The Combined Influences of Hot Streak and Swirl on the Cooling Performances of C3X Guide Vane with or without TBCs
Abstract
1. Introduction
2. Numerical Methods
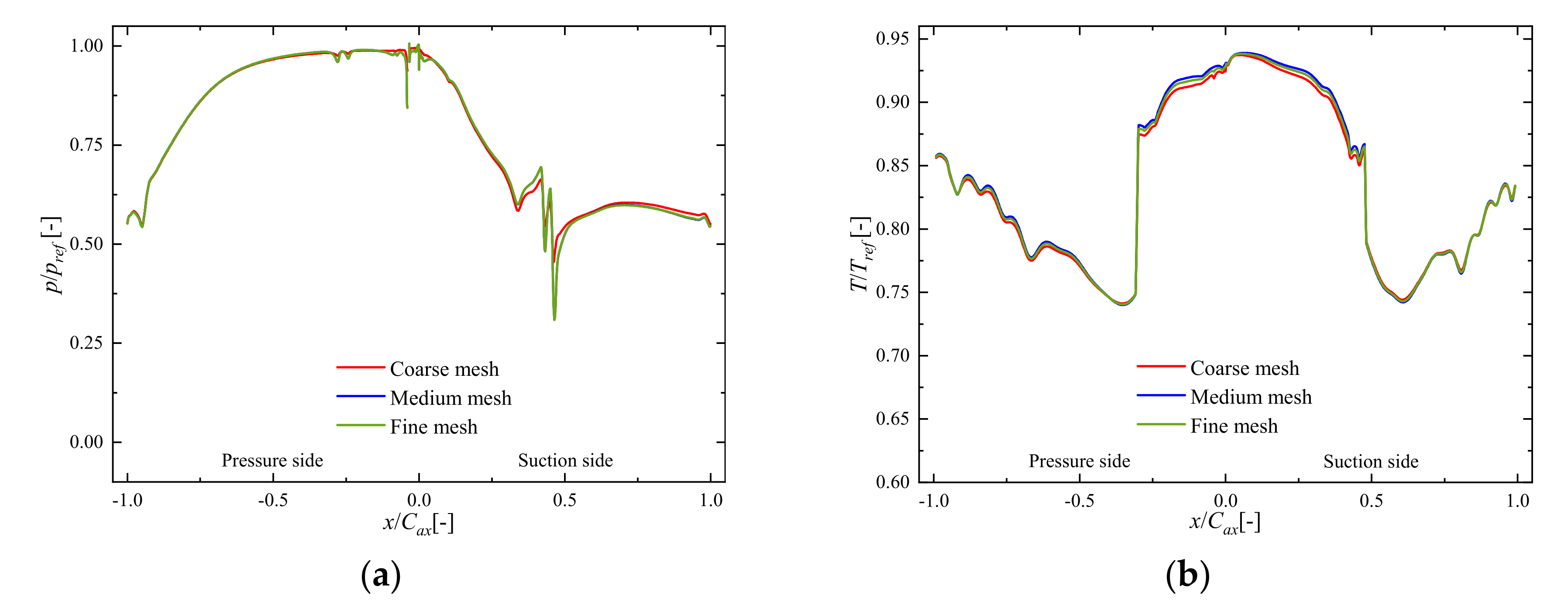
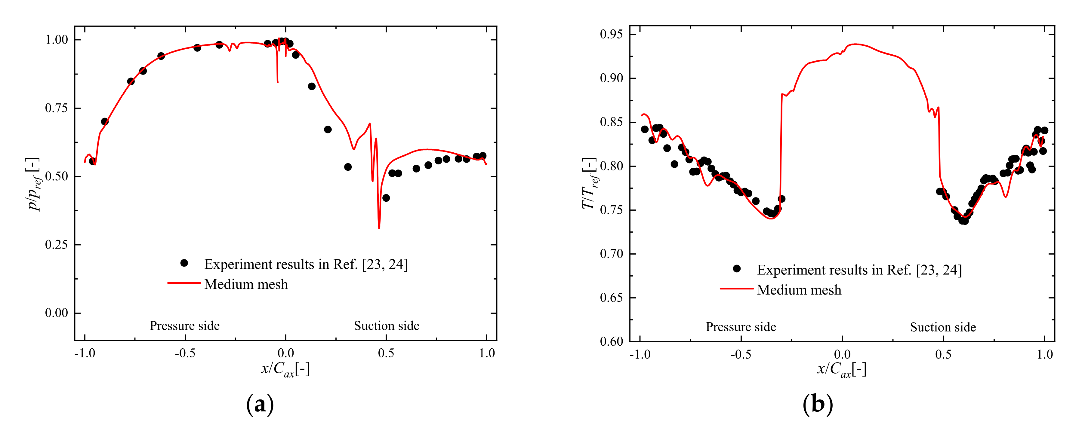
2.1. Mesh Generation and Calculation Techniques
2.2. Thermal Parameter Definition
2.3. Boundary Conditions
3. Discussion
3.1. Influence of Swirl on the Aerodynamics Characteristics
3.2. Influence of Hot Streak and Swirl on the Cooling Performance of the Uncoated Vane
3.3. Influence of Hot Streaks and Swirls on the Heat Transfer Characteristics
3.4. Influence of Hot Streak and Swirl on the Cooling Performance of the Coated Vane
4. Conclusions
- Even with uniform velocity inlet condition, the hot streak core can be stretched as it impinges on the leading edge which causes a higher heat load on the suction side of forward portion. The interactions between hot streaks and swirls significantly redistributes the hot streak core. On the passage inlet plane, positive swirl leads to a hotter tip region on the suction side. In the radial direction, a local maximum of 781.7 K locates near the 55% span. In comparison, negative swirl leads to a hotter hub region on the pressure side. In the radial direction, a local maximum of 782.1 K is located close to the 45% span.
- Under the influence of swirl, migration of coolant improves the coverage of film cooling close to the midspan, while close to the hub and tip region, the film cooling coverage decreases simultaneously. Positive swirl leads to a more negative impact on film cooling coverage on the tip region. In comparison, negative swirl leads to a more negative impact on the hub region. Comparing with that of the Case 4, the overall cooling effectiveness reduces from about 0.402 to 0.375 at the −75% Cax of the 25% span on the pressure side for the Case 3. On the suction side, the overall cooling effectiveness reduces from 0.414 to 0.388 at the 75% Cax of the 75% span. Thus, enhancing the cooling arrangement design is necessary in the hub and tip region.
- In the regions with enough internal cooling, adding coatings leads to larger cooling effectiveness increment for the coated vane. In addition, the local heat load decreases in the region under the coverage of film cooling which decreases the temperature gradient inside the coatings and thus decreases the cooling effectiveness increment in those regions for the coated vane. Comparing with that of the Case 4, the overall cooling effectiveness increment changes from about 0.058 to 0.064 at the −75% Cax of the 25% span for the Case 3. In comparison, the overall cooling effectiveness increment changes from 0.051 to 0.056 at the 75% Cax of the 75% span for the Case 3. Thus, improving internal cooling is a guaranteed way of improving the cooling performance for a coated vane.
- In most parts of the vane surface, TBCs block heat flux from the mainstream into the vane which improves the cooling performance of the coated vane. In the regions with negative local heat flux, TBCs blocks the heat flux transfer from the solid vane into the mainstream and thus play negative roles in improving cooling performance. The interaction between hot streak and swirl changes the hot streak core and film cooling coverage which significantly redistributes the heat load on the vane surface and thus the influence of TBCs on the cooling performance of the coated vane.
- Local minimum of cooling effectiveness increment can be observed in the regions with negative local heat flux for the coated vane, where adding coatings decreases the heat flux transfer from the substrate surface to the mainstream, and thus decreases the overall cooling performance in those regions for the coated vane. Thus, avoiding over-cooling in the regions downstream the film cooling holes and tailing edge of vane surface should be appropriately taken into consideration during the cooling arrangements design process for the coated vane.
Author Contributions
Funding
Institutional Review Board Statement
Informed Consent Statement
Data Availability Statement
Conflicts of Interest
Nomenclature
| x, y, z | Cartesian Coordinates [mm] |
| Cax | axial chord [mm] |
| Cp,BC | specific heat capacity of bond coating [J/(kg·K)] |
| Cp,f | specific heat capacity of fluid [J/(kg·K)] |
| Cp,SUB | specific heat capacity of substrate [J/(kg·K)] |
| Cp,TC | specific heat capacity of top coating [J/(kg·K)] |
| Cp,TGO | specific heat capacity of thermally grown oxide [J/(kg·K)] |
| p | Pressure [Pa] |
| pref | reference pressure [285.13 × 103 Pa] |
| q | local heat flux at the interface of solid and fluid for the uncoated vane |
| q’ | local heat flux at the interface of solid and fluid for the coated vane |
| T | metal surface temperature without TBC [K] |
| Tc | inlet temperature of cooling air [K] |
| Tref | reference temperature [701 K] |
| TTBC | metal surface temperature with TBC [K] |
| Tw | vane local wall temperature [K] |
| T∞ | inlet temperature of mainstream [K] |
| T′ | surface temperature outside the coating [K] |
| ΔTTBC | relative reduction of the substrate temperature due to coating |
| ρSUB | density of substrate [kg/m3] |
| ρTC | density of top coating [kg/m3] |
| ρTGO | density of thermally grown oxide [kg/m3] |
| ρBC | density of bond coating [kg/m3] |
| φTBC | overall cooling effectiveness of the coated vane |
| Δφ | overall cooling effectiveness increment due to coating |
| ΔTcomb | the temperature rise across the combustion chamber |
| uax | inlet axial |
| urad | radial velocity |
| utan | Combustion chamber |
| Greek letters | |
| α | swirl angle |
| φ | overall cooling effectiveness of the uncoated vane |
| δq | delta heat flux |
| θ | temperature ratio |
| Abbreviations | |
| NGV | nozzle guide vane |
| TBC | thermal barrier coating |
| HS | hot streak |
| CHT | conjugate heat transfer |
| LE | leading edge |
| PS | pressure side |
| SS | suction side |
| PSW | positive swirl |
| NSW | negative swirl |
| Subscripts | |
| w | wall |
| c | cooling air |
| ref | reference |
| ∞ | mainstream |
References
- Je-Chin, H.; Michael, H. Recent studies in turbine blade internal cooling. Heat Transf. Res. 2010, 41, 803–828. [Google Scholar]
- Zhang, J.Z.; Zhu, X.D.; Huang, Y.; Wang, C.H. Investigation on film cooling performance from a row of round-to-slot holes on flat plate. Int. J. Therm. Sci. 2017, 118, 207–225. [Google Scholar] [CrossRef]
- Padture, N.P.; Gell, M.; Jordan, E.H. Thermal barrier coatings for gas-turbine engine applications. Science 2002, 296, 280–284. [Google Scholar] [CrossRef] [PubMed]
- Feuerstein, A.; Knapp, J.; Taylor, T.; Ashary, A.; Bolcavage, A.; Hitchman, N. Technical and economical aspects of current thermal barrier coating systems for gas turbine engines by thermal spray and EBPVD: A review. J. Therm. Spray Technol. 2008, 17, 199–213. [Google Scholar] [CrossRef]
- Liu, J.H.; Liu, Y.B.; He, X.; Liu, L. Study on TBCs insulation characteristics of a turbine blade under serving conditions. Case Stud. Therm. Eng. 2016, 8, 250–259. [Google Scholar] [CrossRef]
- Prasert, P.; Soemsak, Y.; Suwin, S.; Daniele, D.; Huazhao, X.; Jianhua, W. Investigation of cooling performances of a non-film-cooled turbine vane coated with a thermal barrier coating using conjugate heat transfer. Energies 2018, 11, 1000. [Google Scholar]
- Shi, L.; Sun, Z.Y.; Lu, Y.F. The combined influences of film cooling and thermal barrier coatings on the cooling performances of a film and internal cooled vane. Coatings 2020, 10, 861. [Google Scholar] [CrossRef]
- Li, Y.; Su, X.; Yuan, X. The effect of mismatching between combustor and HP vanes on the aerodynamics and heat load in a 1-1/2 stages turbine. Aerosp. Sci. Technol. 2019, 86, 78–92. [Google Scholar] [CrossRef]
- Wang, Z.; Wang, D.; Wang, Z.; Feng, Z. Heat transfer analyses of film-cooled HP turbine vane considering effects of swirl and hot streak. Appl. Therm. Eng. 2018, 142, 815–829. [Google Scholar] [CrossRef]
- Zhang, K.; Li, Z.; Li, J. Effect of swirl on the vane endwall aerothermal performance with endwall misalignment at transonic condition. Int. J. Heat Mass Transf. 2019, 144, 118662. [Google Scholar] [CrossRef]
- Povey, T.; Chana, K.S.; Jones, T.V.; Hurrion, J. The effect of hot-streaks on HP vane surface and endwall heat transfer: An experimental and numerical study. J. Turbomach. 2007, 29, 32–43. [Google Scholar] [CrossRef]
- Povey, T.; Qureshi, I. Developments in hot-streak simulators for turbine testing. J. Turbomach. 2009, 131, 83–97. [Google Scholar] [CrossRef]
- Stewart, W.R.; Bogard, D.G. Experimental thermal field measurements of film cooling above the suction surface of a turbine vane. J. Eng. Gas Turbines Power 2017, 137, 102604. [Google Scholar] [CrossRef]
- Simone, S.; Montomoli, F.; Martelli, F. Analysis on the effect of a non-uniform inlet profile on heat transfer and fluid flow in turbine stages. J. Turbomach. 2012, 134, 011012. [Google Scholar] [CrossRef]
- Feng, Z.; Liu, Z.; Shi, Y.; Wang, Z. Effects of hot streak and airfoil clocking on heat transfer and aerodynamic characteristics in gas turbine. J. Turbomach. 2016, 138, 021001–021010. [Google Scholar] [CrossRef]
- Qureshi, I.; Povey, T. A combustor-representative swirl simulator for a transonic turbine research facility. Proc. Inst. Mech. Eng. Part G J. Aerosp. Eng. 2011, 225, 737–748. [Google Scholar] [CrossRef]
- Jacobi, S.; Mazzoni, C.M.; Chana, K.; Rosic, B. Investigation of unsteady flow phenomena in first vane caused by combustor flow with swirl. J. Turbomach. 2016, 139, 041006. [Google Scholar] [CrossRef]
- Jacobi, S.; Rosic, B. Thermal investigation of integrated combustor vane concept under engine-realistic condition. J. Turbomach. 2017, 139, 021005. [Google Scholar] [CrossRef]
- Quresh, I.; Beretta, A.; Chana, K.; Povey, T. Effect of aggressive inlet swirl on heat transfer and aerodynamics in an unshrouded transonic HP turbine. J. Turbomach. 2012, 134, 61021–61023. [Google Scholar] [CrossRef]
- Qureshi, I.; Smith, A.D.; Povey, T. HP vane aerodynamics and heat transfer in the presence of aggressive inlet swirl. J. Turbomach. 2013, 135, 021040. [Google Scholar] [CrossRef]
- Werschnik, H.; Hilgert, J.; Wilhelm, M.; Bruschewski, M.; Schiffer, H.P. Influence of combustor swirl on endwall heat transfer and film cooling effectiveness at the large scale turbine rig. J. Turbomach. 2017, 139, 081007. [Google Scholar] [CrossRef]
- Schmid, G.; Krichbaum, A.; Werschnik, H.; Schiffer, H.P. The impact of realistic inlet swirl in a 1-1/2 stage axial turbine. In Proceedings of the ASME Turbo Expo 2014: Turbine Technical Conference and Exposition, Düsseldorf, Germany, 16–20 June 2014. [Google Scholar]
- Hylton, L.D.; Nirmalan, V.; Sultanian, B.K.; Kauffman, R.M. The effects of leading edge and downstream film cooling on turbine vane heat transfer. In NASA Technical Report; NASA: Washington, DC, USA, 1988. [Google Scholar]
- Hylton, L.D.; Mihelc, M.S.; Turner, E.R.; Nealy, D.A.; York, R.E. Analytical and experimental evaluation of the heat transfer distribution over the surfaces of turbine vanes. In NASA Technical Report; NASA Lewis Research Center: Cleveland, OH, USA, 1982. [Google Scholar]
- Ke, Z.; Wang, J. Conjugate heat transfer simulations of pulsed film cooling on an entire turbine vane. Appl. Therm. Eng. 2016, 109, 600–609. [Google Scholar] [CrossRef]
- Koupper, C. Unsteady Multi-Component Simulations Dedicated to the Impact of the Combustion Chamber on the Turbine of Aeronautical Gas Turbines. Ph.D. Thesis, Universite de Toulouse, Toulouse, France, 2015. [Google Scholar]
- Jiang, Y.; Zheng, Q.; Dong, P.; Yao, J.; Hai, Z.; Jie, G. Conjugate heat transfer analysis of leading edge and downstream mist–air film cooling on turbine vane. Int. J. Heat Mass Transf. 2015, 90, 613–626. [Google Scholar] [CrossRef]



















| Case No. | Definition of Cases | Vane Type | Temperature Distribution | Swirl Orientation |
|---|---|---|---|---|
| 1 | Uniform inlet condition for the uncoated vane | Uncoated vane | Uniform | No swirl |
| 2 | HS only inlet condition for the uncoated vane | Uncoated vane | Hotstreak | No swirl |
| 3 | HS and positive swirl inlet condition for the uncoated vane | Uncoated vane | Hotstreak | Positive swirl |
| 4 | HS and negative swirl inlet condition for the uncoated vane | Uncoated vane | Hotstreak | Negative swirl |
| 5 | Uniform inlet condition for the coated vane | Coated vane | Uniform | No swirl |
| 6 | HS only inlet condition for the coated vane | Coated vane | Hotstreak | No swirl |
| 7 | HS and positive swirl inlet condition for the coated vane | Coated vane | Hotstreak | Positive swirl |
| 8 | HS and negative swirl inlet condition for the coated vane | Coated vane | Hotstreak | Negative swirl |
| Gas | Boundary | Value |
|---|---|---|
| - | Total temperature (K) | 701 |
| Mainstream | Total pressure (kPa) | 285.13 |
| - | Outlet pressure (kPa) | 170.42 |
| - | Turbulence intensity (%) | 6.5 |
| - | Mass flow of LE coolant (kg/s) | 0.638 × 10−2 |
| - | Temperature of LE coolant (K) | 602.86 |
| - | Mass flow of PS coolant (kg/s) | 0.752 × 10−2 |
| Coolant | Temperature of PS coolant (K) | 581.83 |
| - | Mass flow of SS coolant (kg/s) | 0.134 × 10−1 |
| - | Temperature of SS coolant (K) | 595.85 |
| - | Turbulence intensity (%) | 5 |
| Material | Temperature (K) | Density (kg/m3) | Specific Heat (J/kg·K) | Thermal Conductivity (W/m·K) |
|---|---|---|---|---|
| Gas | 298–1273 | Ideal gas | Cp = 938 + 0.196T | kf = 0.0102 + 5.8 × 10−5T |
| TC | 5650 | 483 | 1.05 | |
| TGO | 3978 | 857 | 25.2 | |
| BC | 7320 | 501–764 | 4.3–16.1 | |
| Subtract | 8030 | 502 | k(T) = 0.0115T + 9.9105 |
Publisher’s Note: MDPI stays neutral with regard to jurisdictional claims in published maps and institutional affiliations. |
© 2021 by the authors. Licensee MDPI, Basel, Switzerland. This article is an open access article distributed under the terms and conditions of the Creative Commons Attribution (CC BY) license (https://creativecommons.org/licenses/by/4.0/).
Share and Cite
Shi, L.; Huang, H.; Lu, Y.; Xu, S.; Ge, C. The Combined Influences of Hot Streak and Swirl on the Cooling Performances of C3X Guide Vane with or without TBCs. Coatings 2021, 11, 688. https://doi.org/10.3390/coatings11060688
Shi L, Huang H, Lu Y, Xu S, Ge C. The Combined Influences of Hot Streak and Swirl on the Cooling Performances of C3X Guide Vane with or without TBCs. Coatings. 2021; 11(6):688. https://doi.org/10.3390/coatings11060688
Chicago/Turabian StyleShi, Li, Hanze Huang, Yuanfeng Lu, Shunsheng Xu, and Chen Ge. 2021. "The Combined Influences of Hot Streak and Swirl on the Cooling Performances of C3X Guide Vane with or without TBCs" Coatings 11, no. 6: 688. https://doi.org/10.3390/coatings11060688
APA StyleShi, L., Huang, H., Lu, Y., Xu, S., & Ge, C. (2021). The Combined Influences of Hot Streak and Swirl on the Cooling Performances of C3X Guide Vane with or without TBCs. Coatings, 11(6), 688. https://doi.org/10.3390/coatings11060688
