Structure, Oxidation Resistance, Mechanical, and Tribological Properties of N- and C-Doped Ta-Zr-Si-B Hard Protective Coatings Obtained by Reactive D.C. Magnetron Sputtering of TaZrSiB Ceramic Cathode
Abstract
1. Introduction
2. Materials and Methods
3. Results
4. Discussion
4.1. Dependence of Growth Kinetics and Microstructure on the Gas Environment
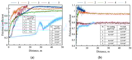
4.2. Mechanical and Tribological Properties
4.3. Oxidation Resistance
5. Conclusions
Author Contributions
Funding
Acknowledgments
Conflicts of Interest
References
- He, Q.; Paiva, J.M.; Kohlscheen, J.; Beake, B.D.; Veldhuis, S.C. An integrative approach to coating/carbide substrate design of CVD and PVD coated cutting tools during the machining of austenitic stainless steel. Ceram. Int. 2020, 46, 5149–5158. [Google Scholar] [CrossRef]
- Vereschaka, A.; Tabakov, V.; Grigoriev, S.; Sitnikov, N.; Oganyan, G.; Andreev, N.; Milovich, F. Investigation of wear dynamics for cutting tools with multilayer composite nanostructured coatings in turning constructional steel. Wear 2019, 420–421, 17–37. [Google Scholar] [CrossRef]
- Kiryukhantsev-Korneev, F.V.; Sheveiko, A.N.; Komarov, V.A.; Blanter, M.S.; Skryleva, E.A.; Shirmanov, N.A.; Levashov, E.A.; Shtansky, D.V. Nanostructured Ti-Cr-B-N and Ti-Cr-Si-C-N coatings for hard-alloy cutting tools. Russ. J. Non-Ferrous Met. 2011, 52, 311–318. [Google Scholar] [CrossRef]
- Vereschaka, A.; Tabakov, V.; Grigoriev, S.; Sitnikov, N.; Milovich, F.; Andreev, N.; Bublikov, J. Investigation of wear mechanisms for the rake face of a cutting tool with a multilayer composite nanostructured Cr–CrN-(Ti,Cr,Al,Si)N coating in high-speed steel turning. Wear 2019, 438–439, 203069. [Google Scholar] [CrossRef]
- Kiryukhantsev-Korneev, P.V.; Pierson, J.F.; Bychkova, M.Y.; Manakova, O.S.; Levashov, E.A.; Shtansky, D.V. Comparative Study of Sliding, Scratching, and Impact-Loading Behavior of Hard CrB2 and Cr–B–N Films. Tribol. Lett. 2016, 63, 44–55. [Google Scholar] [CrossRef]
- Shon, I.-J.; Ko, I.-Y.; Chae, S.-M.; Nа, K. Rapid consolidation of nanostructured TaSi2 from mechanochemically synthesized powder by high frequency induction heated sintering. Ceram. Int. 2011, 37, 679–682. [Google Scholar] [CrossRef]
- Samsonov, G.V.; Vinitsky, I.V. Refractory Compounds: Handbook; Metallurgy: Moscow, Russia, 1976; p. 558. [Google Scholar]
- Buecher, W.; Schliebs, R.; Winter, G.; Buechel, K.H. Industrielle Angewandte Chemie; Verlag Chemie: Weinheim, Germany, 1984. [Google Scholar]
- Zhang, Y.-L.; Ren, J.; Tian, S.; Li, H.; Ren, X.; Hu, Z. HfC nanowire-toughened TaSi2–TaC–SiC–Si multiphase coating for C/C composites against oxidation. Corro. Sci. 2015, 90, 554–561. [Google Scholar] [CrossRef]
- Shi, X.H.; Zeng, X.R.; Li, H.J.; Fu, Q.G.; Zou, J.Z. TaSi 2 Oxidation Protective Coating for SiC Coated Carbon/Carbon Composites. Rare Met. Mater. Eng. 2011, 40, 403–406. [Google Scholar] [CrossRef]
- Liu, F.; Li, H.; Gu, S.; Yao, X.; Fu, Q. Ablation behavior and thermal protection performance of TaSi2 coating for SiC coated carbon/carbon composites. Ceram. Int. 2019, 45, 3256–3262. [Google Scholar] [CrossRef]
- Du, B.; Zhou, S.; Zhang, X.; Hong, C.; Qu, Q. Preparation of a high spectral emissivity TaSi2-based hybrid coating on SiOC-modified carbon-bonded carbon fiber composite by a flash sintering method. Surf. Coat. Technol. 2018, 350, 146–153. [Google Scholar] [CrossRef]
- Tao, X.; Li, X.; Guo, L.; Xu, X.; Guo, A.; Hou, F.; Liu, J. Effect of TaSi2 content on the structure and properties of TaSi2-MoSi2-borosilicate glass coating on fibrous insulations for enhanced surficial thermal radiation. Surf. Coat. Technol. 2017, 316, 122–130. [Google Scholar] [CrossRef]
- Mansour, A.N. Effect of temperature on microstructure and electrical properties of TaSi2 thin films grown on Si substrates. Vacuum 2011, 85, 667–671. [Google Scholar] [CrossRef]
- Ringeisen, F.; Alaoui, M.; Bolmont, D.; Koulmann, J.J. Oxidation of TaSi2 thin films on polycrystalline tantalum. Appl. Surf. Sci. 1992, 62, 167–173. [Google Scholar] [CrossRef]
- Schultes, G.; Schmitt, M.; Goettel, D.; Freitag-Weber, O. Strain sensitivity of TiB2, TiSi2, TaSi2 and WSi2 thin films as possible candidates for high temperature strain gauges. Sens. Actuators A Phys. 2006, 126, 287–291. [Google Scholar] [CrossRef]
- Sidorenko, S.I. Formation of Nanocrystalline Structure of TaSi2 Films on Silicon. Powder Metall. Met. Ceram. 2003, 42, 14–18. [Google Scholar] [CrossRef]
- Inui, H.; Fujii, A.; Hashimoto, T.; Tanaka, K.; Yamaguchi, M.; Ishizuk, K. Defect structures in TaSi2 thin films produced by co-sputtering. Acta Mater. 2003, 51, 2285–2296. [Google Scholar] [CrossRef]
- Xu, J.; Xie, Q.; Peng, S.; Li, Z.; Jiang, S. Investigation of slurry erosion-corrosion behavior of Ta(Si1−xAlx)2 nanocrystalline coatings. Mater. Res. Express 2020, 7, 026408. [Google Scholar] [CrossRef]
- Xu, J.; Zhang, S.K.; Lu, X.L.; Jiang, S.; Munro, P.; Xie, Z.-H. Effect of Al alloying on cavitation erosion behavior of TaSi2 nanocrystalline coatings. Ultrason. Sonochem. 2019, 59, 104742. [Google Scholar] [CrossRef]
- Lai, J.J.; Lin, Y.S.; Chang, C.H.; Wei, T.Y.; Huang, J.C.; Liao, Z.X.; Lin, C.H.; Chen, C.H. Promising Ta-Ti-Zr-Si metallic glass coating without cytotoxic elements for bio-implant applications. Appl. Surf. Sci. 2018, 427, 485–495. [Google Scholar] [CrossRef]
- Oleksak, R.P.; Devaraj, A.; Herman, G.S. Atomic-scale structural evolution of Ta–Ni–Si amorphous metal thin films. Mater. Lett. 2016, 164, 9–14. [Google Scholar] [CrossRef]
- Bondarev, A.V.; Vorotilo, S.; Shchetinin, I.V.; Levashov, E.A.; Shtansky, D.V. Fabrication of Ta-Si-C targets and their utilization for deposition of low friction wear resistant nanocomposite Si-Ta-C-(N) coatings intended for wide temperature range tribological applications. Surf. Coat. Technol. 2019, 359, 342–353. [Google Scholar] [CrossRef]
- Yoon, J.-K.; Kim, G.-H.; Kim, H.-S.; Shon, I.-J.; Kim, J.-S.; Doh, J.-M. Microstructure and oxidation behavior of in situ formed TaSi2–Si3N4 nanocomposite coating grown on Ta substrate. Intermetallics 2008, 16, 1263–1272. [Google Scholar] [CrossRef]
- Chung, C.K.; Chen, T.S. Effect of Si/Ta and nitrogen ratios on the thermal stability of Ta–Si–N thin films. Microelectron. Eng. 2020, 87, 129–134. [Google Scholar] [CrossRef]
- Olowolafe, J.O.; Rau, I.; Unruh, K.M.; Swann, C.P.; Jawad, Z.S.; Alford, T. Effect of composition on thermal stability and electrical resistivity of Ta–Si–N films. Thin Solid Films 2000, 365, 19–21. [Google Scholar] [CrossRef]
- Nah, J.W.; Choi, W.S.; Hwang, S.K.; Lee, C.M. Chemical state of (Ta, Si)N reactively sputtered coating on a high-speed steel substrate. Surf. Coat. Technol. 2000, 123, 1–7. [Google Scholar] [CrossRef]
- Chen, Y.-I.; Cheng, Y.-R.; Chang, L.-C.; Lu, T.-S. Chemical inertness of Ta–Si–N coatings in glass molding. Thin Solid Films. 2015, 584, 66–71. [Google Scholar] [CrossRef]
- Zeman, P.; Musil, J.; Daniel, R. High-temperature oxidation resistance of Ta–Si–N films with a high Si content. Surf. Coat. Technol. 2006, 200, 4091–4096. [Google Scholar] [CrossRef]
- Kiryukhantsev-Korneev, P.V.; Iatsyuk, I.V.; Shvindina, N.V.; Levashov, E.A.; Shtansky, D.V. Comparative investigation of structure, mechanical properties, and oxidation resistance of Mo-Si-B and Mo-Al-Si-B coatings. Corr. Sci. 2017, 123, 319–327. [Google Scholar] [CrossRef]
- Levashov, E.A.; Mukasyan, A.S.; Rogachev, A.S.; Shtansky, D.V. Self-propagating high-temperature synthesis of advanced materials and coatings. Int. Mater. Rev. 2017, 62, 203–239. [Google Scholar] [CrossRef]
- Shtansky, D.V.; Sheveyko, A.N.; Sorokin, D.I.; Lev, L.C.; Mavrin, B.N.; Kiryukhantsev-Korneev, P.V. Structure and properties of multi-component and multilayer TiCrBN/WSex coatings deposited by sputtering of TiCrB and WSe2 targets. Surf. Coat. Technol. 2008, 202, 5953–5961. [Google Scholar] [CrossRef]
- Levashov, E.A.; Shtansky, D.V.; KiryukhantsevKorneev, P.V.; Petrzhik, M.I.; Tyurina, M.Y.; Sheveiko, A.N. Multifunctional nanostructured coatings: Formation, structure, and the uniformity of measuring their mechanical and tribological properties. Russ. Metall. 2010, 10, 917–935. [Google Scholar] [CrossRef]
- Avila, P.R.T.; da Silva, E.P.; Rodrigues, A.M.; Aristizabal, K.; Pineda, F.; Coelho, R.S.; Garcia, G.L.; Soldera, F.; Walczak, M.; Pinto, H.C. On manufacturing multilayer-like nanostructures using misorientation gradients in PVD films. Sci. Rep. 2019, 9, 15898. [Google Scholar] [CrossRef] [PubMed]
- Szala, M.; Walczak, M.; Pasierbiewicz, K.; Kamiński, M. Cavitation Erosion and Sliding Wear Mechanisms of AlTiN and TiAlN Films Deposited on Stainless Steel Substrate. Coatings 2019, 9, 340. [Google Scholar] [CrossRef]
- Niu, Y.; Huang, L.; Zhai, C.; Zeng, Y.; Zheng, X.; Ding, C. Microstructure and thermal stability of TaSi2 coating fabricated by vacuum plasma spray. Surf. Coat. Technol. 2015, 279, 1–8. [Google Scholar] [CrossRef]
- Chen, Y.-I.; Lin, K.-Y.; Wang, H.-H.; Cheng, Y.-R. Characterization of Ta–Si–N coatings prepared using direct current magnetron co-sputtering. Appl. Surf. Sci. 2014, 305, 805–816. [Google Scholar] [CrossRef]
- Nah, J.W.; Hwang, S.K.; Lee, C.M. Development of a complex heat resistant hard coating based on (Ta, Si)N by reactive sputtering. Mater. Chem. Phys. 2000, 62, 115–121. [Google Scholar] [CrossRef]
- Koller, C.M.; Marihart, H.; Bolvardi, H.; Kolozsvari, S.; Mayrhofer, P.H. Structure, phase evolution, and mechanical properties of DC, pulsed DC, and high power impulse magnetron sputtered Ta–N films. Surf. Coat. Technol. 2018, 347, 304–312. [Google Scholar] [CrossRef]
- Liu, X.; Yuan, F.; Wei, Y. Grain size effect on the hardness of nanocrystal measured by the nanosize indenter. Appl. Surf. Sci. 2013, 279, 159–166. [Google Scholar] [CrossRef]
- Poladi, A.; Mohammadian Semnani, H.R.; Emadoddin, E.; Mahboubi, F.; Ghomi, H.R. Nanostructured TaC film deposited by reactive magnetron sputtering: Influence of gas concentration on structural, mechanical, wear and corrosion properties. Ceram. Int. 2019, 45, 8095–8107. [Google Scholar] [CrossRef]
- Hu, J.; Li, H.; Li, J.; Huang, J.; Kong, J.; Zhu, H.; Xiong, D. Structure, mechanical and tribological properties of TaCx composite films with different graphite powers. J. Alloys Compd. 2020, 832, 153769. [Google Scholar] [CrossRef]
- Leyland, A.; Matthews, A. On the significance of the H/E ratio in wear control: A nanocomposite coating approach to optimised tribological behavior. Wear 2000, 246, 1–11. [Google Scholar] [CrossRef]
- Levashov, E.A.; Petrzhik, M.I.; Shtansky, D.V.; Kiryukhantsev-Korneev, P.V.; Sheveyko, A.N.; Valiev, R.Z.; Gunderov, D.V.; Prokoshkin, S.D.; Korotitskiy, A.V.; Smolin, A.Y. Nanostructured titanium alloys and multicomponent bioactive films: Mechanical behavior at indentation. Mater. Sci. Eng. A 2013, 570, 51–62. [Google Scholar] [CrossRef]
- Shtansky, D.V.; Bondarev, A.V.; Kiryukhantsev-Korneev, P.V.; Sheveyko, A.N.; Pogozhev, Y.S. Influence of Zr and O on the structure and properties of TiC(N) coatings deposited by magnetron sputtering of composite TiC0.5+ZrO2 and (Ti, Zr)C0.5+ZrO2 targets. Surf. Coat. Technol. 2012, 206, 2506–2514. [Google Scholar] [CrossRef]
- Martinez-Martinez, D.; Lopez-Cartes, C.; Justo, A.; Fernandez, A.; Sanchez-Lopez, J.C. Self-lubricating Ti–C–N nanocomposite coatings prepared by double magnetron sputtering. Solid State Sci. 2009, 11, 660–670. [Google Scholar] [CrossRef]
- Du, S.; Zhang, K.; Meng, Q.; Ren, P.; Hu, C.; Wen, M.; Zheng, W. N dependent tribochemistry: Achieving superhard wear-resistant low-friction TaCxNy films. Surf. Coat. Technol. 2017, 328, 378–389. [Google Scholar] [CrossRef]
- Khanna, A.S. Introduction to High Temperature Oxidation and Corrosion; ASM International: Materials Park, OH, USA, 2002; p. 101. [Google Scholar]
- Evans, H.E. Cracking and spalling of protective oxide layers. Mater. Sci. Eng. A 1989, 120–121, 139–146. [Google Scholar] [CrossRef]
- Pan, X.; Li, C.; Niu, Y.; Zhong, X.; Huang, L.; Zeng, Y.; Zheng, X. Effect of Yb2O3 addition on oxidation/ablation behaviors of ZrB2-MoSi2 composite coating under different environment. Corr. Sci. 2020, 175, 108882. [Google Scholar] [CrossRef]
- Wang, J.; Li, B.; Li, R.; Chen, X.; Wang, T.; Zhang, G. Unprecedented oxidation resistance at 900 °C of Mo–Si–B composite with addition of ZrB2. Ceram. Int. 2020, 46, 14632–14639. [Google Scholar] [CrossRef]
- Hassan, R.; Kundu, R.; Balani, K. Oxidation behavior of coarse and fine SiC reinforced ZrB2 at re-entry and atmospheric oxygen pressures. Ceram. Int. 2020, 46, 11056–11065. [Google Scholar] [CrossRef]










| Sample | Gas Flow Rate, sccm | Chemical Composition, at.% | Thickness, µm | Deposition Rate, nm/min | |||||||
|---|---|---|---|---|---|---|---|---|---|---|---|
| Ar | N2 | C2H4 | Ta | Zr | Si | B | N | C | |||
| 1 | 25 | 0 | 0 | 40.0 | 7.6 | 28.0 | 24.6 | 0 | 0 | 7.3 | 182 |
| 2 | 20 | 5 | 0 | 27.2 | 7.7 | 22.3 | 22.2 | 20.4 | 0 | 7.2 | 180 |
| 3 | 15 | 10 | 0 | 19.3 | 5.4 | 17.1 | 15.6 | 42.4 | 0 | 8.0 | 200 |
| 4 | 20 | 0 | 5 | 28.1 | 10.1 | 25.6 | 23.5 | 0 | 12.4 | 6.3 | 157 |
| 5 | 15 | 0 | 10 | 22.1 | 8.0 | 21.1 | 18.3 | 0 | 30.3 | 7.0 | 175 |
| Sample | H, GPa | E, GPa | H/E | H3/E2, GPa | W, % | σ, GPa | Oxide Layer Thickness, µm | |
|---|---|---|---|---|---|---|---|---|
| T = 1000 °C | T = 1200 °C | |||||||
| 1 | 12.5 | 208 | 0.060 | 0.045 | 43.4 | N/A | 3.5 | 12.2 (complete oxidation) |
| 2 | 18.2 | 233 | 0.078 | 0.111 | 57.3 | N/A | 4.4 | 8.2 |
| 3 | 29.2 | 279 | 0.105 | 0.320 | 77.9 | −0.53 | 3.4 | 8.0 |
| 4 | 21.3 | 267 | 0.080 | 0.136 | 62.4 | −0.77 | 3.6 | 3.6 |
| 5 | 28.3 | 288 | 0.098 | 0.273 | 76.4 | −0.72 | 3.8 | 6.9 |
© 2020 by the authors. Licensee MDPI, Basel, Switzerland. This article is an open access article distributed under the terms and conditions of the Creative Commons Attribution (CC BY) license (http://creativecommons.org/licenses/by/4.0/).
Share and Cite
Kiryukhantsev-Korneev, P.V.; Sytchenko, A.D.; Vorotilo, S.A.; Klechkovskaya, V.V.; Lopatin, V.Y.; Levashov, E.A. Structure, Oxidation Resistance, Mechanical, and Tribological Properties of N- and C-Doped Ta-Zr-Si-B Hard Protective Coatings Obtained by Reactive D.C. Magnetron Sputtering of TaZrSiB Ceramic Cathode. Coatings 2020, 10, 946. https://doi.org/10.3390/coatings10100946
Kiryukhantsev-Korneev PV, Sytchenko AD, Vorotilo SA, Klechkovskaya VV, Lopatin VY, Levashov EA. Structure, Oxidation Resistance, Mechanical, and Tribological Properties of N- and C-Doped Ta-Zr-Si-B Hard Protective Coatings Obtained by Reactive D.C. Magnetron Sputtering of TaZrSiB Ceramic Cathode. Coatings. 2020; 10(10):946. https://doi.org/10.3390/coatings10100946
Chicago/Turabian StyleKiryukhantsev-Korneev, Ph. V., A. D. Sytchenko, S. A. Vorotilo, V. V. Klechkovskaya, V. Yu. Lopatin, and E. A. Levashov. 2020. "Structure, Oxidation Resistance, Mechanical, and Tribological Properties of N- and C-Doped Ta-Zr-Si-B Hard Protective Coatings Obtained by Reactive D.C. Magnetron Sputtering of TaZrSiB Ceramic Cathode" Coatings 10, no. 10: 946. https://doi.org/10.3390/coatings10100946
APA StyleKiryukhantsev-Korneev, P. V., Sytchenko, A. D., Vorotilo, S. A., Klechkovskaya, V. V., Lopatin, V. Y., & Levashov, E. A. (2020). Structure, Oxidation Resistance, Mechanical, and Tribological Properties of N- and C-Doped Ta-Zr-Si-B Hard Protective Coatings Obtained by Reactive D.C. Magnetron Sputtering of TaZrSiB Ceramic Cathode. Coatings, 10(10), 946. https://doi.org/10.3390/coatings10100946

