Abstract
Coating, as a corrosion protection measure, not only reduces the costs of repairs due to corrosion damage but also saves lives from injuries brought by corroded facilities or equipment. The corrosion behavior of quartz sand-modified enamel (QSME)-coated carbon steel plates was evaluated in a 3.5 wt.% NaCl solution for a period of 30 days using open circuit potential, electrochemical impedance spectroscopy (EIS), and linear polarization resistance. The enamel coating was made by firing enamel slurry to the steel plate at a temperature of around 840 °C. The effect of the size and content of quartz sand on the corrosion resistance is studied, considering four different contents (5 wt.%, 10 wt.%, 20 wt.%, and 30 wt.%) and two different particle sizes (0.38–0.83 mm and 0.83–1.70 mm). The microstructure and phase composition of QSME were characterized with a scanning electron microscope (SEM) and X-ray diffraction (XRD) techniques. SEM images show that the thickness of QSME coating ranges from 430 to 1424 µm depending on the size of quartz sand, and the quartz sand is completely embedded in the enamel matrix. The QSME coating increases the corrosion resistance of uncoated steel plates by approximately 1000 times. The corrosion performance of QSME-coated plates decreases with an increase in quartz sand content, while the effect of the quartz sand size on the corrosion behavior is not significant. The QSME coating can be used to prolong the service lives of civil infrastructures subjected to chloride attack.
1. Introduction
Reinforced concrete (RC) structure is one of the most widely used structural forms in the construction industry. However, the presence of pores in concrete provides channels for the penetration of harmful chemicals from the environment, causing durability problems. For instance, steel rebar corrosion induced by chloride diffusion is one main cause of RC structural degradation in marine environments or in regions where deicing salts are frequently sprayed [1,2]. Corrosion causes cracking, peeling, or delamination of the concrete protective layer and bond loss between steel rebars and the concrete, which ultimately leads to a reduction in the load-carrying capacity of the RC structural members or system [3,4,5]. Corrosion not only poses safety risks but also leads to economic losses. The global cost of corrosion reached $2.5 trillion in 2013, which is approximately equivalent to 3.4% of global GDP [6].
At present, the methods for corrosion protection mainly include the use of high-performance cement admixtures [7,8,9,10], corrosion inhibitors [11,12,13], cathodic protection [14,15], and anticorrosive coatings [16,17,18,19]. As corrosion occurs at the interface between the rebar steel and surrounding concrete, the steel-concrete interface is of significant importance as it determines the efficiency and service life [20]. Therefore, it is crucial to develop reliable and cost-effective methods to improve the surface-related properties of the steel rebar. The use of anticorrosive coating fulfills the anticorrosion demand as it establishes a physical barrier between the steel and the corrosive environment.
Many coatings have been developed for corrosion protection of reinforcement steel in RC structures, such as fusion-bonded epoxy and galvanized zinc coating. They have also been modified by different additives, and results show that they can effectively enhance the corrosion resistance of steel rebars [21,22,23,24,25]. However, the use of fusion-bonded epoxy not only reduces the steel-concrete interfacial bond strength but also is susceptible to under-film corrosion at damage sites caused during transportation and construction [26,27]. The zinc in the hot-dip galvanized coating reacts in an alkaline environment of concrete pores to produce hydrogen gas, which increases the porosity of the interfacial transition zone (ITZ). This, in turn, reduces the steel-concrete bond strength [28].
Enamel is a thin layer of ceramic or glass that is applied to a metal substrate by sintering at high temperatures [29]. It not only has a smooth and glossy surface but also can protect surfaces from chemical (acid or alkaline) attacks or physical damage. Therefore, it is widely used in many applications such as cookware, building panels, chemical containers, transmission pipeline, and so on [30,31]. The enamel properties can be adjusted by adding different oxides [32,33,34,35,36]. For example, the melting temperature is dependent on the contents of Na2O, K2O, and Li2O; ZrO2, PbO, and TiO2 can improve the resistance to acids and alkali; NiO enhances the steel-enamel interfacial adherence [30]. In recent years, calcium silicate particle has been added to enamel coating for improved corrosion and bond performance of steel rebars. The corrosion behavior of calcium silicate-modified enamel-coated steel rebars or plates in NaCl solution, saturated Ca(OH)2, and mortar has been systematically studied [37]. Although calcium silicate-modified enamel improves the corrosion protection of steel rebars, microstructure analysis demonstrates that there are many connected pores and, therefore, the corrosion resistance is reduced compared to pure enamel coating [37]. As the main chemical composition of enamel is silicate dioxide, it could be an option to add purified quartz sand, which not only eliminates the connected pore but also increases the bond strength with surrounding concrete through increased surface roughness.
After summarizing the studies of enamel coating as mentioned above, this contribution for the first time attempts to experimentally investigate both the microstructure and the corrosion behavior of quartz sand-modified enamel coating (QSME) when applied to steel plates. Two types of particle sizes and four different contents of quartz sand are considered. The microstructure and phase composition are characterized using a scanning electron microscope (SEM) and the XRD technique. The corrosion behavior of QSME-coated steel plates was evaluated in NaCl solution for 30 days using a series of electrochemical techniques.
2. Materials and Methods
2.1. Preparation of Quartz Sand-Modified Enamel-Coated Steel Plates
Carbon steel plates with dimensions of 40 mm × 40 mm × 1.8 mm were used in this study. Table 1 shows the chemical composition of the steel plate. The carbon steel plate is coated with quartz sand-modified enamel coating. All steel plates were cleaned with rust remover, abraded with SiC papers (#180–#1000 grits), and then washed with alcohol and deionized water before coating.
Table 1.
Chemical composition of steel plate.
Commercially available enamel powder with chemical composition as shown in Table 2 was used. Quartz sand-modified enamel (QSME) coating was prepared by the wet process. The enamel slurry is made by first mixing enamel powder with purified water in a ratio of 1:2.35 by weight, and then quartz sand particles are added. To study the effects of the size and content of quartz sand particles on the corrosion performance, two different particle sizes (0.38~0.83 mm and 0.83~1.7 mm) and four different contents (5.0 wt.%, 10.0 wt.%, 20.0 wt.%, and 30.0 wt.%) of quartz sand were considered. The coating process mainly consists of three steps (see Figure 1): in Step 1, the cleaned steel plates were dipped in the quartz sand-modified enamel slurry for around 10 min and then moved into a muffle furnace to preheat at 60 °C for 5 min to remove moisture; in Step 2, the temperature of the furnace increased to 840 °C for 10 min; Finally, the furnace was turned off and the plates were cooled down naturally to room temperature inside the furnace (lasts for approximate 5~6 h). The high-temperature firing process melts the enamel powder, which is chemically bonded to the surface of steel plates. In order to ensure the reliability of results, triplicate samples were made for each condition. Additionally, three uncoated plates were also prepared. Table 3 lists all the specimens tested in this study. In Table 3, PE represents “pure enamel”, BE means “QSME coating with 0.83~1.70 mm quartz sand”, and SE means “QSME coating with 0.38~0.83 mm quartz sand”. Therefore, BE10#2 is the second specimen of QSME-coated steel plates with 10.0 wt.% 0.83~1.70 mm quartz sand, and SE20#3 is the third specimen of QSME-coated steel plates with 20.0 wt.% 0.38~0.83 mm quartz sand.
Table 2.
Chemical composition of pure enamel coating.
Figure 1.
Schematic illustration of the coating process.
Table 3.
Steel plate specimens prepared and tested in this study.
Figure 2 shows the surface morphology of PE- and QSME-coated steel plate specimens with different sizes and contents of quartz sand. It is observed that PE-coated steel plate shows a smooth surface. Quartz sands are completely embedded in the enamel matrix of QSME-coated steel plates, which demonstrates a rougher surface compared to PE-coated steel plates.
Figure 2.
Surface morphology of pure enamel and quartz sand-modified enamel coatings.
During the enamel coating process, only the front surface of steel plates was coated. Therefore, the other exposed surfaces should be covered for corrosion tests as depicted in Figure 3. One corner of the steel plate was soldered with a copper wire, and the back surface and four side surfaces were covered with epoxy resin to leave the middle coating area 22 mm × 24 mm immersed in the solution. The exposed area is approximately 5.28 cm2 as shown in Figure 3.
Figure 3.
Schematic diagram of steel plate specimen.
2.2. Microstructure, Phase Composition, and Surface Roughness of PE and QSME Coatings
The microstructure of both PE and QSME coatings was characterized with a scanning electron microscope (SEM, Quanta FEG 450, FEI Company, Hillsboro, OR, USA). Additional PE and QSME-coated steel plates of 20 mm × 20 mm were prepared and mounted with epoxy resin. After curing for 24 h, the cross-section of both PE and QSME-coated steel plates was cut using a wire saw. The cross sections were abraded progressively with sandpapers of 120, 360, 600, and 1000 grit. The polished samples were cleaned with deionized water, and acetone, and dried in an oven at a temperature of 60 °C before microstructure observation.
X-ray diffraction (XRD, Bruker, Billerica, MA, USA) was used to determine the chemical composition of both PE- and QSME-coated steel plates. A Cu target at a scan rate of 4°/min from 0° to 110°(2θ) was used.
The surface roughness of all coated steel plates was also measured by using a 3D laser scanner (NextEngine Scanner, Santa Monica, CA, USA) with a resolution of 0.10 mm.
2.3. Electrochemical Corrosion Tests
The steel plate specimens were submerged in a 3.5 wt.% NaCl solution at room temperature (~20 °C) for a period of 30 days. The pH value of the solution was measured to be 5.74. The corrosion tests were conducted using a three-electrode setup, comprising the coated steel plate as working electrode, a saturated calomel electrode (SCE), and an 18 × 18 × 1 mm platinum sheet counter electrode. The Gamry Interface 1000E was used for data acquisition. To ensure the stability of the data, the open circuit potential (OCP) was first recorded after the specimen was immersed in the solution for one hour. Electrochemical impedance spectroscopy (EIS) tests were then carried out at OCP over a frequency range from 100 kHz to 0.005 Hz with 5 data points per decade and a sinusoidal perturbation of 10 mV. At the end of immersion tests, potentiodynamic polarization was performed from OCP-300 mV to OCP+1500 mV with a scanning rate of 1.0 mV·s−1.
3. Results and Discussion
3.1. Phase Composition, Microstructure, and Surface Roughness
The phase composition of PE- and QSME-coated steel plates is shown in Figure 4. The horizontal axis 2θ is the angle between transmitted beam and reflected beam, and the vertical axis represents the intensity which is related to the number of atoms in the enamel coating. It can be seen that both the PE- and QSME-coated steel plates show a primary chemical SiO2. The amount of SiO2 detected in the QSME-coated steel plate is higher than on the PE-coated steel plate. In addition, oxides Al2O3 and B2O3 are also observed in the coatings.
Figure 4.
XRD patterns for (a) PE-, (b) QSME-coated steel plates.
The scanning electron microscopy (SEM) images of both pure enamel (PE) and quartz sand-modified enamel (QSME) coatings are shown in Figure 5. PE coating has a relatively uniform thickness of ~104 µm, as shown in Figure 5a. Some air bubbles can be observed in the PE coating, which is generated due to the release of hydrogen and CO gases in the high-temperature fire process [37]. For the QSME coating, as indicated in Figure 5b,c, quartz sands can be observed obviously and are fully embedded in the enamel matrix. The thickness of QSME coating ranges from 430 µm to 1424 µm depending on the size of the quartz sand.
Figure 5.
Microscopic images of cross-section for (a) PE, (b) 0.38~0.83 mm, and (c) 0.83~1.70 mm QSME-coated steel plates.
The surface profiles of PE- and QSME-coated steel plates are shown in Figure 6. It can be seen that the PE coating has a relatively smooth surface, and quartz sand can be clearly seen on the QSME-coated steel plates, especially for 0.83–1.70 mm quartz sand (red spots on specimens BE5, BE10, BE20, and BE30). For plates with the same size of quartz sand, the surface roughness increases with an increase in the quartz sand content.
Figure 6.
Surface profile of PE- and QSME-coated steel plates.
3.2. Electrochemical Test Results
3.2.1. Open Circuit Potential (OCP)
Figure 7 depicts the change in the OCP of all steel plates submerged in a 3.5 wt% NaCl solution for 30 days. On day 1, the OCP of the uncoated steel plate is about −570 mV/SCE, and the OCP of the pure enamel-coated steel plate is about −483 mV/SCE. For QSME-coated steel plates with 0.83~1.70 mm quartz sand, as shown in Figure 5a, the effect of quartz sand content on the OCP is not significant and the average OCP is −442 mV/SCE. Starting on day 3, the OCP of all plates decreased rapidly and then remained stabilized till the end of the tests on day 30. The final OCP on day 30 is −729, −511, and −639 mV/SCE for the uncoated, PE-coated, and QSME-coated steel plates, respectively. For the enamel coating modified by 0.83~1.70 mm quartz sand, as shown in Figure 5b, like the 0.38~0.83 mm QSME-coated steel plates in Figure 5a, the content of quartz sand does not obviously affect the OCP. The final average OCP of QSME-coated steel plates on day 30 is −625 mV/SCE. The final OCP ranks as follows: PE-coated > QSME-coated > uncoated steel plates. Therefore, both PE and QSME reduce the probability of steel plate corrosion. The lower OCP of QSME-coated steel plates compared to PE-coated steel plates is attributed to the damage caused during specimen preparation.
Figure 7.
Open circuit potential evolution of QSME-coated steel plates with quartz sand size: (a) 0.83~1.70 mm, and (b) 0.38~0.83 mm.
3.2.2. Electrochemical Impedance Spectroscopy
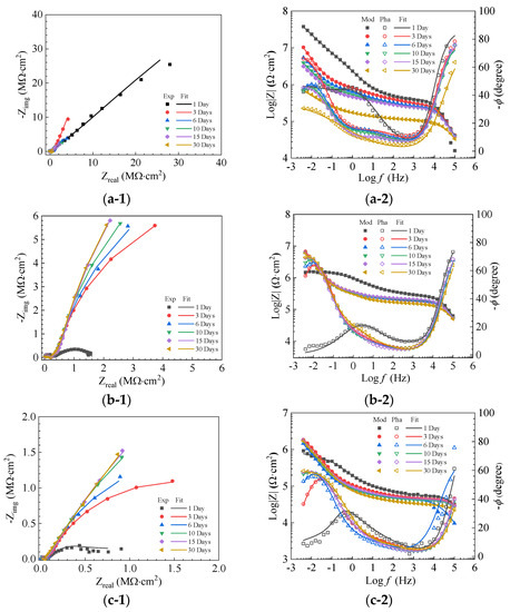
All three steel plates in the same group demonstrate similar results; therefore, only the impedance spectra closest to the average are displayed. Figure 8 depicts the evolution of impedance spectra of uncoated and PE-coated steel plates over time. In the figures, the scatter symbols are testing results, and the continuous lines represent the fitting results using equivalent electrical circuits, as depicted in Figure 9.
Figure 8.
EIS of (a) uncoated and (b) PE-coated steel plates in the format of (1) Nyquist plots and (2) Bode plots.
Figure 9.
Equivalent electrical circuit model for (a) uncoated specimen, (b) PE- and QSME-coated specimens.
Regarding the uncoated plate, as indicated in Figure 8(a-1), one depressed semi-circle is presented in the Nyquist plot, and the diameter of the semi-circle increases gradually with an increase in immersion time. This semi-circle corresponds to the time constant in the Bode plot, as displayed in Figure 8(a-2), which is associated with the properties of the double layer between the NaCl solution and steel plate. The electrical circuit used to fit the impedance spectra for the uncoated steel plate is depicted in Figure 9a. In the model, Rs represents the NaCl solution resistance, CPEdl represents the double-layer capacitance, and Rct represents the charge transfer resistance.
Figure 8(b-1) shows the Nyquist plot of the pure enamel (PE)-coated steel plate. The impedance magnitude of the PE-coated steel plate in the low frequency is about 1000 times that of the uncoated plate. This is primarily ascribed to the high barrier ability of PE coating that reduces the occurrence of corrosion in steel plates. Unlike uncoated steel plates, three time-constants appeared in the Bode-phase diagram for PE-coated steel plates, as shown in Figure 8(b-2). Therefore, a three time-constant equivalent electrical circuit was used to fit the impedance spectra, as illustrated in Figure 7b. It is frequently used to fit impedance spectra of coated metal specimens [38]. In the model, Rs means the solution resistance, CPEc means coating capacitance, Rc means coating electricity, CPEp means corrosion product capacitance, Rp means corrosion product resistance, Rct means charge transfer resistance, and CPEdl means the double layer capacitance.
In the models as depicted in Figure 9, the constant phase element (CPE) was used to describe the non-ideal capacitive behavior of pure enamel, corrosion products, and the double layer due to the non-homogeneities and irregularity associated with the pure enamel, corrosion products, and the double layer [39]. The impedance of CPE is written as:
where Y is a parameter (unit Ω−1·cm−2·sn), j is the imaginary unit, ω is the angular frequency (unit rad/s), and n is a parameter indicating the degree of deviation from pure capacitance. When n = 1, the constant phase element can be regarded as a capacitance of Y; when n = 0, it can be regarded as a resistance. Under the condition of normal distribution, the capacitance is calculated by using [40]:
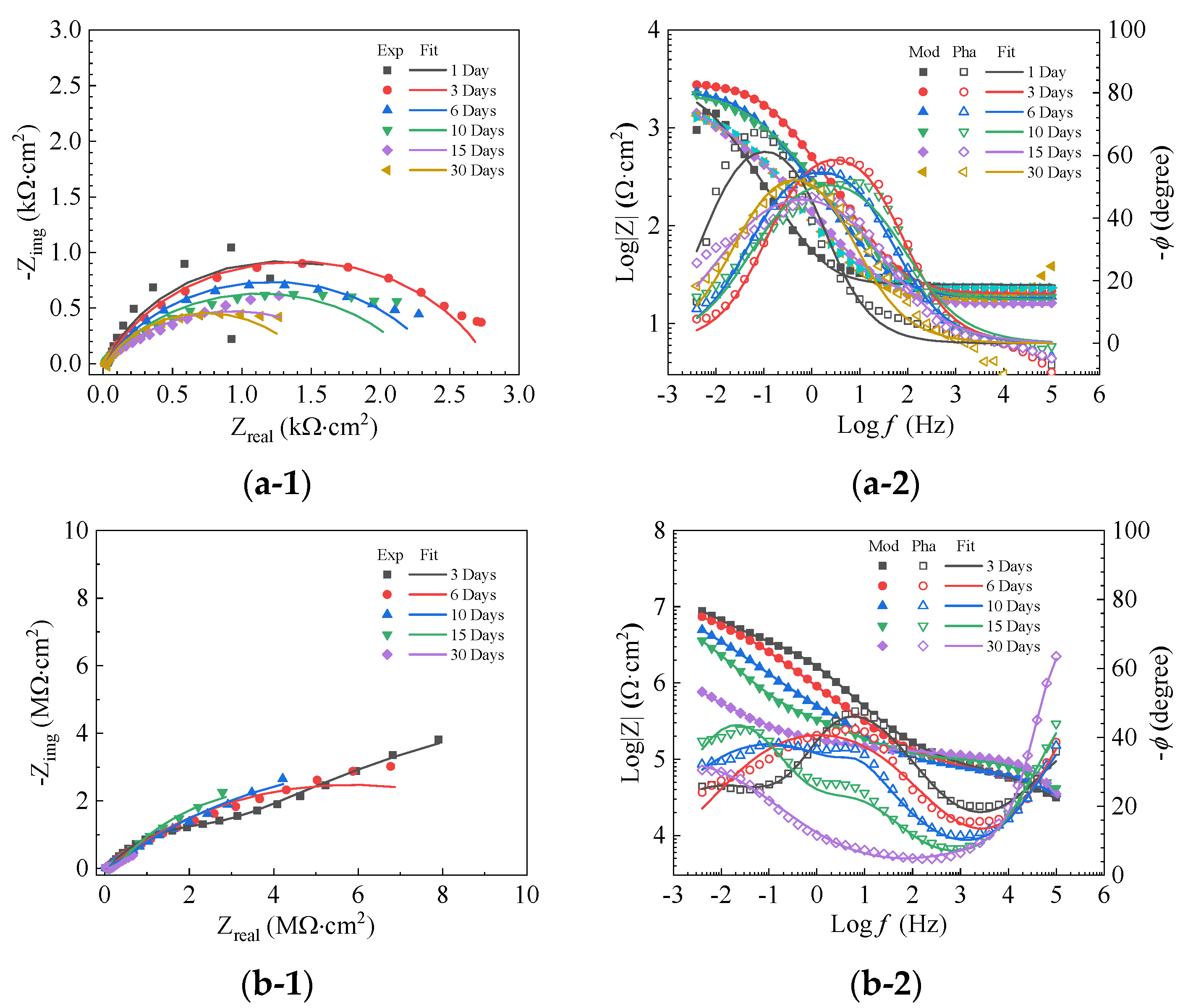
Figure 10 displays the impedance spectra of 0.83~1.7 mm quartz sand-modified enamel (QSME)-coated plates. For QSME-coated steel plate with 5.0 wt.% quartz sand, as indicated in Figure 10(a-1),(a-2), the impedance at low frequency is higher than that of the PE-coated steel plate (see Figure 8b) on day 1. This is because QSME coating is thicker than PE coating, as seen in Figure 4, leading to a higher resistance. Similar to the PE-coated steel plate, three time-constants appeared in the Bode plots, as indicated in Figure 10(a-2). The impedance magnitude decreased with an increase of time due to the chloride penetration in the QSME coating.

Figure 10.
(1) Nyquist plots and (2) Bode plots of the impedance spectra of QSME coated steel plates with 0.83~1.70 mm quartz sand: (a) 5.0 wt.%, (b) 10.0 wt.%, (c) 20.0 wt.%, and (d) 30.0 wt.%.
As the content of quartz sand increases to 10.0 wt.%, as displayed in Figure 10(b-1),(b-2), a dramatic increase in the impedance is observed after 3 days of immersion in 3.5 wt.% NaCl solution, followed by a gradual increase in the impedance over time. This is because there are some potential coating defects in the QSME-coated steel plate. On day 1, the solution penetrates the defected sites and leads to pitting corrosion at these sites. With an increase in time, the coating defect sites are gradually filled with corrosion products that slow down the penetration of oxygen and chloride and, therefore, result in a gradual increase in the impedance over time.
Similar behavior is also observed for QSME-coated steel plates as the content of quartz sand is 20.0 wt.% and 30.0 wt.% as displayed in Figure 10c,d, respectively. It is worth noting that the impedance of QSME-coated steel plates decreases as the content of quartz sand increases after the same immersion time in NaCl solution. This is attributed to the fact that more coating defects are introduced with an increase in quartz sand content.
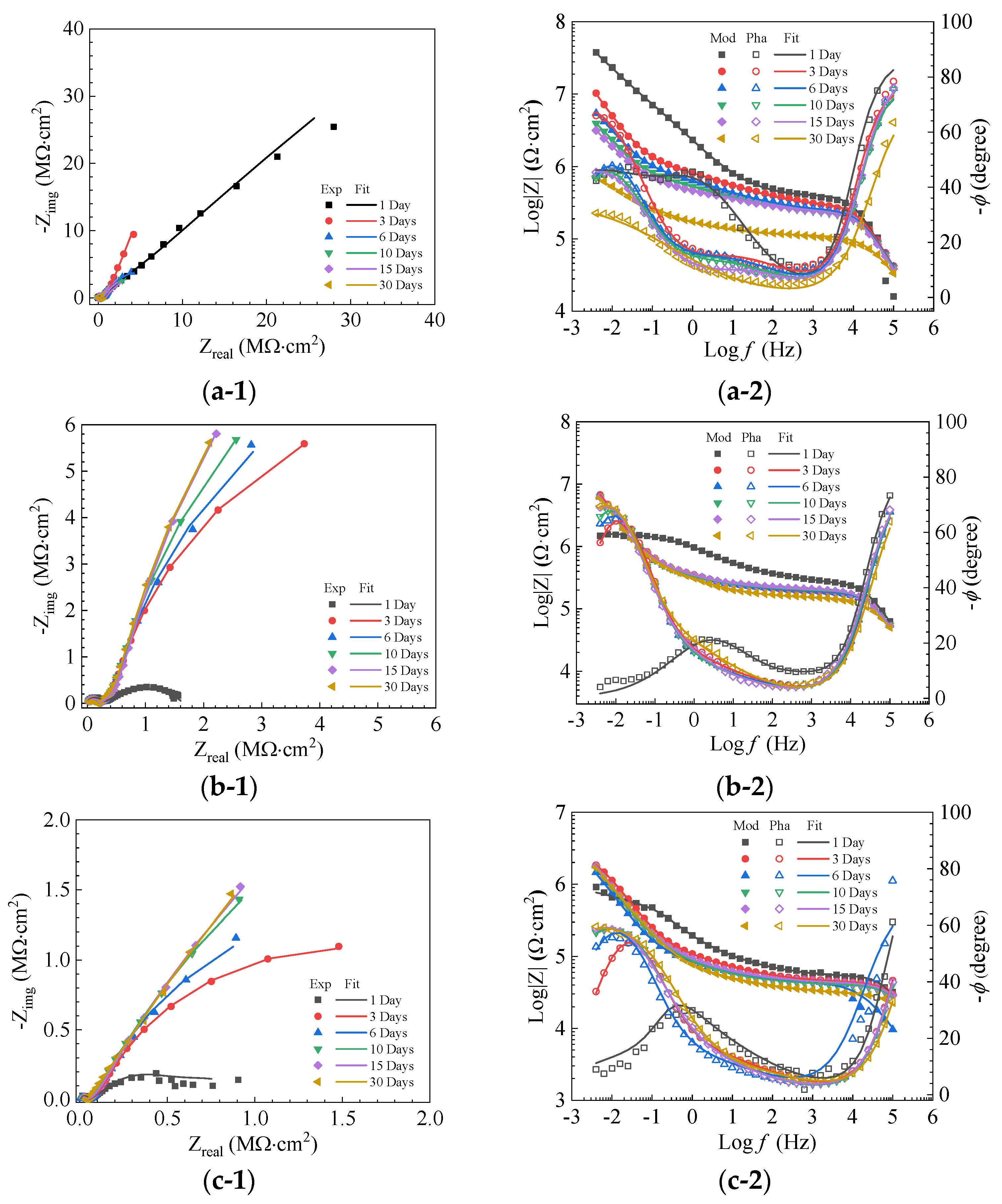
Figure 11 displays the EIS of 0.38~0.83 mm quartz sand-modified enamel (QSME)-coated plates. The impedance magnitude in the low-frequency range is in the same order as both PE (see Figure 8b) and 0.83~1.70 mm quartz sand-modified enamel (QSME)-coated steel plates (see Figure 10). For the Nyquist plot of QSME-coated steel plates with 5.0 wt.% as shown in Figure 11(a-1), the radius of the semi-circle increases from day 1 to day 15, while a significant decrease is observed on day 30. The increase in the first 15 days is mainly attributed to the block-up of corrosion products at the defective sites, while the decrease on day 30 is probably attributed to the falling of corrosion products from the defects as the steel plates are placed vertically during the whole test period.

Figure 11.
(1) Nyquist plots and (2) Bode plots of the impedance spectra of QSME coated steel plates with 0.38~0.83 mm quartz sands: (a) 5.0 wt.%, (b) 10.0 wt.%, (c) 20.0 wt.%, and (d) 30.0 wt.%.
For QSME-coated steel plates with 10.0 wt.% and 20.0 wt.% quartz sand as shown in Figure 11b,c, respectively, the impedance increased gradually with an immersion time in NaCl solution. Regarding QSME-coated steel plate with 30.0 wt.% quartz sand as shown in Figure 11d, the impedance decreased gradually over time throughout the whole test period. It is also noted that the magnitude of the impedance of QSME-coated steel plates decreases with an increase in the content of 0.38~0.83 mm quartz sand.
All parameters involved in the circuit models as depicted in Figure 9 are determined by fitting the impedance spectra of steel plate specimens. Figure 12 shows the change in the coating resistance and coating capacitance of all steel plate specimens over time in NaCl solution. It is the average of three specimens in the same group, and the error bar is the standard deviation. The coating resistance reflects the ability to prevent penetration of electrolyte through the coating, while the coating capacitance indicates the dielectric properties of the coating, which are dependent on the coating microstructure, coating thickness, and coating defects [41].
Figure 12.
Coating resistance and coating capacitance of coated samples for (a) coating resistance of BE, (b) coating resistance of SE, (c) coating capacitance of BE, (d) coating capacitance of SE.
Once submerged in the NaCl solution, the average coating resistance of PE-coated steel plates is 201.9 kΩ cm2. It increased to 1.08 MΩ cm2 on day 3 and then gradually decreased to 190.5 kΩ cm2 on day 30. For 0.83~1.70 mm quartz sand-modified enamel (QSME)-coated steel plate specimens as shown in Figure 12a, the coating resistance of specimen BE5 increased slightly from 277.2 kΩ cm2 to 416.1 kΩ cm2 after 30 days in NaCl solution. This increase is probably attributed to the block-up of coating damage/defects by corrosion products. On the contrary, the average coating resistance decreased from 150.0 kΩ cm2 to 93.5 kΩ cm2, from 43.6 kΩ cm2 to 26.6 kΩ cm2, and from 32.0 kΩ cm2 to 26.3 kΩ cm2 for specimens BE10, BE20, and BE30, respectively. Similar trends are also observed for 0.38~0.83 mm quartz sand-modified enamel (QSME)-coated steel plate specimens as displayed in Figure 12b. The average coating resistance dropped down from 168.8 kΩ cm2 to 86.3 kΩ cm2, from 49.4 kΩ cm2 to 42.8 kΩ cm2, and from 25.9 kΩ cm2 to 14.7 kΩ cm2 for specimens SE5, SE20, and SE30, respectively. However, the coating resistance of specimen SE10 increased from 1.5 MΩ cm2 to 1.9 MΩ cm2. The different behavior of the coating resistance for different specimens is dependent on thickness, microstructure, and dielectric properties of the coating material. The number and size of coating defects or damage caused during specimen preparation also affect the coating resistance. For QSME-coated steel plates, the spatial distribution, the size, and content of quartz sand also influence the coating resistance.
The coating capacitance of PE remained stabilized at around 0.33 µF/cm2 throughout the whole test period in NaCl solution as shown in Figure 12. The coating capacitance of 0.83~1.70 mm quartz sand-modified enamel (QSME)-coated steel plates fluctuated around certain values as shown in Figure 12c. Similar behavior over time is also seen for 0.38~0.83 mm quartz sand-modified enamel (QSME)-coated steel plates as indicated in Figure 12d. Regardless of the size of quartz sand, the coating capacitance of QSME increases with an increase in the content of quartz sand.
Figure 13 shows the change in the charge transfer resistance Rct and double-layer capacitance Cdl of all plates over time. The Rct reflects the difficulty of electron transfer on the steel surface. The higher the charge transfer resistance, the more difficult it is for the specimen to lose electrons and the less likely it is for the specimen to corrode. Therefore, the Rct is inversely proportional to the corrosion rate [42].
Figure 13.
Charge transfer resistance of (a) 0.83~1.70 mm QSME-coated steel plates and (b) 0.38~0.83 mm QSME-coated steel plates, and the double layer capacitance of (c) 0.83~1.70 mm QSME-coated steel plates and (d) 0.38~0.83 mm QSME-coated steel plates.
The Rct value of uncoated plates gradually increased from 1.99 kΩ cm2 to 3.27 kΩ cm2 after 30 days of immersion in NaCl solution as shown in Figure 13a. This increase is attributed to the generation of corrosion products on the plate surface. The charge transfer resistance of PE-coated steel plates is around 11.6 MΩ cm2 at the beginning of the test, which is ~6000 times higher than that of uncoated plates. It remained stabilized and dropped down to 4.17 MΩ cm2 on day 30. For 0.83~1.70 mm quartz sand-modified enamel (QSME)-coated steel plates as shown in Figure 13a, the charge transfer resistance fluctuated around certain values throughout the test period, which is ~1000 times that of uncoated plates. In general, the Rct value of QSME-coated plates decreased as the content of quartz sand increased. Similar behavior also happened for 0.38~0.83 mm quartz sand-modified enamel (QSME)-coated steel plates as shown in Figure 13b.
The Cdl value of uncoated plates slightly decreased from 4.32 mF/cm2 on day 1 to 1.92 mF/cm2 on day 30 in NaCl solution as indicated in Figure 13c. However, the Cdl value of PE- and QSME-coated plates increased in the first week of immersion and then remained stabilized till the termination of the tests as shown in Figs. 13c and 13d. After 30 days of immersion in solution, the double layer capacitance of PE-coated plates is approximately 20 µF/cm2, which is 100 times lower than that of uncoated plates. The Cdl values of QSME-coated plates are comparable to that of PE-coated plates.
3.2.3. Potentiodynamic Polarization
Figure 14 shows the potentiodynamic polarization curves of uncoated, PE- and QSME-coated steel plates in 3.5 wt.% NaCl solution. The parameters extracted, including the corrosion potential and corrosion current density, are listed in Table 4. The average corrosion potential and corrosion current density of uncoated steel plates are −730 mV/SCE and 33.0 µA/cm2, respectively. PE coating reduces the corrosion current density to 0.46 µA/cm2. The average corrosion current densities are 0.22 µA/cm2, 0.58 µA/cm2, 0.30 µA/cm2, 0.79 µA/cm2 for specimens BE5, BE10, BE20, and BE30, respectively. Therefore, QSME coating improves the corrosion resistance of steel plates. The effect of the quartz sand content on the corrosion resistance of the QSME-coated steel plate is not obvious. For 0.38~0.83 mm QSME-coated steel plates, the corrosion current densities are 0.38 µA/cm2, 0.13 µA/cm2, 0.12 µA/cm2, 0.44 µA/cm2 for specimens SE5, SE10, SE20, and SE30, respectively.
Figure 14.
Potentiodynamic polarization curves of uncoated, PE and QSME-coated steel plates: (a) 0.83–1.70 mm quartz sand, and (b) 0.38~0.83 mm quartz sand.
Table 4.
The parameter extracted from the potentidynamic polarization curve.
4. Conclusions
The microstructure and corrosion resistance of quartz sand-modified enamel (QSME) coating are studied by applying it to structural steel plate. The influence of the content and the size of quartz sand on the corrosion behavior of QSME-coated plates is investigated. The conclusions are summarized as follows:
- (1)
- When applied to structural steel plate, pure enamel coating has a relatively uniform thickness of around 104 µm. The quartz sands are completely embedded in the enamel coating matrix, and the coating thickness of QSME varies from 430 µm to 1424 µm depending on the size of the quartz sand;
- (2)
- Both PE and QSME coatings dramatically improve the corrosion protection of steel plates. The corrosion protection of QSME coating is comparable to that of PE coating and is ~1000 times greater than that of uncoated plates;
- (3)
- The corrosion resistance of QSME-coated plates reduces with an increase in the content of quartz sand, while the effect of the size of quartz sand is insignificant;
- (4)
- The QSME coating can be used to prolong the service lives of civil infrastructures subjected to chloride attack.
Author Contributions
Conceptualization, F.T.; methodology, H.C. and F.T.; software, H.C. and B.L.; validation, H.C. and B.L.; formal analysis, H.C., F.T. and Z.L.; investigation, H.C. and B.L.; resources, F.T.; data curation, F.T.; writing—original draft preparation, H.C. and F.T.; writing—review and editing, B.L. and Z.L.; visualization, H.C.; supervision, F.T. and Z.L.; project administration, F.T.; funding acquisition, F.T. All authors have read and agreed to the published version of the manuscript.
Funding
This study was funded by the State Key Laboratory of Silicate Materials for Architectures at Wuhan University of Technology (No. SYSJJ2023-03) and the National Science Foundation of China (No. 52078099).
Institutional Review Board Statement
Not applicable.
Informed Consent Statement
Not applicable.
Data Availability Statement
Some or all data that support the findings of this study are available from the corresponding author upon reasonable request.
Conflicts of Interest
The authors declare no conflict of interest.
References
- Sagues, A.A.; Lau, K.; Powers, R.G.; Kessler, R.J. Corrosion of epoxy-coated rebar in marine bridges-Part 1: A 30-year perspective. Corrosion 2010, 66, 065001. [Google Scholar] [CrossRef]
- Andrade, C. Steel corrosion rates in concrete in contact to sea water. Cem. Concr. Res. 2023, 165, 107085. [Google Scholar] [CrossRef]
- Liu, J.; Zhang, W.; Li, Z.; Jin, H.; Tang, L. Influence of deicing salt on the surface properties of concrete specimens after 20 years. Constr. Build. Mater. 2021, 295, 123643. [Google Scholar] [CrossRef]
- Pedrosa, F.; Andrade, C. Corrosion induced cracking: Effect of different corrosion rates on crack width evolution. Constr. Build. Mater. 2017, 133, 525–533. [Google Scholar] [CrossRef]
- Yu, X.; Qian, K.; Lu, D.; Li, B. Progressive collapse behavior of aging reinforced concrete structures considering corrosion effects. ASCE J. Perform. Constr. Facil. 2017, 31, 04017009. [Google Scholar] [CrossRef]
- NACE International. International Measures of Prevention, Application, and Economics of Corrosion Technologies Study; NACE International: Houston, TX, USA, 2012. [Google Scholar]
- Heniegal, A.M.; Amin, M.; Youssef, H. Effect of silica fume and steel slag coarse aggregate on the corrosion resistance of steel bars. Constr. Build. Mater. 2017, 155, 846–851. [Google Scholar] [CrossRef]
- Saraswathy, V.; Song, H.W. Electrochemical studies on the corrosion performance of steel embedded in activated fly ash blended concrete. Electrochim. Acta 2006, 51, 4601–4611. [Google Scholar] [CrossRef]
- Valcuende, M.; Lliso-Ferrando, J.R.; Ramón-Zamora, J.E.; Soto, J. Corrosion resistance of ultra-high performance fibre- reinforced concrete. Constr. Build. Mater. 2021, 306, 124914. [Google Scholar] [CrossRef]
- Wang, D.; Han, L.; Kang, M.; Wan, M.; Ju, Y. Influence of corrosion on the bond performance of reinforcements and basalt fibre high strength concrete. Case Stud. Constr. Mater. 2022, 17, e01394. [Google Scholar] [CrossRef]
- Cui, L.; Hang, M.; Huang, H.; Gao, X. Experimental study on multi-component corrosion inhibitor for steel bar in chloride environment. Constr. Build. Mater. 2021, 313, 125533. [Google Scholar] [CrossRef]
- Liu, Q.; Song, Z.; Han, H.; Donkor, S.; Jiang, L.; Wang, W.; Chu, H. A novel green reinforcement corrosion inhibitor extracted from waste Platanus acerifolia leaves. Constr. Build. Mater. 2020, 260, 119695. [Google Scholar] [CrossRef]
- Song, Z.; Liu, Y.; Jiang, L.; Pei, C.; Xu, N.; Chu, H.; Guo, M. Using ultrasonic wave to trigger microcapsule inhibitor against chloride-induced corrosion of carbon steel in simulated concrete pore solution. Constr. Build. Mater. 2021, 311, 125331. [Google Scholar] [CrossRef]
- Li, S.; Zhang, L.; Wang, Y.; Hu, P.; Jiang, N.; Guo, P.; Wang, X.; Feng, H. Effect of cathodic protection current density on corrosion rate of high-strength steel wires for stay cable in simulated dynamic marine atmospheric rainwater. Structures 2021, 29, 1655–1670. [Google Scholar] [CrossRef]
- Dai, M.; Liu, J.; Huang, F.; Zhang, Y.; Cheng, Y.F. Effect of cathodic protection potential fluctuations on pitting corrosion of X100 pipeline steel in acidic soil environment. Corros. Sci. 2018, 143, 428–437. [Google Scholar] [CrossRef]
- Wang, B.; Lu, K.; Han, C.; Wu, Q. Study on anti-corrosion performance of silica fume modified magnesium potassium phosphate cement-based coating on steel. Case Stud. Constr. Mater. 2022, 17, e01467. [Google Scholar] [CrossRef]
- Yang, N.; Das, C.S.; Xue, X.; Li, W.; Dai, J.G. Geopolymer coating modified with reduced graphene oxide for improving steel corrosion resistance. Constr. Build. Mater. 2022, 342, 127942. [Google Scholar] [CrossRef]
- Thirumoolan, D.; Sakthinathan, S.P.; Siva, T. Corrosion protection properties of poly((benzoyl phenyl) methacrylate-co-methoxy ethylmethacrylate) coating on mild steel. J. Mol. Struct. 2022, 1264, 133186. [Google Scholar] [CrossRef]
- Zhong, X.; Liang, R.; Liu, G.; Pan, W. Zinc coating on steel by atmosphere plasma spray and their anti-corrosion behavior. Mater. Lett. 2022, 314, 131825. [Google Scholar] [CrossRef]
- Safavi, M.S.; Fathi, M.; Ahadzadeh, I. Feasible strategies for promoting the mechano-corrosion performance of Ni-Co based coatings: Which one is better? Surf. Coat. Technol. 2021, 420, 127337. [Google Scholar] [CrossRef]
- Sharma, N.; Sharma, S.; Sharma, S.K.; Mahajan, R.L.; Mehta, R. Evaluation of corrosion inhibition capability of graphene modified epoxy coatings on reinforcing bars in concrete. Constr. Build. Mater. 2022, 322, 126495. [Google Scholar] [CrossRef]
- Pour-Ali, S.; Dehghanian, C.; Kosari, A. Corrosion protection of the reinforcing steels in chloride-laden concrete environment through epoxy/polyaniline-camphorsulfonate nanocomposite coating. Corros. Sci. 2015, 90, 239–247. [Google Scholar] [CrossRef]
- Saravanan, K.; Sathiyanarayanan, S.; Muralidharan, S.; Azim, S.S.; Venkatachari, G. Performance evaluation of polyaniline pigmented epoxy coating for corrosion protection of steel in concrete environment. Prog. Org. Coat. 2007, 59, 160–167. [Google Scholar] [CrossRef]
- Figueira, R.B.; Silva, E.C.J.R.; Pereira, V. Hot-dip galvanized steel dip-coated with ureasilicate hybrid in simulated concrete pore solution: Assessment of coating morphology and corrosion protection efficiency. Prog. Org. Coat. 2015, 88, 245–255. [Google Scholar] [CrossRef]
- Al-Negheimish, A.; Hussain, R.R.; Alhozaimy, A.; Singh, D.D.N. Corrosion performance of hot-dip galvanized zinc-aluminum coated steel rebars in comparison to the conventional pure zinc coated rebars in concrete environment. Constr. Build. Mater. 2021, 274, 121921. [Google Scholar] [CrossRef]
- El-Hawary, M.M. Evaluation of bond strength of epoxy-coated bars in concrete exposed to marine environment. Constr. Build. Mater. 1999, 13, 357–362. [Google Scholar] [CrossRef]
- Tang, F.; Chen, G.; Brow, R.K. Chloride-induced corrosion mechanism and rate of enamel- and epoxy-coated deformed steel bars embedded in mortar. Cem. Concr. Res. 2016, 82, 58–73. [Google Scholar] [CrossRef]
- Pokorný, P.; Tej, P.; Kouřil, M. Evaluation of the impact of corrosion of hot-dip galvanized reinforcement on bond strength with concrete—A review. Constr. Build. Mater. 2017, 132, 271–289. [Google Scholar] [CrossRef]
- Rossi, S.; Russo, F.; Calovi, M. Durability of vitreous enamel coatings and their resistance to abrasion, chemicals, and corrosion: A review. J. Coat. Technol. Res. 2020, 18, 39–52. [Google Scholar] [CrossRef]
- Tao, J.; Guo, X.; Huang, Z.; Liu, H.; Wang, T. Preparation and characterization of enamel coating on pure titanium as a hydrogen penetration barrier. Nucl. Eng. Des. 2013, 259, 65–70. [Google Scholar] [CrossRef]
- Fan, L.; Tang, F.; Reis, S.T.; Chen, G.; Koenigstein, M.L. Corrosion resistance of steel pipes internally coated with enamel. Corrosion 2017, 73, 1335–1345. [Google Scholar] [CrossRef]
- Rossi, S.; Zanella, C.; Sommerhuber, R. Influence of mill additives on vitreous enamel properties. Mater. Des. 2014, 55, 880–887. [Google Scholar] [CrossRef]
- Samiee, L.; Sarpoolaky, H.; Mirhabibi, A. Microstructure and adherence of cobalt containing and cobalt free enamels to low carbon steel. Mater. Sci. Eng. A 2007, 458, 88–95. [Google Scholar] [CrossRef]
- Wang, D. Effect of crystallization on the property of hard enamel coating on steel substrate. Appl. Surf. Sci. 2009, 255, 4640–4645. [Google Scholar] [CrossRef]
- Rossi, S.; Russo, F.; Gasparre, N.; Fontanari, V. Influence of graphene addition on the mechanical and surface properties of vitreous enamel coatings. Surf. Coat. Technol. 2020, 398, 126071. [Google Scholar] [CrossRef]
- Qian, H.; Chen, S.; Wang, T.; Cheng, G.; Chen, X.; Xu, Z.; Zeng, Q.; Liu, Y.; Yan, D. Silicon nitride modified enamel coatings enable high thermal shock and corrosion resistances for steel protection. Surf. Coatings Technol. 2021, 421, 127474. [Google Scholar] [CrossRef]
- Tang, F. Enamel Coated Steel Reinforcement for Improved Durability and Life-Cycle Performance of Concrete Structures: Microstructure, Corrosion and Deterioration. Ph.D. Thesis, Missouri University of Science and Technology, Rolla, MO, USA, 2013. [Google Scholar]
- Jamil, H.E.; Shriri, A.; Boulif, R.; Montemor, M.F.; Ferreira, M.G.S. Corrosion behaviour of reinforcing steel exposed to an amino alcohol based corrosion inhibitor. Cem. Concr. Compos. 2005, 27, 671–678. [Google Scholar] [CrossRef]
- Rodíguez Presa, M.J.; Tucceri, R.I.; Florit, M.I.; Posadas, D. Constant phase element behavior in the poly(o-toluidine) impedance response. J. Electroanal. Chem. 2001, 502, 82–90. [Google Scholar] [CrossRef]
- Hirschorn, B.; Orazem, M.E.; Tribollet, B.; Vivier, V.; Frateur, I.; Musiani, M. Determination of effective capacitance and film thickness from constant-phase-element parameters. Electrochim Acta. 2010, 55, 6218–6227. [Google Scholar] [CrossRef]
- Zhang, Y.; Shao, Y.; Zhang, T.; Meng, G.; Wang, F. The effect of epoxy coating containing emeraldine base and hydrofluoric acid doped polyaniline on the corrosion protection of AZ91D magnesium alloy. Corros. Sci. 2011, 53, 3747–3755. [Google Scholar] [CrossRef]
- Hassan, H.H.; Abdelghani, E.; Amin, M.A. Inhibition of mild steel corrosion in hydrochloric acid solution by triazole derivatives. Part I. Polarization and EIS studies. Electrochim. Acta. 2007, 52, 6359–6366. [Google Scholar] [CrossRef]
Disclaimer/Publisher’s Note: The statements, opinions and data contained in all publications are solely those of the individual author(s) and contributor(s) and not of MDPI and/or the editor(s). MDPI and/or the editor(s) disclaim responsibility for any injury to people or property resulting from any ideas, methods, instructions or products referred to in the content. |
© 2023 by the authors. Licensee MDPI, Basel, Switzerland. This article is an open access article distributed under the terms and conditions of the Creative Commons Attribution (CC BY) license (https://creativecommons.org/licenses/by/4.0/).















