Laser Protection Properties of Multi-Band Non-Regularized Highly Reflective Films
Abstract
:1. Introduction
2. Experimental Procedure
3. Results and Discussion
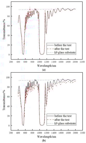
3.1. Optical Properties
3.2. Laser Protection Properties
3.3. Standing-Wave Electric Field
3.4. Laser Irradiation Damage Profile
3.4.1. Laser Irradiation Surface Damage Profile
3.4.2. Three-Dimensional Laser Irradiation Damage Profile
4. Conclusions
Author Contributions
Funding
Institutional Review Board Statement
Informed Consent Statement
Data Availability Statement
Conflicts of Interest
References
- Wamsley, C.E.; John, H.; Kenkel, J.M. The Role of the Laser Safety Officer and Laser Safety Programs in Clinical Practice. Aesthetic Surg. J. 2021, 41, 1550–1554. [Google Scholar] [CrossRef]
- Elbashar, Y.H.; Mohamed, M.A.; Rayan, D.; Badr, A.M.; Elshaikh, H.A. Optical spectroscopic analysis of bandpass filter used for laser protection based on cobalt phosphate glass. J. Opt. 2020, 49, 270–276. [Google Scholar] [CrossRef]
- Zhou, W.; Wu, X.; Ma, P.; Zhou, F.; Li, Z.; Niu, R.; Yang, J.; Wang, Y.; Zhang, X.; Song, Y.; et al. Enhanced ultrafast nonlinear absorption and optical limiting of indolium squaraine for laser protection. Opt. Mater. 2022, 126, 112178. [Google Scholar] [CrossRef]
- Tien, C.; Lin, H.; Cheng, K.; Chang, C. Design and Fabrication of Laser Protective Lenses Based on Multilayered Notch Filter with Low Residual Stress and Low Surface Roughness. Coatings 2021, 11, 1513. [Google Scholar] [CrossRef]
- Vasudevan, L.; Menchaca, D.I.; Tutt, J. Laser Safety Program Development at Texas A&M University—Issues and Challenges. Health Phys. 2015, 109, 205–211. [Google Scholar]
- Chen, Y.; Bai, T.; Dong, N.; Fan, F.; Zhang, S.; Zhuang, X.; Sun, J.; Zhang, B.; Zhang, X.; Wang, J.; et al. Graphene and its derivatives for laser protection. Prog. Mater. Sci. 2016, 84, 118–157. [Google Scholar] [CrossRef]
- Yang, Z.; Yang, Y.; Zhang, Y.; Guo, X.; Lu, K.; Zhang, J. High-Precision Surface Scattering Measurement System and Uncertainty Analysis Applied in Laser Protective Materials Diagnostics. Appl. Sci. 2021, 11, 9457. [Google Scholar] [CrossRef]
- Guo, S.; Yang, L.; Dai, B.; Geng, F.; Ralchenko, V.; Han, J.; Zhu, J. Past Achievements and Future Challenges in the Development of Infrared Antireflective and Protective Coatings. Phys. Status Solidi A 2020, 217, 2000149. [Google Scholar] [CrossRef]
- Zhao, D.; Xu, F.; Wang, G.; Zhang, S.; Qin, G.; Wang, B.; Han, J. SiO2/HfO2 Laser Film with Enhanced Protection and Antireflection for Sapphire Infrared Windows at High Temperatures. ACS Appl. Electron. Mater. 2021, 3, 4611–4617. [Google Scholar] [CrossRef]
- Li, C.; Song, S.; Gibson, D.; Child, D.; Chu, H.O.; Waddell, E. Modeling and validation of uniform large-area optical coating deposition on a rotating drum using microwave plasma reactive sputtering. Appl. Opt. 2017, 56, C65–C70. [Google Scholar] [CrossRef]
- Hang, L.; Liu, W.; Song, S.; Gibson, D.; Zhou, S.; Zhang, X.; Li, C.; Ahmadzadeh, S. Simulation analysis and preparation of a high optical density laser protection filter. Appl. Opt. 2020, 59, 3315–3323. [Google Scholar] [CrossRef] [PubMed]
- Yang, Z.; Yang, Q.; Yang, L.; Dai, B.; Xia, F.; Wang, P.; Guo, S.; Gao, G.; Xu, L.; Zhang, Y.; et al. Effect of thickness on infrared optical property of VO2 film deposited by magnetron sputtering. Sci. China Technol. Sci. 2020, 63, 1591–1598. [Google Scholar] [CrossRef]
- Sepúlveda, M.; Kamnev, K.; Pytlicek, Z.; Prasek, J.; Mozalev, A. Superhydrophobic−oleophobic visible−transparent antireflective nanostructured anodic HfO2 multifunctional coatings for potential solar panel applications. ACS Appl. Nano Mater. 2021, 4, 1754–1765. [Google Scholar] [CrossRef]
- Yin, C.; Zhu, M.; Zeng, T.; Song, C.; Chai, Y.; Shao, Y.; Zhang, R.; Zhao, J.; Li, D.; Shao, J. HfO2/SiO2 anti-reflection films for UV lasers via plasma-enhanced atomic layer deposition. J. Alloys Compd. 2021, 859, 157875. [Google Scholar] [CrossRef]
- Gu, J.; Wei, H.; Ren, F.; Fan, Q.; Xu, G.; Chen, X.; Song, S.; Dou, S.; Zhao, J.; Li, Y. Fabrication and performances of double-sided HfO2 anti-reflection films with ultra-high infrared transmittance. J. Alloys Compd. 2021, 858, 158337. [Google Scholar] [CrossRef]
- Zhang, D.; Fan, S.; Zhao, Y.; Gao, W.; Shao, J.; Fan, R.; Wang, Y.; Fan, Z. High laser-induced damage threshold HfO2 films prepared by ion-assisted electron beam evaporation. Appl. Surf. Sci. 2004, 243, 232–237. [Google Scholar] [CrossRef]
- Li, C.; Zhao, Y.; Cui, Y.; Wang, Y.; Peng, X.; Shan, C.; Zhu, M.; Wang, J.; Shao, J. Investigation on picosecond laser-induced damage in HfO2/SiO2 high-reflective coatings. Opt. Laser Technol. 2018, 106, 372–377. [Google Scholar] [CrossRef]
- Rao, K.N.; Murthy, M.A.; Mohan, S. Optical properties of electron-beam-evaporated TiO2 films. Thin Solid Films 1989, 176, 181–186. [Google Scholar] [CrossRef]
- Yao, J.; Fan, Z.; Jin, Y.; Zhao, Y.; He, H.; Shao, J. Investigation of damage threshold to TiO2 coatings at different laser wavelength and pulse duration. Thin Solid Films 2008, 516, 1237–1241. [Google Scholar] [CrossRef]
- Wolf, M.J.; Roitsch, S.; Mayer, J.; Nijmeijer, A.; Bouwmeester, H.J.M. Fabrication of ultrathin films of Ta2O5 by a sol–gel method. Thin Solid Films 2013, 527, 354–357. [Google Scholar] [CrossRef]
- ISO 11254-1:2000; Lasers and Laser-Related Equipment-Determination of Laser-Induced Damage Threshold of Optical Surfaces-Part1: 1-on-1 Test. International Organization for Standardization: Geneva, Switzerland, 2000.
- Porteus, J.O.; Seitel, S.C. Absolute onset of optical surface damage using distributed defect ensembles. Appl. Opt. 1984, 23, 3796. [Google Scholar] [CrossRef] [PubMed]
- Batavičiutė, G.; Grigas, P.; Smalakys, L.; Melninkaitis, A. Revision of laser-induced damage threshold evaluation from damage probability data. Rev. Sci. Instrum. 2013, 84, 045108. [Google Scholar] [CrossRef] [PubMed]
- Xu, J.; Chen, J.; Chen, P.; Wang, Y.; Zhang, Y.; Kong, F.; Cao, H.; Jin, Y.; Shao, J. Continuous-wave laser damage mechanism of a spectral combining grating. Appl. Opt. 2019, 58, 2551–2555. [Google Scholar] [CrossRef] [PubMed]
- Wang, J.; Feng, C.; Zhang, W.; Xu, Z.; Liu, X.; Yi, K.; Shao, J. Hydrophobic antireflective coating with high laser damage threshold by physical vapor deposition. Mod. Phys. Lett. B 2021, 32, 2150209. [Google Scholar] [CrossRef]
- Wu, B.; Bartch, U.; Jupé, M.; Jensen, L.; Lappschies, M.; Starke, K.; Ristau, D. Morphology investigations of laser induced damage. In Proceedings of the Boulder Damage Symposium XXXVIII: Annual Symposium on Optical Materials for High Power Lasers, Boulder, CO, USA, 25–27 September 2006; Volume 6403, pp. 407–416. [Google Scholar]












| Film Materials | Baking Temperature/°C | Film-Forming Holding Vacuum/Pa | Rate of Evaporation/A/s |
|---|---|---|---|
| TiO2/SiO2 | 200 | 2.0 × 10−2 | 3.0 |
| HfO2/SiO2 | 200 | 2.0 × 10−2 | 3.0 |
| Ta2O5/SiO2 | 200 | 2.0 × 10−2 | 3.0 |
| Sample Serial Number | High-Refractive-Index Materials | LIDT (1064 nm, 10 ns)/J/cm2 | LIDT (532 nm, 10 ns)/J/cm2 |
|---|---|---|---|
| 1 | TiO2/SiO2 | 5.99 | 3.04 |
| 2 | HfO2/SiO2 | 5.89 | 1.48 |
| 3 | Ta2O5/SiO2 | 9.99 | 4.93 |
Publisher’s Note: MDPI stays neutral with regard to jurisdictional claims in published maps and institutional affiliations. |
© 2022 by the authors. Licensee MDPI, Basel, Switzerland. This article is an open access article distributed under the terms and conditions of the Creative Commons Attribution (CC BY) license (https://creativecommons.org/licenses/by/4.0/).
Share and Cite
Deng, X.; Su, J. Laser Protection Properties of Multi-Band Non-Regularized Highly Reflective Films. Coatings 2022, 12, 1614. https://doi.org/10.3390/coatings12111614
Deng X, Su J. Laser Protection Properties of Multi-Band Non-Regularized Highly Reflective Films. Coatings. 2022; 12(11):1614. https://doi.org/10.3390/coatings12111614
Chicago/Turabian StyleDeng, Xiaohong, and Junhong Su. 2022. "Laser Protection Properties of Multi-Band Non-Regularized Highly Reflective Films" Coatings 12, no. 11: 1614. https://doi.org/10.3390/coatings12111614
APA StyleDeng, X., & Su, J. (2022). Laser Protection Properties of Multi-Band Non-Regularized Highly Reflective Films. Coatings, 12(11), 1614. https://doi.org/10.3390/coatings12111614
