Abstract
In this paper, we theoretically explore the spectroscopic features of various one-dimensional photonic crystal (1D-PC)-based spectrally selective filters. The 1D-PC structure is composed of alternating layers of titanium dioxide (TiO2) and graphene oxide (GO). Employing the transfer matrix method (TMM), the impacts of the incidence angle, the number, and thicknesses of TiO2/GO layers in various 1D-PC stacks on the spectroscopic features of the filters are explored in detail. The proposed 1D-PC structures are designed for practical use for thermophotovoltaic (TPV) applications to act as filters that selectively transmit light below 1.78 μm to a GaSb photovoltaic cell, while light with longer wavelengths is reflected back to the source. The optimal design presented here consists of two Bragg quarter-wave 1D-PC filters with different central frequencies stacked to form a single structure. We demonstrate that our optimized 1D-PC filter exhibits a large omnidirectional stop band as well as a broad pass band and weak absorption losses. These features meet the fundamental exigencies to realize high-efficiency TPV devices. Additionally, we show that when integrated in a TPV system, our optimized filter leads to a spectral efficiency of 64%, a device efficiency of 39%, and a power density of 8.2 W/cm2, at a source temperature of 1800 K.
1. Introduction
Thermophotovoltaic (TPV) technology has received widespread attention due to its use in directly converting thermal energy radiated from a high-temperature source into electricity using photovoltaic (PV) cells [1,2,3,4,5]. A TPV device is composed of a heat source considered to be a perfect blackbody (BB), PV cells, and a selective filter. Unlike solar photovoltaic systems, the heat source in a TPV system is significantly closer to the PV diode, leading to a higher photon flux and power density as well as omnidirectional transfer of radiated power. In addition, TPV systems require PV cells with low band gap energy (Eg) semiconductors such as GaSb, InGaAs, and InGaAsSb because the temperature of the source is typically between 1000 and 1800 K [6]. Moreover, the closeness of the emitter to the PV cell authorizes photon recycling, leading to the enhancement of the device efficiency. The system efficiency and power density can be dramatically improved by the reflecting photon fraction having energies lower than the Eg of the PV cell to the source and transmitting photons with higher energies to the PV cell. The heat source absorbs the reflected light fraction and the energy can be recycled. Such energy recycling processes can be accomplished by employing a spectrally selective filter deposited on the PV cell-front, and/or backside reflectors deposited on its backside [7]. Until now, diverse highly efficient filter structures have been employed to enhance the performances of TPV devices. These filter structures comprised rugate and plasma filters [8,9,10,11] as well as distributed Bragg reflectors (DBRs) [12]. DBRs are layered structures in the form of 1D–PCs with a periodic refractive index along the normal to their surfaces [13,14]. Various types of spectrally selective filters based on 1D-PC structures with diverse constituent substances have been explored computationally and/or experimentally. Among these selective filters, we cite those comprising 1D-PC structures based on alternating layers of dielectric materials such as Si/SiO2 [7,15,16] and TiO2/SiO2 [17,18] PC structures. The 1D metal-dielectric PCs composed of Ag/SiO2 are also of note [19]. Babiker et al. [16] demonstrated 33.5% spectral efficiency at a source temperature of 1500 K for 1D Si/SiO2 filter structures. In another study [7], a spectrally selective filter including ten periods of 1D-PC structure composed of Si/SiO2 layers was optimized and fabricated. This device showed a power density of 2.1 W/cm2 and spectral and system efficiencies of 40% and 24%, respectively. Mbakop et al. [20] conducted a comparative study between the performances of Si/SiO2- and TiO2/SiO2-based 1D-PC structures. They demonstrated that for the same number of layers, the Si/SiO2 structure exhibited a larger stop band in contrast to the TiO2/SiO2 structure. Recently, Gupta et al. [21] proposed a sub-band spectral filtering structure integrated in a TPV device with a GaSb PV diode. Their optimized structure demonstrated a prospect to reflect ~72% of the light radiated at a source temperature of 1500 K. More recently, Pirvaram et al. [22] employed a filtering structure composed of ZrO2/ZrO2-aerogel 1D-PC to ameliorate the efficiency of a TPV system based on GaSb PV cells. They reported that a power density of 8.5 W/cm2 and spectral and system efficiencies of 46% and 33%, respectively, were obtained for their optimized filter at the emitter temperature of 1800 K.
In recent years, titanium dioxide (TiO2) become one of the most attractive materials [23,24,25,26,27] that have been used to prepare functional 1D–PCs [28,29,30,31,32]. TiO2 has a relatively large refractive index; therefore, when combined with materials with low refractive index, it results in a PBG. On the other hand, graphene oxide (GO) has excellent electrical and optical properties, good thermal conductivity, high mechanical strength, and a wide specific surface area [33,34]. GO is easily prepared and inexpensive, and it has a low refractive index, which is about 1.3 in the wavelength interval ranging from visible to near-infrared. Hence, the combination of GO with TiO2 in a 1D-PC ensures a big difference between the refractive indices allowing a wide and high stop band.
In the present work, various 1D–PCs based on GO/TiO2 stacked structures were designed and optimized for use as a spectrally selective filter for TPV applications. The TMM approach was employed to compute the optical response of these structures. The influence of several key parameters, such as number and thicknesses of the PC layers, and the incidence angle on the optical features of the filtering structures was explored in detail. Moreover, the optimized 1D-PC filter was integrated in a TPV system. Finally, the spectral and device efficiencies, as well as the power density was estimated using an ideal thermodynamic approach.
2. Model and Theory
In this study, a thermophotovoltaic (TPV) system was made up of a planar thermal source and a PV diode separated by an airgap of width L0, as reported in [7,22] (see Figure 1). The source was assumed to be an ideal blackbody (BB) with a refractive index of . The PV cell consisted of a GaSb cell with a refractive index of and gap energy of which corresponded to a cut-off wavelength of A 1D-PC structure was positioned in front of the photodiode (see Figure 1) to enable the photons with wavelengths below to pass through it, while reflecting all other photons back to the blackbody source.
Figure 1.
TPV system with blackbody emitter (BB) and a front side 1D-PC selective filter positioned in front of the PV diode that extends to +∞.
The electrical power density produced by a TPV device and its efficiency can be computed using an ideal thermodynamic approach, as detailed in [6,35]. Within the framework of this model, the photodiode was an ideal semiconductor where an electron–hole pair could be generated if the energy of the incident photon was greater than energy gap Eg. The power transmitted from a blackbody at temperature TBB to the photodiode can be expressed according to the ideal thermodynamic model as follows:
where ω is the photon angular frequency, is the blackbody temperature, e is the electron charge, V is the voltage across the PV diode terminals, is the reduced Planck’s constant, and kB is Boltzmann’s constant. and are the average transmittance from the source to the photodiode and from the photodiode to the source, respectively. The amount of electrical power produced in the PV diode can be written as:
The first and second terms in the above equation represent the photon flux transferred from the source to the photodiode and from photodiode to the source, respectively. Hence, the device efficiency can be expressed as follows:
Moreover, in the case of a blackbody emitter, the spectral efficiency can be calculated according to [36] as follows:
Here is the average reflectance of the filter. specifies the ratio of the transmitted power below the cut-off wavelength to the total radiated power that attains the photodiode–filter system.
According to Planck’s law, the spectral intensity of a blackbody source at temperature T is given by [37]:
The transfer matrix method (TMM) [38] was used to simulate the optical features of our designed 1D-PC configurations. In this approach, each layer of the system was described by an interface matrix (I–matrix) and a propagation matrix (P–matrix). For the 1D layered structure, the P–matrix describing light propagation over the jth layer was represented according to [38] by a 2 × 2 matrix as follows:
Meanwhile, the I–matrix that connects field components on either side of the j/k interface can be expressed according to [38] by the following matrix:
where and are the Fresnel coefficients that are expressed for transverse electric (TE) and transverse magnetic (TM) polarizations as in [38]:
with , where is the dielectric permittivity of the background medium and is the incidence angle.
The total transfer matrix can be written as:
Finally, the reflectance R, transmittance T, and the absorbance A can be extracted from the Fresnel complex reflection and transmission coefficients as follows:
The 1D-PC structures considered here are made of N alternating layers [LH]N of high- and low-index materials with refractive indices nH and nL, respectively, deposited on a substrate with refractive index The thicknesses dH and dL of the high- and low-index material slabs were chosen to fulfill the Bragg quarter-wave stacks condition; where λ0 is the band gap central wavelength at normal incidence. It is well known that 1D–PCs can display total omnidirectional reflectance in the sense of an overlapping band gap at all incident angles, which can be employed to enhance the power conversion efficiency in TPV systems [39,40,41]. The wavelength λ0 can be expressed in terms of the lower limit of the stop band which was chosen to be equal to the cut-off wavelength of the photodiode, according to [7].
3. Results and Discussion
In this study, the high- and low-index material layers were chosen to be titanium dioxide (TiO2) with a refractive index nH = 2.87 [42] and graphene oxide (GO) with a refractive index nL = 1.328 [43], respectively. In our analysis, the spectroscopic features of the TiO2/GO-based 1D-PC structures were investigated, as they related to the number and the thicknesses of PC layers, as well as the incidence angle of the radiated photons. The impact of each parameter among the above was also explored in detail. The basic parameters used in our calculation are summarized in Table 1.
Table 1.
Refractive indices of the different materials used in our calculations and the corresponding references.
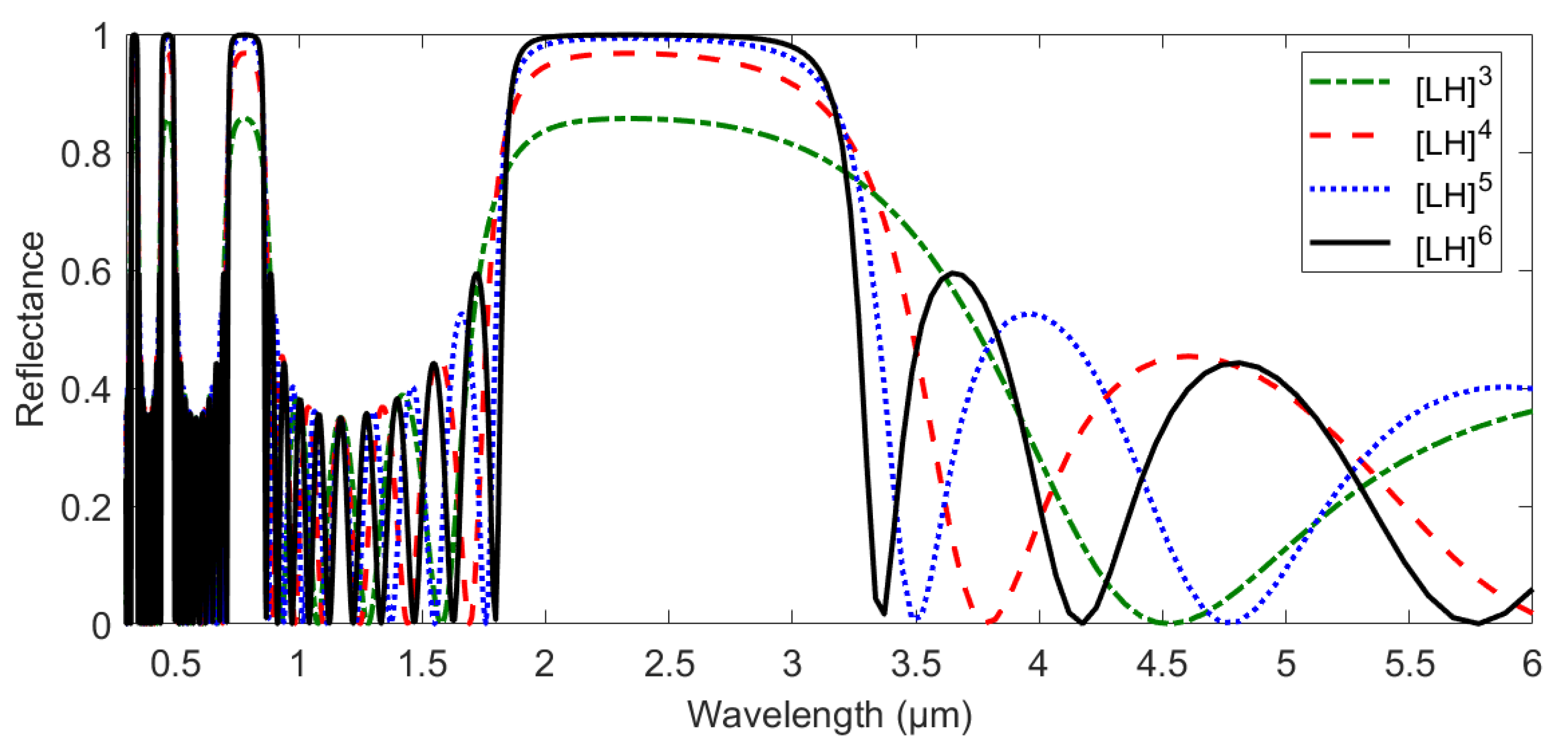
First, we explored the effect of the number of periods on the reflectance spectrum of our 1D-PC structure. As mentioned below, we chose the thicknesses of the layers to verify the Bragg quarter-wave stacks condition, where λ0 is the band gap central wavelength at normal incidence. To match the lower limit of the stop band to the photodiode cutoff wavelength, the central wavelength could be calculated according to Equation (12), so in this case λ0 = 2.34 μm. Figure 2 displays the reflectance at normal incidence of 1D-PC structures with configurations [LH]N at λ0 = 2.34 μm, N, extending from three to six. In general, one can obviously observe that the reflectance level of the structure increased by increasing the period number N. Particularly, the reflectance level along the photonic band gap (PBG) exceeded 99% for N = 5. However, the width of PBG narrowed slightly when increasing N from three to six layers. Hence, we chose N = 5 as the optimum value for the number of the PC periods. Note also that our 1D-PC filter displayed numerous considerable reflection peaks within the transmission band due to the change in the refractive-index profile. Such reflection ripples reduce the magnitude of radiated power attaining the photodiode in a TPV device [7].
Figure 2.
Reflectance spectra at normal incidence of the filter configuration [LH]N with different numbers of periods; the central wavelength is λ0 = 2.34 μm.
To reduce the magnitude of the reflection peaks in the transmission band and ameliorate the efficiency of our structure, we followed the strategy proposed by O’Sullivan et al. [7]. The first layer in front to air could be reorganized into an anti-reflection coating by reducing the thickness dL to its half; thus, the structure would be [L/2][H][LH]4. Figure 3 displays the reflectance spectra of the original structure ([LH]5) as well as the adjusted one ([L/2][H][LH]4). Obviously, the adjusted filter exhibited lower reflection level within the transmission band in contrast to the original one.
Figure 3.
Reflectance spectra at normal incidence of the original filter configuration [LH]5 and the adjusted structure [L/2][H][LH]4; the central wavelength is λ0 = 2.34 μm.
We continued our optimization by proceeding to obtain a larger PBG with the purpose of improving the efficiency of the device. It was reported in [4] that the PBG of a 1D-PC filter could be made wider by superposing together multiple filter configurations, having consecutive individual PBGs on top of each other. For this reason, we designed another 1D-PC filter having a lower-edge PBG to coincide with the upper edge of the above designed one. Since the spectral range of a PBG can be controlled by choosing the central wavelength of the Bragg stack, we optimized a second filter having a PBG consecutive to that of the above one. We found that the PBG of this filter was centered at about λ0 = 3.3 μm. Figure 4 displays the normal-incidence reflectance spectra of our TiO2/GO-based filters with the configuration [LH]5 for two distinct values of the central wavelength λ01 = 2.34 μm ([LH]5(λ01)) and λ02 = 3.3 μm ([LH]5(λ02)). So, the thicknesses of the PC layers corresponding to the configuration [LH]5(λ01) are dH = 203.8 nm and dL = 440.5 nm, and those corresponding to the configuration [LH]5(λ02) are dH = 287.5 nm and dL = 621.2 nm. The reflectance spectra calculated for the double-stack filter configuration ([LH]5(λ01).[LH]5(λ02)) as well as the normalized radiated intensity of the blackbody at 1600 K are displayed in Figure 4. From this figure, it is evident that both [LH]5(λ01) and [LH]5(λ02) configurations exhibited PBGs centered around λ01 = 2.34 μm and λ02 = 3.3 μm, respectively. As expected, the double-stack filter configuration exhibited a wider PBG region that extended over the two PBG ranges of the two individual filters.
Figure 4.
The normalized radiated intensity of the blackbody at 1600 K and the reflectance spectra at normal incidence of the filter configuration [LH]5 for two values of the central wavelength λ01 = 2.34 μm and λ02 = 3.3 μm.
Again, we needed to minimize the reflection oscillations in the pass band to ameliorate the efficiency of the double-stack filter; accordingly, we followed the strategy proposed in [4,7]. Thus, we considered several 1D-PC double-stack filters with various configurations and different anti-reflection coating (ARC) layers labeled as [ARC]1 [LH]N1(λ01)⋅[LH]N2(λ02) [ARC]2. Here [ARC]1 and [ARC]2 are anti-reflection coating layers at the beginning and end of the structure, respectively, and N1 and N2 are the numbers of periods in each stack within the structures. The normal-incidence reflectance spectra for these structures were calculated and are displayed in Figure 5. From this figure, it can be noted that wide PBGs with high reflectance levels were achieved for all configurations. The only thing that made a difference was the reflectance levels within the pass bands of the different structures. Among the proposed structures, we expect that the configuration [L/2][H][LH]4(λ01)⋅[LH]4(λ02) [L][H/2] is the most suitable to be used as spectral filter for TPV systems because it possessed the lowest reflectance level within the filter pass band.
Figure 5.
The normal-incidence reflectance spectra of double-stack filter with various configurations and different anti-reflection coating layers.
We continued our analysis by exploring the dependency of the reflectance spectra on the incidence angle. At oblique incidence, the spectroscopic behaviors of the filter depend on the polarization state of the incident light. So, both transverse electric (TE) and transverse magnetic (TM) polarizations were examined. Reflectance spectra for various incidence angles for a double-stack filter configuration [L/2][H][LH]4(λ01)⋅[LH]4(λ02) [L][H/2] are displayed in Figure 6 for both TE and TM modes. This figure shows that TE and TM modes manifested an identical stop band for normally incident waves. However, for waves with oblique incidence angles, the optical response of the structure was significantly affected. This behavior is due to the fact that the interference condition related to the periodic refractive-index profile, which changed with the incidence angle. Moreover, for TM and TE waves the upper edge of the PBG shifted towards shorter wavelengths. According to Figure 6, we can also note that for TM mode the stop band narrowed when the incidence angle increased, and the upper edge shifted downward to the lower wavelengths more quickly than for TE mode. Another interesting point is that in the case of TM mode the reflectance level inside the PBG decreased when increasing the incidence angle, while it remained high in the case of TE mode. These behaviors could be explained by the fact that in case of TM waves, the surface current was proportional to the z component of the wave-vector (kz), so the gap narrowed and began to disappear. However, in the case of TE waves, the surface current was inversely proportional to kz, so, the gap broadened with the increase of θ, and the stop band persisted even for grazing incidences. In addition, the TM stop band began to disappear at an incidence angle of approximately 80°, while in the case of TE polarization, the stop band persisted even for incidence angles greater than 80°. Broadly, the reflectance behaviors in Figure 6, calculated for oblique incidences, show that the designed TiO2/GO-based 1D-PC preserved reasonable levels of spectroscopic features even at an incidence angle of approximately 80°, maintaining both the critical stop-band and pass-band characteristics.
Figure 6.
Reflectance spectra of double-stack filter configuration [L/2][H][LH]4(λ01)·[LH]4(λ02) [L][H/2] at various incidence angles for (a) TM mode and (b) TE polarizations.
To estimate the ability of the different 1D-PC designs (detailed above) to ameliorate the performances of the TPV devices, the power density and efficiency versus the emitter temperature were computed for each of these configurations and the results are displayed in Figure 7. This figure reveals that the TPV device integrating single-stack filter configuration ([L/2][H][LH]4(λ01)) exhibited somewhat higher power density in contrast to those with double-stack configurations. This was predictable since this structure had the lowest reflectance levels within the transmission band.
Figure 7.
Calculated power density (a) and system efficiency (b) of GaSb TPV device vs. the source temperature for various filter configurations.
In fact, according to Equation (2), we can deduce that at specific temperatures a higher in-band transmittance (lower in-band reflectance) was associated with a higher power density. Thus, as the single-stack filter possessed a lower in-band reflectance than the double-stack configurations, the power density was higher in the single-stack structure. Nevertheless, the single-stack structure suffered from weak efficiency because of its tight stop band, and we see from Figure 7b that the double-stack structures exhibited higher efficiencies. Among the considered double-stack structures, the one with the configuration [L/2][H][LH]4(λ01)⋅[LH]4(λ02) [L][H/2] exhibited higher power density and efficiency.
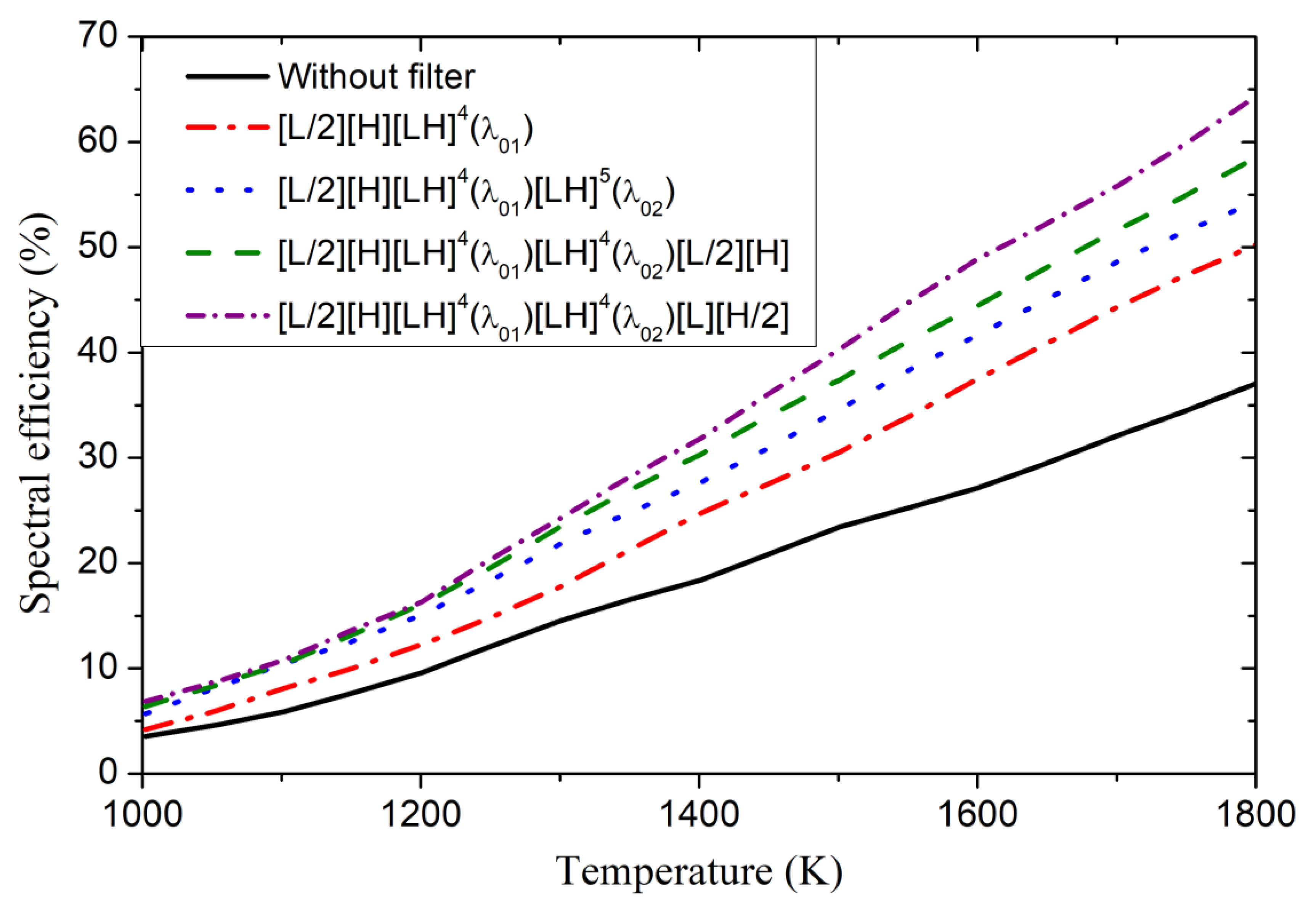
Spectral efficiency is another index ordinarily employed to measure the performances of TPV devices integrating 1D-PC filtering structures. Subsequently, the spectral efficiencies (ηspec) of our 1D-PC designs with single and double-stack configurations were calculated, and we present the results in Figure 8. The simulated spectral efficiencies versus source temperature suggest that the double-stack configuration [L/2][H][LH]4(λ01)⋅[LH]4(λ02) [L][H/2] exhibited the best spectral efficiency compared to other configurations. So, it manifested a better trade-off among efficiency, power density, and spectral efficiency.
Figure 8.
Spectral efficiencies of various 1D-PC filter configurations for GaSb diode with λg = 1.78 μm.
4. Conclusions
Using the TMM method, we investigated the spectroscopic properties of TiO2/GO-based 1D-PC structures as spectrally selective filters for TPV applications. The 1D-PC filters presented here were designed and optimized to selectively reflect and transmit the out-of-band and in-band light fractions. We found that the stacking of two 1D-PC filters with suitable periods could simultaneously lead to a wide omnidirectional stop band with a broad pass band and weak absorption losses. Consequently, our proposed structure met the main requirements to ensure high efficiency and high power density in the case of TPV systems. The optimal design displayed in our analysis consists of a double-stack 1D-PC structure, denoted as [L/2][H][LH]4(λ01)⋅[LH]4(λ02) [L][H/2]. The performance improvements accomplished by employing the designed filters in a perfect TPV device, including a GaAs PV diode and source in a parallel configuration, were specified. We demonstrated that, when integrated in a perfect TPV device at a source temperature of ~1800 K, our optimized double-stack configuration augmented the spectral efficiency from 32% to 64%. Moreover, compared to the situation without a filter, the power density of the TPV device was reduced from 10 to 8.2 W/cm2, while the system efficiency was raised from 21% to 39%.
Author Contributions
Conceptualization, W.B., A.T., H.D. and F.A.A.; methodology, W.B. and A.T.; software, W.B. and H.D.; validation, W.B., A.T., H.D. and F.A.A.; formal analysis, W.B., A.T., H.D. and F.A.A.; investigation, W.B., A.T., H.D. and F.A.A.; resources, W.B.; data curation, W.B. and A.T.; writing—original draft preparation, W.B.; writing—review and editing, W.B., A.T., H.D. and F.A.A.; visualization, W.B., A.T., H.D. and F.A.A.; supervision, W.B.; project administration, W.B.; funding acquisition, W.B. All authors have read and agreed to the published version of the manuscript.
Funding
This research was funded by the Deanship of Scientific Research at Umm Al-Qura University, Makkah, Saudi Arabia, grant code: 19-SCI-1-01-0017.
Institutional Review Board Statement
Not applicable.
Informed Consent Statement
Not applicable.
Data Availability Statement
Data are contained within the article.
Acknowledgments
The authors would like to thank the Deanship of Scientific Research at Umm Al-Qura University, Makkah, Saudi Arabia for supporting this work by Grant Code: 19-SCI-1-01-0017.
Conflicts of Interest
The authors declare no conflict of interest.
References
- Coutts, T.J. An overview of thermophotovoltaic generation of electricity. Sol. Energy Mater. Sol. Cells 2001, 66, 443–452. [Google Scholar] [CrossRef] [Green Version]
- Fraas, L.M.; Avery, J.E.; Huang, H.X.; Martinelli, R.U. Thermophotovoltaic system configurations and spectral control. Semicond. Sci. Technol. 2003, 18, S165–S173. [Google Scholar] [CrossRef]
- Burger, T.; Sempere, C.; Roy-Layinde, B.; Lenert, A. Present Efficiencies and Future Opportunities in Thermophotovoltaics. Joule 2020, 4, 1660–1680. [Google Scholar] [CrossRef]
- Rostami, M.; Pirvaram, A.; Talebzadeh, N.; O’Brien, P.G. Numerical evaluation of one-dimensional transparent photonic crystal heat mirror coatings for parabolic dish concentrator receivers. Renew. Energy 2021, 171, 1202–1212. [Google Scholar] [CrossRef]
- Kazim, A.H.; Salman, A.; Khan, A.B.; Shaukat, U.; Shabbir, A. Optimization of Thermophotovoltaic Power System with a Spectrally Controlled Multi-Concentric Emitter. J. Energy Resour. Technol. 2022, 144, 1–41. [Google Scholar] [CrossRef]
- Zenker, M.; Heinzel, A.; Stollwerck, G.; Ferber, J.; Luther, J. Efficiency and power density potential of combustion-driven ther-mophotovoltaic systems using GaSb photovoltaic cells. IEEE Trans. Electron. Devices 2001, 48, 367–376. [Google Scholar] [CrossRef]
- O’Sullivan, F.; Celanović, I.; Jovanović, N.; Kassakian, J.; Akiyama, S.; Wada, K. Optical characteristics of one-dimensional Si/SiO2 photonic crystals for thermophotovoltaic applications. J. Appl. Phys. 2005, 97, 033529. [Google Scholar] [CrossRef]
- Ilyas, S.; Böcking, T.; Kilian, K.; Reece, P.J.; Gooding, J.; Gaus, K.; Gal, M. Porous silicon based narrow line-width rugate filters. Opt. Mater. 2007, 29, 619–622. [Google Scholar] [CrossRef]
- Ortabasi, U.; Bovard, B. Rugate technology for thermophotovoltaic applications: A new approach to near perfect filter performance. AIP Conf. Proc. 2003, 653, 249–258. [Google Scholar]
- Ehsani, H.; Bhat, I.; Borrego, J.; Gutmann, R.; Brown, E.; Dziendziel, R.; Freeman, M.; Choudhury, N. Optical properties of de-generately doped silicon films for applications in thermophotovoltaic systems. J. Appl. Phys. 1997, 81, 432–439. [Google Scholar] [CrossRef]
- Rahmlow, T.; Lazo-Wassem, J.; Gratrix, E.; Fourspring, P.; DePoy, D.; Azarkevich, J. Engineering Spectral Control Using Front Surface Filters for Maximum TPV Energy Conversion System Performance. In Proceedings of the 2nd International Energy Conversion Engineering Conference, American Institute of Aeronautics and Astronautics (AIAA), Providence, RI, USA, 16 August 2004; p. 5678. [Google Scholar]
- Isabella, O.; Dobrovolskiy, S.; Kroon, G.; Zeman, M. Design and application of dielectric distributed Bragg back reflector in thin-film silicon solar cells. J. Non-Cryst. Solids 2012, 358, 2295–2298. [Google Scholar] [CrossRef]
- Meade, R.D.V.E.; Johnson, S.G.; Winn, J.M. The Multilayer Film: A One-Dimensional Photonic Crystal. Gruyter 2008, 44–65. [Google Scholar]
- Rostami, M.; Talebzadeh, N.; O’Brien, P.G. Transparent photonic crystal heat mirrors for solar thermal applications. Energies 2020, 13, 1464. [Google Scholar] [CrossRef] [Green Version]
- Mao, L.; Ye, H. New development of one-dimensional Si/SiO2 photonic crystals filter for thermophotovoltaic applications. Renew. Energy 2010, 35, 249–256. [Google Scholar] [CrossRef]
- Babiker, S.G.; Shuai, Y.; Sid-Ahmed, M.O.; Xie, M.; Sid-Ahmed, M.O. Design of a one Dimensional Si/SiO2 photonic crystals filter for thermophotovoltaic application. INMIC 2013, 177–181. [Google Scholar] [CrossRef]
- Mbakop, F.K.; Djongyang, N.; Raïdandi, D. One–dimensional TiO2/SiO2 photonic crystal filter for thermophotovoltaic applications. J. Eur. Opt. Soc. Rapid Publ. 2016, 12, 23. [Google Scholar] [CrossRef] [Green Version]
- Mbakop, F.K.; Djongyang, N.; Ejuh, G.W.; Raïdandi, D.; Woafo, P. Transmission of light through an optical filter of a one-dimensional photonic crystal: Application to the solar thermophotovoltaic system. Phys. B Condens. Matter 2017, 516, 92–99. [Google Scholar] [CrossRef]
- Zhang, C.; Tang, L.; Liu, Y.; Liu, Z.; Liu, W.; Qiu, K. A novel thermophotovoltaic optical cavity for improved irradiance uniformity and system performance. Energy 2020, 195, 116962. [Google Scholar] [CrossRef]
- Mbakop, F.K.; Tom, A.; Dadj’e, A.; Vidal, A.K.; Djongyang, N. One-dimensional comparison of TiO2/SiO2 and Si/SiO2 photonic crystals filters for thermophotovoltaic applications in visible and infrared. Chin. J. Phys. 2020, 67, 124–134. [Google Scholar] [CrossRef]
- Gupta, M.V.N.S.; Ameen, E.; Unnikrishnakurup, S.; Balasubramaniam, K.; Veeraragavan, A.; Pesala, B. Spectral filtering of sub-bandgap radiation using all-dielectric gratings for thermophotovoltaic applications. J. Photon. Energy 2021, 11, 015501. [Google Scholar] [CrossRef]
- Pirvaram, A.; Talebzadeh, N.; Rostami, M.; Leung, S.N.; O’Brien, P.G. Evaluation of a ZrO2/ZrO2-aerogel one-dimensional photonic crystal as an optical filter for thermophotovoltaic applications. Therm. Sc. Eng. Prog. 2021, 25, 100968. [Google Scholar] [CrossRef]
- Serga, V.; Burve, R.; Krumina, A.; Romanova, M.; Kotomin, E.; Popov, A. Extraction–Pyrolytic Method for TiO2 Polymorphs Production. Crystals 2021, 11, 431. [Google Scholar] [CrossRef]
- Tsebriienko, T.; Popov, A.I. Effect of Poly(Titanium Oxide) on the Viscoelastic and Thermophysical Properties of Interpenetrating Polymer Networks. Crystals 2021, 11, 794. [Google Scholar] [CrossRef]
- Lin, Y.-P.; Isakoviča, I.; Gopejenko, A.; Ivanova, A.; Začinskis, A.; Eglitis, R.I.; D’yachkov, P.N.; Piskunov, S. Time-Dependent Density Functional Theory Calculations of N- and S-Doped TiO2 Nanotube for Water-Splitting Applications. Nanomaterials 2021, 11, 2900. [Google Scholar] [CrossRef] [PubMed]
- Belhadj, W.; Timoumi, A.; Alamer, F.A.; Alsalmi, O.H.; Alamri, S.N. Experimental study and theoretical modeling of coat-ing-speed-dependent optical properties of TiO2-graphene-oxide thin films. Results Phys. 2021, 30, 104867. [Google Scholar] [CrossRef]
- Timoumi, A.; Albetran, H.M.; Alamri, H.R.; Alamri, S.N.; Low, I.M. Impact of annealing temperature on structural, morpho-logical and optical properties of GO-TiO2 thin films prepared by spin coating technique. Superlattices Microstruct. 2020, 139, 106423. [Google Scholar] [CrossRef]
- Guo, M.; Su, H.; Zhang, J.; Liu, L.; Fu, N.; Yong, Z.; Huang, H.; Xie, K. Broadband and omnidirectional light harvesting enhancement in photovoltaic devices with aperiodic TiO2 nanotube photonic crystal. J. Power Sources 2017, 345, 12–20. [Google Scholar] [CrossRef]
- Zheng, X.; Li, D.; Li, X.; Chen, J.; Cao, C.; Fang, J.; Wang, J.; He, Y.; Zheng, Y. Construction of ZnO/TiO2 photonic crystal heterostructures for enhanced photocatalytic properties. Appl. Catal. B Environ. 2015, 408–415. [Google Scholar] [CrossRef]
- González-García, L.; Colodrero, S.; Míguez, H.; González-Elipe, A.R. Single-step fabrication process of 1-D photonic crystals coupled to nanocolumnar TiO2 layers to improve DSC efficiency. Opt. Express 2015, 23, A1642–A1650. [Google Scholar] [CrossRef] [PubMed] [Green Version]
- Deng, Y.; Ma, Z.; Ren, F.; Wang, G. Improved photoelectric performance of DSSCs based on TiO2 nanorod array/Ni-doped TiO2 compact layer composites film. J. Solid State Electrochem. 2019, 23, 3031–3041. [Google Scholar] [CrossRef]
- Wang, L.; Zhang, S.; Lutkenhaus, J.L.; Chu, L.; Tang, B.; Lia, S.; Ma, W. All nanoparticle-based P(MMA–AA)/TiO2 one-dimensional photonic crystal films with tunable structural colors. J. Mater. Chem. C 2017, 5, 8266–8272. [Google Scholar] [CrossRef]
- Narayana, M.V.; Jammalamadaka, S.N. Tuning Optical Properties of Graphene Oxide under Compressive Strain Using Wet Ball Milling Method. Graphene 2016, 05, 73–80. [Google Scholar] [CrossRef] [Green Version]
- Diamantopoulou, A.; Sakellis, E.; Gardelis, S.; Tsoutsou, D.; Glenis, S.; Boukos, N.; Dimoulas, A.; Likodimos, V. Advanced Photocatalysts Based on Reduced Nanographene Oxide-TiO2 Photonic Crystal Films. Materials 2019, 12, 2518. [Google Scholar] [CrossRef] [PubMed] [Green Version]
- Celanović, I.; Ilak, M.; Kassakian, J.; Perreault, D.; O’Sullivan, F. Design and optimization of one-dimensional photonic crystals for thermophotovoltaic applications. Opt. Lett. 2004, 29, 863–865. [Google Scholar] [CrossRef]
- Baldasaro, P.F.; Raynolds, J.E.; Charache, G.W.; Depoy, D.M.; Ballinger, C.T.; Donovan, T.; Borrego, J.M. Thermodynamic analysis of thermophotovoltaic efficiency and power density tradeoffs. J. Appl. Phys. 2001, 89, 3319–3327. [Google Scholar] [CrossRef] [Green Version]
- Yeng, Y.X.; Chan, W.R.; Rinnerbauer, V.; Joannopoulos, J.D.; Soljačić, M.; Celanovic, I. Performance analysis of experimentally viable photonic crystal enhanced thermophotovoltaic systems. Opt. Express 2013, 21, A1035–A1051. [Google Scholar] [CrossRef]
- Hoenders, B.J.; Bertolotti, M. Coherence theory of electromagnetic wave propagation through stratified N-layer media. J. Opt. Soc. Am. A 2005, 22, 1143–1150. [Google Scholar] [CrossRef] [Green Version]
- Zaghdoudi, J.; Maaloul, N.; Kanzari, M. Studies of Optical Properties of Symmetrical Quasi-Periodic Photonic Crystals. Opt. Photon. J. 2012, 02, 270–277. [Google Scholar] [CrossRef] [Green Version]
- Fink, Y.; Winn, J.N.; Fan, S.; Chen, C.; Michel, J.; Joannopoulos, J.D.; Thomas, E.L. A Dielectric Omnidirectional Reflector. Science 1998, 282, 1679–1682. [Google Scholar] [CrossRef] [PubMed] [Green Version]
- Liu, G.; Xuan, Y.; Han, Y.; Li, Q. Investigation of one-dimensional Si/SiO2 hotonic crystals for thermophotovoltaic filter. Sci. China Ser. E Technol. Sci. 2008, 51, 2031–2039. [Google Scholar] [CrossRef]
- Kumar, A.; Singh, P.; Pal, K.; Kumar, N.; Thapa, K.B. Broadband reflector of 1D photonic crystal containing TiO2/SiO2 material at visible region. In Proceedings of the AIP Conference, 3rd International Conference on Condensed Matter and Applied Physics (ICC-2019), Bikaner, India, 14 October 2019; Volume 2220, p. 020068. [Google Scholar]
- Ren, J.; Xuan, H.; Liu, C.; Yao, C.; Zhu, Y.; Liu, X.; Ge, L. Graphene oxide hydrogel improved sensitivity in one-dimensional photonic crystals for detection of beta-glucan. RSC Adv. 2015, 5, 77211–77216. [Google Scholar] [CrossRef]
Publisher’s Note: MDPI stays neutral with regard to jurisdictional claims in published maps and institutional affiliations. |
© 2022 by the authors. Licensee MDPI, Basel, Switzerland. This article is an open access article distributed under the terms and conditions of the Creative Commons Attribution (CC BY) license (https://creativecommons.org/licenses/by/4.0/).