The Influence of Sodium Tungstate Concentration on the Electrode Reactions at Iron–Tungsten Alloy Electrodeposition
Abstract
:1. Introduction
2. Materials and Methods
2.1. Materials
2.2. Electrodeposition and Electrochemical Measurements
2.3. Calculation of Species Distribution
3. Results and Discussions
3.1. Chemical Equilibrium in the Bath
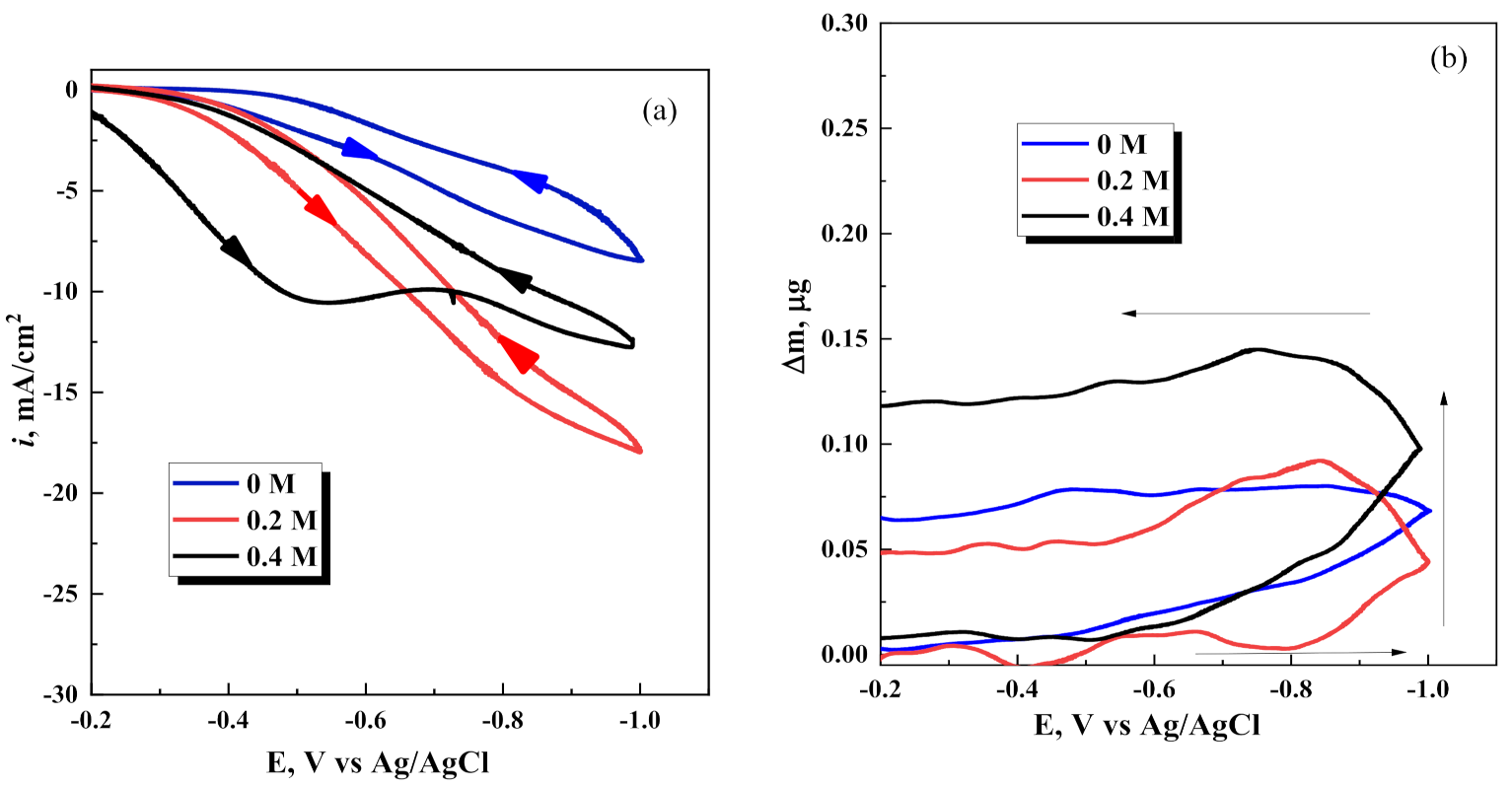
3.2. Electrode Processes on Pt-Electrode Below Potentials of Metallic Phase Forming
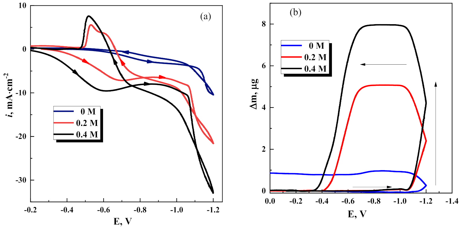
3.3. Fe-W Alloy Formation on Pt Electrode
3.4. Interdependences at Induced Codeposition and Applicability of Fe-W Alloys
- By applying −1.05 V and a low concentration of Na2WO4 in the bath will result in a high deposition rate, but lower tungsten content, which is suitable for magnetic applications.
- By applying −1.05 V coupled with a high concentration of Na2WO4 will result in a relatively high deposition rate, increased tungsten content in the alloy and a relatively low rate of side reactions. Consequently, fewer defects in the coating due to hydrogen evolution or incorporation of organic compounds will be introduced, which is suitable for protective coatings (wear and corrosion resistant) application.
- Fe-W alloys obtained at −1.1 V and a high concentration of Na2WO4 in the bath will contain a high amount of W, and therefore are promising candidates to act as cathodes for hydrogen evolution reaction [11].
4. Conclusions
- The effect of sodium tungstate concentration ranged from 0.1 M to 0.5 M on the electrode reactions at Fe-W alloy electrodeposition onto Pt. Analysis of the calculated distribution of species formed by dissolving of FeSO4, Na2WO4, citric acid and sodium tri-citrate shows that at least 29 particles are formed involving Fe(II) and Fe(III) complexes with hydroxo- and citrate- groups in mixed WO4-citrate complexes. Therefore, the Nernst potentials of Fe and W are shifted essentially from standard values, and the formation of alloys becomes thermodynamically possible at potentials less than −0.87 V to −0.82 V (vs. Ag/AgCl) dependently on the concentration of sodium tungstate in the solution.
- The relatively high cathodic current is passed without sufficient mass gain on Pt electrode (~0.75 μg/cm2) up to cathodic potentials close to −1.0 V. Such small mass gains (~2 × 10−9 mol/cm2) might be attributed to the formation of adsorbed intermediates comprising tungsten species of various oxidation states. In addition, there were at least three charge-transfer reactions, which can occur on the electrode without mass gain. These reactions and adsorption of intermediates result in an unpredictable and abnormal dependence of current density on the rotation rate of RDE at potentials below thermodynamic availability of the electrodeposition of metallic Fe and W.
- For the first time, the decrease in electrode mass during the cathodic current pass in the course of CV recording was detected by the electrochemical microbalance technique. It was explained by the appearance of a partial anodic dissolution current for Fe-W component of overall current in the potential range between OCP of Pt in the solution and potentials below thermodynamic stability of Fe-W in the studied solutions (i.e., less than −0.80 V). This anodic component of the total current is counterbalanced by occurring cathodic side reactions. The crossovers presenting on the cyclic voltammograms at potentials approx. −1.1 V indicates a slow three-dimensional Fe-W nucleation on Pt during electrodeposition at potentials less than the thermodynamic possibility of Fe-W formation.
- The electrode process involving Fe-W alloy formation may be described using formalities of mixed kinetics (activation control plus diffusion). As the overall electrode process consists of few charge-transfer reactions (reduction of Fe and W, side reactions such as hydrogen evolution, oxygen reduction), the current efficiency does not exceed 40% for Fe-W electrodeposition. Therefore, the determined values of kinetic current and diffusion current of electrode process by RDE are apparent. Both apparent kinetic and diffusion currents of the overall cathodic process linearly depend on the concentration of Na2WO4 in the potential range where the formation of Fe-W occurs. However, the partial currents for both W and Fe increased threefold with the twofold increase of sodium tungstate concentration. It is presumed that the codeposition of Fe-W alloy is occurring due to an autocatalytic reaction, likely via the formation of mixed adsorbed species containing Fe and W compounds or nucleation clusters containing both metals on the electrode surface.
Author Contributions
Funding
Institutional Review Board Statement
Informed Consent Statement
Data Availability Statement
Conflicts of Interest
References
- Eliaz, N.; Gileadi, E. Induced Codeposition of Alloys of Tungsten, Molybdenum and Rhenium with Transition Metals. In Modern Aspects of Electrochemistry; Vayenas, C.G., White, R.E., Gamboa-Aldeco, M.E., Eds.; Springer: New York, NY, USA, 2008; Volume 42, pp. 191–301. ISBN 978-0-387-49488-3. [Google Scholar]
- Tsyntsaru, N.; Cesiulis, H.; Donten, M.; Sort, J.; Pellicer, E.; Podlaha-Murphy, E.J. Modern Trends in Tungsten Alloys Electrodeposition with Iron Group Metals. Surf. Eng. Appl. Electrochem. 2012, 48, 491–520. [Google Scholar] [CrossRef]
- Podlaha, E.J.; Landolt, D. Induced Codeposition: II. A Mathematical Model Describing the Electrodeposition of Ni-Mo Alloys. J. Electrochem. Soc. 1996, 143, 893–899. [Google Scholar] [CrossRef]
- Spasojevic, M.; Markovic, D.; Spasojevic, M.; Vukovic, Z.; Maricic, A.; Ribic-Zelenovic, L. Effect of Deposition Current Density and Annealing Temperature on the Microstructure and Magnetic Properties of Nanostructured Ni-Fe-W-Cu Alloys. Sci. Sinter. 2019, 51, 209–221. [Google Scholar] [CrossRef] [Green Version]
- Ved, M.V.; Sakhnenko, N.D.; Karakurkchi, A.V.; Pershina, K.D.; Yermolenko, I.Y. Corrosion Properties of Galvanic Fe-Mo(W), Fe-Mo-W Coatings. Funct. Mater. 2019, 26, 534–540. [Google Scholar] [CrossRef]
- Cesiulis, H.; Tsytsaru, N.; Podlaha, E.J.; Li, D.; Sort, J. Electrodeposition of Iron-Group Alloys into Nanostructured Oxide Membranes: Synthetic Challenges and Properties. CNANO 2018, 15, 84–99. [Google Scholar] [CrossRef] [Green Version]
- Maliar, T.; Cesiulis, H.; Podlaha, E.J. Coupled Electrodeposition of Fe–Co–W Alloys: Thin Films and Nanowires. Front. Chem. 2019, 7, 542. [Google Scholar] [CrossRef] [Green Version]
- Nicolenco, A.; Tsyntsaru, N.; Matijošius, T.; Asadauskas, S.; Cesiulis, H. Wear Resistance of Electrodeposited Fe-W Alloy Coatings under Dry Conditions and in the Presence of Rapeseed Oil. Green Tribol. 2018, 1, 16–23. [Google Scholar] [CrossRef]
- Nicolenco, A.; Tsyntsaru, N.; Fornell, J.; Pellicer, E.; Reklaitis, J.; Baltrunas, D.; Cesiulis, H.; Sort, J. Mapping of Magnetic and Mechanical Properties of Fe-W Alloys Electrodeposited from Fe(III)-Based Glycolate-Citrate Bath. Mater. Des. 2018, 139, 429–438. [Google Scholar] [CrossRef]
- Barbano, E.P.; Carlos, I.A.; Vallés, E. Electrochemical Synthesis of Fe-W and Fe-W-P Magnetic Amorphous Films and Fe-W Nanowires. Surf. Coat. Technol. 2017, 324, 80–84. [Google Scholar] [CrossRef]
- Vernickaite, E.; Tsyntsaru, N.; Sobczak, K.; Cesiulis, H. Electrodeposited Tungsten-Rich Ni-W, Co-W and Fe-W Cathodes for Efficient Hydrogen Evolution in Alkaline Medium. Electrochim. Acta 2019, 318, 597–606. [Google Scholar] [CrossRef]
- Tharamani, C.N.; Beera, P.; Jayaram, V.; Begum, N.S.; Mayanna, S.M. Studies on Electrodeposition of Fe–W Alloys for Fuel Cell Applications. Appl. Surf. Sci. 2006, 253, 2031–2037. [Google Scholar] [CrossRef] [Green Version]
- Yar-Mukhamedova, G.; Ved, M.; Sakhnenko, N.; Karakurkchi, A.; Yermolenko, I. Iron Binary and Ternary Coatings with Molybdenum and Tungsten. Appl. Surf. Sci. 2016, 383, 346–352. [Google Scholar] [CrossRef] [Green Version]
- Gamburg, Y.D.; Zakharov, E.N. The Effect of Hydrogen on Amorphization of Iron-Tungsten Alloys Produced by Electrochemical Synthesis. Russ. J. Electrochem. 2008, 44, 736–739. [Google Scholar] [CrossRef]
- Wang, S.; Zeng, C.; Ling, Y.; Wang, J.; Xu, G. Phase Transformations and Electrochemical Characterizations of Electrodeposited Amorphous Fe–W Coatings. Surf. Coat. Technol. 2016, 286, 36–41. [Google Scholar] [CrossRef]
- Dresvyannikov, A.F.; Kolpakov, M.E.; Ermolayeva, E.A. Synthesis and Properties of Dispersed Systems Based on Elemental Iron and Tungsten Obtained through Precipitation on Aluminum in the Presence of Citric Acid. Prot. Met. Phys. Chem. Surf. 2018, 54, 58–62. [Google Scholar] [CrossRef]
- Bodaghi, A.; Hosseini, J. Corrosion Resistance and Electrocatalytic Properties of Co–W Alloy Coatings. Surf. Eng. 2012, 28, 632–635. [Google Scholar] [CrossRef]
- Sriraman, K.R.; Ganesh Sundara Raman, S.; Seshadri, S.K. Corrosion Behaviour of Electrodeposited Nanocrystalline Ni–W and Ni–Fe–W Alloys. Mater. Sci. Eng. A 2007, 460–461, 39–45. [Google Scholar] [CrossRef]
- Younes-Metzler, O.; Zhu, L.; Gileadi, E. The Anomalous Codeposition of Tungsten in the Presence of Nickel. Electrochim. Acta 2003, 48, 2551–2562. [Google Scholar] [CrossRef]
- Nicolenco, A.; Tsyntsaru, N.; Cesiulis, H. Fe (III)-Based Ammonia-Free Bath for Electrodeposition of Fe-W Alloys. J. Electrochem. Soc. 2017, 164, D590–D596. [Google Scholar] [CrossRef] [Green Version]
- Cruywagen, J.J.; Krüger, L.; Rohwer, E.A. Complexation of Tungsten (VI) with Citrate. J. Chem. Soc. Dalton Trans. 1991, 1727–1731. [Google Scholar] [CrossRef]
- Chang, L.M.; Wang, Z.T.; Shi, S.Y.; Liu, W. Study on Microstructure and Properties of Electrodeposited Ni-W Alloy Coating with Glycolic Acid System. J. Alloys Compd. 2011, 509, 1501–1504. [Google Scholar] [CrossRef]
- Belevskii, S.S.; Yushchenko, S.P.; Dikusar, A.I. Anomalous Electrodeposition of Co-W Coatings from a Citrate Electrolyte Due to the Formation of Multinuclear Heterometallic Complexes in the Solution. Surf. Eng. Appl. Electrochem. 2012, 48, 97–98. [Google Scholar] [CrossRef]
- Yar-Mukhamedova, G.; Ved’, M.; Yermolenko, I.; Sakhnenko, N.; Karakurkchi, A.; Kemelzhanova, A. Effect of Electrodeposition Parameters on the Composition and Surface Topography of Nanostructured Coatings by Tungsten with Iron and Cobalt. Eurasian Chem. Technol. J. 2020, 22, 19. [Google Scholar] [CrossRef] [Green Version]
- Berkh, O.; Burstein, L.; Shacham-Diamand, Y.; Gileadi, E. The Chemical and Electrochemical Activity of Citrate on Pt Electrodes. J. Electrochem. Soc. 2011, 158, F85. [Google Scholar] [CrossRef]
- Belevskii, S.S.; Danilchuk, V.V.; Gotelyak, A.V.; Lelis, M.; Yushchenko, S.P.; Dikusar, A.I. Electrodeposition of Fe–W Alloys from Citrate Bath: Impact of Anode Material. Surf. Engin. Appl. Electrochem. 2020, 56, 1–12. [Google Scholar] [CrossRef]
- Morgan, B.; Lahav, O. The Effect of pH on the Kinetics of Spontaneous Fe(II) Oxidation by O2 in Aqueous Solution—Basic Principles and a Simple Heuristic Description. Chemosphere 2007, 68, 2080–2084. [Google Scholar] [CrossRef]
- Ghaferi, Z.; Sharafi, S.; Bahrololoom, M.E. Effect of Current Density and Bath Composition on Crystalline Structure and Magnetic Properties of Electrodeposited FeCoW Alloy. Appl. Surf. Sci. 2015, 355, 766–773. [Google Scholar] [CrossRef]
- Mulone, A.; Nicolenco, A.; Hoffmann, V.; Klement, U.; Tsyntsaru, N.; Cesiulis, H. In-Depth Characterization of as-Deposited and Annealed Fe-W Coatings Electrodeposited from Glycolate-Citrate Plating Bath. Electrochim. Acta 2018, 261, 167–177. [Google Scholar] [CrossRef] [Green Version]
- Myrzak, V.; Gotelyak, A.V.; Dikusara, A.I. On the Size Effects of the Coatings Surfaces Properties Obtained at Electrodeposition of Alloys of Iron Group Metals With Tungsten. Electron. Process. Mater. 2020, 56, 1–11. [Google Scholar] [CrossRef]
- Belevskii, S.S.; Cesiulis, H.; Tsyntsaru, N.I.; Dikusar, A.I. The Role of Mass Transfer in the Formation of the Composition and Structure of CoW Coatings Electrodeposited from Citrate Solutions. Surf. Engin. Appl.Electrochem. 2010, 46, 570–578. [Google Scholar] [CrossRef]
- Beltowska-Lehman, E.; Indyka, P.; Bigos, A.; Szczerba, M.J.; Kot, M. Effect of Hydrodynamic Conditions of Electrodeposition Process on Microstructure and Functional Properties of Ni-W/ZrO2 Nanocomposites. J. Electroanal. Chem. 2016, 775, 27–36. [Google Scholar] [CrossRef]
- Kovalska, N.; Pfaffeneder-Kmen, M.; Tsyntsaru, N.; Mann, R.; Cesiulis, H.; Hansal, W.; Kautek, W. The Role of Glycine in the Iron-Phosphorous Alloy Electrodeposition. Electrochim. Acta 2019, 309, 450–459. [Google Scholar] [CrossRef] [Green Version]
- Sassi, W.; Dhouibi, L.; Berçot, P.; Rezrazi, M.; Triki, E. Study of the Electroplating Mechanism and Physicochemical Proprieties of Deposited Ni-W-Silicate Composite Alloy. Electrochim. Acta 2014, 117, 443–452. [Google Scholar] [CrossRef]
- Izaki, M. Electrodeposition of Iron and Iron Alloys. In Modern Electroplating; Schlesinger, M., Paunovic, M., Eds.; John Wiley & Sons, Inc.: Hoboken, NJ, USA, 2011; pp. 309–326. ISBN 978-0-470-60263-8. [Google Scholar]
- Adeli, B.; Hydarzadeh Sohi, M.; Mehrizi, S. Effects of Sodium Citrate and Current Density on Electroplated Nanocrystalline Cobalt-Iron Thin Films. Int. J. Mod. Phys. Conf. Ser. 2012, 5, 696–703. [Google Scholar] [CrossRef]
- Müller, T.; Grimwood, J.; Bachmaier, A.; Pippan, R. Electrodeposition of Fe-C Alloys from Citrate Baths: Structure, Mechanical Properties, and Thermal Stability. Metals 2018, 8, 363. [Google Scholar] [CrossRef] [Green Version]
- Belevskii, S.S.; Gotelyak, A.V.; Yushchenko, S.P.; Dikusar, A.I. Electrodeposition of Nanocrystalline Fe—W Coatings from a Citrate Bath. Surf. Engin. Appl. Electrochem. 2019, 55, 119–129. [Google Scholar] [CrossRef]
- Nicolenco, A.; Chen, Y.; Tsyntsaru, N.; Cesiulis, H.; Pellicer, E.; Sort, J. Mechanical, Magnetic and Magnetostrictive Properties of Porous Fe-Ga Films Prepared by Electrodeposition. Mater. Des. 2021, 208, 109915. [Google Scholar] [CrossRef]
- Juškėnas, R.; Valsiūnas, I.; Pakštas, V.; Selskis, A.; Jasulaitienė, V.; Karpavičienė, V.; Kapočius, V. XRD, XPS and AFM Studies of the Unknown Phase Formed on the Surface during Electrodeposition of Ni–W Alloy. Appl. Surf. Sci. 2006, 253, 1435–1442. [Google Scholar] [CrossRef]
- Horner, C. Solubility and Hydrolysis of FeWO4 and MnWO4 in the 25°–300 °C Range, and the Zonation of Wolframite. Chem. Geol. 1979, 27, 85–97. [Google Scholar] [CrossRef]
- Modestov, A.D.; Konev, D.V.; Antipov, A.E.; Petrov, M.M.; Pichugov, R.D.; Vorotyntsev, M.A. Bromate Electroreduction from Sulfuric Acid Solution at Rotating Disk Electrode: Experimental Study. Electrochim. Acta 2018, 259, 655–663. [Google Scholar] [CrossRef]
- Palomar-Pardavé, M.; Ramírez, M.T.; González, I.; Serruya, A.; Scharifker, B.R. Silver Electrocrystallization on Vitreous Carbon from Ammonium Hydroxide Solutions. J. Electrochem. Soc. 1996, 143, 1551–1558. [Google Scholar] [CrossRef]
- Zangari, G. Electrodeposition of Alloys and Compounds in the Era of Microelectronics and Energy Conversion Technology. Coatings 2015, 5, 195–218. [Google Scholar] [CrossRef]
- Donten, M.; Cesiulis, H.; Stojek, Z. Electrodeposition and Properties of Ni-W, Fe-W and Fe-Ni-W Amorphous Alloys. A Comparative Study. Electrochim. Acta 2000, 45, 3389–3396. [Google Scholar] [CrossRef]








| Species Containing Citrate: | Fe(III) Species: |
|---|---|
| HCit3−, H2Cit2−, H3Cit−, H4Cit | Fe3+, Fe(OH)2+, Fe(OH)2+, Fe(OH)3, FeCit−, FeHCit |
| Species Containing Tungstate: | Tungstate-Citrate Species: |
| WO42−, HWO4−, H2WO4 | (WO4)(HCit)H4−, (WO4)(HCit)H24−, (WO4)(HCit)H32−, (WO4)2(HCit)2H55−, (WO4)2(HCit)H43− |
| Fe(II) Species: | |
| Fe2+, Fe(OH)+, Fe(OH)2, Fe(OH)3−, Fe2+:SO42− (ionic pairs), FeCit2−, FeHCit−, FeHCitH, FeHCitH2+, Fe(HCit)24−, Fe(HCit)2H3− |
| Concentration of Na2WO4, M | Nernst Potentials of Systems vs. Ag/AgCl Electrode | ||
|---|---|---|---|
| - | −0.875 | - | 0.331 |
| 0.05 | −0.873 | −0.680 | 0.331 |
| 0.10 | −0.871 | −0.677 | 0.330 |
| 0.15 | −0.868 | −0.675 | 0.329 |
| 0.20 | −0.865 | −0.673 | 0.328 |
| 0.25 | −0.860 | −0.671 | 0.324 |
| 0.30 | −0.856 | −0.668 | 0.322 |
| 0.35 | −0.850 | −0.666 | 0.317 |
| 0.40 | −0.843 | −0.663 | 0.308 |
| 0.45 | −0.833 | −0.659 | 0.294 |
| 0.50 | −0.820 | −0.655 | 0.271 |
| −E, V | Concentration of Na2WO4 in the Solution, M | Concentration of W in the Alloy, at.% | Partial Current Density, mA/cm2 | ||
|---|---|---|---|---|---|
| W | Fe | Side Reaction | |||
| 1.05 | 0.2 | 15.9 | 0.33 | 1.75 | 8.17 |
| 0.4 | 26.0 | 1.47 | 5.02 | 9.66 | |
| 1.10 | 0.2 | 22.6 | 0.75 | 2.14 | 8.94 |
| 0.4 | 27.1 | 2.44 | 6.56 | 19.89 | |
Publisher’s Note: MDPI stays neutral with regard to jurisdictional claims in published maps and institutional affiliations. |
© 2021 by the authors. Licensee MDPI, Basel, Switzerland. This article is an open access article distributed under the terms and conditions of the Creative Commons Attribution (CC BY) license (https://creativecommons.org/licenses/by/4.0/).
Share and Cite
Belevskii, S.; Silkin, S.; Tsyntsaru, N.; Cesiulis, H.; Dikusar, A. The Influence of Sodium Tungstate Concentration on the Electrode Reactions at Iron–Tungsten Alloy Electrodeposition. Coatings 2021, 11, 981. https://doi.org/10.3390/coatings11080981
Belevskii S, Silkin S, Tsyntsaru N, Cesiulis H, Dikusar A. The Influence of Sodium Tungstate Concentration on the Electrode Reactions at Iron–Tungsten Alloy Electrodeposition. Coatings. 2021; 11(8):981. https://doi.org/10.3390/coatings11080981
Chicago/Turabian StyleBelevskii, Stanislav, Serghei Silkin, Natalia Tsyntsaru, Henrikas Cesiulis, and Alexandr Dikusar. 2021. "The Influence of Sodium Tungstate Concentration on the Electrode Reactions at Iron–Tungsten Alloy Electrodeposition" Coatings 11, no. 8: 981. https://doi.org/10.3390/coatings11080981
APA StyleBelevskii, S., Silkin, S., Tsyntsaru, N., Cesiulis, H., & Dikusar, A. (2021). The Influence of Sodium Tungstate Concentration on the Electrode Reactions at Iron–Tungsten Alloy Electrodeposition. Coatings, 11(8), 981. https://doi.org/10.3390/coatings11080981

