Absorption Enhancement in a Quantum Dot Thz Detector with a Metal-Semiconductor-Metal Structure
Abstract
1. Introduction
2. Theoretical Model
2.1. Detector Structure
2.2. MSM Resonant Cavity Theory
3. Results and Discussion
3.1. Enhanced Absorption Coefficient of Detector
3.2. Light Field Mode
3.3. Influence of the Metal Resonance Structural Parameters
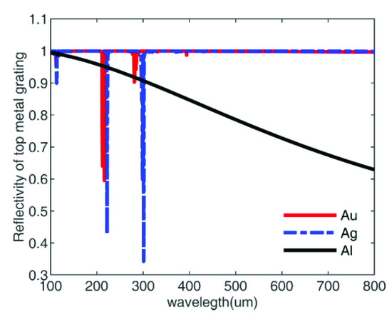
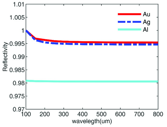
3.4. Influence of the Metal Material
3.5. Performance Comparision
4. Conclusions
Author Contributions
Funding
Institutional Review Board Statement
Informed Consent Statement
Data Availability Statement
Conflicts of Interest
References
- Leyman, R.R.; Gorodetsky, A.; Bazieva, N.; Molis, G.; Krotkus, A.; Clarke, E.; Rafailov, E.U. Quantum dot materials for terahertz generation applications. Laser Photonics Rev. 2016, 10, 772–779. [Google Scholar] [CrossRef]
- Asgari, M.; Coquillat, D.; Menichetti, G.; Zannier, V.; Diakonova, N.; Knap, W.; Sorba, L.; Viti, L.; Vitiello, M.S. Quantum-dot single-electron transistors as thermoelectric quantum detectors at terahertz frequencies. Nano Lett. 2021, 21, 8587–8594. [Google Scholar] [CrossRef]
- Martyniuk, P.; Rogalski, A. Quantum-dot infrared photodetectors: Status and outlook. Prog. Quantum Electron. 2008, 32, 89–120. [Google Scholar] [CrossRef]
- Stiff-Roberts, A.D. Quantum-dot infrared photodetectors: A review. J. Nanophotonics 2009, 3, 031607. [Google Scholar] [CrossRef]
- Liu, H.; Tong, Q.; Liu, G.; Yang, C.; Shi, Y. Performance characteristics of quantum dot infrared photodetectors under illumination condition. Opt. Quantum. Electron. 2015, 47, 721–733. [Google Scholar] [CrossRef]
- Kim, J.O.; Ku, Z.; Kazemi, A.; Urbas, A.; Kang, S.W.; Noh, S.K.; Lee, S.J.; Krishna, S. Effect of barrier on the performance of sub-monolayer quantum dot infrared photodetectors. Opt. Mater. Express 2014, 4, 198–205. [Google Scholar] [CrossRef]
- Gao, L.; Chen, C.; Zeng, K.; Ge, C.; Yang, D.; Song, H.; Tang, J. Broadband, sensitive and spectrally distinctive SnS2 nanosheet/PbS colloidal quantum dot hybrid photodetector. Light Sci. Appl. 2016, 5, e16126. [Google Scholar] [CrossRef] [PubMed]
- Lu, X.; Armiento, C.; Li, J.; Goodhue, W. A Longwave Infrared (LWIR) Photodetector Based on Nonlinear Absorption in InAs/GaAs Quantum Dots; IEEE International Symposium on Biophotonics: Hangzhou, China, 2006; pp. 16–18. [Google Scholar]
- Wang, W.W.; Guo, F.M.; Li, Y.Q. Modeling and simulation of a resonant-cavity-enhanced InGaAs/GaAs quantum dot photodetector. Adv. Condens. Matter Phys. 2015, 1, 847510. [Google Scholar] [CrossRef][Green Version]
- Attaluri, R.S.; Shao, J.; Posani, K.T.; Lee, S.J.; Brown, J.S.; Stintz, A.; Krishna, S. Resonant cavity enhanced In As In 0.15 Ga 0.85 As dots-in-a-well quantum dot infrared Photodetector. J. Vac. Sci. Technol. B 2017, 25, 1186–1190. [Google Scholar] [CrossRef]
- Negi, C.M.S.; Kumar, D.; Gupta, S.K.; Kumar, J. Theoretical analysis of resonant cavity of p-type quantum dot infrared photodetector. IEEE J. Quantum Electron. 2013, 49, 839–845. [Google Scholar] [CrossRef]
- Wang, H.; Jing, Y.; Li, M.; Zhen, H. Optimal design of resonant enhanced quantum dot photodetector based on metal-insulator-metal microcavity. In New Detection Technology and Application Seminar Defense Photonics Forum, Proceedings of the Photoelectronic Technology Committee Conferences, Hefei, Suzhou, and Harbin, China, June–July, 2015; Society of Photo-Optical Instrumentation Engineers: Changchun, China, 2015. [Google Scholar]
- Choi, K.K.; Allen, S.C.; Sun, J.G.; Wei, Y.; Olver, K.A.; Fu, R.X. Resonant structure for infrared detection. Appl. Opt. 2017, 56, B26–B36. [Google Scholar] [CrossRef] [PubMed]
- Chen, W.; Roelli, P.; Hu, H.; Verlekar, S.; Amirtharaj, S.P.; Barreda, A.I.; Kippenberg, T.J.; Kovylina, M.; Verhagen, E.; Martínez, A.; et al. Continuous-wave frequency upconversion with a molecular optomechanical nanocavity. Science 2021, 374, 1264–1267. [Google Scholar] [CrossRef] [PubMed]
- Roelli, P.; Martin-Cano, D.; Kippenberg, T.J.; Galland, C. Molecular platform for frequency upconversion at the single-photon level. Phys. Rev. X 2020, 10, 031057. [Google Scholar] [CrossRef]
- Li, J.S. Terahertz wave dielectric properties of GaAs. Spectrosc. Spect. Anal. 2019, 29, 577–579. [Google Scholar]
- Hebling, J.; Hoffmann, M.C.; Hwang, H.Y.; Yeh, K.L.; Nelson, K.A. Observation of nanequilibrium carrier distribution inGe, Si and GaAs by terahertz probe measurements. Phys. Rev. B 2010, 81, 035201. [Google Scholar] [CrossRef]
- Martyniuk, P.; Rogalski, A. Insight into performance of quantum dot infrared photodetectors. Bull. Polish Acad. Sci. Tech. Sci. 2009, 57, 103–116. [Google Scholar] [CrossRef][Green Version]
- Lepage, D.; Dubowski, J.J. Surface plasmon assisted photoluminescence in GaAs–AlGaAs quantum well microstructures. Appl. Phys. Lett. 2007, 91, 79. [Google Scholar] [CrossRef]
- Chen, X.; Fan, W.H.; Chao, S. Multiple plasmonic resonance excitations on graphene metamaterials for ultrasensitive terahertz sensing. Carbon 2018, 133, 416–422. [Google Scholar] [CrossRef]
- Cheng, Y.Y.; Wang, Y.Q.; Hu, J.; Li, J.R. A novel eigenvector method for calculation of optical resonator modes and beam propagation. Acta Phys. Sin. 2004, 8, 2576–2582. [Google Scholar] [CrossRef]
- Li, J.S.; Tang, Y.; Li, Z.T.; Cao, K.; Yan, C.M.; Ding, X.R. Full spectral optical modeling of quantum-dot-converted elements for light-emitting diodes considering reabsorption and reemission effect. Nanotechnology 2018, 29, 295707. [Google Scholar] [CrossRef]
- Kongsuwan, N.; Demetriadou, A.; Chikkaraddy, R.; Benz, F.; Turek, V.A.; Keyser, U.F.; Baumberg, J.J.; Hess, O. Suppressed quenching and strong-coupling of Purcell-enhanced single-molecule emission in plasmonic nanocavities. ACS Photonics 2018, 5, 186–191. [Google Scholar] [CrossRef]
- Zhou, B.K.; Chen, T.R.; Gao, Y.Z. The Principle of Laser, 7th ed.; Defense Industry Press: Beijing, China, 2015; pp. 33–38. [Google Scholar]
- Levine, B.F. Quantum well infrared photodetectors. J. Appl. Phys. 1993, 74, R1–R81. [Google Scholar] [CrossRef]
- Vial, A.; Grimault, A.S.; Macías, D.; Barchiesi, D.; De La Chapelle, M.L. Improved analytical fit of gold dispersion: Application to the modeling of extinction spectra with a finite-difference time-domain method. Phys. Rev. B 2005, 71, 085416. [Google Scholar] [CrossRef]
- Rakić, A.D.; Djurišić, A.B.; Elazar, J.M.; Majewski, M.L. Optical properties of metallic films for vertical-cavity optoelectronic devices. Appl. Opt. 1998, 37, 5271–5283. [Google Scholar] [CrossRef]
- Moore, W.J.; Holm, R.T. Infrared dielectric constant of gallium arsenide. J. Appl. Phys. 1996, 80, 6939–6942. [Google Scholar] [CrossRef]















| - | Electrodes Structure | Duty Cycle of the Top Metal Grating | Maximum Reflectivity upon the Metal Grating (Ag) | Reflectivity of the Bottom Metal Layer | Maximum of Adsorption Coefficient | Maximum of Quantum Efficiency |
|---|---|---|---|---|---|---|
| Detector with MSM structure | Top metal grating with square holes and bottom film metal layer | 0.2 | 0.3428 | 1 | 0.9666 | 0.4048 |
| Convetional detector | Top ring electrode and bottom ring electrode | 0 | 0 | 0 | 0.1 | 0.0952 |
Publisher’s Note: MDPI stays neutral with regard to jurisdictional claims in published maps and institutional affiliations. |
© 2022 by the authors. Licensee MDPI, Basel, Switzerland. This article is an open access article distributed under the terms and conditions of the Creative Commons Attribution (CC BY) license (https://creativecommons.org/licenses/by/4.0/).
Share and Cite
Liu, H.; Zhang, R.; Meng, T.; Kang, Y.; Hu, W.; Zhao, G. Absorption Enhancement in a Quantum Dot Thz Detector with a Metal-Semiconductor-Metal Structure. Coatings 2022, 12, 874. https://doi.org/10.3390/coatings12070874
Liu H, Zhang R, Meng T, Kang Y, Hu W, Zhao G. Absorption Enhancement in a Quantum Dot Thz Detector with a Metal-Semiconductor-Metal Structure. Coatings. 2022; 12(7):874. https://doi.org/10.3390/coatings12070874
Chicago/Turabian StyleLiu, Hongmei, Ruolong Zhang, Tianhua Meng, Yongqiang Kang, Weidong Hu, and Guozhong Zhao. 2022. "Absorption Enhancement in a Quantum Dot Thz Detector with a Metal-Semiconductor-Metal Structure" Coatings 12, no. 7: 874. https://doi.org/10.3390/coatings12070874
APA StyleLiu, H., Zhang, R., Meng, T., Kang, Y., Hu, W., & Zhao, G. (2022). Absorption Enhancement in a Quantum Dot Thz Detector with a Metal-Semiconductor-Metal Structure. Coatings, 12(7), 874. https://doi.org/10.3390/coatings12070874
