Combined Raman Spectroscopy and Magneto-Transport Measurements in Disordered Graphene: Correlating Raman D Band and Weak Localization Features
Abstract
1. Introduction
2. Materials and Methods
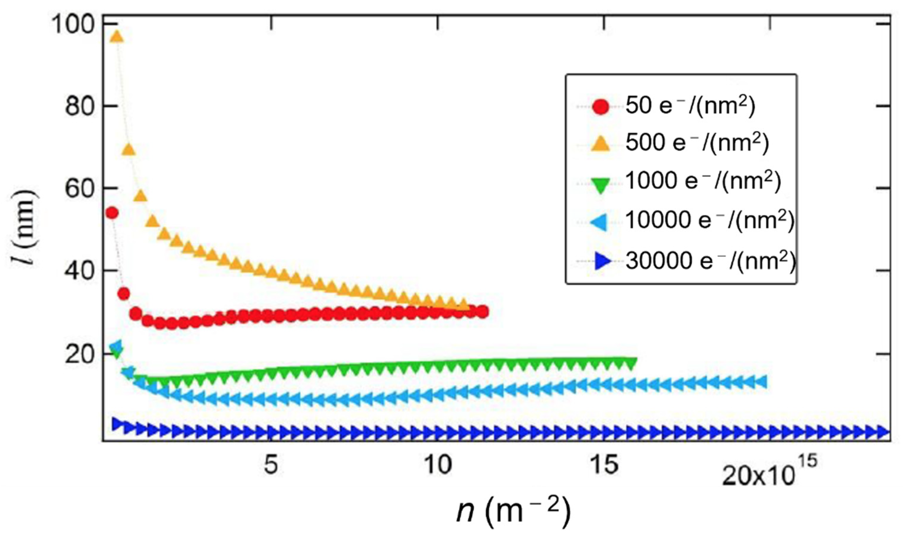
3. Results
4. Discussion
Author Contributions
Funding
Institutional Review Board Statement
Informed Consent Statement
Data Availability Statement
Conflicts of Interest
References
- Raza, H. Graphene Nanoelectronics: Metrology, Synthesis, Properties and Applications; Springer Science & Business: Berlin, Germany, 2012. [Google Scholar]
- Geim, A.K.; Novoselov, K.S. The rise of graphene. Nat. Mater. 2007, 6, 183–191. [Google Scholar] [CrossRef] [PubMed]
- Saito, R.; Hofmann, M.; Dresselhaus, G.; Jorio, A.; Dresselhaus, M.S. Raman spectroscopy of graphene and carbon nanotubes. Adv. Phys. 2011, 60, 413–550. [Google Scholar] [CrossRef]
- Ferrari, A.C.; Basko, D.M. Raman spectroscopy as a versatile tool for studying the properties of graphene. Nat. Nanotechnol. 2013, 8, 235–246. [Google Scholar] [CrossRef] [PubMed]
- Jang, J.I. New Developments in Photon and Materials Research; Nova Publishers: New York, NY, USA, 2014. [Google Scholar]
- Ferrari, A.C.; Meyer, J.C.; Scardaci, V.; Casiraghi, C.; Lazzeri, M.; Mauri, F.; Piscanec, S.; Jiang, D.; Novoselov, K.S.; Roth, S.; et al. Raman Spectrum of Graphene and Graphene Layers. Phys. Rev. Lett. 2006, 97, 187401. [Google Scholar] [CrossRef] [PubMed]
- Ferrari, A.C. Raman spectroscopy of graphene and graphite: Disorder, electron–phonon coupling, doping and nonadiabatic effects. Solid State Commun. 2007, 143, 47–57. [Google Scholar] [CrossRef]
- Tuinstra, F.; Koenig, J.L. Raman Spectrum of Graphite. J. Chem. Phys. 1970, 53, 1126–1130. [Google Scholar] [CrossRef]
- Teweldebrhan, D.; Balandin, A.A. Response to ‘Comment on “Modification of graphene properties due to electron-beam irradiation”’. Appl. Phys. Lett. 2009, 95, 246102. [Google Scholar] [CrossRef]
- Martins Ferreira, E.H.; Moutinho, M.V.O.; Stavale, F.; Lucchese, M.M.; Capaz, R.B.; Achete, C.A.; Jorio, A. Evolution of the Raman spectra from single-, few-, and many-layer graphene with increasing disorder. Phys. Rev. B Condens. Matter Mater. Phys. 2010, 82, 125429. [Google Scholar] [CrossRef]
- Childres, I.; Jauregui, L.A.; Foxe, M.; Tian, J.; Jalilian, R.; Jovanovic, I.; Chen, Y.P. Effect of electron-beam irradiation on graphene field effect devices. Appl. Phys. Lett. 2010, 97, 173109. [Google Scholar] [CrossRef]
- Lucchese, M.M.; Stavale, F.; Ferreira, E.M.; Vilani, C.; Moutinho, M.V.D.O.; Capaz, R.B.; Achete, C.A.; Jorio, A. Quantifying ion-induced defects and Raman relaxation length in graphene. Carbon 2010, 48, 1592–1597. [Google Scholar] [CrossRef]
- Cançado, L.G.; Takai, K.; Enoki, T.; Endo, M.; Kim, Y.A.; Mizusaki, H.; Jorio, A.; Coelho, L.N.; Magalhães-Paniago, R.; Pimenta, M.A. General equation for the determination of the crystallite size La of nanographite by Raman spectroscopy. Appl. Phys. Lett. 2006, 88, 163106. [Google Scholar] [CrossRef]
- Childres, I.; Jauregui, L.A.; Tian, J.; Chen, Y.P. Effect of oxygen plasma etching on graphene studied using Raman spectroscopy and electronic transport measurements. New J. Phys. 2011, 13, 025008. [Google Scholar] [CrossRef]
- McCann, E.; Kechedzhi, K.; Fal’ko, V.I.; Suzuura, H.; Ando, T.; Altshuler, B.L. Weak-localization magnetoresistance and valley symmetry in graphene. Phys. Rev. Lett. 2006, 97, 146805. [Google Scholar] [CrossRef] [PubMed]
- Mucciolo, E.R.; Lewenkopf, C.H. Disorder and electronic transport in graphene. J. Phys. Condens. Matter 2010, 22, 273201. [Google Scholar] [CrossRef] [PubMed]
- Tikhonenko, F.V.; Horsell, D.W.; Gorbachev, R.V.; Savchenko, A.K. Weak Localization in graphene flakes. Phys. Rev. Lett. 2008, 100, 056802. [Google Scholar] [CrossRef]
- Morsin, M.; Isaak, S.; Morsin, M.; Yusof, Y. Controlled defect on multilayer graphene surface by oxygen plasma. AIP Conf. Proc. 2017, 1788, 030117. [Google Scholar]
- Morsin, M.; Isaak, S.; Morsin, M.; Yusof, Y. Characterization of defect induced multilayer graphene. Int. J. Electr. Comput. Eng. 2017, 7, 1452–1458. [Google Scholar] [CrossRef][Green Version]
- Li, H.; Singh, A.; Bayram, F.; Childress, A.S.; Rao, A.M.; Koley, G. Impact of oxygen plasma treatment on carrier transport and molecular adsorption in graphene. Nanoscale 2019, 11, 11145–11151. [Google Scholar] [CrossRef]
- Xie, G.B.; Yang, R.; Chen, P.; Zhang, J.; Tian, X.; Wu, S.; Zhao, J.; Cheng, M.; Yang, W.; Wang, D.; et al. A general route towards defect and pore engineering in graphene. Small 2014, 10, 2280–2284. [Google Scholar] [CrossRef]
- Cançado, L.G.; Jorio, A.; Ferreira, E.M.; Stavale, F.; Achete, C.A.; Capaz, R.B.; Moutinho, M.V.D.O.; Lombardo, A.; Kulmala, T.S.; Ferrari, A.C. Quantifying defects in graphene via Raman spectroscopy at different excitation energies. Nano Lett. 2011, 11, 3190–3196. [Google Scholar] [CrossRef]
- Zhou, Y.B.; Liao, Z.M.; Wang, Y.F.; Duesberg, G.S.; Xu, J.; Fu, Q.; Wu, X.S.; Yu, D.P. Ion irradiation induced structural and electrical transition in graphene. J. Chem. Phys. 2010, 133, 234703. [Google Scholar] [CrossRef] [PubMed]
- Zhong, J.H.; Zhang, J.; Jin, X.; Liu, J.Y.; Li, Q.; Li, M.H.; Cai, W.; Wu, D.Y.; Zhan, D.; Ren, B. Quantitative correlation between defect density and heterogeneous electron transfer rate of single layer graphene. J. Am. Chem. Soc. 2014, 136, 16609–16617. [Google Scholar] [CrossRef]
- Zafar, Z.; Ni, Z.H.; Wu, X.; Shi, Z.X.; Nan, H.Y.; Bai, J.; Sun, L.T. Evolution of Raman spectra in nitrogen doped graphene. Carbon 2013, 61, 57–62. [Google Scholar] [CrossRef]
- Sun, Y.B.; Zhang, M.; Dong, L.; Wang, G.; Xie, X.; Wang, X.; Hu, T.; Di, Z. Weak localization behavior observed in graphene grown on germanium substrate. AIP Adv. 2018, 8, 045214. [Google Scholar] [CrossRef]
- Pezzini, S.; Cobaleda, C.; Diez, E.; Bellani, V. Disorder and de-coherence in graphene probed by low-temperature magneto-transport: Weak localization and weak antilocalization. J. Phys. Conf. Ser. 2013, 456, 012032. [Google Scholar] [CrossRef]
- Wang, W.R.; Chen, L.; Wang, Z.; Wang, Y.; Li, T.; Wang, Y. Weak localization in few-layer graphene grown on copper foils by chemical vapor deposition. Carbon 2012, 50, 5242–5246. [Google Scholar] [CrossRef]
- Gonnelli, R.S.; Piatti, E.; Sola, A.; Tortello, M.; Dolcini, F.; Galasso, S.; Nair, J.R.; Gerbaldi, C.; Cappelluti, E.; Bruna, M.; et al. Weak localization in electric-double-layer gated few-layer graphene. 2D Mater. 2017, 4, 035006. [Google Scholar] [CrossRef]
- Zion, E.; Haran, A.; Butenko, A.V.; Wolfson, L.; Kaganovskii, Y.; Havdala, T.; Sharoni, A.; Naveh, D.; Richter, V.; Kaveh, M.; et al. Localization of charge carriers in monolayer graphene gradually disordered by ion irradiation. Graphene 2015, 4, 45–53. [Google Scholar] [CrossRef][Green Version]
- Banhart, F.; Kotakoski, J.; Krasheninnikov, A.V. Structural defects in graphene. ACS Nano 2011, 5, 26–41. [Google Scholar] [CrossRef]
- Eckmann, A.; Felten, A.; Mishchenko, A.; Britnell, L.; Krupke, R.; Novoselov, K.S.; Casiraghi, C. Probing the nature of defects in graphene by Raman spectroscopy. Nano Lett. 2012, 12, 3925–3930. [Google Scholar] [CrossRef]
- Liu, L.; Qing, M.; Wang, Y.; Chen, S. Defects in graphene: Generation, healing, and their effects on the properties of graphene: A review. J. Mater. Sci. Technol. 2015, 31, 599–606. [Google Scholar] [CrossRef]
- Gawlik, G.; Ciepielewski, P.; Baranowski, J.M. Study of implantation defects in CVD graphene by optical and electrical methods. Appl. Sci. 2019, 9, 544. [Google Scholar] [CrossRef]
- Vinchon, P.; Glad, X.; Robert Bigras, G.; Martel, R.; Stafford, L. Preferential self-healing at grain boundaries in plasma-treated graphene. Nat. Mater. 2021, 20, 49–54. [Google Scholar] [CrossRef]
- Baker, A.M.R.; Alexander-Webber, J.A.; Altebaeumer, T.; Janssen, T.J.B.M.; Tzalenchuk, A.; Lara-Avila, S.; Kubatkin, S.; Yakimova, R.; Lin, C.T.; Li, L.J.; et al. Weak localization scattering lengths in epitaxial, and CVD graphene. Phys. Rev. B 2012, 86, 235441. [Google Scholar] [CrossRef]
- Hilke, M.; Massicotte, M.; Whiteway, E.; Yu, V. Weak localization in graphene: Theory, simulations, and experiments. Sci. World J. 2014, 2014, 737296. [Google Scholar] [CrossRef]
- Drabińska, A.; Kaźmierczak, P.; Bożek, R.; Karpierz, E.; Wołoś, A.; Wysmołek, A.; Kamińska, M.; Pasternak, I.; Krajewska, A.; Strupiński, W. Electron scattering in graphene with adsorbed NaCl nanoparticles. J. Appl. Phys. 2015, 117, 014308. [Google Scholar] [CrossRef]
- Ilić, S.; Meyer, J.S.; Houzet, M. Weak localization in transition metal dichalcogenide monolayers and their heterostructures with graphene. Phys. Rev. B 2019, 99, 205407. [Google Scholar] [CrossRef]
- Wang, X.; Wang, H.; Chen, L.; He, L.; Chen, C.; Jiang, C.; Qiu, Z.; Wang, H.; Xie, X. Weak localization in graphene sandwiched by aligned h-BN flakes. Nanotechnology 2020, 31, 215712. [Google Scholar] [CrossRef]
- Abbas, M.S.; Srivastava, P.K.; Hassan, Y.; Lee, C. Asymmetric carrier transport and weak localization in few layer graphene grown directly on a dielectric substrate. Phys. Chem. Chem. Phys. 2021, 23, 25284–25290. [Google Scholar] [CrossRef] [PubMed]
- Kim, M.; Safron, N.S.; Han, E.; Arnold, M.S.; Gopalan, P. Electronic transport and Raman scattering in size-controlled nanoperforated graphene. ACS Nano 2012, 6, 9846–9854. [Google Scholar] [CrossRef]
- Oberhuber, F.; Blien, S.; Heydrich, S.; Yaghobian, F.; Korn, T.; Schüller, C.; Strunk, C.; Weiss, D.; Eroms, J. Weak localization and Raman study of anisotropically etched graphene antidots. Appl. Phys. Lett. 2013, 103, 143111. [Google Scholar] [CrossRef]
- Wang, P.H.; Shih, F.Y.; Chen, S.Y.; Hernandez, A.B.; Ho, P.H.; Chang, L.Y.; Chen, C.H.; Chiu, H.C.; Chen, C.W.; Wang, W.H. Demonstration of distinct semiconducting transport characteristics of monolayer graphene functionalized via plasma activation of substrate surfaces. Carbon 2015, 93, 353–360. [Google Scholar] [CrossRef]
- Kierdaszuk, J.; Kaźmierczak, P.; Drabińska, A.; Korona, K.; Wołoś, A.; Kamińska, M.; Wysmołek, A.; Pasternak, I.; Krajewska, A.; Pakuła, K. Enhanced Raman scattering and weak localization in graphene deposited on GaN nanowires. Phys. Rev. B. 2015, 92, 195403. [Google Scholar] [CrossRef]
- Coleman, C.; McIntosh, R.; Bhattacharyya, S. Controlling the activation energy of graphene-like thin films through disorder induced localization. J. Appl. Phys. 2013, 114, 043716. [Google Scholar] [CrossRef]
- Fujimoto, A.; Perini, C.J.; Terasawa, D.; Fukuda, A.; Harada, Y.; Sasa, S.; Yano, M.; Vogel, E.M. Disorder and weak localization near charge neutral point in Ti-cleaned single-layer graphene. Phys. Status Solidi B 2019, 256, 1800541. [Google Scholar] [CrossRef]
- Blake, P.; Hill, E.W.; Castro Neto, A.H.; Novoselov, K.S.; Jiang, D.; Yang, R.; Booth, T.J.; Geim, A.K. Making graphene visible. Appl. Phys. Lett. 2007, 91, 063124. [Google Scholar] [CrossRef]
- Tao, L.; Qiu, C.; Yu, F.; Yang, H.; Chen, M.; Wang, G.; Sun, L. Modification on single-layer graphene induced by low-energy electron-beam irradiation. J. Phys. Chem. C 2013, 117, 10079–10085. [Google Scholar] [CrossRef]
- Teweldebrhan, D.B. 2D Dirac Materials: From Graphene to Topological Insulators. Ph.D. Thesis, UC Riverside, Riverside, CA, USA, 2011. [Google Scholar]
- Kim, D.C.; Jeon, D.Y.; Chung, H.J.; Woo, Y.; Shin, J.K.; Seo, S. The structural and electrical evolution of graphene by oxygen plasma-induced disorder. Nanotechnology 2009, 20, 375703. [Google Scholar] [CrossRef]
- Tan, Y.W.; Zhang, Y.; Bolotin, K.; Zhao, Y.; Adam, S.; Hwang, E.H.; Sarma, S.D.; Stormer, H.L.; Kim, P. Measurement of scattering rate and minimum conductivity in graphene. Phys. Rev. Lett. 2007, 99, 246803. [Google Scholar] [CrossRef] [PubMed]
- Childres, I.; Jauregui, L.A.; Park, W.; Cao, H.; Chen, Y.P. Raman spectroscopy of graphene and related materials. In New Developments in Photon in and Materials Research; Nova Science Publishers: New York, NY, USA, 2013; Chapter 19; pp. 1–20. [Google Scholar]
- Qin, Y.; Han, J.; Guo, G.; Du, Y.; Li, Z.; Song, Y.; Pi, L.; Wang, X.; Wan, X.; Han, M.; et al. Enhanced quantum coherence in graphene caused by Pd cluster deposition. Appl. Phys. Lett. 2015, 106, 023108. [Google Scholar] [CrossRef]
- Kim, N.-H.; Shin, Y.S.; Park, S.; Kim, H.S.; Lee, J.S.; Ahn, C.W.; Lee, J.O.; Doh, Y.J. Quantum interference effects in chemical vapor deposited graphene. Curr. Appl. Phys. 2016, 16, 31–36. [Google Scholar] [CrossRef]
- Yu, C.; Li, J.; Gao, K.; Lin, T.; Liu, Q.; Dun, S.; He, Z.; Cai, S.; Feng, Z. Observation of quantum hall effect and weak localization in p-type bilayer epitaxial graphene on SiC(0001). Solid State Commun. 2013, 175-176, 119–122. [Google Scholar] [CrossRef]
- Rodrigues, J.N.B. Intervalley scattering of graphene massless Dirac fermions at 3-periodic grain boundaries. Phys. Rev. B 2016, 94, 134201. [Google Scholar] [CrossRef]




Publisher’s Note: MDPI stays neutral with regard to jurisdictional claims in published maps and institutional affiliations. |
© 2022 by the authors. Licensee MDPI, Basel, Switzerland. This article is an open access article distributed under the terms and conditions of the Creative Commons Attribution (CC BY) license (https://creativecommons.org/licenses/by/4.0/).
Share and Cite
Childres, I.; Qi, Y.; Sadi, M.A.; Ribeiro, J.F.; Cao, H.; Chen, Y.P. Combined Raman Spectroscopy and Magneto-Transport Measurements in Disordered Graphene: Correlating Raman D Band and Weak Localization Features. Coatings 2022, 12, 1137. https://doi.org/10.3390/coatings12081137
Childres I, Qi Y, Sadi MA, Ribeiro JF, Cao H, Chen YP. Combined Raman Spectroscopy and Magneto-Transport Measurements in Disordered Graphene: Correlating Raman D Band and Weak Localization Features. Coatings. 2022; 12(8):1137. https://doi.org/10.3390/coatings12081137
Chicago/Turabian StyleChildres, Isaac, Yaping Qi, Mohammad A. Sadi, John F. Ribeiro, Helin Cao, and Yong P. Chen. 2022. "Combined Raman Spectroscopy and Magneto-Transport Measurements in Disordered Graphene: Correlating Raman D Band and Weak Localization Features" Coatings 12, no. 8: 1137. https://doi.org/10.3390/coatings12081137
APA StyleChildres, I., Qi, Y., Sadi, M. A., Ribeiro, J. F., Cao, H., & Chen, Y. P. (2022). Combined Raman Spectroscopy and Magneto-Transport Measurements in Disordered Graphene: Correlating Raman D Band and Weak Localization Features. Coatings, 12(8), 1137. https://doi.org/10.3390/coatings12081137
