A Study of Multi-Pass Laser-Cladding 2205 Duplex Stainless Steel Coating: Microstructure, Electrochemical Corrosion Behavior, and Wear-Resistance Properties
Abstract
:1. Introduction
2. Materials and Methods
2.1. Sample Preparation
2.2. Characterizations of the Samples
2.2.1. Surface Macro/Micromorphology and Phase Compositions
2.2.2. Electrochemical Tests
2.2.3. Friction and Wear Tests
3. Results and Discussion
3.1. Surface Macromorphology Analysis of the Laser-Cladding Layer
3.2. Phase-Composition Analysis of the Laser-Cladding Layers
3.3. Surface Microstructure Analysis of the Laser-Cladding Layers
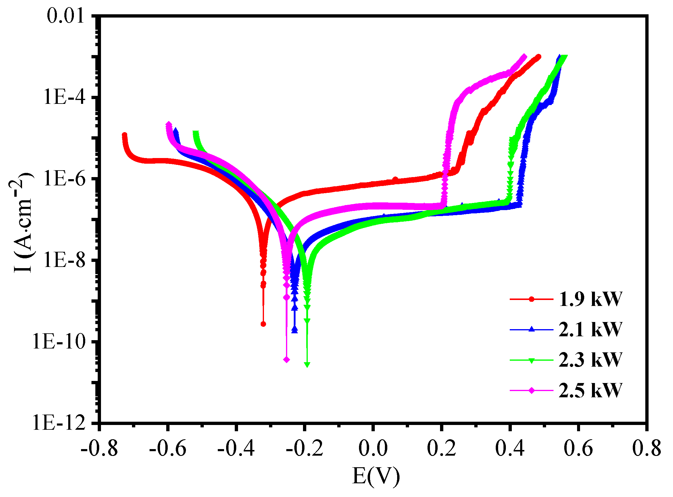
3.4. Electrochemical Analysis of The Laser-Cladding Layer
3.5. Wear-Resistance Analysis of the Laser-Cladding Layers
4. Conclusions
Limitations and Future Work
Author Contributions
Funding
Institutional Review Board Statement
Informed Consent Statement
Data Availability Statement
Acknowledgments
Conflicts of Interest
References
- Zhang, C.Q.; Chen, Y.; Yu, J.; Zhou, J.; Li, L.; Wang, Z. Influence of high-frequency micro-forging on microstructure and properties of 304 stainless steel fabricated by laser rapid prototyping. Steel Res. Int. 2013, 84, 870–877. [Google Scholar] [CrossRef]
- Khan, H.I.; Zhang, N.; Zhu, Z.; Jiang, D.; Asif, T.; Xu, H. Behavior and susceptibility to stress corrosion cracking of a nickel-based alloy in superheated steam and supercritical water. Corros. Mater. 2019, 70, 48–56. [Google Scholar] [CrossRef]
- Li, W.; Xu, P.; Wang, Y.; Zou, Y.; Gong, H.; Lu, F. Laser synthesis and microstructure of micro- and nano-structured WC reinforced Co-based cladding layers on titanium alloy. J. Alloys Compd. 2018, 749, 10–22. [Google Scholar] [CrossRef]
- Baidridge, T.; Poling, G.; Foroozmehr, E.; Kovacevic, R.; Metz, T.; Kadekar, V.; Gupta, M.C. Laser cladding of Inconel 690 on Inconel 600 superalloy for corrosion protection in nuclear applications. Opt. Laser Technol. 2013, 51, 180–184. [Google Scholar] [CrossRef]
- Núñez, Y.; Mafra, M.; Morales, R.E.; Borges, P.C.; Pintaude, G. The effect of plasma nitriding on the synergism between wear and corrosion of SAF 2205 duplex stainless steel. Ind. Lubr. Tribol. 2020, 72, 1117–1122. [Google Scholar] [CrossRef]
- Zhou, Y.; Engelberg, D.L. Fast testing of ambient temperature pitting corrosion in type 2205 duplex stainless steel by bipolar electrochemistry experiments. Electrochem. Commun. 2020, 117, 106779. [Google Scholar] [CrossRef]
- Zhang, Z.; Farahmand, P.; Kovacevic, R. Laser cladding of 420 stainless steel with molybdenum on mild steel A36 by a high power direct diode laser. Mater. Des. 2016, 109, 686–699. [Google Scholar] [CrossRef] [Green Version]
- Pala, Z.; Bai, M.; Lukac, F.; Hussain, T. Laser clad and HVOF-sprayed stellite 6 coating in chlorine-rich environment with KCl at 700 °C. Oxid. Met. 2017, 88, 749–771. [Google Scholar] [CrossRef] [Green Version]
- Zhao, J.; Gao, Q.; Wang, H.; Shu, F.; Zhao, H.; He, W.; Yu, Z. Microstructure and mechanical properties of Co-based alloy coatings fabricated by laser cladding and plasma arc spray welding. J. Alloys Compd. 2019, 785, 846–854. [Google Scholar] [CrossRef]
- Singh, D.; Gatey, A.M.; Devan, R.S.; Antunes, V.; Alvarez, F.; Figueroa, C.A.; Joshi, A.A.; Hosmani, S.S. Surface treatment response of AISI 2205 and AISI 304L steels: SMAT and plasma-nitriding. Surf. Eng. 2019, 35, 205–215. [Google Scholar] [CrossRef]
- Cheikh, H.E.; Courant, B.; Branchu, S.; Huang, X.W.; Hascoët, J.Y.; Guillén, R. Direct laser fabrication process with coaxial powder projection of 316L steel. Geometrical characteristics and microstructure characterization of wall structures. Opt. Laser Eng. 2012, 50, 1779–1784. [Google Scholar] [CrossRef] [Green Version]
- Rashid, R.A.R.; Abaspour, S.; Palanisamy, S.; Matthews, N.; Dargusch, M.S. Metallurgical and geometrical characterisation of the 316L stainless steel clad deposited on a mild steel substrate. Surf. Coat. Technol. 2017, 327, 174–184. [Google Scholar] [CrossRef]
- Liu, J.; Li, J.; Cheng, X.; Wang, H. Microstructures and tensile properties of laser cladded AerMet100 steel coating on 300 M steel. J. Mater. Sci. Technol. 2018, 34, 643–652. [Google Scholar] [CrossRef]
- Xu, P.; Lin, C.; Zhou, C.; Yi, X. Wear and corrosion resistance of laser cladding AISI 304 stainless steel/Al2O3 composite coatings. Surf. Coat. Technol. 2014, 238, 9–14. [Google Scholar] [CrossRef]
- Wen, J.H.; Zhang, L.J.; Ning, J.; Xue, F.; Lei, X.W.; Zhang, J.X.; Na, S.J. Laser additively manufactured intensive dual-phase steels and their microstructures, properties and corrosion resistance. Mater. Des. 2020, 192, 108710. [Google Scholar] [CrossRef]
- Sui, Y.; Yang, F.; Qin, G.; Ao, Z.; Liu, Y.; Wang, Y. Microstructure and wear resistance of laser-cladded Ni-based composite coatings on downhole tools. J. Mater. Process. Technol. 2018, 252, 217–224. [Google Scholar] [CrossRef]
- Tshilwane, N.N.; van der Merwe, J.W. Stress corrosion cracking of laser alloyed 304L stainless steel with Ru in hot chloride solution. Surf. Coat. Technol. 2018, 347, 414–419. [Google Scholar] [CrossRef]
- Zhao, G.M.; Wang, K.L. Effect of La2O3 on corrosion resistance of laser clad ferrite-based alloy coatings. Corros. Sci. 2006, 48, 273–284. [Google Scholar] [CrossRef]
- Zhang, H.; Zou, Y.; Zou, Z.; Shi, C. Effects of CeO2 on microstructure and corrosion resistance of TiC-VC reinforced Fe-based laser cladding layers. J. Rare Earths 2014, 32, 1095–1100. [Google Scholar] [CrossRef]
- Wu, Q.; Zhong, N.; Liu, B.; Fan, C.; Li, W.; Yin, Y. Microstructure and corrosion behaviour of laser-clad TiC–Cr7C3–CNTs cermet coating on 304 stainless steel substrate. Corros. Eng. Sci. Technol. 2015, 51, 136–145. [Google Scholar] [CrossRef]
- Papula, S.; Song, M.S.; Pateras, A.; Chen, X.B.; Brandt, M.; Easton, M.; Yagodzinskyy, Y.; Virkkunen, I.; Haenninen, H. Selective laser melting of duplex stainless steel 2205: Effect of post-processing heat treatment on microstructure, mechanical properties, and corrosion resistance. Materials 2019, 12, 2468. [Google Scholar] [CrossRef] [Green Version]
- Geenen, K.; Roettger, A.; Theisen, W. Corrosion behavior of 316L austenitic steel processed by selective laser melting, hot-isostatic pressing, and casting. Corros. Mater. 2017, 68, 764–775. [Google Scholar] [CrossRef]
- Pardo, A.; Merino, M.C.; Coy, A.E.; Viejo, F.; Arrabal, R.; Matykina, E. Pitting corrosion behaviour of austenitic stainless steels–combining effects of Mn and Mo additions. Corros. Sci. 2008, 50, 1796–1806. [Google Scholar] [CrossRef]
- Liu, E.; Huang, F.; Bao, F.; Xue, Y.; Wang, H.; Jin, Y. Microstructure and electrochemical corrosion Behaviors of Laser-Cladded 2205 Duplex Stainless Steel. Steel Res. Int. 2020, 91, 1900456. [Google Scholar] [CrossRef]
- Song, L.; Zeng, G.; Xiao, H.; Xiao, X.; Li, S. Repair of 304 stainless steel by laser cladding with 316L stainless steel powders followed by laser surface alloying with WC powders. J. Manuf. Process. 2016, 24, 116–124. [Google Scholar] [CrossRef]
- Yang, X.; Du, C.; Wan, H.; Liu, Z.; Li, X. Influence of sulfides on the passivation behavior of titanium alloy TA2 in simulated seawater environments. Appl. Surf. Sci. 2018, 458, 198–209. [Google Scholar] [CrossRef]
- Huang, J.; Liu, S.; Wu, L.; Yu, S.; Yu, X.; Yuan, W.; Liao, Y.; Fan, D. The microstructures and corrosion behavior of cladding layer on Ti-6Al-4V alloy using arc deposition with Ar and CO2 mixed shield gas. J. Alloys Compd. 2020, 857, 157557. [Google Scholar] [CrossRef]
- Jiang, P.; Lin, L.; Fan, Z.; Xiang, D.; Lei, R.; Lin, C. Electrochemical construction of micro–nano spongelike structure on titanium substrate for enhancing corrosion resistance and bioactivity. Electrochim. Acta 2013, 107, 16–25. [Google Scholar] [CrossRef]
- Fattah-Alhosseini, A.; Ansaria, A.R.; Mazaheri, Y.; Keshavarz, M.K. Effect of immersion time on the passive and electrochemical response of annealed and nanograined commercial pure titanium in Ringer’s physiological solution at 37 °C. Mater. Sci. Eng. C 2017, 71, 771–779. [Google Scholar] [CrossRef]
- Wei, J.; Dong, J.; Zhou, Y.; He, X.; Wang, C.; Ke, W. Influence of the secondary phase on micro galvanic corrosion of low carbon bainitic steel in NaCl solution. Mater. Charact. 2018, 139, 401–410. [Google Scholar] [CrossRef]
- Xie, F.; He, X.; Cao, S.; Mei, M.; Qu, X. Influence of pore characteristics on microstructure, mechanical properties and corrosion resistance of selective laser sintered porous Ti–Mo alloys for biomedical applications. Electrochim. Acta 2013, 105, 121–129. [Google Scholar] [CrossRef]
- Lei, J.; Shi, C.; Zhou, S.; Gu, Z.; Zhang, L.C. Enhanced corrosion and wear resistance properties of carbon fiber reinforced Ni-based composite coating by laser cladding. Surf. Coat. Technol. 2018, 334, 274–285. [Google Scholar] [CrossRef] [Green Version]
- Yilmaz, H.; Sadeler, R. Impact wear behavior of ball burnished 316L stainless steel. Surf. Coat. Technol. 2019, 363, 369–378. [Google Scholar] [CrossRef]













| Elements | C | N | S | P | Si | Cr | Ni | Mo | Mn | Cu |
|---|---|---|---|---|---|---|---|---|---|---|
| Q235 carbon steel | 0.20 | - | ≤0.05 | ≤0.045 | ≤0.3 | - | - | - | 0.4 | - |
| 2205 DSS powder | 0.015 | ≤0.045 | ≤0.05 | ≤0.045 | 1.22 | 22.76 | 6.2 | 3.3 | 1.5 | ≤0.045 |
| Laser Powers/kW | Peak Positions of γ-Fe | Peak Positions of α-Fe | ||||
|---|---|---|---|---|---|---|
| (111) | (200) | (311) | (110) | (200) | (220) | |
| 1.9 | 43.4 | 50.47 | 90.34 | 44.3 | - | - |
| 2.1 | 43.6 | 50.48 | 90.55 | 44.4 | 64.56 | 81.8 |
| 2.3 | 43.4 | 50.42 | 90.34 | 44.2 | 64.51 | 81.75 |
| 2.5 | 43.7 | 50.86 | 90.7 | 44.7 | 64.78 | 82.01 |
| Laser Power (kW) | Ecorr (mV) | Icorr (µA/cm2) | Eb (mV) | i’p (µA/cm2) |
|---|---|---|---|---|
| Substrate [24] | −709.2 | 2.881 | - | - |
| 1.9 | −321.1 | 1.972 | 242.7 | 6.512 |
| 2.1 | −230.5 | 0.175 | 424.8 | 0.578 |
| 2.3 | −193.2 | 0.119 | 394.2 | 0.599 |
| 2.5 | −253.2 | 0.410 | 204.0 | 1.185 |
| Fitting Parameters | Rs | CPE1 | n1 | R1 | CPE2 | n2 | Rct | χ2(10−4) |
|---|---|---|---|---|---|---|---|---|
| Substrate [24] | 4.879 | 633.8 | 0.814 | - | - | - | 1.587 | 1.64 |
| 1.9 kW | 2.201 | 17.73 | 0.8421 | 1.329 | 25.83 | 0.7237 | 163.0 | 8.79 |
| 2.1 kW | 2.402 | 19.53 | 0.8468 | 30.21 | 4.375 | 0.8215 | 372.0 | 5.14 |
| 2.3 kW | 2.816 | 24.08 | 0.9002 | 49.91 | 9.087 | 0.7434 | 525.3 | 9.09 |
| 2.5 kW | 2.171 | 19.64 | 0.8787 | 6.333 | 15.69 | 0.6748 | 296.4 | 5.38 |
| Position | Cr | Ni | Mo | Si | O |
|---|---|---|---|---|---|
| 1 | - | - | - | 0.23 | - |
| 2 | - | - | - | 0.36 | 18.40 |
| 3 | 21.28 | 5.38 | 1.58 | 1.01 | 9.03 |
| 4 | 20.51 | 6.09 | 1.35 | 1.02 | 7.39 |
Publisher’s Note: MDPI stays neutral with regard to jurisdictional claims in published maps and institutional affiliations. |
© 2022 by the authors. Licensee MDPI, Basel, Switzerland. This article is an open access article distributed under the terms and conditions of the Creative Commons Attribution (CC BY) license (https://creativecommons.org/licenses/by/4.0/).
Share and Cite
Huang, F.; Liu, E.; Qin, Y.; Wang, Q.; Jin, Y.; Wen, L.; Chang, H. A Study of Multi-Pass Laser-Cladding 2205 Duplex Stainless Steel Coating: Microstructure, Electrochemical Corrosion Behavior, and Wear-Resistance Properties. Coatings 2022, 12, 229. https://doi.org/10.3390/coatings12020229
Huang F, Liu E, Qin Y, Wang Q, Jin Y, Wen L, Chang H. A Study of Multi-Pass Laser-Cladding 2205 Duplex Stainless Steel Coating: Microstructure, Electrochemical Corrosion Behavior, and Wear-Resistance Properties. Coatings. 2022; 12(2):229. https://doi.org/10.3390/coatings12020229
Chicago/Turabian StyleHuang, Feifei, Erju Liu, Yi Qin, Qingrui Wang, Ying Jin, Lei Wen, and Hai Chang. 2022. "A Study of Multi-Pass Laser-Cladding 2205 Duplex Stainless Steel Coating: Microstructure, Electrochemical Corrosion Behavior, and Wear-Resistance Properties" Coatings 12, no. 2: 229. https://doi.org/10.3390/coatings12020229
APA StyleHuang, F., Liu, E., Qin, Y., Wang, Q., Jin, Y., Wen, L., & Chang, H. (2022). A Study of Multi-Pass Laser-Cladding 2205 Duplex Stainless Steel Coating: Microstructure, Electrochemical Corrosion Behavior, and Wear-Resistance Properties. Coatings, 12(2), 229. https://doi.org/10.3390/coatings12020229

