wood species are likely smaller than the contribution of inoculation level and time of sampling, an accurate comparison between wood species differences will require a large sample size as well as a thoughtful experimental design to capture biological differences between individual trees as well as wood species. In particular, comparisons between hardwoods (deciduous trees) and conifers (coniferous trees) need to be very well designed, as fundamental cellular differences (vessels versus no vessels, resin canals, gum ducts, etc.) between the two groups can make comparisons difficult.
Scientific studies aside, the results presented herein are in direct contrast to popular/internet knowledge. Frequent claims are made on nonscientific platforms about how wood that is less porous (likely meaning diffuse porous, or ‘closed grain’) is ‘safer’ than wood that is more porous (likely meaning ring porous) ([10,11,12] among many others). Many sites discuss maples, walnuts, and cherries as being ideal, with woods such as oak, especially red oak, not being ‘safe’. These statements are based on a misunderstanding of anatomy and physical properties of wood and do not recognize the hygroscopicity of all wood. This study used two diffuse porous woods (sugar maple and European beech) and two ring porous woods (red oak and white oak), one of which had occluded vessels (white oak) and should, in theory, function more like a diffuse porous wood. Bacterial recovery from European beech wood was significantly lower compared to the other three wood species tested, although the oaks performed better with Listeria when left uncoated (in that they had less recoverable bacteria on their surface). Recovery from European beech was amongst the lowest across nearly all treatments with the exception of significantly higher Listeria recovery at T0 for untreated wood samples. European beech is a diffuse porous (‘closed grain’) wood, but so is sugar maple, which did not perform in a similar manner.
In contrast to evaluating different wood species, there is not a significant body of work on how coatings may affect the adsorption and/or penetration of bacteria to wood cutting boards. Ak et al. [7] reported comparable and very low recovery (<11% of initial inoculum) of E. coli K12 from basswood and maple/walnut cutting boards with and without mineral oil coating. Our research demonstrated wood treated with linseed or mineral oil significantly increased the recovery of bacteria from the wood surface for at least 1 h after contamination. The treatment of wood with either oil did not have a significant impact on bacterial recovery 24 h after contamination. It is interesting to note that there was not a significant difference between the types of coatings, as their properties and behavior in the wood were quite different—and noting that the study by Bohinic et al. [13] found a significant increase in bacterial growth with linseed oil over other coatings. Linseed oil is a hardening oil, in that once it cures, it forms a film inside the wood. Mineral oil is a non-hardening oil that remains liquid inside the wood and it would be reasonable to assume that it would have less effect on the board’s hygroscopic nature. However, both types of finishes are absorptive finishes (in contrast to top coating acrylic finishes); therefore, some aspects of the wood vessels were invariably blocked and are apt to impair wood’s ability to move water and, potentially, bacteria (Figure 3).
Our findings suggest that a minimal coating of wood with oil delays/prevents the absorption of bacteria into the wood grain and/or protects the bacteria from stresses associated with the wood surface (antimicrobial compounds, rapid desiccation due to hygroscopicity). Prior cutting board studies attempted to improve recovery of bacteria that may have adsorbed deeper into the wood structure by using sonication [7], grinding [9], or planing [14]; however, these more aggressive methods yielded only minimal increases (0 to 30%) in microbial recovery. Schonwalder et al. [9] demonstrated that bacterial contaminants penetrated at least 3 mm into wood; however, there is very limited evidence that they would return to the surface [15,16]. Collective results from several wood studies seemed to demonstrate that numerous and diverse bacteria (pathogens, surrogates, and native food microbiota) rapidly lose viability (regardless of initial inoculum level and humidity) upon contact with wood [1,7,9]. Ak et al. [1] attempted several methods to provide evidence of antimicrobial properties of wood that might explain the reduced recovery of bacteria from wood surfaces. These methods yielded inconsistent results beyond demonstrating that any antimicrobial activity associated with the wood was unlikely to be water soluble. Polyphenolic compounds extracted from wood, specifically stilbenes and their esters, were shown to have antimicrobial activity against L. monocytogenes [17]. The preparation of methanolic extracts from different woods may be a valid strategy for recovering antimicrobial substances from wood [18]. Wood typically has an acidic pH (pH 4.3–5.2) and the combination acid and desiccation stress (a function of moisture content and hygroscopicity) likely contribute to any antimicrobial activity of wood surfaces [15,19]. Additional research is necessary to identify and characterize the antimicrobial properties of wood.
In the study, wood samples were coated with a minimal amount (single coat) of linseed or mineral oil prior to microbial challenge. Attempts were made to increase the oil application to be more substantial (five coats/applications); however, this resulted in an extreme change in the surface properties of the wood samples. The inoculum could not adsorb or dry on the heavily coated surfaces and, instead, beaded or flowed off the sample, making data associated with these treatments unreliable (data not shown). Further investigation of microbial behavior on heavily coated surfaces would require an adjustment to the inoculum preparation to reduce surface tension (e.g., emulsifier or surfactant), or an adjustment that made the oil itself antimicrobial. A few examples of this include Lu and Chang [20], where a waterborne urethane oil (WUO) made from linseed oil had various antimicrobial agents added to it; Sailer et al. [21], where linseed oil-treated wood blocks developed a protective fungal biofilm; and a study that combined linseed oil with fungal melanin to inhibit antimicrobial growth on wooden instruments [22].
Listeria and Salmonella differed significantly in their survival on the wood surfaces tested in this study. While both bacteria declined in their recovery over the 24 h test period, Listeria was significantly more stable on the wood surface compared to Salmonella; this was particularly evident for unfinished wood samples. Salmonella recovery was substantially reduced on unfinished wood samples immediately after inoculation (T0), whereas Listeria recovery remained high on unfinished diffuse porous wood types and reduced on unfinished ring porous wood types (ring porous having a higher porosity and greater ability to ‘move’ bacteria). Other studies, including Schonwalder et al. [9] and Chen et al. [5], found improved survival of Gram-positive bacteria on wood compared to Gram-negative bacteria. It is important to note that single bacterial strains were used in most studies, and so, care should be taken in overgeneralizing these findings. However, diverse studies on wood cutting boards consistently demonstrated that low levels of microbial recovery with a few minutes following inoculation and recovery consistently decreased as time increased (12–24 h post-inoculation) and did not seem to be impacted by humidity [1,7]. What is perhaps most interesting about this study is that wood species did matter: the species best able to decontaminate the wood surface for Salmonella was diffuse porous European beech, while the best species for Listeria removal was either of the oaks (ring porous woods). There was no ‘one best wood’. It is also important to note that the authors recognize that microorganisms could differ in their affinity/adsorption to the wood surface based on wood species and oil treatment, and that this could lead to differences in recovery of the bacteria. However, the authors considered the chemical (e.g., complex protein/carbohydrate mixture, hydrophobicity) and physical qualities (e.g., pH, water activity, etc.) of the agar media and determined them to be sufficiently comparable to food systems that the cell transfer would be comparable to the conditions in the “real world” kitchen environment. As the purpose of this study was to mimic real world environments of modern kitchens, these methods worked well.

5. Conclusions

Wood species, coating, and time all affect the ability of wooden cutting boards to move bacteria and ‘clean’ the cutting surface. All coated samples had significantly more bacteria on their surface than did uncoated samples. Unfinished European beech, generally, had the lowest recoverable amount of bacteria. The exception to this was when the wood was inoculated with Listeria, in which case uncoated oak (white and red) had less bacteria than the diffuse porous woods. Although a ‘better’ wood species was found, it did not perform uniformly across all tests, and wood generally considered undesirable for cutting boards (red oak) did perform well with Listeria. All boards had a decreased bacterial load over time, which was expected. Broadly speaking, all coatings interfered with the wood’s ability to move bacteria, causing increased surface bacterial loads. The movement of bacteria was not uniform across the wood species tested, with some woods performing better with Listeria (both oaks) and others performing better with Salmonella (European beech). Coatings never improved (reduced) bacterial load, and often increased it. These results will hopefully serve as a springboard to testing commonly used wood cutting board finishes, particularly those that contain waxes and oil-wax emulsion, and may serve as an early warning to those that use wood cutting boards that the finish accessories commonly sold alongside boards may not only be unnecessary, but potentially harmful.

Supplementary Materials

The following supporting information can be downloaded at: https://www.mdpi.com/article/10.3390/coatings13040752/s1, Figure S1: red oak stamp at time 0, with 1 coating of linseed oil, inoculated with listeria Figure S2: red oak stamp at time 0, 1 coating mineral oil, inoculated with listeria Figure S3: red oak stamps at time 0, no coating, inoculated with listeria.

Author Contributions

Conceptualization, S.C.R. and S.M.V.G.; methodology, S.C.R., S.M.V.G. and J.W.-C.; formal analysis, S.C.R., S.M.V.G. and J.W.-C.; investigation, S.M.V.G.; resources, S.C.R. and J.W.-C.; writing—original draft preparation, S.M.V.G. and P.T.V.G.; writing—review and editing, S.C.R. and J.W.-C.; supervision, S.C.R.; project administration, S.C.R.; funding acquisition, S.C.R. All authors have read and agreed to the published version of the manuscript.

Funding

This research received no external funding.

Institutional Review Board Statement

Not applicable.

Informed Consent Statement

Not applicable.

Data Availability Statement

Data are contained in the article.

Conflicts of Interest

The authors declare no conflict of interest.

References

  1. Ak, N.O.; Cliver, D.O.; Kaspar, C.W. Decontamination of plastic and wooden cutting boards for kitchen use. J. Food Prot. 1994, 57, 23–30. [Google Scholar] [CrossRef] [PubMed]
  2. Galluzzo, L.; Cliver, D.O. Cutting boards and bacteria–oak vs. Salmonella. Dairy Food Environ. Sanit. 1996, 16, 290–293. [Google Scholar]
  3. Park, P.K.; Cliver, D.O. Disinfection of household cutting boards with a microwave oven. J. Food Protect. 1996, 59, 1049–1054. [Google Scholar] [CrossRef] [PubMed]
  4. Park, P.K.; Cliver, D.O. Cutting boards up close. Food Qual. 1997, 3, 57–59. [Google Scholar]
  5. Chen, J.C.; Munir, M.T.; Aviat, F.; Lepelletier, D.; Le Pape, P.; Dubreil, L.; Irle, M.; Federighi, M.; Belloncle, C.; Eveillard, M.; et al. Survival of bacterial strains on wood (Quercus petraea) compared to polycarbonate, aluminum and stainless steel. Antiobiotics 2020, 9, 804. [Google Scholar] [CrossRef] [PubMed]
  6. Welker, C.; Faiola, N.; Davis, S.; Mattafore, I.; Batt, C.A. Bacterial retention and cleanability of plastic and wood cutting boards with commercial food service maintenance practices. J. Food Protect. 1997, 60, 407–413. [Google Scholar] [CrossRef] [PubMed]
  7. Ak, N.O.; Cliver, D.O.; Kaspar, C.W. Cutting boards of plastic and wood contaminated experimentally with bacteria. J. Food Protect. 1994, 57, 16–22. [Google Scholar] [CrossRef] [PubMed]
  8. Abrishami, S.H.; Tall, B.D.; Bruursema, T.J.; Epstein, P.S.; Shah, D.B. Bacterial adherence and viability on cutting board surfaces. J. Food Saf. 1994, 14, 153–172. [Google Scholar] [CrossRef]
  9. Schonwalder, A.; Kehr, R.; Wulf, A.; Smalla, K. Wooden boards affecting the survival of bacteria? Eur. J. Wood Wood Prod. 2002, 60, 249–257. [Google Scholar] [CrossRef]
  10. Virgina Boys Kitchens. Best Wood for Cutting Boards. The Ultimate Guide. 2023. Available online: https://virginiaboyskitchens.com/blogs/features/best-wood-for-cutting-boards (accessed on 1 March 2023).
  11. Reddigari, M. Here’s Why All Cutting Boards Aren’t Created Equal. Available online: https://www.bobvila.com/articles/best-wood-for-cutting-board/ (accessed on 1 March 2023).
  12. Siracusa, J. What Is the Best Wood for Cutting Boards & Types of Wood You Should Avoid. Available online: https://hellskitchenrecipes.com/best-wood-for-cutting-board/ (accessed on 1 March 2023).
  13. Bohinic, K.; Kekec, D.; Petrič, M. Adhesion of bacteria to wood coatings. Les/Wood 2019, 68, 45–58. [Google Scholar] [CrossRef]
  14. Ismail, R.; Le Bayon, I.; Michel, V.; Jequel, M.; Kitnik, M.; Aviat, F.; Federighi, M. Comparative study of three methods for recovering microorgansims from wooden surfaces in the food industry. Food Anal. Method 2014, 8, 1238–1247. [Google Scholar] [CrossRef]
  15. Aviat, F.; Gerhards, C.; Rodriguez-Jerez, J.J.; Michel, V.; Bayon, I.L.; Ismail, R.; Federighi, M. Microbial safety of wood in contact with food: A review. Compr. Rev. Food Sci. Food Saf. 2016, 15, 491–505. [Google Scholar] [CrossRef] [PubMed]
  16. Boursillon, D.; Riethmuller, V. The safety of wooden cutting boards: Remobilization of bacteria from pine, beech, and polyethylene. Br. Food J. 2007, 109, 315–322. [Google Scholar] [CrossRef]
  17. Plummed-Ferrar, C.; Vakevainen, K.; Komulainen, H.; Rautiainen, M.; Smeds, A.; Raitanen, J.-E.; Eklund, P.; Wilfor, S.; Alakomi, H.-L.; Saarela, M.; et al. The antimicrobial effects of wood-associated polyphenols on food pathogens and spoilage organisms. Int. J. Food Microbiol. 2013, 164, 99–107. [Google Scholar] [CrossRef] [PubMed]
  18. Karaman, I.; Sahin, F.; Gulluce, M.; Ogutcu, H.; Sengul, M.; Adiguzel, A. Antimicrobial activity of aqueous and methanol extracts of Juniperus oxycedrus L. J. Ethnopharmacol. 2003, 85, 231–235. [Google Scholar] [CrossRef] [PubMed]
  19. Carpentier, B. Sanitary quality of meat chopping board surfaces: A bibliographical study. Food Microbiol. 1997, 14, 31–37. [Google Scholar] [CrossRef]
  20. Lu, K.T.; Chang, J.-P. Synthesis and antimicrobial activity of metal-containing linseed oil-based waterborne urethane oil wood coatings. Polymers 2020, 12, 663. [Google Scholar] [CrossRef] [PubMed]
  21. Sailer, M.F.; van Nieuwenhuijen, E.J.; Knol, W. Forming a functional biofilm on wood surfaces. Ecol. Eng. 2010, 36, 163–167. [Google Scholar] [CrossRef]
  22. Tran-Ly, A.N.; Heeb, M.; Kalac, T.; Schwarze, F.W.M.R. Antimicrobial effect of fungal melanin in combination with plant oils for treatment of wood. Front. Mater. 2022, 9, 915607. [Google Scholar] [CrossRef]
Figure 1. End grain characteristics of wood types that were coated with mineral or linseed oil and evaluated for their ability to support the survival of Listeria innocua and Salmonella Typhimurium. Red arrows in the white oak cross section indicate tvloses.
Figure 1. End grain characteristics of wood types that were coated with mineral or linseed oil and evaluated for their ability to support the survival of Listeria innocua and Salmonella Typhimurium. Red arrows in the white oak cross section indicate tvloses.
Coatings 13 00752 g001
Figure 2. Recovery of Listeria innocua and Salmonella from various woods (European beech, sugar maple, red oak, and white oak) that was either left unfinished or coated with a single coat of linseed or mineral oil after selected time points (A,D) T0 = immediate collection; (B,E) T1 = collection at one hour; (C,F) T24 = collection at 24 h. Different letters indicate statistically significant differences at alpha = 0.05 within panel group. Asterisk (*) indicates a significant reduction in recovered bacteria from T0 within the same wood species and surface treatment. n = 4 for each bar.
Figure 2. Recovery of Listeria innocua and Salmonella from various woods (European beech, sugar maple, red oak, and white oak) that was either left unfinished or coated with a single coat of linseed or mineral oil after selected time points (A,D) T0 = immediate collection; (B,E) T1 = collection at one hour; (C,F) T24 = collection at 24 h. Different letters indicate statistically significant differences at alpha = 0.05 within panel group. Asterisk (*) indicates a significant reduction in recovered bacteria from T0 within the same wood species and surface treatment. n = 4 for each bar.
Coatings 13 00752 g002
Figure 3. Scanning electron microscopy of sugar maple finished with one coat of linseed oil. The yellow arrow points at the general appearance of the wood, which is smoothed over from the oil coatings. The red arrows point to dried oil in the cell lumens, which blocks the flow of water (and bacteria).
Figure 3. Scanning electron microscopy of sugar maple finished with one coat of linseed oil. The yellow arrow points at the general appearance of the wood, which is smoothed over from the oil coatings. The red arrows point to dried oil in the cell lumens, which blocks the flow of water (and bacteria).
Coatings 13 00752 g003
Table 1. Recovery (percentage of samples) of Listeria innocua or Salmonella Typhimurium from inoculated wood samples treated with different surface treatments after 0 (T0), 1 (T1) or 24 h at ambient temperature. Individual wood samples of four species (European beech, sugar maple, red oak, and white oak) were inoculated with 2 log CFU/wood sample (n = 4/species/treatment). Percentage indicates the number of wood samples in which the inoculated organism was detected at a specific time point (>1 colony per sample; n = 16). Percentages in bold typeface indicate a significant reduction (p-value < 0.05) in the number of samples with recoverable Listeria innocua or Salmonella Typhimurium between the control (unfinished wood, T0) and the treatment.
Table 1. Recovery (percentage of samples) of Listeria innocua or Salmonella Typhimurium from inoculated wood samples treated with different surface treatments after 0 (T0), 1 (T1) or 24 h at ambient temperature. Individual wood samples of four species (European beech, sugar maple, red oak, and white oak) were inoculated with 2 log CFU/wood sample (n = 4/species/treatment). Percentage indicates the number of wood samples in which the inoculated organism was detected at a specific time point (>1 colony per sample; n = 16). Percentages in bold typeface indicate a significant reduction (p-value < 0.05) in the number of samples with recoverable Listeria innocua or Salmonella Typhimurium between the control (unfinished wood, T0) and the treatment.
Wood FinishListeria innocuaSalmonella Typhimurium
T0T1T24T0T1T24
Unfinished94%100%100%100%94%0%
Linseed Oil100%100%100%100%94%0%
Mineral Oil100%94%100%88%94%25%
Disclaimer/Publisher’s Note: The statements, opinions and data contained in all publications are solely those of the individual author(s) and contributor(s) and not of MDPI and/or the editor(s). MDPI and/or the editor(s) disclaim responsibility for any injury to people or property resulting from any ideas, methods, instructions or products referred to in the content.

Share and Cite

MDPI and ACS Style

Vega Gutierrez, S.M.; Vega Gutierrez, P.T.; Waite-Cusic, J.; Robinson, S.C. Wood Cutting Board Finishes and Their Effect on Bacterial Growth. Coatings 2023, 13, 752. https://doi.org/10.3390/coatings13040752

AMA Style

Vega Gutierrez SM, Vega Gutierrez PT, Waite-Cusic J, Robinson SC. Wood Cutting Board Finishes and Their Effect on Bacterial Growth. Coatings. 2023; 13(4):752. https://doi.org/10.3390/coatings13040752

Chicago/Turabian Style

Vega Gutierrez, Sarath M., Patricia T. Vega Gutierrez, Joy Waite-Cusic, and Seri C. Robinson. 2023. "Wood Cutting Board Finishes and Their Effect on Bacterial Growth" Coatings 13, no. 4: 752. https://doi.org/10.3390/coatings13040752

APA Style

Vega Gutierrez, S. M., Vega Gutierrez, P. T., Waite-Cusic, J., & Robinson, S. C. (2023). Wood Cutting Board Finishes and Their Effect on Bacterial Growth. Coatings, 13(4), 752. https://doi.org/10.3390/coatings13040752

Note that from the first issue of 2016, this journal uses article numbers instead of page numbers. See further details here.

Article Metrics

Back to TopTop