Characterization of [1]Benzothieno[3,2-b]benzothiophene (BTBT) Derivatives with End-Capping Groups as Solution-Processable Organic Semiconductors for Organic Field-Effect Transistors
Abstract
1. Introduction
2. Materials and Methods
2.1. Materials and Methods
2.2. Synthesis
2.2.1. Synthesis of 2-(Phenylethynyl)benzo[b]benzo[4,5]thieno[2,3-d]thiophene (1)
2.2.2. Synthesis of 2-Octyl-7-(5-(phenylethynyl)thiophen-2-yl)benzo[b]benzo[4,5]thieno[2,3-d]thiophene (2)
2.2.3. Synthesis of Triisopropyl((5-(7-octylbenzo[b]benzo[4,5]thieno[2,3-d]thiophen-2-yl)thiophen-2-yl)ethynyl)silane (3)
2.3. Theoretical Calculation
2.4. Device Fabrication
2.5. Device and Film Characterization
3. Results
3.1. Thermal, Optical, and Electrochemical Properties
3.2. Theoretical Calculation
3.3. Thin Film Microstructure and Morphology
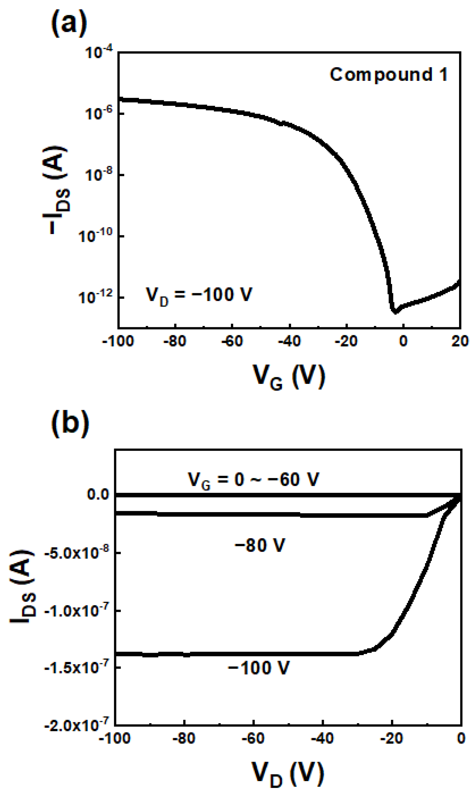
3.4. Thin Film Transistor Characterization
4. Conclusions
Supplementary Materials
Author Contributions
Funding
Institutional Review Board Statement
Informed Consent Statement
Data Availability Statement
Conflicts of Interest
References
- Youn, J.; Vegiraju, S.; Emery, J.D.; Leever, B.J.; Kewalramani, S.; Lou, S.J.; Zhang, S.; Prabakaran, K.; Ezhumalai, Y.; Kim, C. Diperfluorophenyl fused thiophene semiconductors for n-type organic thin film transistors (OTFTs). Adv. Electron. Mater. 2015, 1, 1500098. [Google Scholar] [CrossRef]
- Ho, D.; Lee, J.; Park, S.; Park, Y.; Cho, K.; Campana, F.; Lanari, D.; Facchetti, A.; Seo, S.; Kim, C.; et al. Green solvents for organic thin-film transistor processing. J. Mater. Chem. C 2020, 8, 5786–5794. [Google Scholar] [CrossRef]
- Park, Y.; Baeg, K.-J.; Kim, C. Solution-processed nonvolatile organic transistor memory based on semiconductor blends. ACS Appl. Mater. Interfaces 2019, 11, 8327–8336. [Google Scholar] [CrossRef] [PubMed]
- Vegiraju, S.; He, G.Y.; Kim, C.; Priyanka, P.; Chiu, Y.J.; Liu, C.W.; Huang, C.Y.; Ni, J.S.; Wu, Y.W.; Chen, Z. Solution-Processable Dithienothiophenoquinoid (DTTQ) Structures for Ambient-Stable n-Channel Organic Field Effect Transistors. Adv. Funct. Mater. 2017, 27, 1606761. [Google Scholar] [CrossRef]
- Lee, J.; Chen, H.-F.; Batagoda, T.; Coburn, C.; Djurovich, P.I.; Thompson, M.E.; Forrest, S.R. Deep blue phosphorescent organic light-emitting diodes with very high brightness and efficiency. Nat. Mater. 2016, 15, 92–98. [Google Scholar] [CrossRef] [PubMed]
- Kwon, G.; Kim, K.; Choi, B.D.; Roh, J.; Lee, C.; Noh, Y.Y.; Seo, S.; Kim, M.G.; Kim, C. Multifunctional Organic-Semiconductor Interfacial Layers for Solution-Processed Oxide-Semiconductor Thin-Film Transistor. Adv. Mater. 2017, 29, 1607055. [Google Scholar] [CrossRef] [PubMed]
- Ho, D.; Ozdemir, R.; Kim, H.; Earmme, T.; Usta, H.; Kim, C. BODIPY-based semiconducting materials for organic bulk heterojunction photovoltaics and thin-film transistors. ChemPlusChem 2019, 84, 18–37. [Google Scholar] [CrossRef]
- Guo, X.; Quinn, J.; Chen, Z.; Usta, H.; Zheng, Y.; Xia, Y.; Hennek, J.W.; Ortiz, R.P.; Marks, T.J.; Facchetti, A. Dialkoxybithiazole: A new building block for head-to-head polymer semiconductors. J. Am. Chem. Soc. 2013, 135, 1986–1996. [Google Scholar] [CrossRef]
- Baude, P.; Ender, D.; Haase, M.; Kelley, T.; Muyres, D.; Theiss, S. Pentacene-based radio-frequency identification circuitry. Appl. Phys. Lett. 2003, 82, 3964–3966. [Google Scholar] [CrossRef]
- Campana, F.; Kim, C.; Marrocchi, A.; Vaccaro, L. Green solvent-processed organic electronic devices. J. Mater. Chem. C 2020, 8, 15027–15047. [Google Scholar] [CrossRef]
- Ho, D.; Jeon, M.; Kim, H.; Gidron, O.; Kim, C.; Seo, S. Solution-processable dithieno [3,2-b:2′,3′-d] thiophene derivatives for organic thin-film transistors and complementary-like inverters. Org. Electron. 2018, 52, 356–363. [Google Scholar] [CrossRef]
- Han, J.; Thirupathaiah, B.; Kwon, G.; Kim, C.; Seo, S. Synthesis and characterization of carbazole-and α-carboline-based thiophene derivatives as organic semiconductors for organic thin-film transistors. Dyes Pigm. 2015, 114, 78–84. [Google Scholar] [CrossRef]
- Huang, T.; Jiang, W.; Duan, L. Recent progress in solution processable TADF materials for organic light-emitting diodes. J. Mater. Chem. C 2018, 6, 5577–5596. [Google Scholar] [CrossRef]
- Qiao, Y.; Guo, Y.; Yu, C.; Zhang, F.; Xu, W.; Liu, Y.; Zhu, D. Diketopyrrolopyrrole-containing quinoidal small molecules for high-performance, air-stable, and solution-processable n-channel organic field-effect transistors. J. Am. Chem. Soc. 2012, 134, 4084–4087. [Google Scholar] [CrossRef]
- Quinn, J.T.; Zhu, J.; Li, X.; Wang, J.; Li, Y. Recent progress in the development of n-type organic semiconductors for organic field effect transistors. J. Mater. Chem. C 2017, 5, 8654–8681. [Google Scholar] [CrossRef]
- Vegiraju, S.; Hsieh, C.-M.; Huang, D.-Y.; Chen, Y.-C.; Priyanka, P.; Ni, J.-S.; Esya, F.A.; Kim, C.; Yau, S.L.; Chen, C.-P. Synthesis and characterization of solution-processable diketopyrrolopyrrole (DPP) and tetrathienothiophene (TTA)-based small molecules for organic thin film transistors and organic photovoltaic cells. Dyes Pigm. 2016, 133, 280–291. [Google Scholar] [CrossRef]
- Huang, P.-Y.; Chen, L.-H.; Kim, C.; Chang, H.-C.; Liang, Y.-J.; Feng, C.-Y.; Yeh, C.-M.; Ho, J.-C.; Lee, C.-C.; Chen, M.-C. High-performance bottom-contact organic thin-film transistors based on benzo[d,d′]thieno[3,2-b;4,5-b′]dithiophenes (BTDTs) derivatives. ACS Appl. Mater. Interfaces 2012, 4, 6992–6998. [Google Scholar] [CrossRef]
- Gao, X.; Hu, Y. Development of n-type organic semiconductors for thin film transistors: A viewpoint of molecular design. J. Mater. Chem. C 2014, 2, 3099–3117. [Google Scholar] [CrossRef]
- Katz, H.E.; Bao, Z.; Gilat, S.L. Synthetic chemistry for ultrapure, processable, and high-mobility organic transistor semiconductors. Acc. Chem. Res. 2001, 34, 359–369. [Google Scholar] [CrossRef]
- Guo, X.; Ortiz, R.P.; Zheng, Y.; Kim, M.-G.; Zhang, S.; Hu, Y.; Lu, G.; Facchetti, A.; Marks, T.J. Thieno [3,4-c] pyrrole-4,6-dione-based polymer semiconductors: Toward high-performance, air-stable organic thin-film transistors. J. Am. Chem. Soc. 2011, 133, 13685–13697. [Google Scholar] [CrossRef]
- He, Y.; Xu, W.; Murtaza, I.; Zhang, D.; He, C.; Zhu, Y.; Meng, H. Molecular phase engineering of organic semiconductors based on a [1]benzothieno[3,2-b][1] benzothiophene core. RSC Adv. 2016, 6, 95149–95155. [Google Scholar] [CrossRef]
- He, Y.; Sezen, M.; Zhang, D.; Li, A.; Yan, L.; Yu, H.; He, C.; Goto, O.; Loo, Y.L.; Meng, H. High Performance OTFTs Fabricated Using a Calamitic Liquid Crystalline Material of 2-(4-Dodecyl phenyl)[1] benzothieno [3,2-b][1] benzothiophene. Adv. Electron. Mater. 2016, 2, 1600179. [Google Scholar] [CrossRef]
- Cho, J.-M.; Mori, T. Low-temperature band transport and impact of contact resistance in organic field-effect transistors based on single-crystal films of Ph-BTBT-C10. Phys. Rev. Appl. 2016, 5, 064017. [Google Scholar] [CrossRef]
- Takimiya, K.; Ebata, H.; Sakamoto, K.; Izawa, T.; Otsubo, T.; Kunugi, Y. 2, 7-Diphenyl[1]benzothieno [3,2-b]benzothiophene, a new organic semiconductor for air-stable organic field-effect transistors with mobilities up to 2.0 cm2V-1s-1. J. Am. Chem. Soc. 2006, 128, 12604–12605. [Google Scholar] [CrossRef]
- Schweicher, G.; Lemaur, V.; Niebel, C.; Ruzié, C.; Diao, Y.; Goto, O.; Lee, W.Y.; Kim, Y.; Arlin, J.B.; Karpinska, J. Bulky end-capped[1]benzothieno[3,2-b] benzothiophenes: Reaching high-mobility organic semiconductors by fine tuning of the crystalline solid-state order. Adv. Mater. 2015, 27, 3066–3072. [Google Scholar] [CrossRef]
- Amin, A.Y.; Khassanov, A.; Reuter, K.; Meyer-Friedrichsen, T.; Halik, M. Low-voltage organic field effect transistors with a 2-tridecyl[1] benzothieno[3,2-b][1]benzothiophene semiconductor layer. J. Am. Chem. Soc. 2012, 134, 16548–16550. [Google Scholar] [CrossRef]
- Ullah, M.; Wawrzinek, R.; Nagiri, R.C.; Lo, S.C.; Namdas, E.B. UV–deep blue–visible light-emitting organic field effect transistors with high charge carrier mobilities. Adv. Opt. Mater. 2017, 5, 1600973. [Google Scholar] [CrossRef]
- Colella, S.; Ruzié, C.; Schweicher, G.; Arlin, J.B.; Karpinska, J.; Geerts, Y.; Samorì, P. High Mobility in Solution-Processed 2,7-Dialkyl-[1]benzothieno[3,2-b][1] benzothiophene-Based Field-Effect Transistors Prepared with a Simplified Deposition Method. ChemPlusChem 2014, 79, 371–374. [Google Scholar] [CrossRef]
- Yuan, Y.; Giri, G.; Ayzner, A.L.; Zoombelt, A.P.; Mannsfeld, S.C.; Chen, J.; Nordlund, D.; Toney, M.F.; Huang, J.; Bao, Z. Ultra-high mobility transparent organic thin film transistors grown by an off-centre spin-coating method. Nat. Commun. 2014, 5, 3005. [Google Scholar] [CrossRef]
- Iino, H.; Hanna, J.-I. Liquid crystalline organic semiconductors for organic transistor applications. Polym. J. 2017, 49, 23–30. [Google Scholar] [CrossRef]
- Iino, H.; Usui, T.; Hanna, J.-I. Liquid crystals for organic thin-film transistors. Nat. Commun. 2015, 6, 6828. [Google Scholar] [CrossRef]
- Bernal, V.; Giraldo, L.; Moreno-Piraján, J. Physicochemical Properties of Activated Carbon: Their Effect on the Adsorption of Pharmaceutical Compounds and Adsorbate–Adsorbent Interactions. C 2018, 4, 62. [Google Scholar] [CrossRef]
- Niemczak, M.; Rzemieniecki, T.; Sobiech, Ł.; Skrzypczak, G.; Praczyk, T.; Pernak, J. Influence of the alkyl chain length on the physicochemical properties and biological activity in a homologous series of dichlorprop-based herbicidal ionic liquids. J. Mol. Liq. 2019, 276, 431–440. [Google Scholar] [CrossRef]
- Othman Zailani, N.H.Z.; Yunus, N.M.; Ab Rahim, A.H.; Bustam, M.A. Thermophysical properties of newly synthesized ammonium-based protic ionic liquids: Effect of temperature, anion and alkyl chain length. Processes 2020, 8, 742. [Google Scholar] [CrossRef]
- Tian, H.K.; Shi, J.W.; He, B.; Hu, N.H.; Dong, S.Q.; Yan, D.H.; Zhang, J.P.; Geng, Y.H.; Wang, F.S. Naphthyl and Thionaphthyl End-Capped Oligothiophenes as Organic Semiconductors: Effect of Chain Length and End-Capping Groups. Adv. Funct. Mater. 2007, 17, 1940–1951. [Google Scholar] [CrossRef]
- Ozdemir, M.; Choi, D.; Zorlu, Y.; Cosut, B.; Kim, H.; Kim, C.; Usta, H. A new rod-shaped BODIPY-acetylene molecule for solution-processed semiconducting microribbons in n-channel organic field-effect transistors. New J. Chem. 2017, 41, 6232–6240. [Google Scholar] [CrossRef]
- Diallo, A.K.; Videlot-Ackermann, C.; Marsal, P.; Brisset, H.; Fages, F.; Kumagai, A.; Yoshimoto, N.; Serein-Spirau, F.; Lère-Porte, J.-P. Acetylenic spacers in phenylene end-substituted oligothiophene core for highly air-stable organic field-effect transistors. Phys. Chem. Chem. Phys. 2010, 12, 3845–3851. [Google Scholar] [CrossRef]
- Gao, H.; Li, Y.; Wang, L.; Ji, C.; Wang, Y.; Tian, W.; Yang, X.; Yin, L. High performance asymmetrical push–pull small molecules end-capped with cyanophenyl for solution-processed solar cells. Chem. Commun. 2014, 50, 10251–10254. [Google Scholar] [CrossRef]
- Kang, H.; Jang, Y.; Ho, D.; Ryu, S.; Kim, C.; Seo, S. Development and Characterization of Solution-Processable Dithieno [3,2-b:2’,3’-d] thiophenes Derivatives with Various End-capped Groups for Organic Field-Effect Transistors. ChemPlusChem 2022, 87, e202200267. [Google Scholar] [CrossRef]
- Kim, H.; Reddy, M.R.; Kwon, G.; Choi, D.; Kim, C.; Seo, S. Synthesis and characterization of 2,7-diethynyl-benzo[b]benzo[4,5]thieno[2,3-d] thiophene derivative as organic semiconductors for organic thin-film transistors. Synth. Met. 2016, 220, 599–605. [Google Scholar] [CrossRef]
- Kim, Y.J.; Back, J.Y.; Kim, S.O.; Jeon, C.W.; Park, C.E.; Kim, Y.H. Efficient Diketopyrrolopyrrole-Based Small-Molecule Bulk-Heterojunction Solar Cells with Different Electron-Donating End-Groups. Chem. Asian J. 2014, 9, 2505–2513. [Google Scholar] [CrossRef]
- Roy, V.; Zhi, Y.G.; Xu, Z.X.; Yu, S.C.; Chan, P.W.H.; Che, C.M. Functionalized Arylacetylene Oligomers for Organic Thin-Film Transistors (OTFTs). Adv. Mater. 2005, 17, 1258–1261. [Google Scholar] [CrossRef]
- Silvestri, F.; Marrocchi, A.; Seri, M.; Kim, C.; Marks, T.J.; Facchetti, A.; Taticchi, A. Solution-processable low-molecular weight extended arylacetylenes: Versatile p-type semiconductors for field-effect transistors and bulk heterojunction solar cells. J. Am. Chem. Soc. 2010, 132, 6108–6123. [Google Scholar] [CrossRef]
- Wu, Z.; Li, A.; Fan, B.; Xue, F.; Adachi, C.; Ouyang, J. Phenanthrene-functionalized 3,6-dithiophen-2-yl-2,5-dihydropyrrolo[3,4–c]pyrrole-1,4-diones as donor molecules for solution-processed organic photovoltaic cells. Sol. Energy Mater. Sol. Cells 2011, 95, 2516–2523. [Google Scholar] [CrossRef]
- Yu, C.; He, C.; Yang, Y.; Cai, Z.; Luo, H.; Li, W.; Peng, Q.; Zhang, G.; Liu, Z.; Zhang, D. New Conjugated Molecules with Two and Three Dithienyldiketopyrrolopyrrole (DPP) Moieties Substituted at meta Positions of Benzene toward p-and n-Type Organic Photovoltaic Materials. Chem. Asian J. 2014, 9, 1570–1578. [Google Scholar] [CrossRef] [PubMed]
- Marrocchi, A.; Silvestri, F.; Seri, M.; Facchetti, A.; Taticchi, A.; Marks, T.J. Conjugated anthracene derivatives as donor materials for bulk heterojunction solar cells: Olefinic versus acetylenic spacers. Chem. Commun. 2009, 1380–1382. [Google Scholar] [CrossRef] [PubMed]
- Braunecker, W.A.; Oosterhout, S.D.; Owczarczyk, Z.R.; Larsen, R.E.; Larson, B.W.; Ginley, D.S.; Boltalina, O.V.; Strauss, S.H.; Kopidakis, N.; Olson, D.C. Ethynylene-linked donor–acceptor alternating copolymers. Macromolecules 2013, 46, 3367–3375. [Google Scholar] [CrossRef]
- Broggi, A.; Tomasi, I.; Bianchi, L.; Marrocchi, A.; Vaccaro, L. Small Molecular Aryl Acetylenes: Chemically Tailoring High-Efficiency Organic Semiconductors for Solar Cells and Field-Effect Transistors. ChemPlusChem 2014, 79, 486–507. [Google Scholar] [CrossRef] [PubMed]
- Yu, H.; Li, W.; Tian, H.; Wang, H.; Yan, D.; Zhang, J.; Geng, Y.; Wang, F. Benzothienobenzothiophene-based conjugated oligomers as semiconductors for stable organic thin-film transistors. ACS Appl. Mater. Interfaces 2014, 6, 5255–5262. [Google Scholar] [CrossRef]
- Park, W.; Yun, C.; Yun, S.; Lee, J.-J.; Bae, S.; Ho, D.; Earmme, T.; Kim, C.; Seo, S. [1]Benzothieno[3,2-b][1] benzothiophene-based liquid crystalline organic semiconductor for solution-processed organic thin film transistors. J. Ind. Eng. Chem. 2022, 114, 161–170. [Google Scholar] [CrossRef]
- Kim, Y.; Yun, C.; Yun, S.; Ho, D.; Earmme, T.; Kim, C.; Seo, S. Modification of alkyl side chain on thiophene-containing benzothieno [3,2-b]benzothiophene-based organic semiconductors for organic field-effect transistors. Synth. Met. 2022, 291, 117173. [Google Scholar] [CrossRef]
- Choi, H.H.; Cho, K.; Frisbie, C.D.; Sirringhaus, H.; Podzorov, V. Critical assessment of charge mobility extraction in FETs. Nat. Mater. 2018, 17, 2–7. [Google Scholar] [CrossRef] [PubMed]
- McCulloch, I.; Salleo, A.; Chabinyc, M. Avoid the kinks when measuring mobility. Science 2016, 352, 1521–1522. [Google Scholar] [CrossRef] [PubMed]
- Tamayo, A.B.; Tantiwiwat, M.; Walker, B.; Nguyen, T.-Q. Design, synthesis, and self-assembly of oligothiophene derivatives with a diketopyrrolopyrrole core. J. Phys. Chem. C 2008, 112, 15543–15552. [Google Scholar] [CrossRef]
- Do, T.T.; Ha, Y.E.; Kim, J.H. Effect of the number of thiophene rings in polymers with 2,1,3-benzooxadiazole core on the photovoltaic properties. Org. Electron. 2013, 14, 2673–2681. [Google Scholar] [CrossRef]
- Kim, B.; Ma, B.; Donuru, V.R.; Liu, H.; Frechet, J.M. Bodipy-backboned polymers as electron donor in bulk heterojunction solar cells. Chem. Commun. 2010, 46, 4148–4150. [Google Scholar] [CrossRef]
- Seo, D.; Yoon, Y.; Yeo, H.M.; Lee, K.K.; Kim, B.; Kwak, K. Density Functional Theory Study of Silolodithiophene Thiophenepyrrolopyrroledione-based Small Molecules: The Effect of Alkyl Side Chain Length in Electron Donor Materials. Bull. Korean Chem. Soc. 2015, 36, 513–519. [Google Scholar]
- Ma, Z.; Geng, H.; Wang, D.; Shuai, Z. Influence of alkyl side-chain length on the carrier mobility in organic semiconductors: Herringbone vs. pi–pi stacking. J. Mater. Chem. C 2016, 4, 4546–4555. [Google Scholar] [CrossRef]
- Geiger, M.; Acharya, R.; Reutter, E.; Ferschke, T.; Zschieschang, U.; Weis, J.; Pflaum, J.; Klauk, H.; Weitz, R.T. Effect of the degree of the gate-dielectric surface roughness on the performance of bottom-gate organic thin-film transistors. Adv. Mater. Interfaces 2020, 7, 1902145. [Google Scholar] [CrossRef]
- Rumer, J.; Rossbauer, S.; Planells, M.; Watkins, S.; Anthopoulos, T.; McCulloch, I. Reduced roughness for improved mobility in benzodipyrrolidone-based, n-type OFETs. J. Mater. Chem. C 2014, 2, 8822–8828. [Google Scholar] [CrossRef]




| DSC Tm (°C) a | TGA Td (°C) b | UV–Vis λmax (nm) c | Egap (eV) d | Eoxonset (eV) e | HOMO (eV) e | LUMO (eV) f | |
|---|---|---|---|---|---|---|---|
| 1 | 212 | 257 | 335 | 3.34 | 1.36 | −5.70 | −2.36 |
| 2 | 214 | 369 | 375 | 2.96 | 0.82 | −5.16 | −2.20 |
| 3 | 158 | 336 | 368 | 3.06 | 1.14 | −5.48 | −2.42 |
| Compound | µmax (cm2/Vs) (µavg (cm2/Vs)) | Ion/Ioff | Vth (V) |
|---|---|---|---|
| 1 | 0.024 ± 0.006 (0.030) | (6.6 ± 2.0) × 106 | −18 ± 4.0 |
| 2 | 0.0062 ± 0.0002 (0.0064) | (5.0 ± 0.8) × 106 | −23 ± 4.0 |
| 3 | 0.0067 ± 0.0003 (0.0070) | (3.5 ± 1.3) × 103 | −29 ± 5.0 |
Disclaimer/Publisher’s Note: The statements, opinions and data contained in all publications are solely those of the individual author(s) and contributor(s) and not of MDPI and/or the editor(s). MDPI and/or the editor(s) disclaim responsibility for any injury to people or property resulting from any ideas, methods, instructions or products referred to in the content. |
© 2023 by the authors. Licensee MDPI, Basel, Switzerland. This article is an open access article distributed under the terms and conditions of the Creative Commons Attribution (CC BY) license (https://creativecommons.org/licenses/by/4.0/).
Share and Cite
Ryu, S.; Yun, C.; Ryu, S.; Ahn, J.; Kim, C.; Seo, S. Characterization of [1]Benzothieno[3,2-b]benzothiophene (BTBT) Derivatives with End-Capping Groups as Solution-Processable Organic Semiconductors for Organic Field-Effect Transistors. Coatings 2023, 13, 181. https://doi.org/10.3390/coatings13010181
Ryu S, Yun C, Ryu S, Ahn J, Kim C, Seo S. Characterization of [1]Benzothieno[3,2-b]benzothiophene (BTBT) Derivatives with End-Capping Groups as Solution-Processable Organic Semiconductors for Organic Field-Effect Transistors. Coatings. 2023; 13(1):181. https://doi.org/10.3390/coatings13010181
Chicago/Turabian StyleRyu, Seunghyup, Chaeyoung Yun, Soomin Ryu, Jihae Ahn, Choongik Kim, and Sungyong Seo. 2023. "Characterization of [1]Benzothieno[3,2-b]benzothiophene (BTBT) Derivatives with End-Capping Groups as Solution-Processable Organic Semiconductors for Organic Field-Effect Transistors" Coatings 13, no. 1: 181. https://doi.org/10.3390/coatings13010181
APA StyleRyu, S., Yun, C., Ryu, S., Ahn, J., Kim, C., & Seo, S. (2023). Characterization of [1]Benzothieno[3,2-b]benzothiophene (BTBT) Derivatives with End-Capping Groups as Solution-Processable Organic Semiconductors for Organic Field-Effect Transistors. Coatings, 13(1), 181. https://doi.org/10.3390/coatings13010181
