Effect of Solidifying Structure on Centerline Segregation of S50C Steel Produced by Compact Strip Production
Abstract
:1. Introduction
2. Experimental Method
- Collection of samples from an industrial trial in a CSP plant in JISCO in Jiuquan, China.
- Measurement of SDAS by sampling from the transverse section of thin slab (with a dimension 1270 mm × 52 mm) samples.
- Micro-segregation tests for elements C, Si, and Mn by EPMA (Electron Probe Microanalysis, EPMA-1720H, Shimadzu, Kyoto, Japan) through mapping scanning mode.
- Macro-segregation tests by OES (Optical Emission Spectrometer-ARL8860, Thermo Fisher Scientific, Waltham, MA, USA).
- Calculation for macro-segregation degree for elements C, Si, and Mn.
3. Results and Discussion
3.1. Morphology of Solidifying Structure
3.2. Micro-Segregation
3.3. Centerline Segregation
3.4. Analysis on the Formation of Centerline Segregation during CSP Process
- (1)
- Chemical composition
- (2)
- Cooling rate
- (3)
- Effect of solidifying structure on the motion of liquid in mushy zone
4. Conclusions
- (1)
- The cooling rate of CSP process increases from center to the surfaces of the slabs ranging from 1~20 K/s, 10 times faster than that of a conventional process. The faster cooling rate leads to refined solidifying structure and columnar dendrite through the center of the slabs. The SDAS tends to increase from surfaces to the center, ranging only from 32~120 μm, smaller than that of a conventional process, in 100~300 μm, indicating a finer solidifying structure by CSP process.
- (2)
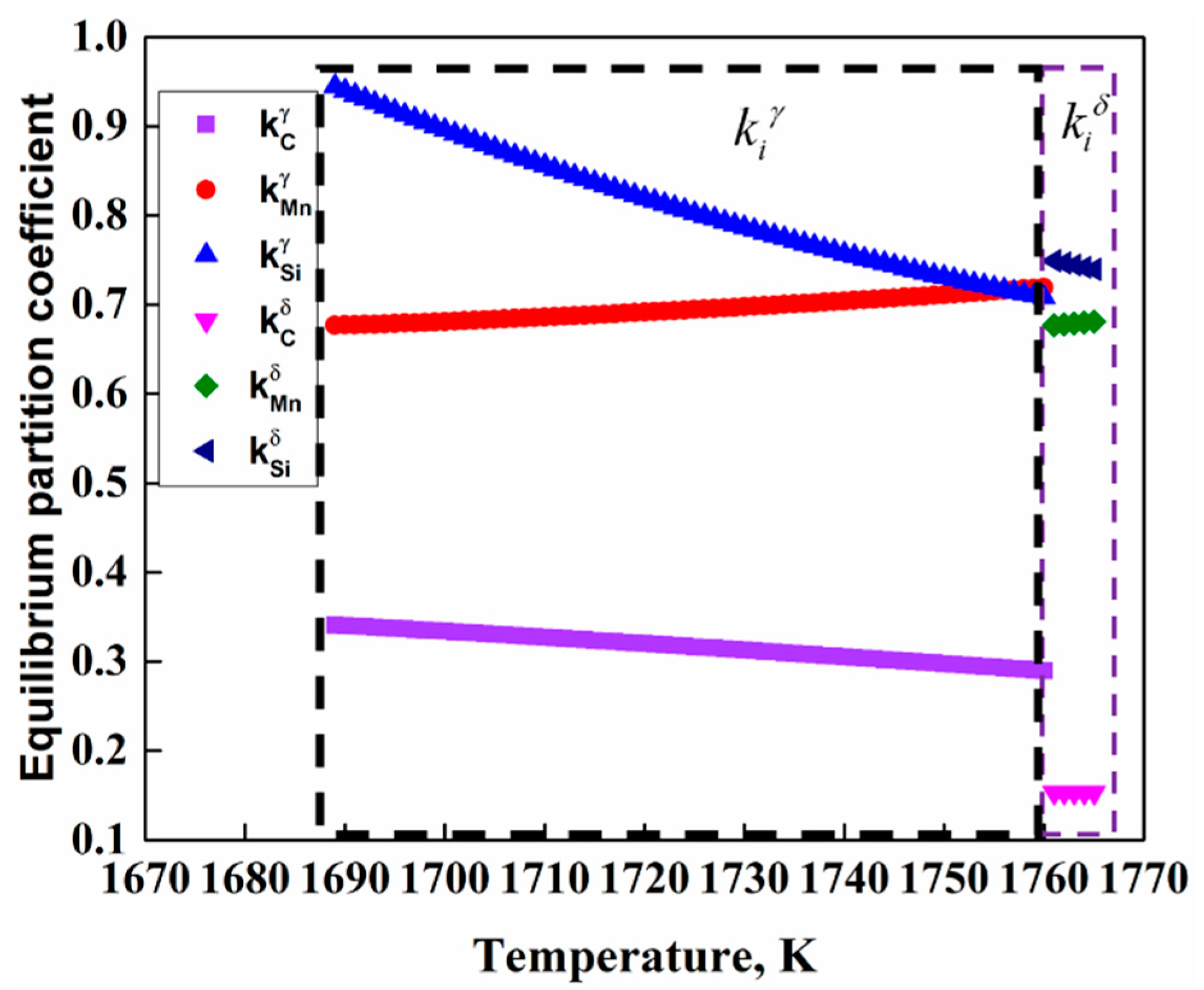
- According to thermodynamic calculation, δ region of S50C is so narrow that the solute redistribution mainly occurs between γ-Fe and liquid during solidification. As the equilibrium partition coefficient of element C is the smallest, it is easy for C to be rejected to the residual liquid in the inter-dendritic space leading to obvious segregation relatively.
- (3)
- Results by EPMA indicate that elements C, Si, and Mn distribute in dispersed spots, increasing towards the center, and the centerline segregation changes in a narrow range: for C mainly in 1.0~1.1, Si in 0.98~1.08, and Mn in 0.96~1.02, respectively, meaning a more chemical homogenization than that of thick slabs.
- (4)
- The segregation is suppressed mainly by refining the solidifying structure during CSP process. As a result of high-cooling intensity, the solidifying structure of slabs becomes so much finer that the Fourier number increases and the volume of the residual liquid decreases, making centerline segregation alleviated effectively both in volume and degree, even without EMS.
- (5)
- Although bulging was observed during the industrial experiment, the centerline segregation was still inhibited obviously with permeability ranging only from 0.1~2.3 μm2 from surfaces to centerline as a result of the refining solidifying structure, which showed a good resistance on the residual flow towards the centerline.
Author Contributions
Funding
Institutional Review Board Statement
Informed Consent Statement
Data Availability Statement
Acknowledgments
Conflicts of Interest
References
- Flemings, M.C. Our understanding of macro-segregation past and present. ISIJ Int. 2000, 40, 838–841. [Google Scholar] [CrossRef]
- Brimacombe, J.K. The challenge of quality in continuous casting processes. Met. Mater. Trans. A 1999, 30, 553–566. [Google Scholar] [CrossRef]
- Flemings, M.C. Modeling of Casting, Welding and Advanced Solidification Processes-VIII; Thomas, B.G., Beckermann, C., Eds.; TMS: Warrendale, PA, USA, 1998. [Google Scholar]
- Cui, K.K.; Fu, T.; Zhang, Y.Y.; Wang, J.; Mao, H.B.; Tan, T.B. Microstructure and mechanical properties of CaAl12O19 rein-forced Al2O3-Cr2O3 composites. J. Eur. Ceram. Soc. 2021, 41, 7935–7945. [Google Scholar] [CrossRef]
- Wang, J.; Zhang, Y.; Cui, K.; Fu, T.; Gao, J.; Hussain, S.; AlGarni, T.S. Pyrometallurgical recovery of zinc and valuable metals from electric arc furnace dust—A review. J. Clean. Prod. 2021, 298, 126788. [Google Scholar] [CrossRef]
- Sung, P.K.; Poirier, D.R.; Yalamanchili, B. Segregation of carbon and manganese in continuously cast high carbon steel for wire rod. Ironmak. Steelmak. 1990, 17, 424–430. [Google Scholar]
- Cui, K.K.; Zhang, Y.Y.; Fu, T.; Hussain, S.; Algarni, T.S.; Wang, J.; Zhang, X.; Ali, S. Effects of Cr2O3 content on microstructure and mechanical properties of Al2O3 matrix composites. Coatings 2021, 11, 234. [Google Scholar] [CrossRef]
- Iwata, H.; Yamada, K.; Fujita, T.; Hayashi, K. Electromagnetic stirring of molten core in continuous casting of high carbon steel. Trans. Iron Steel Inst. Jpn. 1976, 16, 374–381. [Google Scholar] [CrossRef] [Green Version]
- Mori, H.; Tanaka, N.; Sato, N.; Hirai, M. Macrostructure of and segregation in continuously cast carbon steel billets. Trans. Iron Steel Inst. Jpn. 1972, 12, 102–111. [Google Scholar] [CrossRef] [Green Version]
- Zhou, T.; Zhang, P.; Kuuskman, K.; Cerilli, E.; Cho, S.-H.; Burella, D.; Zurob, H.S. Development of medium-to-high carbon hot-rolled steel strip on a thin slab casting direct strip production complex. Ironmak. Steelmak. 2017, 45, 603–610. [Google Scholar] [CrossRef]
- Xiao, Y.; Li, W.; Zhao, H.; Lu, X.; Jin, X. Investigation of carbon segregation during low temperature tempering in a medium carbon steel. Mater. Charact. 2016, 117, 84–90. [Google Scholar] [CrossRef]
- Lesoult, G. Macrosegregation in steel strands and ingots: Characterisation, formation and consequences. Mater. Sci. Eng. A 2005, 413–414, 19–29. [Google Scholar] [CrossRef]
- Miyamura, K.; Taguchi, I.; Soga, H. New evaluation techniques of segregation in continuously cast steel. Trans. Iron Steel Inst. Jpn. 1984, 24, 883–890. [Google Scholar] [CrossRef]
- Sirgo, J.A.; Campo, R.; Lopez, A.; Diaz, A.; Sancho, L. Measurement of centerline segregation in steel slabs. In Proceedings of the Conference Record of the 2006 IEEE Industry Applications Conference Forty-First IAS Annual Meeting, Tampa, FL, USA, 8–12 October 2006; Volume 1, pp. 516–520. [Google Scholar]
- Ghosh, A. Principles of Secondary Processing and Casting of Liquid Steel; Oxford & IBH Publishing: New Delhi, India, 1990; p. 174. [Google Scholar]
- Jacobi, H.; Schwerdtfeger, K. Dendrite morphology of steady state unidirectionally solidified steel. Met. Mater. Trans. A 1976, 7, 811–820. [Google Scholar] [CrossRef]
- Ayata, K.; Mori, T.; Fujimoto, T. Improvement of macro-segregation in continuously cast bloom and billet by electromagnetic stirring. Tran. Iron Steel Inst. Jpn. 2006, 24, 931–939. [Google Scholar] [CrossRef]
- Song, X.P.; Cheng, S.S.; Cheng, Z.J. Mathematical modelling of billet casting with secondary cooling zone electromagnetic stirrer. Ironmak. Steelmak. 2013, 40, 189–198. [Google Scholar] [CrossRef]
- Trindade, L.; Vilela, A.; Filho, A.F.F.; Vilhena, M.; Soares, R. Numerical model of electromagnetic stirring for continuous casting billets. IEEE Trans. Magn. 2002, 38, 3658–3660. [Google Scholar] [CrossRef] [Green Version]
- Javurek, M.; MBarna, M.; Gittler, P. Flow Modelling in round bloom strands with electromagnetical stirring. In Proceedings of the Steelsim, Graz, Austria, 1 January 2007. [Google Scholar]
- Liu, H.; Xu, M.; Qiu, S.; Zhang, H. Numerical simulation of fluid flow in a round bloom mold with in-mold rotary electromagnetic stirring. Met. Mater. Trans. A 2012, 43, 1657–1675. [Google Scholar] [CrossRef]
- Oh, K.S.; Chang, Y.W. Macro-segregation behavior in continuously cast high carbon steel blooms and billets at the final stage of solidification in combination stirring. ISIJ Int. 1995, 35, 866–875. [Google Scholar] [CrossRef] [Green Version]
- Xiao, C.; Zhang, J.-M.; Luo, Y.-Z.; Wei, X.-D.; Wu, L.; Wang, S.-X. Control of macrosegregation behavior by applying final electromagnetic stirring for continuously cast high carbon steel billet. J. Iron Steel Res. Int. 2013, 20, 13–20. [Google Scholar] [CrossRef]
- Zhang, Y.Y.; Yu, L.H.; Fu, T.; Wang, J.; Shen, Q.F.; Cui, K.K. Microstructure evolution and growth mechanism of Si-MoSi2 composite coatings on TZM (Mo-0.5Ti-0.1Zr-0.02 C) alloy. J. Alloys Compd. 2022, 894, 162403. [Google Scholar] [CrossRef]
- Zhang, Y.; Fu, T.; Cui, K.; Shen, F.; Wang, J.; Yu, L.; Mao, H. Evolution of surface morphology, roughness and texture of tungsten disilicide coatings on tungsten substrate. Vacuum 2021, 191, 110297. [Google Scholar] [CrossRef]
- Zhang, Y.Y.; Cui, K.K.; Fu, T.; Wang, J.; Shen, F.Q.; Zhang, X.; Yu, L.H. Formation of MoSi2 and Si/MoSi2 coatings on TZM (Mo–0.5Ti–0.1Zr–0.02C) alloy by hot dip silicon-plating method. Ceram. Int. 2021, 47, 23053–23065. [Google Scholar] [CrossRef]
- Rauter, W.; Reiter, J.; Srienc, K.; Brandl, W.; Erker, M.; Huemer, K.; Mair, A. Soft reduction at a round bloom caster: Implementation and results. BHM Berg-Und Hüttenmänn. Mon. 2014, 159, 454–460. [Google Scholar] [CrossRef]
- Ma, H.; Zhang, J.; Cheng, R.; Wang, S. Numerical simulation study on quality control of the center macroscopic segregation in the continuous casting slab. Trans. Indian Inst. Met. 2019, 72, 825–835. [Google Scholar] [CrossRef]
- Han, T.; Cheng, C.G.; Mei, J.X.; Zhu, J.F.; Jin, Y. Optimization of soft reduction process for continuous thick slab casting. Adv. Mater. Res. 2014, 881-883, 1558–1561. [Google Scholar] [CrossRef]
- Tsuchida, Y.; Nakada, M.; Sugawara, I.; Miyahara, S.; Murakami, K.; Tokushige, S. Behavior of semi-macroscopic segregation in continuously cast slabs and technique for reducing the segregation. Trans. Iron Steel Inst. Jpn. 1984, 24, 899–906. [Google Scholar] [CrossRef] [Green Version]
- Haida, O.; Kitaoka, H.; Habu, Y.; Kakihara, S.; Bada, H.; Shiraishi, S. Macro- and semi-macroscopic features of the centerline segregation in CC slabs and their effect on product quality. Trans. Iron Steel Inst. Jpn. 1984, 24, 891–898. [Google Scholar] [CrossRef]
- Rosenthal, D.; Krämer, S.; Klein, C.; Geerkens, C.; Mueller, J. 20 years of CSP: Success story of an extraordinary technology. Müller Stahl Und Eisen 2009, 129, 73–86. [Google Scholar]
- Hoen, K.; Klein, C.; Krämer, S.; Chung, J.S. Recent Development of Thin Slab Casting and Rolling Technology in a Challenging Market. In Proceedings of the 10th Int. Rolling Conf. and the 7th European Rolling Conference, Congress Graz, Graz, Austria, 6–9 June 2016; p. 1217. [Google Scholar]
- Janssen, H.; Sowka, E. Seven years of progress in the casting-rolling plant at Thyssen Krupp Steel. Stahl Und Eisen 2007, 127, 27–33. [Google Scholar]
- Klinkenberg, C.; Kintscher, B.; Hoen, K.; Reifferscheid, M. More than 25 Years of experience in thin slab casting and rolling current state of the art and future developments. Steel Res. Int. 2017, 88, 1700272. [Google Scholar] [CrossRef]
- Fu, T.; Cui, K.; Zhang, Y.; Wang, J.; Shen, F.; Yu, L.; Qie, J.; Zhang, X. Oxidation protection of tungsten alloys for nuclear fusion applications: A comprehensive review. J. Alloys Compd. 2021, 884, 161057. [Google Scholar] [CrossRef]
- Kaspar, R. Microstructural aspects and optimization of thin slab direct rolling of steels. Steel Res. Int. 2003, 74, 318–326. [Google Scholar] [CrossRef]
- Choudhary, S.K.; Ganguly, S. Morphology and segregation in continuously cast high carbon steel billets. ISIJ Int. 2007, 47, 1759–1766. [Google Scholar] [CrossRef] [Green Version]
- Saeki, T.; Imura, H.; Oonishi, Y.; Niimi, H.; Miwa, E.; Yoshida, T.; Igari, S.; Kitamine, S. Effect of bulging and solidification structure on segregation in continuously cast slab. Trans. Iron Steel Inst. Jpn. 1984, 24, 907–916. [Google Scholar] [CrossRef]
- Pikkarainen, T.; Vuorenmaa, V.; Rentola, I.; Leinonen, M.; Porter, D. Effect of superheat on macrostructure and mac-ro-segregation in continuous cast low-alloy steel slabs. Iop Conf. 2016, 117, 012064. [Google Scholar]
- Gadellaa, R.F.; Kreijger, P.J.; Cornelissen, M.C.M.; Donnay, B.; Herman, J.C.; Leroy, V. Metallurgical aspects of thin slab casting and rolling of low carbon steels. In Proceedings of the 2nd European Conference Continuous Casting (METEC 94), Dusseldorf, Germany, 20–22 June 1994; Volume 1, pp. 382–389. [Google Scholar]
- Clyne, T.W.; Kurz, W. Solute redistribution during solidification with rapid solid state diffusion. Met. Mater. Trans. A 1981, 12, 965–971. [Google Scholar] [CrossRef]
- Meng, Y.; Thomas, B. Heat-transfer and solidification model of continuous slab casting: CON1D. Met. Mater. Trans. A 2003, 34, 685–705. [Google Scholar] [CrossRef]
- Ueshima, Y.; Mizoguchi, S.; Matsumiya, T.; Kajioka, H. Analysis of solute distribution in dendrites of carbon steel with δ/γ transformation during solidification. Met. Mater. Trans. A 1986, 17, 845–859. [Google Scholar] [CrossRef]
- Kajatani, T.; Drezet, J.-M.; Rappaz, M. Numerical simulation of deformation-induced segregation in continuous casting of steel. Met. Mater. Trans. A 2001, 32, 1479–1491. [Google Scholar] [CrossRef] [Green Version]
- Miyazawa, K.; Schwerdtfeger, K. Macrosegregation in continuously cast steel slabs: Preliminary theoretical investigation on the effect of steady state bulging. Archiv Eisenhüttenwes. 1981, 52, 415–422. [Google Scholar] [CrossRef]
- Chakraborty, S.; Dutta, P. Effects of dendritic arm coarsening on macroscopic modelling of solidification of binary alloys. Mater. Sci. Technol. 2001, 17, 1531–1538. [Google Scholar] [CrossRef]
- Poirier, D.R. Permeability for flow of interdendritic liquid in columnar-dendritic alloys. Met. Mater. Trans. A 1987, 18, 245–255. [Google Scholar] [CrossRef]
- Yoo, H.; Viskanta, R. Effect of anisotropic permeability on the transport process during solidification of a binary mixture. Int. J. Heat Mass Transf. 1992, 35, 2335–2346. [Google Scholar] [CrossRef]
- Ahmad, N.; Rappaz, J.; Desbiolles, J.-L.; Jalanti, T.; Rappaz, M.; Combeau, H.; Lesoult, G.; Stomp, C. Numerical simulation of macrosegregation: A comparison between finite volume method and finite element method predictions and a confrontation with experiments. Met. Mater. Trans. A 1998, 29, 617–630. [Google Scholar] [CrossRef]
- Yamanaka, A.; Nakajima, K.; Yasumoto, K.; Kawashima, H.; Nakai, K. New evaluation of critical strain for internal crack formation in continuous casting. Rev. Métall. 1992, 89, 627–634. [Google Scholar] [CrossRef]
- Cornelissen, M.C.M. Mathematical model for solidification of multi component alloys. Ironmak. Steelmak. 1986, 13, 204–212. [Google Scholar]














| C | Si | Mn | P | S |
|---|---|---|---|---|
| 0.48 | 0.18 | 0.64 | 0.0082 | 0.0021 |
| Parameters | Value |
|---|---|
| Casting speed/m·min−1 | 4.5 |
| Superheat degree (K) | 33 |
| Specific water flow of second cooling zone (L·kg−1) | 2.8 |
| Liquidus temperature (K) | 1763 |
Publisher’s Note: MDPI stays neutral with regard to jurisdictional claims in published maps and institutional affiliations. |
© 2021 by the authors. Licensee MDPI, Basel, Switzerland. This article is an open access article distributed under the terms and conditions of the Creative Commons Attribution (CC BY) license (https://creativecommons.org/licenses/by/4.0/).
Share and Cite
Liu, K.; Cheng, S.; Li, J.; Feng, Y. Effect of Solidifying Structure on Centerline Segregation of S50C Steel Produced by Compact Strip Production. Coatings 2021, 11, 1497. https://doi.org/10.3390/coatings11121497
Liu K, Cheng S, Li J, Feng Y. Effect of Solidifying Structure on Centerline Segregation of S50C Steel Produced by Compact Strip Production. Coatings. 2021; 11(12):1497. https://doi.org/10.3390/coatings11121497
Chicago/Turabian StyleLiu, Kai, Shusen Cheng, Jipeng Li, and Yongping Feng. 2021. "Effect of Solidifying Structure on Centerline Segregation of S50C Steel Produced by Compact Strip Production" Coatings 11, no. 12: 1497. https://doi.org/10.3390/coatings11121497
APA StyleLiu, K., Cheng, S., Li, J., & Feng, Y. (2021). Effect of Solidifying Structure on Centerline Segregation of S50C Steel Produced by Compact Strip Production. Coatings, 11(12), 1497. https://doi.org/10.3390/coatings11121497
