Next Article in Journal
Impedance Spectroscopy of Lead-Free Ferroelectric Coatings
Next Article in Special Issue
Contribution of Different Pretreatments to the Thermal Stability and UV Resistance Performance of Cellulose Nanofiber Films
Previous Article in Journal
Active Biodegradable Polyvinyl Alcohol–Hemicellulose/Tea Polyphenol Films with Excellent Moisture Resistance Prepared via Ultrasound Assistance for Food Packaging
Previous Article in Special Issue
Enhancing Flame Resistance of Cellulosic Fibers Using an Ecofriendly Coating
 
 
Font Type:
Arial Georgia Verdana
Font Size:
Aa Aa Aa
Line Spacing:
Column Width:
Background:
Article

An Experimental Study for the Improvement of the Stain Resistance for Exterior Wall Paints in a Western City in China

1
State Key Laboratory of Geomechanics and Geotechnical Engineering, Institute of Rock and Soil Mechanics, Chinese Academy of Sciences, Wuhan 430071, China
2
Institute for Disaster Management and Reconstruction, Sichuan University, Chengdu 610041, China
3
Henan Provincial Academy of Building Research, Zhengzhou 450000, China
*
Author to whom correspondence should be addressed.
Coatings 2021, 11(2), 220; https://doi.org/10.3390/coatings11020220
Submission received: 21 January 2021 / Revised: 7 February 2021 / Accepted: 9 February 2021 / Published: 12 February 2021
(This article belongs to the Special Issue Natural Fiber Based Composites)

Abstract

In recent years, with the rapid development of the building industry in western cities during the period of “Western Development” in China, the paints industry has developed rapidly and become more mature. In addition, waterborne inorganic exterior wall paints have been a great choice in the building industry because of their reduced volatile organic compounds (VOCs) and less toxicity and odor. However, the problem of stain resistance for exterior wall paints in western cities has not been solved, which has become a major obstacle to the application and promotion of exterior wall paints in western cities in China. Therefore, effective measures should eventually be carried out for improving the stain resistance of exterior wall paints in western cities in China. In this paper, an experimental study on improving stain resistance for exterior wall paints in a typical western city in China, Chongqing, is reported. In the three defined designs, the effects of the paint structure type, the pigment volume concentration (PVC), thickeners, cosolvents and wetting and dispersing agents on the stain resistance of exterior wall paints in a typical western city in China, Chongqing, were examined. The experimental results suggest that the stain resistance of silicone–acrylic paint was the most suitable among the three kinds of tested paints (silicone–acrylic paint, styrene–acrylic paint and pure acrylic paint). In addition, the PVC had a great influence on the stain resistance of the exterior wall paints. The compactness, water absorption and stain resistance of the paint’s film were the most suitable when the PVCs of the paints reached 45%. Furthermore, the tested wetting and dispersing agents made the same contributions to the paints’ stain resistance, as their decline rates for reflectivity were similar. The reflectivity of the film significantly decreased when the ratio of associating thickener to non-associating thickener reached 4:1, and also significantly declined when the content of propylene glycol reached 5%.

1. Introduction

Architectural paints account for the largest proportion of the paints industry [1]. With the vigorous development of China’s construction industry in recent years, the architectural paints industry has also entered a stage of rapid development [2,3,4]. Additionally, national and local policies and regulations actively promote the development of architectural paints in terms of the quality of products, the technical level of the paints and application methods [5].
Compared with solvent-based paints, waterborne paints show the advantages of less toxicity and odor and reduced volatile organic compounds (VOCs). Taking into account the harsh conditions due to increasing environmental pollution, exterior wall paints should also play important roles in protecting buildings against air pollution [6,7]. However, the stain resistance of waterborne paints is lower than that of other exterior wall decoration materials such as glass and tiles [8,9]. Some oily substances emitted from factories, smoke from automobile exhaust and dust in the air accelerate the deterioration of the exterior wall surfaces of buildings [10,11]. As shown in Figure 1, the exterior wall paints of a building are seriously contaminated. The problem of stain resistance for exterior wall paints has become a serious constraint to the application and popularization of exterior wall paints in western cities in China [12,13,14].
In a field investigation of architectural exterior wall paints in a typical western city in China, Chongqing, 75 projects were randomly selected. Factors such as the building years, types of building exterior wall paints, contaminated parts of exterior wall paints, smoothness of exterior walls, color matching of exterior wall paints, orientation of building exterior walls, exterior wall materials and the structural design of exterior walls were considered. From the results of the field investigation, flow-hanging contamination, dust accumulation contamination [15] and paint cracking were regular contamination patterns for exterior wall paints in the typical western city, Chongqing. In terms of exterior wall paint flow-hanging contamination, mild-degree contamination accounted for about 31.2%, and moderate and serious flow-hanging contamination were about 69%. For the dust-accumulation contamination of exterior wall paint, the proportion of slight contamination was as low as 20.7%, and the degree of moderate and serious dust-accumulation contamination was as high as 79.3%. Additionally, the exterior wall paint surface cracked soon after completion, which seriously affected the surface of the building. These observations indicate that the overall contamination situation for exterior wall paint in this typical western city is relatively severe.
Finance and labor support have been investigated for improving the stain resistance of paints, therefore increasing the cost of buildings’ construction [16,17]. For example, studies showed that the stain resistance of the paints could be improved by changing the parameters of the nanometer zinc oxide and nanometer titanium dioxide in paints [18,19]. However, it is hard to solve various types of contamination of exterior wall paints by using a single and identical method. The problem of stain resistance is becoming the main challenge during the process of the popularization and application of exterior wall paints [20].
The aim of the present work was the improvement of the stain resistance for exterior wall paints in a typical western city in China, Chongqing. In this paper, firstly, the experimental results for the effect of the type of paint on stain resistance are presented. This is followed by reporting the experimental results for the effect of the pigment volume concentration (PVC) on the stain resistance of exterior wall paints. Thirdly, the effects of thickeners, cosolvents and wetting and dispersing agents on the stain resistance of exterior wall paints are presented. Finally, a conclusion is given.

2. Materials and Methods

2.1. Paint Formulation

In the experimental study presented in this paper, three different designs, named Design 1, Design 2 and Design 3, were defined. In Design 1, three different types of paints (pure acrylic paint, styrene–acrylic paint and silicone–acrylic paint) were used; in Design 2, paints with 7 different PVCs were examined, and in Design 3, the effects of thickeners, cosolvents and wetting and dispersing agents were compared. The formulations of the paints for the three designs are detailed in this Section.
Firstly, the sources of the raw materials of the experimental paints are shown in Table 1.
Secondly, for Design 1, three water-based paints, pure acrylic paint, styrene–acrylic paint and silicone–acrylic paint, were prepared. The compositions of the paints for Design 1 are given in Table 2.
In Design 1, three types of paints with different structures were selected as variables. Paints A, B and C are silicone–acrylic paints; paints D, E and F are styrene–acrylic paints, and paints G, H and I are pure acrylic paints.
Thirdly, in Design 2, paints with 7 different PVCs were examined. The compositions of the paints for Design 2 are given in Table 3 and Table 4.
Fourthly, in Design 3, paints with different thickeners, wetting and dispersing agents and cosolvents were used. The compositions of the paints for Design 3 are given in Table 5 and Table 6.

2.2. The Test Equipment and Instruments

The main test equipment and analytical instruments used in the experiments are shown in Table 7.

2.3. The Experimental Methods

As previously reported in Section 2.1, three different designs, named Design 1, Design 2 and Design 3, were examined, as shown in Table 8. The experimental methods for the three designs are described in detail in this Section.
All the related tests were carried out under the standard test conditions of 23 ± 2 °C and 50% ± 5% relative humidity.
In Design 1, three kinds of paints (pure acrylic paint, styrene–acrylic paint and silicone–acrylic paint) were compared in three aspects (the water resistance, alkali resistance and stain resistance). Based on Design 1, a paint with a high stain-resistance property was selected. The experimental methods of the water-resistance test, the alkali-resistance test and the stain-resistance test for the paints were conducted as follows.
The water resistance of the paint was tested according to GB/T1733-1993 [21]. For the experimental methods of the water-resistance test, asbestos cement boards were used as the test boards, and they had identical dimensions of 70 × 150 × 5 mm3. The test boards used in the experiments adopted the high-density grade IV chrysotile fiber cement plate specified in JC/T412.2-2006 [22]. The treatment of the test plate was carried out in accordance with GB/T9271-1988 [23]. In addition, the average pH of the rainfall in this typical western city in China, Chongqing, was 4.87; the main acidifying substance of the rainfall was sulfate, and the main anions in the precipitation were sulfate and nitrate, accounting for 45.6 and 6.9% of the total ions, respectively. Therefore, in the water-resistance test, analytically pure reagents, such as nitric acid, sulfuric acid and deionized water, were used to make an acid solution that was similar to the condition of acid rainfall in Chongqing, with a pH value of 4.87 (2% sulfuric acid solution and 0.5% nitric acid solution). To follow up, three standard test boards, with the edges and backs sealed by mixtures of rosin and paraffin wax according to the mass ratio of 1:1, were used. Two of the three test boards were soaked in the acidic solution. The observation continued until the surfaces of the test boards powdered, peeled off, blistered or became exposed.
The alkali resistance of the paint was tested according to GB/T 9265-2009 [24]. Two of the three test boards that had been treated in the same way as in the previous water-resistance test were soaked in a calcium hydroxide-saturated solution. The observation continued until the surfaces of the test boards blistered, peeled off, powdered, became soft or became exposed.
The stain resistance of exterior wall paints was tested according to GB/T9780-2005 [25]. The test boards were treated in the same way as in the previous water-resistance test. In terms of the configuration of fly-ash water, the fly ash was mixed with water in the ratio of 1:1 (mass). Following up were tests of the original reflection coefficients of the cured test boards and the reflection coefficient of the paint template after brushing and rinsing according to GB/T9780-2005The decline rate of the reflection coefficient of the paint is expressed by Equation (1):
X = ( A B ) A × 100 %
where X is the reflection coefficient of the paint, %; A, the original reflection coefficient of the cured test boards, %; and B, the reflection coefficient of the paint template after brushing and rinsing, %.
In Design 2, paints with 7 different PVCs were examined in three aspects (compactness, water absorption and stain resistance). The PVC refers to the ratio of the volume of the pigments and fillers in the paint to the total volume of all the nonvolatile components in the formula (including resins, solid components of the paints, pigments, fillers, etc.). The critical pigment volume concentration (CPVC) means that the volume of the base material just covers the surface of the pigment particles and fills the stacking space of the pigment particles. At this point, the pigment volume concentration is generally expressed by the CPVC. At low PVC values, the surface contact of the pigment particles is considerably low, but with an increase in pigments, when the PVC exceeds a certain extreme value, the base material is not able to completely fill the gaps between the pigment particles. These unfilled voids are left in the film, so the physical properties of the film begin to decrease sharply when the PVC exceeds the extreme value, and the PVC value at this point is called the CPVC. Therefore, the performance of the paints changes when they are near the CPVC values. In the experiments, by measuring the properties of the paints at different PVC values, such as the density, tensile strength, adhesion, coloring power, permeability, gloss and coverage, the sudden-change points could be found, allowing the CPVC values to be determined.
In terms of Design 3, the effects of thickeners, cosolvents and wetting and dispersing agents were studied on exterior wall paints’ stain resistance. Firstly, to study the performance of thickeners against contamination in paint, it was mainly compared according to the content of hydroxyethyl cellulose ether, and the ratio of associative and non-associative thickeners. The contents of hydroxyethyl cellulose ether in the three groups were 1.2, 1.5 and 1.8‰, respectively. Furthermore, the ratios of associating and non-associating thickeners in the three groups were 1:4, 1:1 and 4:1, respectively. Secondly, in order to study the effect of wetting and dispersing agents on the stain resistance of exterior wall paints, the Clariant LCN070 and ED3060 wetting agents were used in combination with a Clariant dispersant, APC, in a group of experiments. The content of the wetting agent was 0.1%, and that of the dispersant was 0.6%. Thirdly, in the study of the effects of cosolvents on paints’ stain resistance, propylene glycol was selected as the cosolvent, and the contents of the cosolvent propylene glycol were 0, 5, 10 and 15%, respectively.

3. Results and Discussion

As previously reported in Section 2, three different designs, named Design 1, Design 2 and Design 3, were examined in this paper. To follow up, the results and discussion for the three designs are detailed in this Section.

3.1. Design 1

In Design 1, three water-based paints, pure acrylic paint, styrene–acrylic paint and silicone–acrylic paint, were prepared by varying three aspects (the water resistance, alkali resistance and stain resistance) to study the effects on exterior wall paints’ stain resistance. The formulation of the paints in Design 1 is described in detail in Section 2.1.
Firstly, the experimental results for the water resistance of the paints are given in Table 9 and Table 10. On the one hand, Table 9 shows that the water resistance of the nine experimental exterior wall paints showed no changes after being soaked in water for 30 days. The reason was that the resin molecules in the paints had a dense internal structure and good surface properties such as water repellent and hydrophobic properties. On the other hand, in the water-resistance tests, the acid-rainwater condition of a typical western city in China, Chongqing, was simulated. As previously reported in Section 2.3, analytically pure reagents, such as nitric acid, sulfuric acid and deionized water, were used to make an acid solution that was similar to the condition of acid rainfall in Chongqing, with a pH value of 4.87 (2% sulfuric acid solution and 0.5% nitric acid solution). Table 10 shows that, in the experiment of simulating the composition of the rainfall in Chongqing, the rainfall resistance of the A, B and C exterior wall paints was the most suitable. Paints A, B and C were all silicone–acrylic exterior wall paints, and the excellent properties of the silicone–acrylic paints benefited from the silicone resin in them. The main chain of the silicone resin was Si–O–Si, in which the bond energy of Si–O was 422.5 kJ/mol, and the bond energy of the side chain C–Si was 318 kJ/mol, so the silicone–acrylic paint had good acid-rainfall resistance performance. The results also show that the acid-rainfall resistance of the silicone–acrylic paint was better than that of the styrene–acrylic paint, and that of the styrene–acrylic paint was better than that of the pure acrylic paint.
Secondly, the experimental results for the alkali resistance of the nine exterior wall paints A–I are shown in Table 11. Table 11 shows that the alkali resistance of the nine exterior wall paints in the experiment met the criterion of the national standard for alkali resistance GB/T 9265-2009. The silicone–acrylic paint, styrene–acrylic paint and pure acrylic paint all had good alkali-resistance properties and were suitable for use as exterior wall materials.
Thirdly, for the experiment for stain resistance, after brushing two times, four times and five times, the changes in the reflection rates and the decline rates for the paints’ films for the nine exterior wall paints A–I are shown in Figure 2, Figure 3 and Figure 4, respectively.
As shown in Figure 2, after brushing two times, the highest decline rate for reflection occurred in group H (11.02%), from 78.90% to 70.20%, and the lowest decline rate for reflection occurred in group C (3.46%), from 78.10% to 75.40%. In addition, the average decline rate for reflection for groups A–C (silicone–acrylic paint) was 4.47%, and those for groups D–F (styrene–acrylic paint) and groups G–I (pure acrylic paint) were 7.51% and 9.81%, respectively.
Figure 3 demonstrates that after brushing four times, the highest decline rate for reflection occurred in group H (13.68%), from 78.9% to 68.10%, and the lowest decline rate for reflection occurred in group C (4.10%), from 78.10% to 74.90%. In addition, the average decline rate for reflection for groups A–C (silicone–acrylic paint) was 5.57%, and those for groups D–F (styrene–acrylic paint) and groups G–I (pure acrylic paint) were 9.69% and 12.66%, respectively.
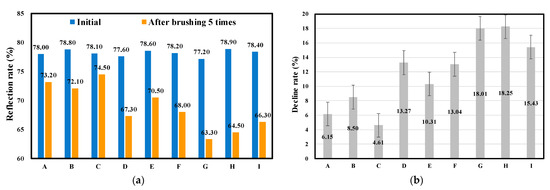
Figure 4 shows that after brushing five times, the highest decline rate for reflection occurred in group H (18.25%), from 78.90% to 64.50%, and the lowest decline rate for reflection occurred in group C (4.61%), from 78.10% to 74.50%. In addition, the average decline rate for reflection for groups A–C (silicone–acrylic paint) was 6.42%, and those for groups D–F (styrene–acrylic paint) and groups G–I (pure acrylic paint) were 12.21% and 17.23%, respectively.
The experimental results shown in Figure 2, Figure 3 and Figure 4 demonstrate that the average decline rate for groups G–I (pure acrylic paint) was the highest, followed by that for groups D–F (styrene–acrylic paint), and that for groups A–C (silicone–acrylic paint) was the lowest. The experimental results demonstrate that the stain resistance of the silicone–acrylic paint was the most suitable, followed by that of the styrene–acrylic paint, and the stain-resistance ability of the pure acrylic paint was the lowest. The reason was that the silicone–acrylic paint was modified by introducing a certain number of organosilicon groups into the acrylic resin structure, and the surface tension was low. The film had non-adhesive properties. The silicone-modified acrylic resin had the mentioned advantages and thus can well comply with the requirements for exterior wall paints. The main chain of the acrylic resin in the G, H and I pure acrylic paints was C–C bonds; the bond energy was lower than that of Si–O–Si, though. Its continuous film had a lower surface energy, so the stain resistance of the pure acrylic paint was lower than that of the silicone–acrylic paint.

3.2. Design 2

For Design 2, paints with seven different PVCs were examined. The results for Design 2 are reported in terms of three aspects: the effects of the PVC on the compactness, water absorption and stain resistance of a paint’s film. The formulations of the paints in Design 2 are detailed in Section 2.1.
Figure 5 shows the effect of the PVC on the compactness of the paint’s film. The compactness of the paint’s film was closely related to its porosity. The higher the porosity is, the lower the compactness of the paint’s film is. With a continuous increase in PVC, the porosity of the film increased gradually. As shown in Figure 5, when the PVC reached 45%, the porosity changed suddenly, and then, the porosity of the film increased sharply. This is explained by the fact that when the PVC was less than the CPVC, the pigments and fillers in the paint system were wrapped by enough paint particles. After the moisture volatilization in the film-forming process for the paint, the paint particles, pigments and fillers were squeezed by capillary forces and other forces to form a complete film. The evaporation of water was bound to leave a certain gap. When the PVC was less than the CPVC, there were more paint particles around the pigments and fillers. However, once the PVC exceeded the paint particles, a large number of air and insufficient paint particles occupied the gap between the pigments and fillers. Figure 5 shows that the CPVC of the experimental paint in the test was about 45%.
Figure 6 shows the effects of different PVCs on the water absorption of the paint’s film. Seven groups of samples were tested. The pore was the main means of water absorption by the film when the surface energy of the film was certain. The porosity was the main factor affecting the water absorption of the film, and an increase in the porosity led to an increase in the water absorption of the film. Figure 6 shows that the water absorption of the film increased with an increase in PVC. When the PVC reached 45%, the curve had an inflection point, and then, the water absorption increased sharply with an increase in PVC.
Figure 7 shows the effects of different PVCs on the stain resistance of the paint’s film. The decreases in the values of reflectivity of seven groups of different PVC samples were tested to characterize the stain resistance of the film. This is because the reflectivity value of the paint’s film had been shown to be closely related to its stain resistance. The higher the reflectivity value of the film was, the worse the stain resistance rate of the film was, and vice versa. As can be observed in Figure 7, the decline rate for the reflection value of the film decreased gradually with an increase in PVC. When the PVC increased to about 45%, the decline rate for the reflection value decreased to the lowest point and then increased sharply with an increase in PVC. At the beginning, the stain resistance of the film gradually improved with an increase in PVC; it began to decrease sharply when the PVC exceeded a certain point.
The results for Design 2 suggest that the PVC was an important factor affecting the stain resistance of the paints. When the PVC reached 45%, the compactness, water absorption and stain resistance of the paint’s film were the most suitable.

3.3. Design 3

In terms of Design 3, the effects of thickeners, cosolvents and wetting and dispersing agents were compared. The results for Design 3 are reported in terms of three aspects: the effects of thickeners, cosolvents and wetting and dispersing agents on the stain resistance of the paint’s film. The formulations of the paints in Design 3 are detailed in Section 2.1.
Figure 8 and Figure 9 show the effects of thickeners on the stain resistance of the paints. Paints with seven different contents of thickeners were examined. Figure 8 shows that after brushing one time, the average decline rates for the reflection value decreased, from 52.23% to 50.98%, with an increase in the content of hydroxyethyl cellulose ether from 1.2 to 1.8‰. In addition, as illustrated in Figure 9, the average decline rates for the reflection value varied from 51.25% and 51.44% to 50.01%, with changes in the ratio of associating thickener to non-associating thickener from 4:1 and 1:1 to 1:4, respectively. Figure 8 and Figure 9 suggest that the reflection decline rate decreased with an increase in the content of hydroxyethyl cellulose ether, and the most suitable ratio of associating thickener to non-associating thickener for the experimental paint was 4:1.
Table 11 shows the effects of wetting and dispersing agents on the stain resistance of the paints. In order to study the effect of wetting and dispersing agents on the stain resistance of exterior wall paints, the Clariant LCN070 and ED3060 wetting agents were used in combination with the Clariant dispersing agent APC in experiments. The content of the wetting agent was 0.1%, and that of the dispersant was 0.6%. The experimental results for the wetting agents using LCN070 and ED3060 and the Clariant dispersing agent APC are shown in Table 12.
Table 11 demonstrates that the decline rates for the two paints with different wetting and dispersing agents were basically the same, indicating that the contributions of the two wetting and dispersing agents in the stain resistance of the paints in this group of experiments were basically the same.
The next part was the study of the effect of the amount of cosolvent on the stain resistance of exterior wall paints. The function of propanediol as a cosolvent was to fully dissolve the filler in the liquid phase. In this group of experiments, the amounts of the cosolvent propylene glycol were 5, 10 and 15%, respectively. Figure 10 shows the effect of the cosolvent on the stain resistance of the paints. Propylene glycol was the cosolvent in the experiments. It can be seen from Figure 10 that when the content of propylene glycol was 5%, the decline rate for the reflectivity, the stain resistance, of the paints was lower, indicating that the stain resistance of the paints was the highest in this group when the content of propylene glycol was 5%.

4. Conclusions

This paper experimentally studied the improvement of stain resistance for exterior wall paints in a typical western city in China, Chongqing. Three different designs, named Design 1, Design 2 and Design 3, were studied in this paper. The results for Design 1 suggest that the stain resistance of architectural paints with different paint structures was different. After comparing the water resistance, alkali resistance and stain resistance of silicone–acrylic paint, styrene–acrylic paint and pure acrylic paint, the results show that the stain resistance of the silicone–acrylic-paint-based exterior wall paints was the most suitable among the three. The results for Design 2 show that the exterior wall paints’ PVC had a great influence on the stain resistance, and the film reflectivity decreased gradually with an increase in PVC. When the PVC increased to about 45%, the film reflectivity significantly decreased and then increased sharply with an increase in PVC, indicating that when PVC ≤ CPVC, the stain resistance of the paint increased with an increase in PVC. In Design 3, the effects of thickeners, cosolvents and wetting and dispersing agents were compared. When the content of a thickener (hydroxyethyl cellulose ether) increased, the reflectivity decline rate also decreased, and hence, the stain resistance of the paint was enhanced. When the ratio of the associated thickener to the non-associated thickener was 4:1, the reflectivity decline rate was the smallest, and the stain resistance of the paint was the most suitable. When the content of a cosolvent (propylene glycol) was 5%, the reflectivity decline rate, the contamination resistance, decreased significantly, suggesting that the stain resistance of the paints with 5% propylene glycol was the most suitable in the comparison group. The reflectivity decline rates for the two paints with different wetting and dispersing agents were basically the same, indicating that the contributions of the two wetting and dispersing agents in the stain resistance of the paints in this group of experiments were basically the same.

Author Contributions

Data curation, D.Z.; formal analysis, X.H.; investigation, D.Z.; writing – original draft, C.W.; writing – review & editing, X.H. All authors have read and agreed to the published version of the manuscript.

Funding

This research received no external funding.

Institutional Review Board Statement

Not applicable.

Informed Consent Statement

Not applicable.

Acknowledgments

The authors gratefully acknowledge financial support from the Hong Kong Polytechnic University and Sichuan University.

Conflicts of Interest

The authors declare no conflict of interest.

References

  1. Challener, C. The Paint and Coatings Industry in the Age of Digitalization. Coatings 2018, 15, 54–60. [Google Scholar]
  2. Hsu, Y.-T.; Wang, W.-H.; Hung, W.-H. Architectural Sustainability and Efficiency of Enhanced Waterproof Coating from Utilization of Waterborne Poly (Siloxane-Imide-Urethane) Copolymers on Roof Surfaces. Sustainability 2020, 12, 4411. [Google Scholar] [CrossRef]
  3. Kellogg, S. Developing and Evaluating Early Rain Resistance in Exterior Architectural Coatings. Coatings 2018, 15, 46–49. [Google Scholar]
  4. Wieroniey, T. Life-Cycle Assessment of Architectural Coatings Considering Different Preservative Scenarios. Coatings 2018, 15, 41–44. [Google Scholar]
  5. Dalawai, S.P.; Aly, M.A.S.; Latthe, S.S.; Xing, R.; Sutar, R.S.; Nagappan, S.; Ha, C.-S.; Sadasivuni, K.K.; Liu, S. Recent Advances in durability of superhydrophobic self-cleaning technology: A critical review. Prog. Org. Coat. 2020, 138, 105381. [Google Scholar] [CrossRef]
  6. Faraldos, M.; Kropp, R.; Anderson, M.A.; Sobolev, K. Photocatalytic hydrophobic concrete coatings to combat air pollution. Catal. Today 2016, 259, 228–236. [Google Scholar] [CrossRef]
  7. Striegel, M.F.; Guin, E.B.; Hallett, K.; Sandoval, D.; Swingle, R.; Knox, K.; Best, F.; Fornea, S. Air pollution, coatings, and cultural resources. Prog. Org. Coat. 2003, 48, 281–288. [Google Scholar] [CrossRef]
  8. Assaad, J.J. Value-added waste latex paints in masonry cement for plastering applications. J. Adhes. Sci. Technol. 2020, 34, 2703–2724. [Google Scholar] [CrossRef]
  9. Qureshi, S.A.; Shafeeq, A.; Ijaz, A.; Butt, M.M. Development and Regression Modeling of Dirt Resistive Latex Façade Paint. Coatings 2019, 9, 150. [Google Scholar] [CrossRef]
  10. Rosso, F.; Pisello, A.L.; Castaldo, V.L.; Ferrero, M.; Cotana, F. On Innovative Cool-Colored Materials for Building Envelopes: Balancing the Architectural Appearance and the Thermal-Energy Performance in Historical Districts. Sustainability 2017, 9, 2319. [Google Scholar] [CrossRef]
  11. De Masi, R.F.; Ruggiero, S.; Vanoli, G.P. Acrylic white paint of industrial sector for cool roofing application: Experimental investigation of summer behavior and aging problem under Mediterranean climate. Sol. Energy 2018, 169, 468–487. [Google Scholar] [CrossRef]
  12. Guo, M.Z.; Maury-Ramirez, A.; Poon, C.S. Self-cleaning ability of titanium dioxide clear paint coated architec-tural mortar and its potential in field application. J. Clean. Prod. 2016, 112, 3583–3588. [Google Scholar] [CrossRef]
  13. Ibrahim, M.; Bianco, L.; Ibrahim, O.; Wurtz, E. Low-emissivity coating coupled with aerogel-based plaster for walls’ internal surface application in buildings: Energy saving potential based on thermal comfort assessment. J. Build. Eng. 2018, 18, 454–466. [Google Scholar] [CrossRef]
  14. Song, H.; Lei, X.; Xue, F.; Wu, H.; Cheng, F. Composite phase-change coating with coal-fly-ash-based zeolite as carrier. Prog. Org. Coatings 2019, 136, 136. [Google Scholar] [CrossRef]
  15. Jiang, Y. Study on the Influential Factors and Improvement Measures of Rain Prints of the Exterior Latex Paint. Master’s Thesis, Chongqing University, Chongqing, China, 2015. [Google Scholar]
  16. Jankolovits, J.; Kusoglu, A.; Weber, A.Z.; Van Dyk, A.; Bohling, J.; Roper, I.J.A.; Radke, C.J.; Katz, A. Stable Aqueous Dispersions of Hydrophobically Modified Titanium Dioxide Pigments through Polyanion Adsorption: Synthesis, Characterization, and Application in Coatings. Langmuir 2016, 32, 1929–1938. [Google Scholar] [CrossRef] [PubMed]
  17. Parvate, S.; Mahanwar, P. Insights into the preparation of water-based acrylic interior decorative paint: Tuning binder’s properties by self-crosslinking of ally! Acetoacetate-hexamethylenediamine. Prog. Org. Coat. 2019, 126, 142–149. [Google Scholar] [CrossRef]
  18. Noman, M.T.; Petrů, M. Functional Properties of Sonochemically Synthesized Zinc Oxide Nanoparticles and Cotton Composites. Nanomaterials 2020, 10, 1661. [Google Scholar] [CrossRef] [PubMed]
  19. Noman, M.T.; Petru, M.; Militky, J.; Azeem, M.; Ashraf, M.A. One-Pot Sonochemical Synthesis of ZnO Nano-particles for Photocatalytic Applications, Modelling and Optimization. Materials 2020, 13, 14. [Google Scholar] [CrossRef] [PubMed]
  20. Pandit, S.K.; Tudu, B.K.; Mishra, I.M.; Kumar, A. Development of stain resistant, superhydrophobic and self-cleaning coating on wood surface. Prog. Org. Coat. 2020, 139, 105453. [Google Scholar] [CrossRef]
  21. GB/T1733-1993, Determination of Resistance to Water of Films. National standard of the People’s Republic of China: Beijing, China, 1993.
  22. JC/T412.2-2006, Fiber Cement Flat Sheets Part 2: Asbestos Fiber Cement Flat Sheets. Building materials industry standard of the people’s Republic of China: Beijing, China, 2006.
  23. GB/T9271-1988, Paints and Varnishes--Standard Panels for Testing. National standard of the People’s Republic of China: Beijing, China, 1988.
  24. GB/T9265-2009, Determination for Alkali Resistance of Film of Architectural Paints and Coatings. National standard of the People’s Republic of China: Beijing, China, 2009.
  25. GB/T9780-2005, Test Method for Dirt Pickup Resistance of Film of Architectural Coatings and Paints. National standard of the People’s Republic of China: Beijing, China, 2005.
Figure 1. Contaminated exterior wall paints in a typical western city in China, Chongqing.
Figure 1. Contaminated exterior wall paints in a typical western city in China, Chongqing.
Coatings 11 00220 g001
Figure 2. Design 1: (a) the change in the reflection rate and (b) the decline rate (after brushing 2 times).
Figure 2. Design 1: (a) the change in the reflection rate and (b) the decline rate (after brushing 2 times).
Coatings 11 00220 g002
Figure 3. Design 1: (a) the change in the reflection rate and (b) the decline rate (after brushing 4 times).
Figure 3. Design 1: (a) the change in the reflection rate and (b) the decline rate (after brushing 4 times).
Coatings 11 00220 g003
Figure 4. Design 1: (a) the change in the reflection rate and (b) the decline rate (after brushing 5 times).
Figure 4. Design 1: (a) the change in the reflection rate and (b) the decline rate (after brushing 5 times).
Coatings 11 00220 g004
Figure 5. Effect of PVC on porosity of paint’s film.
Figure 5. Effect of PVC on porosity of paint’s film.
Coatings 11 00220 g005
Figure 6. Effect of PVC on water absorption of paint’s film.
Figure 6. Effect of PVC on water absorption of paint’s film.
Coatings 11 00220 g006
Figure 7. Effect of PVC on decrease rate for reflection of paint’s film.
Figure 7. Effect of PVC on decrease rate for reflection of paint’s film.
Coatings 11 00220 g007
Figure 8. Design 3: (a) the change in the reflection rate and (b) the decline rate (content of thickeners).
Figure 8. Design 3: (a) the change in the reflection rate and (b) the decline rate (content of thickeners).
Coatings 11 00220 g008
Figure 9. Design 3: (a) the change in the reflection rate and (b) the decline rate (different ratios of associating thickener and non-associating thickener).
Figure 9. Design 3: (a) the change in the reflection rate and (b) the decline rate (different ratios of associating thickener and non-associating thickener).
Coatings 11 00220 g009
Figure 10. Design 3: (a) the change in the reflection rate and (b) the decline rate (according to content of propylene glycol).
Figure 10. Design 3: (a) the change in the reflection rate and (b) the decline rate (according to content of propylene glycol).
Coatings 11 00220 g010
Table 1. Sources of raw materials of the experimental paints.
Table 1. Sources of raw materials of the experimental paints.
Name of Raw MaterialModelManufacturer
Propylene glycol-Dow Chemical Co., Ltd., Midland, MI, USA
Dispersing agent2500Japan San Nuopco Co., Ltd., Tokyo, Japan
FungicideLXEDow Chemical Co., Ltd., Midland, MI, USA
Wetting agentX450Rohm and Haas Co., Ltd., Guangdong, China
DefoamerF111Haichuan Co., Ltd., Shenzhen, China
Defoamer1340Haichuan Co., Ltd., Shenzhen, China
Hydroxyethyl cellulose3wShanghai Huguang Co., Ltd., Shanghai, China
Multifunctional auxiliariesAPM-95Japan San Nuopco Co., Ltd., Tokyo, Japan
Film-forming agentTexanolEisman Co., Ltd., Japan
Thickening agent2020Rohm and Haas Co., Ltd., Foshan, China
Thickening agentASE60Rohm and Haas Co., Ltd., Foshan, China
Titanium dioxideR-998Yugang Titanium dioxide Co., Ltd., Chongqing, China
Calcined kaolin-Market sale, Chongqing, China
WaterUltra-pure waterMarket sale, Chongqing, China
Silicone–acrylic paintTD-686Jiangsu Sunrise Co., Ltd., Suzhou, China
Styrene–acrylic paintDC-420Jiangsu Sunrise Co., Ltd., Suzhou, China
Pure acrylic paintTRC-4369Jiangsu Sunrise Co., Ltd., Suzhou, China
Pure acrylic paint2468Dow Chemical Co., Ltd., Midland, MI, USA
Table 2. Compositions of the paints for Design 1.
Table 2. Compositions of the paints for Design 1.
No.Ingredients (wt.‰)Content
Pulping stage1Deionized water281.50
2Propylene glycol15.00
3Dispersing agent SN50404.00
4Dispersing agent 25002.00
5Fungicide LXE1.00
6Wetting agent X4051.00
7Defoamer F1112.00
8Cellulose 3W1.50
9AMP-952.00
10Titanium dioxide R99850.00
11Calcined kaolin120.00
12Wollastonite150.00
Painting stage13Texanol8.00
14Paint A-I350.00
15Defoamer 13402.00
16Thickener 20202.00
17Thickener ASE608.00
Total1000.00
Table 3. Compositions of the paints for Design 2.
Table 3. Compositions of the paints for Design 2.
MaterialsMixing Amount (g)
Deionized water145.00
Propanediol7.50
Dispersing agent SN50402.00
Dispersing agent 25001.00
Fungicide LXE0.50
Wetting agent X4050.50
Defoamer NXZ1.00
Cellulose0.75
AMP-951.00
Pigment and fillerTable 4
Texanol4.00
Silicone–acrylic paint175.00
Defoamer13401.00
Thickener 20201.00
Thickener ASE604.00
Table 4. The pigment volume concentrations (PVCs) in formulations for Design 2.
Table 4. The pigment volume concentrations (PVCs) in formulations for Design 2.
PVC (%)25%35%40%45%50%55%60%
Titanium dioxide6.509.2015.1022.5029.2036.1042.30
Calcined kaolin32.9043.1050.2057.7065.4072.2075.90
Wollastonite51.1063.2070.1077.9085.8091.4096.20
Table 5. Compositions of the paints for Design 3 (thickeners).
Table 5. Compositions of the paints for Design 3 (thickeners).
Thickener SystemContent of Hydroxyethyl Cellulose Ether Collocation of Associating Thickeners and Non-Associating Thickeners
(Associating Thickeners:Non-Associating Thickeners)
1.2‰1.5‰1.8‰1:41:14:1
Deionized water277.50277.50277.50277.50277.50277.50
Propanediol15.0015.0015.0015.0015.0015.00
Dispersing agent APC6.006.006.006.006.006.00
Fungicide LXE1.001.001.001.001.001.00
Wetting agent 0701.001.001.001.001.001.00
Defoamer 1014.004.004.004.004.004.00
Cellulose1.201.501.80 1.501.501.50
AMP-952.002.002.002.002.002.00
Titanium dioxide R25880.0080.0080.0080.0080.0080.00
Calcined kaolin100.00100.00100.00100.00100.00100.00
Wollastonite140.00140.00140.00140.00140.00140.00
Texanol8.008.008.008.008.008.00
TRC-4369 250.00250.00250.00250.00250.00250.00
Defoamer 7324.00 4.004.004.004.004.00
Thickener 8W2.00 2.002.002.005.00 8.00
ASE608.00 8.008.008.005.00 2.00
Total1000.00
Table 6. Compositions of the paints for Design 3 (cosolvents).
Table 6. Compositions of the paints for Design 3 (cosolvents).
Content of Propanediol 5%10%15%
Deionized water291.50286.50281.50
Propanediol5.0010.0015.00
Dispersant APC6.006.006.00
Fungicide LXE1.001.001.00
Wetting agent 0701.001.001.00
Defoamer 1012.002.002.00
Cellulose1.501.501.50
AMP-952.002.002.00
Titanium dioxide R25880.0080.0080.00
Calcined kaolin100.00100.00100.00
Wollastonite140.00140.00140.00
Texanol8.008.008.00
TRC-4369250.00250.00250.00
Defoamer 7322.002.002.00
Thickener 8W2.002.002.00
ASE608.008.008.00
Total1000.00
Table 7. Main test equipment and analytical instruments.
Table 7. Main test equipment and analytical instruments.
Name of Instrument and EquipmentManufacturer
QBY-II swing rod type paint film hardness testerTianjin Material Testing Machine Factory, Tianjin, China
QHQ-A film-coated pencil scratch hardness testerTianjin Material Testing Machine Factory, Tianjin, China
QRS paint film reflectance testerTianjin Material Testing Machine Factory, Tianjin, China
LXY-IV paint film washing resistance testerTianjin Material Testing Machine Factory, Tianjin, China
SBDY-1 whiteness meterHebei Rongda Luqiao Science Equipment Factory, Cangzhou, China
QFD electric paint film adhesion testerTianjin Material Testing Machine Factory, Tianjin, China
JC2000A static drop contact angle/interfacial tension-measuring instrumentShanghai Zhongchen Digital Technology equipment Co., Ltd., Shanghai, China
JL-1155 laser particle size distribution testerChengdu Jingxin Powder testing equipment Co., Ltd., Chengdu, China
Nano ZS90 laser particle size distribution measurement and potential analyzerBritish Malvern Co., Ltd., Malvern, UK
Optical microscopeShanghai Optical instrument Factory, Shanghai, China
Ultraviolet spectrophotometerJapan Hitachi Co., Ltd., Tokyo, Japan
Table 8. Detailed description of Design 1, Design 2 and Design 3.
Table 8. Detailed description of Design 1, Design 2 and Design 3.
DesignsExperimental ContentComparison
Design 1Pure acrylic paintWater resistance
Styrene–acrylic paintAlkali resistance
Silicone–acrylic paintStain resistance
Design 2PVC concentrationsCompactness
Water absorption
Stain resistance
Design 3ThickenersStain resistance
Cosolvents
Wetting and dispersing agents
Table 9. Results for Design 1 (water resistance I).
Table 9. Results for Design 1 (water resistance I).
No.ABCDEFGHI
Time/d303035303035303035
PerformanceNo changeNo changeNo changeNo changeNo changeNo changeNo changeNo changeNo change
Table 10. Results for Design 1 (water resistance II).
Table 10. Results for Design 1 (water resistance II).
No.ABCDE
Time/h105931207082
PerformanceBlisteringSmall holesUnderlying paint exposureBlisteringUnderlying paint exposure
No.FGHI-
Time/h67396245-
PerformanceSmall holesBlisteringUnderlying paint exposureBlistering-
Table 11. Results for Design 1 (alkali resistance).
Table 11. Results for Design 1 (alkali resistance).
No.ABCDEFGHI
Time/d353540353540353540
PerformanceNo changeNo changeNo changeNo changeNo changeNo changeNo changeNo changeNo change
Table 12. The effects of wetting and dispersing agents on stain resistance of paints.
Table 12. The effects of wetting and dispersing agents on stain resistance of paints.
Type of Wetting AgentType of Dispersing AgentA (%)B (%)Decline Rate for Reflection Coefficient (%)Average Decline Rate
LCN070APC80.0042.4346.9648.76%
79.6340.1749.56
79.3039.8349.77
ED3060APC80.5040.7749.3648.70%
80.1340.4749.50
79.9742.1847.25
Publisher’s Note: MDPI stays neutral with regard to jurisdictional claims in published maps and institutional affiliations.

Share and Cite

MDPI and ACS Style

Huang, X.; Wang, C.; Zhu, D. An Experimental Study for the Improvement of the Stain Resistance for Exterior Wall Paints in a Western City in China. Coatings 2021, 11, 220. https://doi.org/10.3390/coatings11020220

AMA Style

Huang X, Wang C, Zhu D. An Experimental Study for the Improvement of the Stain Resistance for Exterior Wall Paints in a Western City in China. Coatings. 2021; 11(2):220. https://doi.org/10.3390/coatings11020220

Chicago/Turabian Style

Huang, Xiao, Caixia Wang, and Dengling Zhu. 2021. "An Experimental Study for the Improvement of the Stain Resistance for Exterior Wall Paints in a Western City in China" Coatings 11, no. 2: 220. https://doi.org/10.3390/coatings11020220

APA Style

Huang, X., Wang, C., & Zhu, D. (2021). An Experimental Study for the Improvement of the Stain Resistance for Exterior Wall Paints in a Western City in China. Coatings, 11(2), 220. https://doi.org/10.3390/coatings11020220

Note that from the first issue of 2016, this journal uses article numbers instead of page numbers. See further details here.

Article Metrics

Back to TopTop