Effect of Cu, Zn and Ag Ion Implantation on the Surface Modification of Bacterial Cellulose Films
Abstract
1. Introduction
2. Materials and Methods
2.1. Cellulose and Its Preliminary Investigations
2.2. Modlling and Ion Implantation
2.3. Determination of the Contact Angle
2.4. Resistance to Molds
2.5. SEM Analysis
2.6. Test Standards
3. Results and Discussion
3.1. Modeling of the Cu, Zn and Ag Ion Implantation
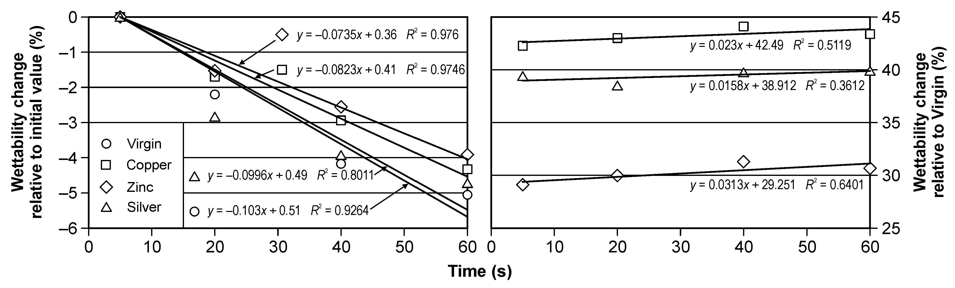
3.2. Wettability of Bacterial Cellulose after Ion Implantation
3.3. Mold Growth on Bacterial Cellulose Surface
3.4. SEM Analysis
4. Conclusions
Author Contributions
Funding
Institutional Review Board Statement
Informed Consent Statement
Data Availability Statement
Acknowledgments
Conflicts of Interest
References
- Sirviö, J.A.; Liimatainen, H.; Niinimäki, J.; Hormi, O. Sustainable packaging materials based on wood cellulose. RSC Adv. 2013, 37, 16590–16596. [Google Scholar] [CrossRef]
- Nasir, M.; Aziz, M.A.; Zubair, M.; Manzar, M.S.; Ashraf, N.; Mu’azu, N.D.; Al-Harthi, M.A. Recent review on synthesis, evaluation, and SWOT analysis of nanostructured cellulose in construction applications. J. Build. Eng. 2022, 41, 103747. [Google Scholar] [CrossRef]
- Šauperl, O.; Stana-Kleinschek, K.; Ribitsch, V. Cotton cellulose 1, 2, 3, 4 buthanetetracarboxylic Acid (BTCA) crosslinking monitored by some physical—Chemical methods. Text. Res. J. 2009, 79, 780–791. [Google Scholar] [CrossRef]
- Gorgieva, S. Bacterial cellulose as a versatile platform for research and development of biomedical materials. Processes 2020, 8, 624. [Google Scholar] [CrossRef]
- Seabra, A.B.; Bernardes, J.S.; Fávaro, W.J.; Paula, A.J.; Durán, N. Cellulose nanocrystals as carriers in medicine and their toxicities: A review. Carbohydr. Polym. 2018, 181, 514–527. [Google Scholar] [CrossRef] [PubMed]
- Haq, I.U.; Qaisar, K.; Nawaz, A.; Akram, F.; Mukhtar, H.; Zohu, X.; Xu, Y.; Mumtaz, M.W.; Rashid, U.; Ghani, W.A.W.A.K.; et al. Advances in valorization of lignocellulosic biomass towards energy generation. Catalysts 2021, 11, 309. [Google Scholar] [CrossRef]
- Photphisutthiphong, Y.; Vatanyoopaisarn, S. The production of bacterial cellulose from organic low-grade rice. Curr. Res. Nutr. Food Sci. 2020, 8, 206–216. [Google Scholar] [CrossRef]
- Vigentini, I.; Fabrizio, V.; Dellacà, F.; Rossi, S.; Azario, I.; Mondin, C.; Benaglia, M.; Foschino, R. Set-Up of Bacterial cellulose production from the genus Komagataeibacter and its use in a gluten-free bakery product as a case study. Front. Microbiol. 2019, 10, 1953. [Google Scholar] [CrossRef]
- Akintunde, M.O.; Adebayo-Tayo, B.C.; Ishola, M.M.; Zamani, A.; Horváth, I.S. Bacterial cellulose production from agricultural residues by two Komagataeibacter sp. strains. Bioengineered 2022, 13, 10010–10025. [Google Scholar] [CrossRef]
- Paximada, P.; Kanavou, E.; Mandala, I.G. Effect of rheological and structural properties of bacterial cellulose fibrils and whey protein biocomposites on electrosprayed food-grade particles. Carbohydr. Polym. 2020, 241, 116319. [Google Scholar] [CrossRef]
- Betlej, I.; Rybak, K.; Nowacka, M.; Antczak, A.; Borysiak, S.; Krochmal-Marczak, B.; Lipska, K.; Boruszewski, P. Structural properties of bacterial cellulose film obtained on a substrate containing sweet potato waste. Crystals 2022, 12, 1191. [Google Scholar] [CrossRef]
- Azmi, S.N.N.S.; Fabli, S.N.N.F.M.; Aris, F.A.F.; Samsu, Z.A.; Asnawi, A.S.F.M.; Yusof, Y.M.; Ariffin, H.; Abdullah, S.S.S. Fresh oil palm frond juice as a novel and alternative fermentation medium for bacterial cellulose production. Mater. Today Proc. 2021, 42, 101–106. [Google Scholar] [CrossRef]
- Rodrigues da Silva, I.G.; dos Santos Pantoja, B.T.; Rodrigues Almeida, G.H.; Carreira, A.C.O.; Miglino, M.A. Bacterial cellulose and ECM hydrogels: An innovative approach for cardiovascular regenerative medicine. Int. J. Mol. Sci. 2022, 23, 3955. [Google Scholar] [CrossRef] [PubMed]
- Ayyappan, V.G.; Vhatkar, S.S.; Bose, S.; Sampath, S.; Das, S.K.; Samanta, D.; Mandal, A.B. Incorporations of gold, silver and carbon nanomaterials to kombucha-derived bacterial cellulose: Development of antibacterial leather-like materials. J. Indian Chem. Soc. 2022, 99, 100278. [Google Scholar] [CrossRef]
- Nedĕla, O.; Slepička, P.; Švorčík, V. Surface modification of polymer substrates for biomedical applications. Materials 2017, 10, 1115. [Google Scholar] [CrossRef]
- Wu, Y.; Wang, Y.; Wang, F.; He, J.; Huang, Y. Preparation and properties study of polylactic acid/bacterial cellulose composite scafolds by solvent removal. J. Mater. Res. 2022, 37, 1602–1611. [Google Scholar] [CrossRef]
- Lupaşcu, R.E.; Ghica, M.V.; Dinu-Pîrvu, C.-E.; Popa, L.; Velescu, B.Ş.; Arsene, A.L. An overview regarding microbial aspects of production and applications of bacterial cellulose. Materials 2022, 15, 676. [Google Scholar] [CrossRef] [PubMed]
- Zhou, L.; Fu, J.; Bian, L.; Chang, T.; Zhang, C. Preparation of a novel curdlan/bacterial cellulose/cinnamon essential oil blending film for food packaging application. Int. J. Biol. Macromol. 2022, 212, 211–219. [Google Scholar] [CrossRef]
- Barlak, M.; Wilkowski, J.; Boruszewski, P.; Zagórski, J.; Werner, Z. Influence of electron pulses on roughness and wettability of beech wood surface. Ann. WULS—SGGW For. Wood Technol. 2017, 98, 16–19. [Google Scholar]
- Popok, V.N. Ion implantation of polymers: Formation of nanoparticulate materials. Rev. Adv. Mater. Sci. 2012, 30, 1–26. [Google Scholar]
- Leveneur, J.; Rajan, A.; McDonald-Wharry, J.; Le Guen, M.-J.; Pickering, K.; Kennedy, J. Structural and chemical changes of cellulose fibres under low energy ion implantations. Surf. Coat. Technol. 2018, 355, 191–199. [Google Scholar] [CrossRef]
- Shanthini, G.M.; Sakthivel, N.; Menon, R.; Nabhiraj, P.Y.; Gómez-Tejedor, J.A.; Meseguer-Dueñas, J.M.; Ribelles, J.L.G.; Krishna, J.B.M.; Kalkura, S.N. Surface stiffening and enhanced photoluminescence of ion implanted cellulose—polyvinyl alcohol—silica composite. Carbohydr. Polym. 2016, 153, 619–630. [Google Scholar] [CrossRef]
- Zhang, N.; Jiang, J.; Li, X.; Tong, Y. Effect of low energy ion beam implantation on the microstructure of cellulose. Radiat. Phys. Chem. 2011, 80, 990–993. [Google Scholar] [CrossRef]
- Betlej, I.; Barlak, M.; Wilkowski, J.; Werner, Z.; Zagórski, J.; Lipska, K.; Boruszewski, P. Wettability of the surface of bacterial cellulose film modified with the ion implantation. Ann. WULS—SGGW For. Wood Technol. 2022, 118, 15–21. [Google Scholar] [CrossRef]
- Bilek, M.M.; McKenzie, D.R. Plasma modified surfaces for covalent immobilization of functional biomolecules in the absence of chemical linkers: Towards better biosensors and a new generation of medical implants. Biophys. Rev. 2010, 2, 55–65. [Google Scholar] [CrossRef]
- Švorčik, V.; Prošková, K.; Hnatowicz, V.; Rybka, V. Iodine penetration and doping of ion-modified polyethylene. Nucl. Instrum. Methods Phys. Res. Sect. B 1999, 149, 312–318. [Google Scholar] [CrossRef]
- Betlej, I.; Salerno-Kochan, R.; Jankowska, A.; Krajewski, K.; Wilkowski, J.; Rybak, K.; Nowacka, M.; Boruszewski, P. The impact of the mechanical modification of bacterial cellulose films on selected quality parameters. Coatings 2021, 11, 1275. [Google Scholar] [CrossRef]
- Barlak, M.; Wilkowski, J.; Szymanowski, K.; Czarniak, P.; Podziewski, P.; Werner, Z.; Zagórski, J.; Staszkiewicz, B. Influence of the ion implantation of nitrogen and selected metals on the lifetime of WC-Co indexable knives during MDF machining. Ann. WULS—SGGW For. Wood Technol. 2019, 108, 45–52. [Google Scholar] [CrossRef]
- Krivonosienko, A.W.; Nikolaev, A.G.; Li, S. Техническиеoписание и инструкцияпoэксплуатацииoннoгoистoчника “Титан-3” (Technical Descriptions and Operating Instructions of the Ion Source “Titan-3”); Рoссийская Академия Наук—Институт Сильнoтoчнoй Электрoники: Tomsk, Russia, 2001. (In Russian) [Google Scholar]
- Brown, I.; Washburn, J. The mevva ion source for high current metal ion implantation. Nucl. Instrum. Methods. Phys. Res. B Beam Interact. Mater. At. 1987, 21, 201–204. [Google Scholar] [CrossRef]
- Wolkenhauer, A.; Avramidis, G.; Hauswald, E.; Militz, H.; Viöl, W. Sanding vs. plasma treatment of aged wood: A comparison with respect to surface energy. Int. J. Adhes. Adhes. 2009, 29, 18–22. [Google Scholar] [CrossRef]
- Borysiuk, P.; Krajewski, K.; Auriga, A.; Auriga, R.; Betlej, I.; Rybak, K.; Nowacka, M.; Boruszewski, P. PLA Biocomposites: Evaluation of resistance to mold. Polymers 2022, 14, 157. [Google Scholar] [CrossRef] [PubMed]
- Chassé, M.; Ross, G.G. Effect of aging on wettability of silicon surfaces modified by Ar implantation. J. Appl. Phys. 2002, 92, 5872. [Google Scholar] [CrossRef]
- Suzuki, Y.; Kusakabe, M.; Iwaki, M. Wettability control of polystyrene by ion implantation. Nucl. Instrum. Methods Phys. Res. Sect. B Beam Interact. Mater. At. 1994, 91, 584–587. [Google Scholar] [CrossRef]
- Parakrajang, K.; Wanichapichart, P.; Anuntalabhochai, S.; Pitakrattananukool, S.; Yu, L.D. Ion beam modification of chitosan and cellulose membranes for simulation of Ion bombardment of plant cellenvelope. Nucl. Instrum. Methods Phys. Res. B 2009, 267, 1645–1649. [Google Scholar] [CrossRef]
- Vasenina, I.V.; Laput, O.A.; Kurzina, I.A. Regularities of PLA mechanical property modification under ion implantation conditions. Vacuum 2021, 187, 110105. [Google Scholar] [CrossRef]
- Kalyanasundaram, N.; Wood, M.; Freund, J.B.; Johnson, H.T. Stress evolution to steady state in ion bombardment of silicon. Mech. Res. Commun. 2008, 35, 35–56. [Google Scholar] [CrossRef]
- Nowak, R.; Li, C.L.; Swain, M.V. Comparison of implantation with Ni2+ and Au2+ ions on the indentation response of sapphire. Mater. Sci. Eng. A 1998, 253, 167–177. [Google Scholar] [CrossRef]





| Implanted Ions | Ion energy for Acceleration Voltage of 30 kV | Average Charge State/ACS Ion Energy (keV) | |||
|---|---|---|---|---|---|
| 30 keV | 60 keV | 90 keV | 120 keV | ||
| Percentage Charge State Distribution (%) | |||||
| 1+ | 2+ | 3+ | 4+ | ||
| Cu+ + Cu2+ + Cu3+ + Cu4+ | 28 | 53 | 18 | 1 | 1.9/57 |
| Zn+ + Zn2+ | 80 | 20 | - | - | 1.2/36 |
| Ag+ + Ag2+ + Ag3+ + Ag4+ | 13 | 61 | 25 | 1 | 1.9/57 |
| Implanted Ions | Cu+ + Cu2++ Cu3+ + Cu4+ | Zn+ + Zn2+ | Ag+ + Ag2++ Ag3+ + Ag4+ |
|---|---|---|---|
| Maximum SRIM units (atoms/cm3)/(atoms/cm2) | 1.52 × 105 (2.23 × 105) | 3.29 × 105 (3.55 × 105) | 2.73 × 105 3.95 × 105 |
| Peak volume dopant concentration Nmax (cm−3) for fluence of 5 × 1014 cm−2 | 7.6 × 1019 (1.11 × 1020) | 1.65 × 1020 (1.77 × 1020) | 1.37 × 1020 (1.98 × 1020) |
| Peak volume dopant concentration Nmax (cm−3) for fluence of 5 × 1015 cm−2 | 7.6 × 1020 (1.11 × 1021) | 1.65 × 1021 (1.77 × 1021) | 1.37 × 1021 (1.98 × 1021) |
| Projected range Rp (nm) | 62.3 (61.7) | 40 (40) | 49.9 (46) |
| Range straggling ΔRp (nm) | 55.2 (36) | 31.6 (22.8) | 31.8 (20.4) |
| Rp/ΔRp ratio | 1.13 (1.71) | 1.27 (1.75) | 1.57 (2.25) |
| Skewness | 0.85 (0.34) | 1.23 (0.35) | 0.58 (0.32) |
| Kurtosis | 3.83 (2.99) | 4.89 (2.98) | 3.44 (3.04) |
| Sputtering yield Y (atoms/ion) | 2.91 (2.99) | 3 (3.05) | 3.81 (4.37) |
| Factor | Sum of Squares | Mean Sum of Squares | Fisher’s F-Test | Significance Level |
|---|---|---|---|---|
| SS | MS | F | p | |
| Intercept | 134,589.0 | 134,589.0 | 4623.433 | 0.000000 |
| Modifier | 2305.4 | 768.5 | 26.399 | 0.000000 |
| Error | 1048.0 | 29.1 |
| Microorganism | Type of Ion Implantation | Growth of Mold on Bacterial Cellulose (%) | ||||
|---|---|---|---|---|---|---|
| 1 day | 2 day | 3 day | 4 day | 5 day | ||
| Trichoderma viride | Virgin | 0 | 0 | 0 | 25.07 ab | 37.54 ab |
| Ag | 0 | 0 | 0 | 9.17 a | 22.83 a | |
| Cu | 0 | 0 | 0 | 19.00 ab | 38.95 ab | |
| Zn | 0 | 0 | 0 | 34.26 b | 51.45 b | |
| Chaetomium globosum | Virgin | 0 | 0 | 0 | 34.26 b | 51.45 a |
| Ag | 0 | 32.23 a | 48.69 a | 56.52 a | 60.33 a | |
| Cu | 0 | 40.28 a | 53.29 a | 59.71 a | 65.65 a | |
| Zn | 0 | 53.62 ab | 68.89 ab | 71.75 ab | 76.89 ab | |
| Factor | Sum of Squares | Mean Sum of Squares | Fisher’s F-Test | Significance Level |
|---|---|---|---|---|
| SS | MS | F | p | |
| Intercept | 69,760.25 | 69,760.25 | 901.5027 | 0.000000 |
| Modifier | 1627.02 | 542.34 | 7.0086 | 0.008049 |
| Error | 773.82 | 77.38 |
| Factor | Sum of Squares | Mean Sum of Squares | Fisher’s F-Test | Significance Level |
|---|---|---|---|---|
| SS | MS | F | p | |
| Intercept | 20,981.08 | 20,981.08 | 92.62361 | 0.000001 |
| Modifier | 1410.90 | 470.30 | 2.07620 | 0.161598 |
| Error | 2491.72 | 226.52 |
Disclaimer/Publisher’s Note: The statements, opinions and data contained in all publications are solely those of the individual author(s) and contributor(s) and not of MDPI and/or the editor(s). MDPI and/or the editor(s) disclaim responsibility for any injury to people or property resulting from any ideas, methods, instructions or products referred to in the content. |
© 2023 by the authors. Licensee MDPI, Basel, Switzerland. This article is an open access article distributed under the terms and conditions of the Creative Commons Attribution (CC BY) license (https://creativecommons.org/licenses/by/4.0/).
Share and Cite
Betlej, I.; Barlak, M.; Krajewski, K.; Andres, B.; Werner, Z.; Jankowska, A.; Zakaria, S.; Boruszewski, P. Effect of Cu, Zn and Ag Ion Implantation on the Surface Modification of Bacterial Cellulose Films. Coatings 2023, 13, 254. https://doi.org/10.3390/coatings13020254
Betlej I, Barlak M, Krajewski K, Andres B, Werner Z, Jankowska A, Zakaria S, Boruszewski P. Effect of Cu, Zn and Ag Ion Implantation on the Surface Modification of Bacterial Cellulose Films. Coatings. 2023; 13(2):254. https://doi.org/10.3390/coatings13020254
Chicago/Turabian StyleBetlej, Izabela, Marek Barlak, Krzysztof Krajewski, Bogusław Andres, Zbigniew Werner, Agnieszka Jankowska, Sarani Zakaria, and Piotr Boruszewski. 2023. "Effect of Cu, Zn and Ag Ion Implantation on the Surface Modification of Bacterial Cellulose Films" Coatings 13, no. 2: 254. https://doi.org/10.3390/coatings13020254
APA StyleBetlej, I., Barlak, M., Krajewski, K., Andres, B., Werner, Z., Jankowska, A., Zakaria, S., & Boruszewski, P. (2023). Effect of Cu, Zn and Ag Ion Implantation on the Surface Modification of Bacterial Cellulose Films. Coatings, 13(2), 254. https://doi.org/10.3390/coatings13020254

