Metal-Organic Framework Fabricated V2O5 Cathode Material for High-Performance Lithium-Ion Batteries
Abstract
:1. Introduction
2. Materials and Methods
2.1. Material Synthesis
2.2. Materials Characterisation
2.3. Electrode Fabrication
3. Results
3.1. Physiochemical Analysis
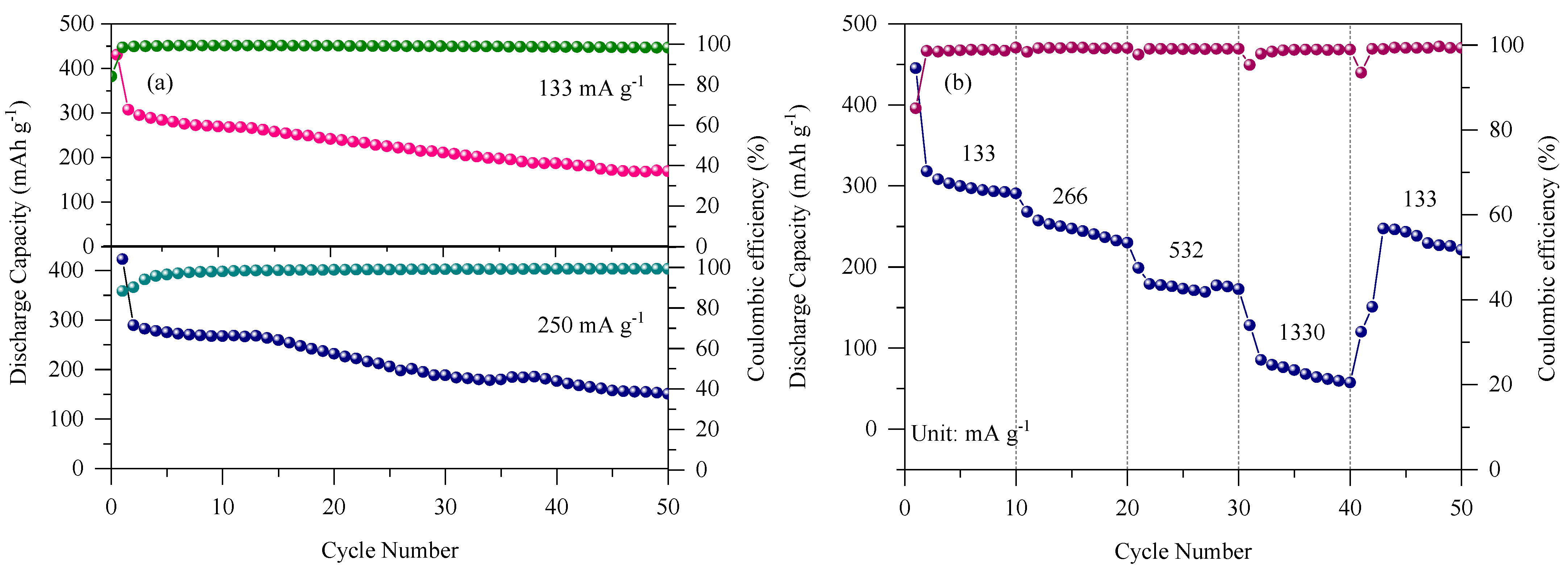
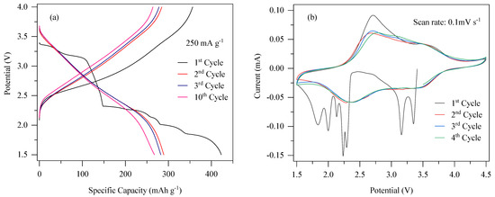
3.2. Electrochemical Performances
4. Conclusions
Author Contributions
Funding
Institutional Review Board Statement
Informed Consent Statement
Data Availability Statement
Acknowledgments
Conflicts of Interest
References
- Nitta, N.; Wu, F.; Lee, J.T.; Yushin, G. Li-ion battery materials: Present and future. Mater. Today 2015, 18, 252–264. [Google Scholar] [CrossRef]
- Tian, B.; Kempa, T.J.; Lieber, C.M. Single nanowire photovoltaics. Chem. Soc. Rev. 2009, 38, 16–24. [Google Scholar] [CrossRef] [PubMed]
- Hu, B.; Cheng, H.; Huang, C.; Aslam, M.K.; Liu, L.; Xu, C.; Chen, P.; Yu, D.; Chen, C. The controlled study of surfactants on the morphologies of three-dimensional turbine-like V2O5 for the application of high performance lithium ion storage. Solid State Ionics 2019, 342, 115059. [Google Scholar] [CrossRef]
- Dou, Y.; Liang, X.; Gao, G.; Wu, G. Template-free synthesis of porous V2O5 yolk-shell microspheres as cathode materials for lithium ion batteries. J. Alloys Compd. 2018, 735, 109–116. [Google Scholar] [CrossRef]
- Chen, M.; Liang, X.; Yin, J.; Chen, Q.; Xia, X. Graphene foam supported V2O5/N-C core/shell arrays as advanced cathode for lithium-ion storage. J. Alloys Compd. 2018, 735, 2022–2029. [Google Scholar] [CrossRef]
- Wang, J.; Sun, X. Understanding and recent development of carbon coating on LiFePO4 cathode materials for lithium-ion batteries. Energy Environ. Sci. 2012, 5, 5163–5185. [Google Scholar] [CrossRef]
- Yadav, G.G.; David, A.; Zhu, H.; Caruthers, J.; Wu, Y. Microemulsion-based synthesis and electrochemical evaluation of different nanostructures of LiCoO2 prepared through sacrificial nanowire templates. Nanoscale 2014, 6, 860–866. [Google Scholar] [CrossRef]
- Cai, Y.; Huang, Y.; Wang, X.; Jia, D.; Pang, W.K.; Guo, Z.; Du, Y.; Tang, X. Facile synthesis of LiMn2O4 octahedral nanoparticles as cathode materials for high capacity lithium ion batteries with long cycle life. J. Power Sources 2015, 278, 574–581. [Google Scholar] [CrossRef]
- Haris, M.; Atiq, S.; Abbas, S.M.; Mahmood, A.; Ramay, S.M.; Naseem, S. Acetylene black coated V2O5 nanocomposite with stable cyclability for lithium-ion batteries cathode. J. Alloys Compd. 2018, 732, 518–523. [Google Scholar] [CrossRef]
- Chen, A.; Li, C.; Zhang, C.; Li, W.; Yang, Q. The mechanical hybrid of V2O5 microspheres/graphene as an excellent cathode for lithium-ion batteries. J. Solid State Electrochem. 2022, 26, 729–738. [Google Scholar] [CrossRef]
- Lang, X.; Li, Y.; Cai, K.; Li, L.; Chen, D.; Zhang, Q. Influence of Sulfur-Modified Vanadium Pentoxide by Solid Phase Sintering Method on Electrochemical Performance of Cathode Materials for Lithium-Ion Batteries. Energy Technol. 2019, 7, 1800808. [Google Scholar] [CrossRef]
- Zeng, J.; Huang, J.; Liu, J.; Xie, T.; Peng, C.; Lu, Y.; Lu, P.; Zhang, R.; Min, J. Self-assembly of single layer V2O5 nanoribbon/graphene heterostructures as ultrahigh-performance cathode materials for lithium-ion batteries. Carbon 2019, 154, 24–32. [Google Scholar] [CrossRef]
- Shashank, M.; Alharthi, F.A.; Alsalme, A.; Al-Zaqri, N.; Nagaraju, G. Ag decorated V2O5 nanorods as cathode material for lithium-ion battery. J. Mater. Sci. Mater. Electron. 2020, 31, 14279–14286. [Google Scholar] [CrossRef]
- Yue, Y.; Liang, H. Micro- and Nano-Structured Vanadium Pentoxide (V2O5) for Electrodes of Lithium-Ion Batteries. Adv. Energy Mater. 2017, 7, 1602545. [Google Scholar] [CrossRef]
- Pan, A.Q.; Wu, H.B.; Zhang, L.; Lou, X.W.D. Uniform V2O5 nanosheet-assembled hollow micro flowers with excellent lithium storage properties. Energy Environ. Sci. 2013, 6, 1476–1479. [Google Scholar] [CrossRef]
- Chen, P.; Zheng, G.; Guo, G.; Wang, Z.; Tang, J.; Li, S.; Wen, Z.; Ji, S.; Sun, J. Ce-doped V2O5 microspheres with improved electrochemical performance for high-power rechargeable lithium ion batteries. J. Alloys Compd. 2019, 784, 574–583. [Google Scholar] [CrossRef]
- Tang, Y.; Rui, X.; Zhang, Y.; Lim, T.M.; Dong, Z.; Hng, H.H.; Chen, X.; Yan, Q.; Chen, Z. Vanadium pentoxide cathode materials for high-performance lithium-ion batteries enabled by a hierarchical nanoflower structure via an electrochemical process. J. Mater. Chem. A 2013, 1, 82–88. [Google Scholar] [CrossRef]
- Li, M.; Kong, F.; Wang, H.; Li, G. Synthesis of vanadium pentoxide (V2O5) ultralong nanobelts via an oriented attachment growth mechanism. CrystEngComm 2011, 13, 5317–5320. [Google Scholar] [CrossRef]
- Zhai, T.; Liu, H.; Li, H.; Fang, X.; Liao, M.; Li, L.; Zhou, H.; Koide, Y.; Bando, Y.; Golberg, D. Centimeter-Long V2O5 Nanowires: From Synthesis to Field-Emission, Electrochemical, Electrical Transport, and Photoconductive Properties. Adv. Mater. 2010, 22, 2547–2552. [Google Scholar] [CrossRef]
- Liu, J.; Xia, H.; Xue, D.; Lu, L. Double-Shelled Nanocapsules of V2O5-Based Composites as High-Performance Anode and Cathode Materials for Li Ion Batteries. J. Am. Chem. Soc. 2009, 131, 12086–12087. [Google Scholar] [CrossRef]
- Mai, L.; Dong, F.; Xu, X.; Luo, Y.; An, Q.; Zhao, Y.; Pan, J.; Yang, J. Cucumber-Like V2O5/poly(3,4-ethylenedioxythiophene) & MnO2 Nanowires with Enhanced Electrochemical Cyclability. Nano Lett. 2013, 13, 740–745. [Google Scholar] [PubMed]
- Liu, Y.; Gao, G.; Liang, X.; Wu, G. Nanofibers of V2O5/C@MWCNTs as the cathode material for lithium-ion batteries. J. Solid State Electrochem. 2018, 22, 2385–2393. [Google Scholar] [CrossRef]
- Liu, X.; Zeng, J.; Yang, H.; Zhou, K.; Pan, D. V2O5-Based nanomaterials: Synthesis and their applications. RSC Adv. 2018, 8, 4014–4031. [Google Scholar] [CrossRef] [Green Version]
- Bin Wu, H.; Pan, A.; Hng, H.H.; Lou, X.W. Template-Assisted Formation of Rattle-type V2O5 Hollow Microspheres with Enhanced Lithium Storage Properties. Adv. Funct. Mater. 2013, 23, 5669–5674. [Google Scholar] [CrossRef]
- Pan, A.; Bin Wu, H.; Yu, L.; Lou, X.W. Template-Free Synthesis of VO2 Hollow Microspheres with Various Interiors and Their Conversion into V2O5 for Lithium-Ion Batteries. Angew. Chem. 2013, 125, 2282–2286. [Google Scholar] [CrossRef]
- Ma, Y.; Huang, A.; Zhou, H.; Ji, S.; Zhang, S.; Li, R.; Yao, H.; Cao, X.; Jin, P. Template-free formation of various V2O5 hierarchical structures as cathode materials for lithium-ion batteries. J. Mater. Chem. A 2017, 5, 6522–6531. [Google Scholar] [CrossRef]
- Zeng, Y.; Gao, G.; Wu, G.; Yang, H. Nanosheet-structured vanadium pentoxide thin film as a carbon- and binder-free cathode for lithium-ion battery applications. J. Solid State Electrochem. 2015, 19, 3319–3328. [Google Scholar] [CrossRef]
- Qi, Y.; Qin, K.; Jian, Z.; Yang, X.; Jin, W.; Tan, Y.; Zou, Y.; Chen, W. Ag-functionalized exfoliated V2O5 nanosheets: A flexible and binder-free cathode for lithium-ion batteries. J. Mater. Sci. 2019, 54, 12713–12722. [Google Scholar] [CrossRef]
- Cheng, J.; Gu, G.; Guan, Q.; Razal, J.M.; Wang, Z.; Li, X.; Wang, B. Synthesis of a porous sheet-like V2O5-CNT nanocomposite using an ice-templating ‘bricks-and-mortar’ assembly approach as a high capacity, long cycle life cathode material for lithium-ion batteries. J. Mater. Chem. 2016, 4, 2729–2737. [Google Scholar] [CrossRef]
- Wang, H.-G.; Ma, D.-L.; Huang, Y.; Zhang, X.-B. Electrospun V2O5 Nanostructures with Controllable Morphology as High-Performance Cathode Materials for Lithium-Ion Batteries. Chem. A Eur. J. 2012, 18, 8987–8993. [Google Scholar] [CrossRef]
- Yao, X.; Guo, G.; Li, P.Z.; Luo, Z.Z.; Yan, Q.; Zhao, Y. Scalable synthesis of honeycomblike V2O5/carbon nanotube networks as enhanced cathodes for lithium-ion batteries. ACS Appl. Mater. Interfaces 2017, 9, 42438–42443. [Google Scholar] [CrossRef] [PubMed]
- Mai, L.; Tian, X.; Xu, X.; Chang, L.; Xu, L. Nanowire Electrodes for Electrochemical Energy Storage Devices. Chem. Rev. 2014, 114, 11828–11862. [Google Scholar] [CrossRef] [PubMed]
- Janiak, C.; Vieth, J.K. MOFs, MILs and more: Concepts, properties and applications for porous coordination networks (PCNs). New J. Chem. 2010, 34, 2366–2388. [Google Scholar] [CrossRef]
- Ni, Z.; Masel, R.I. Rapid Production of Metal−Organic Frameworks via Microwave-Assisted Solvothermal Synthesis. J. Am. Chem. Soc. 2006, 128, 12394–12395. [Google Scholar] [CrossRef]
- Wang, C.; Zhang, L.; Al-Mamun, M.; Dou, Y.; Liu, P.; Su, D.; Wang, G.; Zhang, S.; Wang, D.; Zhao, H. A Hollow-Shell Structured V2O5 Electrode-Based Symmetric Full Li-Ion Battery with Highest Capacity. Adv. Energy Mater. 2019, 9, 1900909. [Google Scholar] [CrossRef]
- Zhang, H.; Rong, Y.; Jia, W.; Chai, H.; Cao, Y. Simple solvent-free synthesis of rod-like Cu-doped V2O5 for high storage capacity cathode materials of lithium-ion batteries. J. Alloys Compd. 2019, 802, 139–145. [Google Scholar] [CrossRef]
- Huang, J.; Qiao, X.; Xu, Z.; Cao, L.; Ouyang, H.; Li, J.; Wang, R. V2O5 self-assembled nanosheets as high stable cathodes for Lithium-ion batteries. Electrochim. Acta 2016, 191, 158–164. [Google Scholar] [CrossRef]
- Xu, Y.; Dunwell, M.; Fei, L.; Fu, E.; Lin, Q.; Patterson, B.; Yuan, B.; Deng, S.; Andersen, P.; Luo, H.; et al. Two-Dimensional V2O5 Sheet Network as Electrode for Lithium-Ion Batteries. ACS Appl. Mater. Interfaces 2014, 6, 20408–20413. [Google Scholar] [CrossRef]
- Partheeban, T.; Kesavan, T.; Vivekanantha, M.; Sasidharan, M. One-pot solvothermal synthesis of V2O5/MWCNT composite cathode for Li-ion batteries. Appl. Surf. Sci. 2019, 493, 1106–1114. [Google Scholar] [CrossRef]
- Niu, C.; Li, J.; Jin, H.; Shi, H.; Zhu, Y.; Wang, W.; Cao, M. Self-template processed hierarchical V2O5 nanobelts as cathode for high performance lithium ion battery. Electrochim. Acta 2015, 182, 621–628. [Google Scholar] [CrossRef]
- Liu, P.; Zhu, K.; Bian, K.; Xu, Y.; Zhang, F.; Zhang, W.; Zhang, J.; Huang, W. 3D hierarchical porous sponge-like V2O5 micro/nano-structures for high-performance Li-ion batteries. J. Alloys Compd. 2018, 765, 901–906. [Google Scholar] [CrossRef]
- Pan, J.; Li, M.; Luo, Y.; Wu, H.; Zhong, L.; Wang, Q.; Li, G. Microwave-assisted hydrothermal synthesis of V2O5 nanorods assemblies with an improved Li-ion batteries performance. Mater. Res. Bull. 2016, 74, 90–95. [Google Scholar] [CrossRef]
- Han, C.; Yan, M.; Mai, L.; Tian, X.; Xu, L.; Xu, X.; An, Q.; Zhao, Y.; Ma, X.; Xie, J. V2O5 quantum dots/graphene hybrid nanocomposite with stable cyclability for advanced lithium batteries. Nano Energy 2013, 2, 916–922. [Google Scholar] [CrossRef]
- Shan, Y.; Xu, L.; Hu, Y.; Jiang, H.; Li, C. Internal-diffusion controlled synthesis of V2O5 hollow microspheres for superior lithium-ion full batteries. Chem. Eng. Sci. 2019, 200, 38–45. [Google Scholar] [CrossRef]
- Zhang, Y.; Zou, Z.; Liu, J.; Zhang, S.; Zhang, H. Effect of Ga doping on structure and properties of V2O5 lithium-ion batteries. Mater. Technol. 2020, 35, 887–895. [Google Scholar] [CrossRef]
- Cao, L.; Kou, L.; Li, J.; Huang, J.; Yang, J.; Wang, Y. Nitrogen-doped carbon-coated V2O5 nanocomposite as cathode materials for lithium-ion battery. J. Mater. Sci. 2018, 53, 10270–10279. [Google Scholar] [CrossRef]





| Material | Synthesis Method | Nanostructure | Electrochemical Performance (Dis. Capacity/Cycle Number/Rate) | Ref. |
|---|---|---|---|---|
| V2O5 | The polymer-assisted chemical solution method | Network | 99 mAh g−1/100 cycles/1 A g−1 | [38] |
| V2O5 | Solvothermal | Sheets | 140 mAh g−1/100 cycles/0.1C | [39] |
| V2O5/MWCNT | Particles | 190 mAh g−1/100 cycles/0.1C | ||
| V2O5 | Hydrothermal | Nanobelts | 168 mAh g−1/50th cycles/50 mA g−1 | [40] |
| V2O5 | The ultrasonic method with subsequent thermal decomposition. | Nanosheets | 179.5 mAh g−1/50 cycles/1C | [37] |
| Nanoparticles | 106.1 mAh g−1/50 cycles/1C | |||
| V2O5 | Hydrothermal/annealing | SLMNSs | 202 mAh g−1/50 cycles/100 mA g−1 | [41] |
| Nanoribbons | 131 mAh g−1/50 cycles/100 mA g−1 | |||
| V2O5 | Microwave-assisted hydrothermal synthesis | Separate nanorods | 112.6 mAh g−1/50 Cycles/100 mA g−1 | [42] |
| Nanorods assemblies | 191.6 mAh g−1/50 cycles/100 mA g−1 | |||
| V2O5-SnO2 | Solvothermal | Double-shelled nanocapsules | 174 mAh g−1/50 Cycles/100 mA g−1 | [20] |
| V2O5 | Hydrothermal | Nanowire | 126 mAh g−1/100 Cycles/100 mA g−1 | [43] |
| V2O5/rGO | Quantum dots | 212 mAh g−1/100 Cycles/100 mA g−1 | ||
| V2O5 | Solvothermal | Hollow microspheres | 125 mAh g−1/100 Cycles/1 C | [44] |
| V2O5 | Solvothermal | Nanoparticles | 91.40 mAh g−1/100 Cycles/50 mA g−1 | [45] |
| V2O5 | Hydrothermal | Nanoflakes/ Nanoparticles | 139 mAh g−1/50 Cycles/15 mA g−1 | [46] |
| V2O5 | Hydrothermal | Oval-shaped Nanoparticle | 169.3 mAh g−1/50 cycles/133 mA g−1 | This work |
| 150.7 mAh g−1/50 cycles/250 mA g−1 |
Publisher’s Note: MDPI stays neutral with regard to jurisdictional claims in published maps and institutional affiliations. |
© 2022 by the authors. Licensee MDPI, Basel, Switzerland. This article is an open access article distributed under the terms and conditions of the Creative Commons Attribution (CC BY) license (https://creativecommons.org/licenses/by/4.0/).
Share and Cite
Singh, J.; Hong, K.; Cho, Y.; Akhtar, M.S.; Kang, J.; Rai, A.K. Metal-Organic Framework Fabricated V2O5 Cathode Material for High-Performance Lithium-Ion Batteries. Coatings 2022, 12, 844. https://doi.org/10.3390/coatings12060844
Singh J, Hong K, Cho Y, Akhtar MS, Kang J, Rai AK. Metal-Organic Framework Fabricated V2O5 Cathode Material for High-Performance Lithium-Ion Batteries. Coatings. 2022; 12(6):844. https://doi.org/10.3390/coatings12060844
Chicago/Turabian StyleSingh, Jay, Kichang Hong, Younggwon Cho, M. Shaheer Akhtar, Jungwon Kang, and Alok Kumar Rai. 2022. "Metal-Organic Framework Fabricated V2O5 Cathode Material for High-Performance Lithium-Ion Batteries" Coatings 12, no. 6: 844. https://doi.org/10.3390/coatings12060844
APA StyleSingh, J., Hong, K., Cho, Y., Akhtar, M. S., Kang, J., & Rai, A. K. (2022). Metal-Organic Framework Fabricated V2O5 Cathode Material for High-Performance Lithium-Ion Batteries. Coatings, 12(6), 844. https://doi.org/10.3390/coatings12060844

