Effects of the IR Drop on the Electrochemical Corrosion of X80 Pipeline Steel in Different Solutions
Abstract
:1. Introduction
2. Materials and Methods
2.1. Coupon Preparations
2.2. Testing Solutions
2.3. Solution Resistance Drop
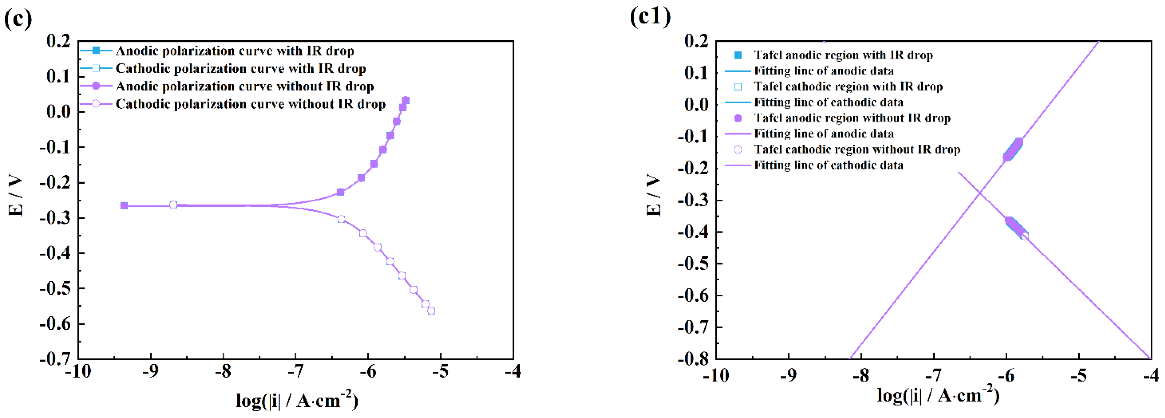
2.4. High-Polarization Region of Tafel Extrapolation
2.5. Electrochemical Measurements
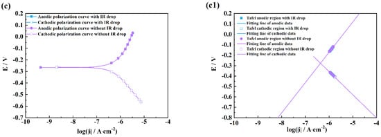
3. Results
4. Discussion
4.1. Effect of Solution Resistance
4.2. Effects of Three Measuring Methods
5. Conclusions
Supplementary Materials
Author Contributions
Funding
Institutional Review Board Statement
Informed Consent Statement
Data Availability Statement
Acknowledgments
Conflicts of Interest
References
- de Assis, S.L.; Wolynec, S.; Costa, I. Corrosion characterization of titanium alloys by electrochemical techniques. Electrochim. Acta 2006, 51, 1815–1819. [Google Scholar] [CrossRef]
- Abdel-Rahman, E.-S.; Mohran, H.S.; Abd El-Lateef, H.M. Corrosion study of Zinc, Nickel and Zinc-Nickel alloys in alkaline solutions by Tafel plot and impedance techniques. Metall. Mater. Trans. A-Phys. Metall. Mater. Sci. A 2012, 43, 619–632. [Google Scholar]
- Fischer, D.A.; Vargas, I.T.; Pizarro, G.E.; Armijo, F.; Walczak, M. The effect of scan rate on the precision of determining corrosion current by Tafel extrapolation: A numerical study on the example of pure Cu in chloride containing medium. Electrochim. Acta 2019, 313, 457–467. [Google Scholar] [CrossRef]
- Tang, K. Stray alternating current (AC) induced corrosion of steel fibre reinforced Concrete. Corros. Sci. 2019, 152, 153–171. [Google Scholar] [CrossRef]
- Mohammad, A.; Mazumder, J. New, Amino Acid Based Zwitterionic Polymers as Promising Corrosion Inhibitors of Mild Steel in 1 M HCl. Coatings 2019, 9, 675–702. [Google Scholar]
- Mahross, M.H.; Kürşat Efil, T.A.; Osama, S.E.; Abbas, A. Experimental and Theoretical Study on Corrosion Inhibition of Mild Steel in Oilfield Formation Water Using Some Schiff Base Metal Complexes. Korean Electrochem. Soc. 2017, 3, 222–235. [Google Scholar] [CrossRef]
- Saravanakumar, T.; Kaviman, V.; Prakash, K.S.; Selvaraju, T. Exploring the corrosion inhibition of magnesium by coatings Formulated with nano CeO2 and ZnO particles. Prog. Org. Coat. 2019, 129, 32–42. [Google Scholar] [CrossRef]
- Mohsin, M.; Raza, R.; Mohsin-ul-Mulk, M.; Yousaf, A.; Hacker, V. Electrochemical characterization of polymer electrolyte membrane fuel cells and polarization curve analysis. Int. J. Hydrog. Energy 2020, 45, 24093–24107. [Google Scholar] [CrossRef]
- Rocchini, G. Characterization of Some Commercial Inhibitors with the SOFTCOR-DC-PS1 Program and the Polarization Resistance. Corros. Rev. 1990, 9, 353–372. [Google Scholar] [CrossRef]
- Yegnaraman, V.; Basha, C.A.; Rao, P. Application of the accelerated Tafel plot technique to corrosion kinetics: Role of double layer through simulation. J. Appl. Electrochem. 1988, 18, 869–875. [Google Scholar] [CrossRef]
- Yang, X.; Shao, J.; Liu, Z.; Zhang, D.; Cui, L.; Du, C.; Li, X. Stress-assisted microbiologically influenced corrosion mechanism of 2205 duplex stainless steel caused by sulfate-reducing bacteria. Corros. Sci. 2020, 173, 108746. [Google Scholar] [CrossRef]
- Wang, D.; Unsal, T.; Kumseranee, S.; Punpruk, S.; Mohamed, M.E.; Saleh, M.A.; Gua, T. Sulfate reducing bacterium Desulfovibrio vulgaris caused severe microbiologically influenced corrosion of zinc and galvanized steel. Int. Biodeterior. Biodegrad. 2021, 157, 105160. [Google Scholar] [CrossRef]
- Mehta, H.; Kaur, G.; Chaudhary, G.R.; Prabhakar, N. Assessment of bio-corrosion inhibition ability of Hafnium based cationic metallosurfactant on iron surface. Corros. Sci. 2021, 179, 109101. [Google Scholar] [CrossRef]
- Dou, W.; Liu, J.; Cai, W.; Wang, D.; Jia, R.; Chen, S.; Gu, T. Electrochemical investigation of increased carbon steel corrosion via extracellular electron transfer by a sulfate reducing bacterium under carbon source starvation—ScienceDirect. Corros. Sci. 2019, 150, 258–267. [Google Scholar] [CrossRef]
- Wang, D.; Kijkla, P.; Saleh, M.A.; Kumseranee, S.; Punpruk, S.; Gu, T. Tafel scan schemes for microbiologically influenced corrosion of carbon steel and stainless steel. J. Mater. Sci. Technol. 2022, 130, 193–197. [Google Scholar] [CrossRef]
- Huang, Y.L.; Hou, B.R.; Ma, S.D.; Zhang, J.L. An experimental technique for correcting the effect of solution resistance in the measurement of stationary polarization curve. J. Chin. Soc. Corros. Prot. 1997, 17, 157–160. [Google Scholar]
- Cao, C.N.; Lin, H.C.; Du, T.B. Influence of solution resistance of Tafel plot and a method to eliminate it. J. Chin. Soc. Corros. Prot. 1995, 7, 279–284. [Google Scholar]
- Macdonald, D.D.; Mckubre, M.C.H. Electrochemical Impedance Techniques in Corrosion Science; ASTM International: West Conshohocken, PA, USA, 1981. [Google Scholar]
- Bard, A.J.; Faulkner, L.R. Electrochemical Methods-Fundamentals and Application, 2nd ed.; Wiley: New York, NY, USA, 2001; p. 100. [Google Scholar]
- Cao, C.N. Principles of Electrochemistry of Corrosion, 3rd ed.; Chemical Industry Press: Beijing, China, 2008. [Google Scholar]
- Hsissou, R.; Abbout, S.; Benhiba, F.; Seghiri, R.; Safi, Z.; Briche, S.K.; Serdaroğlu, G.; Erramlia, H.; Elbachiri, A.; Zarrouk, A.; et al. Insight into the corrosion inhibition of novel macromolecular epoxy resin as highly efficient inhibitor for carbon steel in acidic mediums: Synthesis, characterization, electrochemical techniques, AFM/UV–Visible and computational investigations. J. Mol. Liq. 2021, 337, 116492. [Google Scholar] [CrossRef]
- Hsissou, R.; Abbout, S.; Safi, Z.; Benhiba, F.; Wazzan, N.; Guo, L.; Nouneh, K.; Briche, S.; Erramli, H.; Touham, M.E.; et al. Synthesis and anticorrosive properties of epoxy polymer for CS in [1 M] HCl solution: Electrochemical, AFM, DFT and MD simulations. Constr. Build. Mater. 2021, 270, 121454. [Google Scholar] [CrossRef]
- Hsissou, R.; Abbout, S.; Seghiri, R.; Rehioui, M.; Erramli, A.B.; Assouag, M.; Elharfi, A. Evaluation of corrosion inhibition performance of phosphorus polymer for carbon steel in [1 M] HCl: Computational studies (DFT, MC and MD simulations). J. Mater. Res. Technol. 2020, 9, 2691–2703. [Google Scholar] [CrossRef]
- Hsissou, R.; Benhiba, F.; Dagdag, O.; El Bouchti, M.; Nouneh, K.; Assouag, M.; Briche, S.; Zarrouk, A.; Elharfia, A. Development and potential performance of prepolymer in corrosion inhibition for carbon steel in 1.0 M HCl: Outlooks from experimental and computational investigations. J. Colloid Interface Sci. 2020, 574, 43–60. [Google Scholar] [CrossRef] [PubMed]
- Hsissou, R.; Benhiba, F.; Hssisou, R.; Lakhrissi, Y.; Lakhrissi, B.; Touhami, M.E.; Warad, I.; Zarrouk, A. Green synthesis of novel carbohydrate polymer chitosan oligosaccharide grafted on d-glucose derivative as bio-based corrosion inhibitor. J. Mol. Liq. 2021, 322, 114549. [Google Scholar]
- Zhang, X.L.; Jiang, Z.H.; Yao, Z.P.; Song, Y.; Wu, Z.D. Effects of scan rate on the potentiodynamic polarization curve obtained to determine the Tafel slopes and corrosion current density. Corros. Sci. 2009, 51, 581–587. [Google Scholar] [CrossRef]
- Cao, C.N.; Zhang, J.Q. Introduction to Electrochemical Impedance Spectroscopy, 2nd ed.; Science Press: Beijing, China, 2004; p. 153. [Google Scholar]













| Solution | HCl | H2SO4 | NaCl | Na2SO4 | NaOH | |||||||||||
|---|---|---|---|---|---|---|---|---|---|---|---|---|---|---|---|---|
| Measuring method | M1 | M2 | M3 | M1 | M2 | M3 | M1 | M2 | M3 | M1 | M2 | M3 | M1 | M2 | M3 | |
| Scanning maximum value | Anode | 282 | 299 | 301 | 296 | 300 | 299 | 334 | 300 | 300 | 339 | 300 | 299 | 317 | 299 | 299 |
| Cathode | 308 | 301 | 299 | 303 | 300 | 299 | 266 | 300 | 300 | 261 | 300 | 300 | 283 | 301 | 300 | |
| HCl Ω·cm2 | H2SO4 Ω·cm2 | NaCl Ω·cm2 | Na2SO4 Ω·cm2 | NaOH Ω·cm2 | |
|---|---|---|---|---|---|
| M1 | 5.315 | 4.744 | 27.71 | 18.92 | 12.14 |
| M2 | 3.237 | 5.425 | 19.09 | 14.23 | 11.29 |
| M3-anode | 3.182 | 5.123 | 15.18 | 12.02 | 10.06 |
| M3-cathode | 4.145 | 4.579 | 11.56 | 13.77 | 9.97 |
| Condtion | IR Drop | Ecorr mV | icorr μA·cm−2 | ba mV·dec−1 | bc mV·dec−1 | Adj. R2 (1) | |
|---|---|---|---|---|---|---|---|
| ba | bc | ||||||
| M1 | With | −577.0 ± 10.9 | 1180 ± 103 | 194 ± 33 | −181 ± 21 | 0.9972 | 0.9993 |
| Without | −536.4 ± 9.1 | 647 ± 43 | 71 ± 6 | −146 ± 13 | 0.9995 | 0.9998 | |
| M2 | With | −548.0 ± 8.9 | 1000 ± 55 | 143 ± 13 | −152 ± 15 | 0.9984 | 0.9989 |
| Without | −516.2 ± 9.1 | 466 ± 29 | 58 ± 7 | −117 ± 12 | 0.9957 | 0.9997 | |
| M3 | With | −553.6 ± 10.6 | 823 ± 73 | 137 ± 15 | −171 ± 18 | 0.9941 | 0.9997 |
| Without | −510.5 ± 10.7 | 386 ± 28 | 52 ± 6 | −144 ± 10 | 0.9986 | 0.9999 | |
| Condtion | IR Drop | Ecorr mV | icorr μA·cm−2 | ba mV·dec−1 | bc mV·dec−1 | Adj. R2 | |
|---|---|---|---|---|---|---|---|
| ba | bc | ||||||
| M1 | With | −557.9 ± 9.2 | 2876 ± 229 | 229 ± 23 | −196 ± 20 | 0.9975 | 0.9991 |
| Without | −521.3 ± 9.9 | 1438 ± 141 | 55 ± 5 | −116 ± 11 | 0.9961 | 0.9996 | |
| M2 | With | −534.7 ± 9.7 | 3288 ± 303 | 225 ± 21 | −278 ± 24 | 0.9961 | 0.9996 |
| Without | −507.4 ± 9.8 | 2532 ± 217 | 51 ± 43 | −182 ± 13 | 0.9952 | 0.9991 | |
| M3 | With | −558.8 ± 9.7 | 2948 ± 271 | 239 ± 33 | −236 ± 21 | 0.9958 | 0.9995 |
| Without | −525.0 ± 10.5 | 1914 ± 163 | 64 ± 4 | −163 ± 13 | 0.9936 | 0.9997 | |
| Condtion | IR Drop | Ecorr mV | icorr μA·cm−2 | ba mV·dec−1 | bc mV·dec−1 | Adj. R2 | |
|---|---|---|---|---|---|---|---|
| ba | bc | ||||||
| M1 | With | −732.5 ± 11.3 | 11.9 ± 1.3 | 99 ± 12 | −703 ± 52 | 0.9952 | 0.9875 |
| Without | −726.9 ± 11.1 | 11.7 ± 1.2 | 87 ± 10 | −702 ± 41 | 0.9967 | 0.9875 | |
| M2 | With | −784.8 ± 9.9 | 11.5 ± 1.2 | 115 ± 15 | −574 ± 33 | 0.9961 | 0.9911 |
| Without | −763.2 ± 9.5 | 10.7 ± 1.0 | 95 ± 9 | −574 ± 25 | 0.9976 | 0.9911 | |
| M3 | With | −751.6 ± 10.7 | 12.1 ± 1.2 | 111 ± 9 | −492 ± 39 | 0.9973 | 0.9948 |
| Without | −740.4 ± 10.2 | 11.7 ± 1.3 | 97 ± 10 | −492 ± 41 | 0.9985 | 0.9948 | |
| Condtion | IR Drop | Ecorr mV | icorr μA·cm−2 | ba mV·dec−1 | bc mV·dec−1 | Adj. R2 | |
|---|---|---|---|---|---|---|---|
| ba | bc | ||||||
| M1 | With | −270.3 ± 9.6 | 0.187 ± 0.016 | 275 ± 12 | −167 ± 7 | 0.9974 | 0.9995 |
| Without | −274.5 ± 9.2 | 0.180 ± 0.024 | 275 ± 13 | −166 ± 11 | 0.9974 | 0.9995 | |
| M2 | With | −268.2 ± 9.8 | 0.219 ± 0.021 | 261 ± 19 | −183 ± 12 | 0.9989 | 0.9999 |
| Without | −268.6 ± 9.0 | 0.220 ± 0.020 | 261 ± 17 | −183 ± 9 | 0.9989 | 0.9999 | |
| M3 | With | −277.1 ± 9.1 | 0.432 ± 0.046 | 291 ± 19 | −222 ± 15 | 0.9971 | 0.9993 |
| Without | −277.1 ± 8.6 | 0.432 ± 0.042 | 291 ± 12 | −222 ± 16 | 0.9971 | 0.9993 | |
| Solution | NaCl | Na2SO4 | NaOH |
|---|---|---|---|
| M1 | 131.3 | 465.4 | 10.8 |
| M2 | 48.3 | 63.4 | 8.0 |
| M3 | 39.5 | 61.2 | 7.4 |
| HCl | H2SO4 | NaCl | Na2SO4 | NaOH | |
|---|---|---|---|---|---|
| Balance time of EOCP (min) | 6 | 9 | 32 | 30 | 35 |
Publisher’s Note: MDPI stays neutral with regard to jurisdictional claims in published maps and institutional affiliations. |
© 2022 by the authors. Licensee MDPI, Basel, Switzerland. This article is an open access article distributed under the terms and conditions of the Creative Commons Attribution (CC BY) license (https://creativecommons.org/licenses/by/4.0/).
Share and Cite
Bai, Y.; Xu, J.; Wei, B.; Sun, C. Effects of the IR Drop on the Electrochemical Corrosion of X80 Pipeline Steel in Different Solutions. Coatings 2022, 12, 1314. https://doi.org/10.3390/coatings12091314
Bai Y, Xu J, Wei B, Sun C. Effects of the IR Drop on the Electrochemical Corrosion of X80 Pipeline Steel in Different Solutions. Coatings. 2022; 12(9):1314. https://doi.org/10.3390/coatings12091314
Chicago/Turabian StyleBai, Yunlong, Jin Xu, Boxin Wei, and Cheng Sun. 2022. "Effects of the IR Drop on the Electrochemical Corrosion of X80 Pipeline Steel in Different Solutions" Coatings 12, no. 9: 1314. https://doi.org/10.3390/coatings12091314
APA StyleBai, Y., Xu, J., Wei, B., & Sun, C. (2022). Effects of the IR Drop on the Electrochemical Corrosion of X80 Pipeline Steel in Different Solutions. Coatings, 12(9), 1314. https://doi.org/10.3390/coatings12091314

