Zn–Ni Alloy Plating with Trivalent Chromate: Effects of NaF Additive Concentration and Treatment Time on Film Color, Thickness, and Electrochemical Properties
Abstract
:1. Introduction
2. Materials and Methods
2.1. Zn–Ni Alloy Plating and Chromate Coating Process
2.2. Electrochemical, Morphological, and Chemical Characterization
3. Results
3.1. Effects of NaF Concentration and Treatment Time on Corrosion Rate of Zn–Ni Alloy Plating with Colored Chromate
3.2. Effects of NaF Concentration and Treatment Time on Changes in the Surface Structure of Zn–Ni Alloy Plating with Colored Chromate
3.3. Effects of NaF Concentration and Treatment Time on Changes in the Film Color of Zn–Ni Alloy Plating with Colored Chromate
3.4. Coating Thickness Measurement and STEM-EDS by Chromate Coating Color
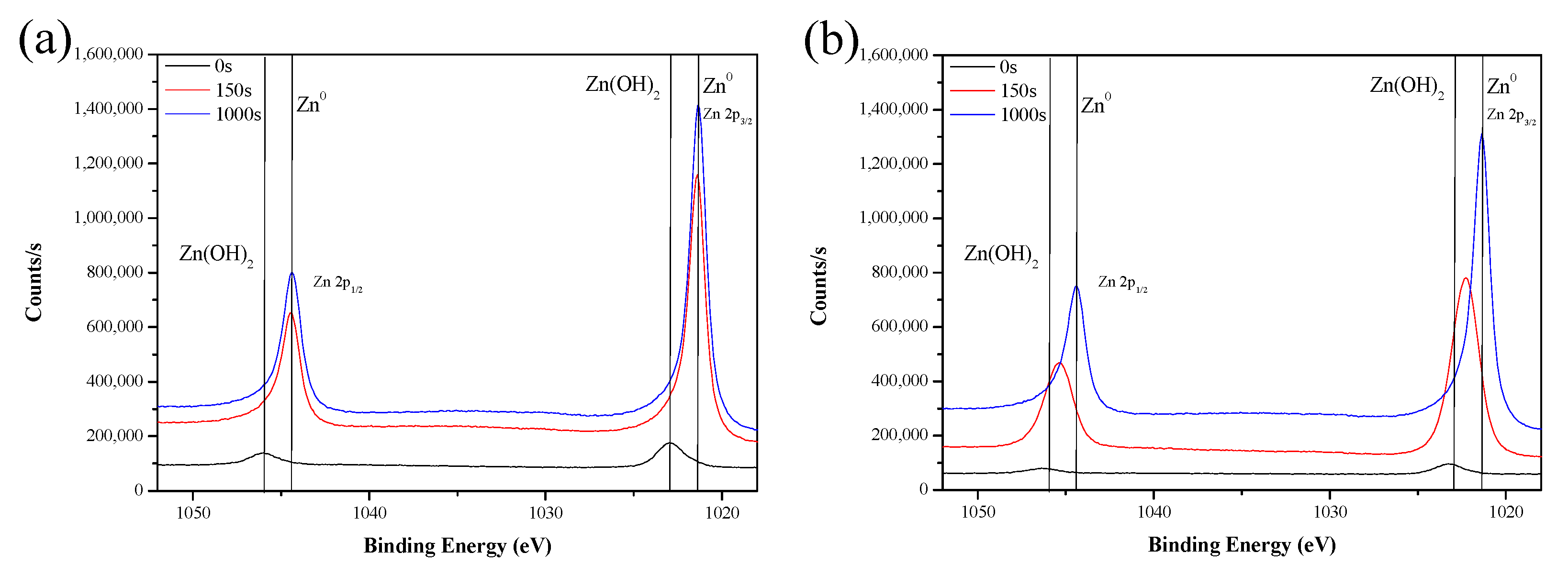
3.5. Measurement of Component and Depth Distributions of Zn–Ni-Alloy-Plated Specimens with Colored Chromate by NaF Concentration
4. Theory
5. Conclusions
- The chromate film formed in the gel state was dried and subsequently contracted by the internal tensile stress to form a film.
- As the NaF concentration and chromate coating treatment time increase, the cracks on the surface become finer. This indicates that NaF influences the formation of the chromate film and acts as a catalyst, accelerating the film formation.
- The results of the electrochemical measurement indicate that the current density decreases as the NaF concentration increases. Because the chromate film exists in a passive state, the passivation via chromate conversion treatment suppresses the current density, consequently improving the corrosion resistance by delaying corrosion. However, in the case of 150%, corrosion resistance was low due to overchromating.
- In TEM cross-sectional observation, the chromate film color changes to yellow, purple, and green with increasing treatment time. The film thickness is 153.71 nm for yellow, 199.34 nm for purple, and 228.3 nm for green. This behavior agrees with the theoretical differences in the film thickness with respect to color because the film thickness increases with the treatment time.
Author Contributions
Funding
Institutional Review Board Statement
Informed Consent Statement
Data Availability Statement
Conflicts of Interest
References
- Bae, S.H.; Oue, S.; Son, I.; Nakano, H. Effect of Reaction Product of Epichlorohydrin and Imidazole on the Electrodeposition Behavior of Zn–Ni Alloy from Alkaline Zincate Solution. ISIJ Int. 2021, 61, 2256–2263. [Google Scholar] [CrossRef]
- Felloni, L.; Fratesi, R.; Quadrini, E.; Roventi, G. Electrodeposition of zinc-nickel alloys from chloride solution. J. Appl. Electrochem. 1987, 17, 574. [Google Scholar] [CrossRef]
- Mathias, M.F.; Chapman, T.W. The Composition of Electrodeposited Zinc-Nickel Alloy Coatings. J. Electrochem. Soc. 1987, 134, 1408. [Google Scholar] [CrossRef]
- Swathirajan, S. Electrodeposition of zinc + nickel alloy phases and electrochemical stripping studies of the anomalous codeposition of zinc. J. Electroanal. Chem. Interfacial Electrochem. 1987, 221, 211. [Google Scholar] [CrossRef]
- Fujigaya, T. Electroplating, Chemical Plating & Engineering Guide; Nippon Tokin Zairyo Kyodo Kumiai: Tokyo, Japan, 2004; Volume 143. [Google Scholar]
- Kawasaki, M.; Enomoto, H. Mekki Kyohon (Textbook for Plating); Nikkan Kogyo Shimbun: Tokyo, Japan, 1988; Volume 108, pp. 79–89. [Google Scholar]
- Lee, C.-T. Enlargement of anti-corrosion of zinc plating by the trivalent chromium sulfate conversion coating. Appl. Chem. Eng. 2007, 18, 296–302. [Google Scholar]
- Gharbi, O.; Thomas, S.; Smith, C.; Birbilis, N. Chromate replacement: What does the future hold? Npj Mater. Degrad. 2018, 2, 12. [Google Scholar] [CrossRef]
- Qi, J.; Gao, L.; Liu, Y.; Liu, B.; Hashimoto, T.; Wang, Z.; Thompson, G.E. Chromate formed in a trivalent chromium conversion coating on aluminum. J. Electrochem. Soc. 2017, 164, C442–C449. [Google Scholar] [CrossRef]
- Yui, H.-C.; Chen, B.-Z.; Shi, X.; Sun, X.; Li, B. Investigation of the trivalent-chrome coating on 6063 aluminum alloy. Mater. Lett. 2008, 62, 2828–2831. [Google Scholar] [CrossRef]
- García-Antón, J.; Fernández-Domene, R.M.; Sánchez-Tovar, R.; Escrivà-Cerdán, C.; Leiva-García, R.; García, V.; Urtiaga, A. Improvement of the electrochemical behaviour of Zn-electroplated steel using regenerated Cr (III) passivation baths. Chem. Eng. Sci. 2014, 111, 402–409. [Google Scholar] [CrossRef]
- Sheu, H.H.; Lee, H.B.; Jian, S.Y.; Hsu, C.Y.; Lee, C.Y. Investigation on the corrosion resistance of trivalent chromium conversion passivate on electroplated Zn–Ni alloy. Surf. Coat. Technol. 2016, 305, 241–248. [Google Scholar] [CrossRef]
- Chang, Y.-T.; Wen, N.-T.; Chen, W.-K.; Ger, M.-D.; Pan, G.-T.; Yang, T.C.-K. The effects of immersion time on morphology and electrochemical properties of the Cr(III)-based conversion coatings on zinc coated steel surface. Corros. Sci. 2008, 50, 3494–3499. [Google Scholar] [CrossRef]
- Zhang, X.; van den Bos, C.; Sloof, W.G.; Hovestad, A.; Terryn, H.; de Wit, J.H.W. Comparison of the morphology and corrosion performance of Cr(VI)- and Cr(III)-based conversion coatings on zinc. Surf. Coat. Technol. 2005, 199, 92–104. [Google Scholar] [CrossRef]
- Cho, K.; Rao, V.S.; Kwon, H. Microstructure and electrochemical characterization of trivalent chromium based conversion coating on zinc. Electrochim. Acta 2007, 52, 4449–4456. [Google Scholar] [CrossRef]
- Bellezze, T.; Roventi, G.; Fratesi, R. Electrochemical study on the corrosion resistance of Cr III-based conversion layers on zinc coatings. Surf. Coat. Technol. 2002, 155, 221–230. [Google Scholar] [CrossRef]
- Chen, W.-K.; Bai, C.-Y.; Liu, C.-M.; Lin, C.-S.; Ger, M.-D. The effect of chromic sulfate concentration and immersion time on the structures and anticorrosive performance of the Cr(III) conversion coatings on aluminum alloys. Appl. Surf. Sci. 2010, 256, 4924–4929. [Google Scholar] [CrossRef]
- Fratesi, R.; Roventi, G. Corrosion resistance of Zn-Ni alloy coatings in industrial production. Surf. Coat. Technol. 1996, 82, 158–164. [Google Scholar] [CrossRef]
- Hasegawa, T. The trivalent chromate for zinc electroplating. J. Surf. Finish. Soc. Japan 2002, 53, 376–379. [Google Scholar] [CrossRef]
- Budman, E.; Ventures, D.-G.; Kearny, N.J. Alkaline noncyanide zinc plating. Met. Finish. 1995, 93, 60–64. [Google Scholar] [CrossRef]
- Kim, S.W.; Lee, C.T. Environment-friendly trivalent chromate treatment for Zn electroplating. Appl. Chem. Eng. 2006, 17, 433–442. [Google Scholar]



















| Category | NaF Concentration (%) | Immersion Time (s) | L *(D65) | a *(D65) | b *(D65) |
|---|---|---|---|---|---|
| (a) | 0 | 30 | 54.72 | −1.70 | −10.94 |
| (b) | 50 | 58.64 | 4.74 | 15.19 | |
| (c) | 100 | 62.96 | 1.41 | 17.64 | |
| (d) | 150 | 50.02 | 2.12 | 11.54 | |
| (e) | 0 | 60 | 67.77 | −3.96 | 1.96 |
| (f) | 50 | 51.07 | 9.00 | −13.97 | |
| (g) | 100 | 52.72 | 10.25 | −9.36 | |
| (h) | 150 | 49.00 | 9.96 | −4.32 | |
| (i) | 0 | 90 | 59.84 | −0.22 | 3.66 |
| (j) | 50 | 55.84 | −9.48 | −5.03 | |
| (k) | 100 | 54.18 | −3.78 | −5.79 | |
| (l) | 150 | 47.79 | 5.01 | 5.90 | |
| (m) | 0 | 120 | 55.64 | 8.15 | −15.06 |
| (n) | 50 | 59.32 | −9.34 | 5.91 | |
| (o) | 100 | 57.08 | −10.19 | −1.41 | |
| (p) | 150 | 44.46 | −0.28 | 5.01 |
Publisher’s Note: MDPI stays neutral with regard to jurisdictional claims in published maps and institutional affiliations. |
© 2022 by the authors. Licensee MDPI, Basel, Switzerland. This article is an open access article distributed under the terms and conditions of the Creative Commons Attribution (CC BY) license (https://creativecommons.org/licenses/by/4.0/).
Share and Cite
Son, B.-K.; Choi, J.-W.; Jeon, S.-B.; Son, I. Zn–Ni Alloy Plating with Trivalent Chromate: Effects of NaF Additive Concentration and Treatment Time on Film Color, Thickness, and Electrochemical Properties. Coatings 2022, 12, 1160. https://doi.org/10.3390/coatings12081160
Son B-K, Choi J-W, Jeon S-B, Son I. Zn–Ni Alloy Plating with Trivalent Chromate: Effects of NaF Additive Concentration and Treatment Time on Film Color, Thickness, and Electrochemical Properties. Coatings. 2022; 12(8):1160. https://doi.org/10.3390/coatings12081160
Chicago/Turabian StyleSon, Byung-Ki, Ji-Won Choi, Su-Byung Jeon, and Injoon Son. 2022. "Zn–Ni Alloy Plating with Trivalent Chromate: Effects of NaF Additive Concentration and Treatment Time on Film Color, Thickness, and Electrochemical Properties" Coatings 12, no. 8: 1160. https://doi.org/10.3390/coatings12081160
APA StyleSon, B.-K., Choi, J.-W., Jeon, S.-B., & Son, I. (2022). Zn–Ni Alloy Plating with Trivalent Chromate: Effects of NaF Additive Concentration and Treatment Time on Film Color, Thickness, and Electrochemical Properties. Coatings, 12(8), 1160. https://doi.org/10.3390/coatings12081160

