Comparative Study of the Physico-Chemical Properties of Sorbents Based on Natural Bentonites Modified with Iron (III) and Aluminium (III) Polyhydroxocations
Abstract
1. Introduction
- The type of ion exchange;
- The formation of chelate complexes with surface hydroxyl groups of the mineral;
- With the help of valence “broken” bonds at the edges and corners at the shear growth stages of montmorillonite crystals.
2. Materials and Methods
2.1. Preparation of Fe-Bentonite and Al-Bentonite
2.2. Adsorption Studies
3. Results and Discussion
3.1. Characterization of the Adsorbent
Elemental Composition of the Studied Sorbents
3.2. The Porous Structure of the Studied Sorbents
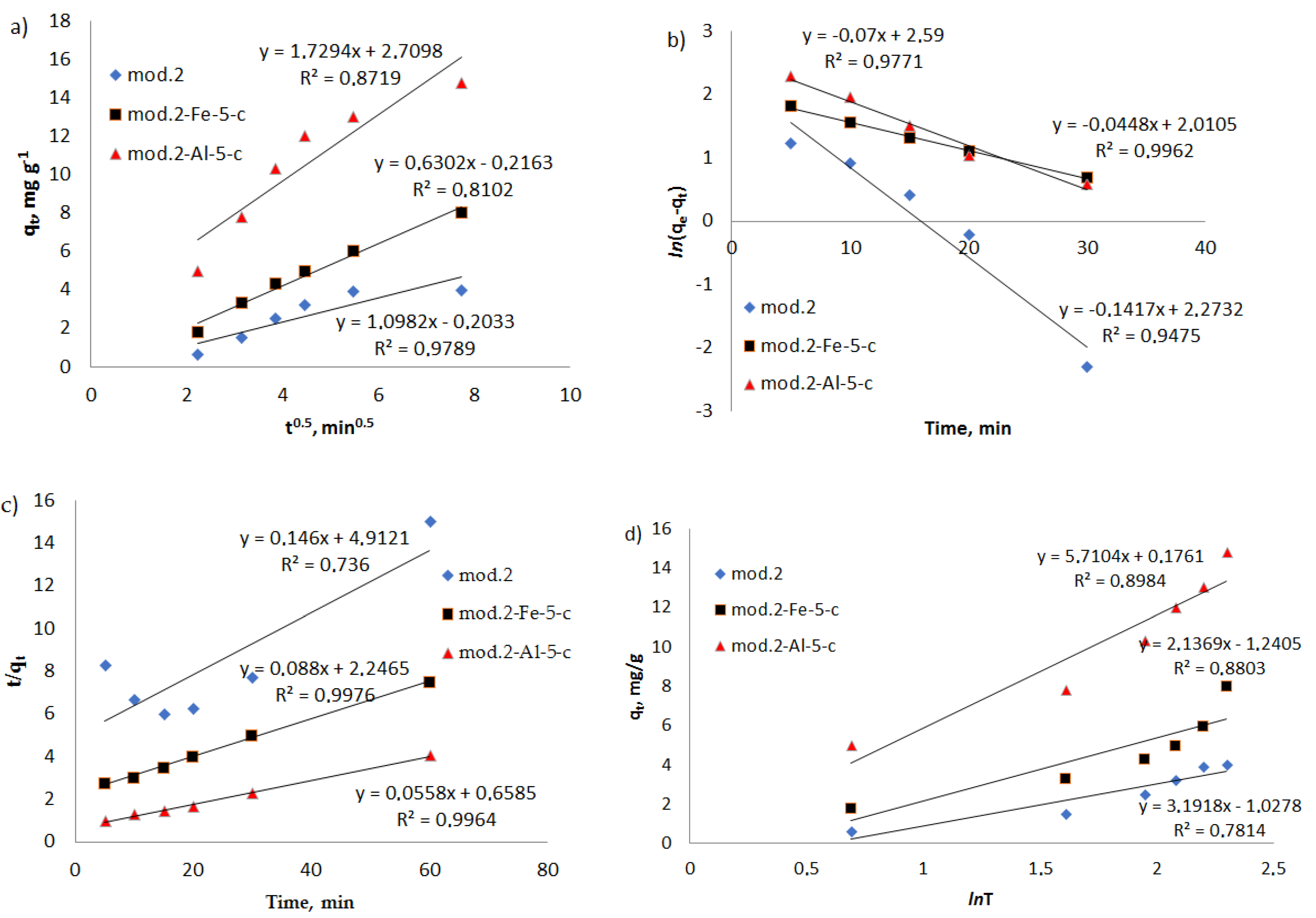
3.3. Study of the Sorption Kinetics
3.4. Study of the Sorption Mechanism

4. Conclusions
Author Contributions
Funding
Institutional Review Board Statement
Informed Consent Statement
Data Availability Statement
Conflicts of Interest
Nomenclature
| mod. 1 | Natural bentonite of the Pogodayevo deposit |
| mod. 1_Fe_5-c | Natural bentonite (mod. 1) modified with iron (III) polyhydroxocations by the “co-precipitation” method (5 mmol [Fe3+]/g of bentonite) |
| mod. 1_Al_5-c | Natural bentonite (mod. 1) modified with polyhydroxocations of aluminum (III) by the “co-precipitation” method (5 mmol [Al3+]/g of bentonite) |
| mod. 2 | Natural bentonite of the Dash-Salakhli deposit |
| mod. 2_Fe_5-c | Natural bentonite (mod. 2) modified with iron (III) polyhydroxocations by the “co-precipitation” method (5 mmol [Fe3+]/g of bentonite) |
| mod. 2_Al_5-c | Natural bentonite (mod. 2) modified with polyhydroxocations of aluminum (III) by the “co-precipitation” method (5 mmol [Al3+]/g of bentonite) |
References
- Parab, H.; Joshi, S.; Shenoy, N.; Lali, A.; Sarma, U.; Sudersanan, M. Determination of kinetic and equilibrium parameters of the batch adsorption of Co(II), Cr(III) and Ni(II) onto coir pith. Process. Biochem. 2006, 41, 609–615. [Google Scholar] [CrossRef]
- Badawy, N.A.; El-Bayaa, A.A.; AlKhalik, E.A. Vermiculite as an exchanger for copper(II) and Cr(III) ions, kinetic studies. Ionics 2010, 16, 733–739. [Google Scholar] [CrossRef]
- Jeon, C.; Cha, J.-H. Removal of nickel ions from industrial wastewater using immobilized sericite beads. J. Ind. Eng. Chem. 2015, 24, 107–112. [Google Scholar] [CrossRef]
- Izosimova, Y.; Tolpeshta, I.; Gurova, I.; Karpukhin, M.; Zakusin, S.; Krupskaya, V. Sorption of Cu2+ Ions by Bentonite Modified with Al Keggin Cations and Humic Acid in Solutions with pH 4.5. Minerals 2020, 10, 1121. [Google Scholar] [CrossRef]
- Kudaibergenova, R.; Sugurbekov, Y.; Demeuova, G.; Sugurbekova, G. Facile Fabrication of High-Performance Superhydrophobic Reusable Oil-Absorbing Sponges. Coatings 2023, 13, 1777. [Google Scholar] [CrossRef]
- Diaz De Tuesta, J.L.; Roman, F.F.; Marques, V.C.; Silva, A.S.; Silva, A.P.F.; Bosco, T.C.; Shinibekova, A.A.; Aknur, S.; Kalmakhanova, M.S.; Massalimova, B.K.; et al. Performance and Modeling of Ni (II) Adsorption from Low ConcentratedWastewater on Carbon Microspheres Prepared from Tangerine Peels by FeCl3-Assisted Hydrothermal Carbonization. J. Environ. Chem. Eng. 2022, 10, 108143. [Google Scholar] [CrossRef]
- Leite, S.T.; do Nascimento, F.H.; Masini, J.C. Fe(III)-polyhydroxy cations supported onto K10 montmorillonite for removal of phosphate from waters. Heliyon 2020, 6, e03868. [Google Scholar] [CrossRef]
- Leng, Y.; Li, Q.; Tian, Q.; Chen, X.; Almásy, L.; Liu, Y.; Sun, G.; Tuo, X.; Yan, M.; Henderson, M.J. (Ce-Al)-Oxide Pillared Bentonite: A High Affinity Sorbent for Plutonium. J. Hazard Mater. 2018, 352, 121–129. [Google Scholar] [CrossRef]
- Marouf, R.; Dali, N.; Boudouara, N.; Ouadjenia, F.; Zahaf, F. Study of Adsorption Properties of Bentonite Clay. In Montmorillonite Clay; IntechOpen: London, UK, 2021. [Google Scholar]
- Maria, A.; Zhuldu, K.; Serge, B. Use of Sorbents to Improve Water Quality in the Production of Reconstituted Dairy Products. Emir. J. Food Agric. 2022, 34, 1. [Google Scholar] [CrossRef]
- Pandey, S.; Ramontja, J. Recent Modifications of Bentonite Clay for Adsorption Applications. Focus Sci. 2016, 2, 1–10. [Google Scholar] [CrossRef]
- Novikova, L.; Belchinskaya, L. Adsorption of Industrial Pollutants by Natural and Modified Aluminosilicates. In Clays, Clay Minerals and Ceramic Materials Based on Clay Minerals; InTech: London, UK, 2016. [Google Scholar]
- Al-Ani, F.; Al-Kindi, G. Suitability of the Iraqi Natural Clay for the Preparation of Al-Fe Pillared-Clays. MATEC Web Conf. 2018, 162, 05017. [Google Scholar] [CrossRef][Green Version]
- Liu, H.; Xie, B.; Qin, Y. Effect of Bentonite on the Pelleting Properties of Iron Concentrate. J. Chem. 2017, 2017, 7639326. [Google Scholar] [CrossRef]
- My Linh, N.L.; Hoang Van, D.; Duong, T.; Tinh, M.X.; Quang Khieu, D. Adsorption of Arsenate from Aqueous Solution onto Modified Vietnamese Bentonite. Adv. Mater. Sci. Eng. 2019, 2019, 2710926. [Google Scholar] [CrossRef]
- Mnasri-Ghnimi, S.; Frini-Srasra, N. Removal of Heavy Metals from Aqueous Solutions by Adsorption Using Single and Mixed Pillared Clays. Appl. Clay Sci. 2019, 179, 105151. [Google Scholar] [CrossRef]
- Widjaya, R.R.; Juwono, A.L.; Rinaldi, N. Bentonite Modification with Pillarization Method Using Metal Stannum; AIP Publishing: New York, NY, USA, 2017; p. 020010. [Google Scholar]
- Carriazo, J.; Guélou, E.; Barrault, J.; Tatibouët, J.M.; Molina, R.; Moreno, S. Synthesis of Pillared Clays Containing Al, Al-Fe or Al-Ce-Fe from a Bentonite: Characterization and Catalytic Activity. Catal. Today 2005, 107–108, 126–132. [Google Scholar] [CrossRef]
- Nikitina, N.V.; Lamikhova, A.P.; Nikitina, N.V.; Kazarinov, I.A. Adsorption of Organic Reagents by Natural Bentonites Modified with Aluminum and Iron (III) Polyhydroxocations. Izv. Saratov Univ. New Ser. Ser. Chem. Biol. Ecol. 2021, 21, 23–30. [Google Scholar] [CrossRef]
- Izosimova, Y.; Gurova, I.; Tolpeshta, I.; Karpukhin, M.; Zakusin, S.; Zakusina, O.; Samburskiy, A.; Krupskaya, V. Adsorption of Cs(I) and Sr(II) on Bentonites with Different Compositions at Different PH. Minerals 2022, 12, 862. [Google Scholar] [CrossRef]
- Kusainova, B.M.; Tazhkenova, G.K.; Kazarinov, I.A.; Nurlybaeva, A.N. Physical and chemical properties of sorbents based on natural bentonites modified with polyhydroxo cation of iron (II) and aluminum (III). In Global Science and Innovations 2023: Central Asia; VSAVM: Vitebsk, Belarus, 2023; pp. 28–32. [Google Scholar]
- Belchinskaya, L.; Novikova, L.; Khokhlov, V.; Ly Tkhi, J. Contribution of Ion-Exchange and Non-Ion-Exchange Reactions to Sorption of Ammonium Ions by Natural and Activated Aluminosilicate Sorbent. J. Appl. Chem. 2013, 2013, 789410. [Google Scholar] [CrossRef]
- Sahoo, T.R.; Prelot, B. Chapter 7—Adsorption processes for the removal of contaminants from wastewater: The perspective role of nanomaterials and nanotechnology. In Micro and Nano Technologies, Nanomaterials for the Detection and Removal of Wastewater Pollutant; Bonelli, B., Freyria, F.S., Rossetti, I., Sethi, R., Eds.; Elsevier: Amsterdam, The Netherlands, 2020; pp. 161–222. [Google Scholar] [CrossRef]
- Altynbaeva, L.S.; Mashentseva, A.A.; Aimanova, N.A.; Zheltov, D.A.; Shlimas, D.I.; Nurpeisova, D.T.; Barsbay, M.; Abuova, F.U.; Zdorovets, M.V. Eco-Friendly Electroless Template Synthesis of Cu-Based Composite Track-Etched Membranes for Sorption Removal of Lead(II) Ions. Membranes 2023, 13, 495. [Google Scholar] [CrossRef]
- Pawar, R.R.; Lalhmunsiama; Bajaj, H.C.; Lee, S.-M. Activated Bentonite as a Low-Cost Adsorbent for the Removal of Cu(II) and Pb(II) from Aqueous Solutions: Batch and Column Studies. J. Ind. Eng. Chem. 2016, 34, 213–223. [Google Scholar] [CrossRef]
- Mahadevan, H.; Anoop Krishnan, K.; Pillai, R.R.; Sudhakaran, S. Stirring-Ageing Technique to Develop Zirconium-Pillared Bentonite Clay along with Its Surface Profiling Using Various Spectroscopic Techniques. Res. Chem. Intermed. 2020, 46, 639–660. [Google Scholar] [CrossRef]






| Samples of Sorbents | The Content of the Element, wt. % | ||||||
|---|---|---|---|---|---|---|---|
| Al | Fe | Si | Ca | K | Ni | Ti | |
| mod. 1 | 7 | 47 | 14 | 2 | 13 | 20 | 2.5 |
| mod. 1_Fe_5-с | 7 | 71 | 8 | 0.6 | 4 | 14 | 0.7 |
| mod. 1_Al_5-с | 15 | 46 | 11 | 1 | 8 | 16 | 2 |
| mod. 2 | 8 | 23 | 44 | 17 | 5 | - | 2 |
| mod. 2_Fe_5-с | 6 | 57 | 31 | 2 | 2 | - | 1 |
| mod. 2_Al_5-с | 16 | 17 | 47 | 12 | 5 | - | 2 |
| Sample | Specific Surface Area, m2/g | Pore Volume, cm3/g | Distribution of Pores by Radius, % | |||
|---|---|---|---|---|---|---|
| 1.5–2.0 nm | 2.0–4.0 nm | 4.0–8.0 nm | More than 8.0 nm | |||
| mod. 1 | 37 | 0.054 | 8 | 15 | 20 | 56 |
| mod. 1_Fe_5-с | 91 | 0.101 | 13 | 27 | 17 | 43 |
| mod. 1_Al_5-с | 120 | 0.073 | 16 | 38 | 14 | 32 |
| mod. 2 | 51 | 0.061 | 9 | 21 | 21 | 49 |
| mod. 2_Fe_5-с | 86 | 0.125 | 22 | 46 | 19 | 13 |
| mod. 2_Al_5-с | 172 | 0.122 | 23 | 47 | 18 | 12 |
| Sorbent Sample | Maximum Adsorption, mg/g |
|---|---|
| mod. 1 | 12.3 ± 0.6 |
| mod. 1_Fe_5-c | 16.7 ± 0.9 |
| mod. 1_Al_5-c | 25.0 ± 0.9 |
| mod. 2 | 4.6 ± 0.2 |
| mod. 2_Fe_5-с | 10.1 ± 0.5 |
| mod. 2_Al_5-с | 18.2 ± 0.8 |
Disclaimer/Publisher’s Note: The statements, opinions and data contained in all publications are solely those of the individual author(s) and contributor(s) and not of MDPI and/or the editor(s). MDPI and/or the editor(s) disclaim responsibility for any injury to people or property resulting from any ideas, methods, instructions or products referred to in the content. |
© 2023 by the authors. Licensee MDPI, Basel, Switzerland. This article is an open access article distributed under the terms and conditions of the Creative Commons Attribution (CC BY) license (https://creativecommons.org/licenses/by/4.0/).
Share and Cite
Kussainova, B.; Tazhkenova, G.; Kazarinov, I.; Nurlybayeva, A.; Lamichova, A.; Kusepova, L.; Mashan, T.; Tantybayeva, B.; Saurbayeva, B.; Seitbekova, G.; et al. Comparative Study of the Physico-Chemical Properties of Sorbents Based on Natural Bentonites Modified with Iron (III) and Aluminium (III) Polyhydroxocations. Coatings 2023, 13, 1974. https://doi.org/10.3390/coatings13111974
Kussainova B, Tazhkenova G, Kazarinov I, Nurlybayeva A, Lamichova A, Kusepova L, Mashan T, Tantybayeva B, Saurbayeva B, Seitbekova G, et al. Comparative Study of the Physico-Chemical Properties of Sorbents Based on Natural Bentonites Modified with Iron (III) and Aluminium (III) Polyhydroxocations. Coatings. 2023; 13(11):1974. https://doi.org/10.3390/coatings13111974
Chicago/Turabian StyleKussainova, Bakytgul, Gaukhar Tazhkenova, Ivan Kazarinov, Aisha Nurlybayeva, Anna Lamichova, Lyazat Kusepova, Togzhan Mashan, Batima Tantybayeva, Bekzat Saurbayeva, Gulnaziya Seitbekova, and et al. 2023. "Comparative Study of the Physico-Chemical Properties of Sorbents Based on Natural Bentonites Modified with Iron (III) and Aluminium (III) Polyhydroxocations" Coatings 13, no. 11: 1974. https://doi.org/10.3390/coatings13111974
APA StyleKussainova, B., Tazhkenova, G., Kazarinov, I., Nurlybayeva, A., Lamichova, A., Kusepova, L., Mashan, T., Tantybayeva, B., Saurbayeva, B., Seitbekova, G., Kulbayeva, D., & Kudaibergenova, R. (2023). Comparative Study of the Physico-Chemical Properties of Sorbents Based on Natural Bentonites Modified with Iron (III) and Aluminium (III) Polyhydroxocations. Coatings, 13(11), 1974. https://doi.org/10.3390/coatings13111974

