Acute Cystitis Symptom Score (ACSS): Clinical Validation of the Italian Version
Abstract
1. Introduction
2. Materials and Methods
2.1. Clinical and Microbiological Considerations
2.2. The ACSS Questionaire
2.3. Translation Process
2.4. Recruitment and Validation of the Cohort Population
2.5. Data Analysis and Ethical Consideration
2.6. Ethical Approval
3. Results
3.1. Demographics
3.2. Microbiological Findings
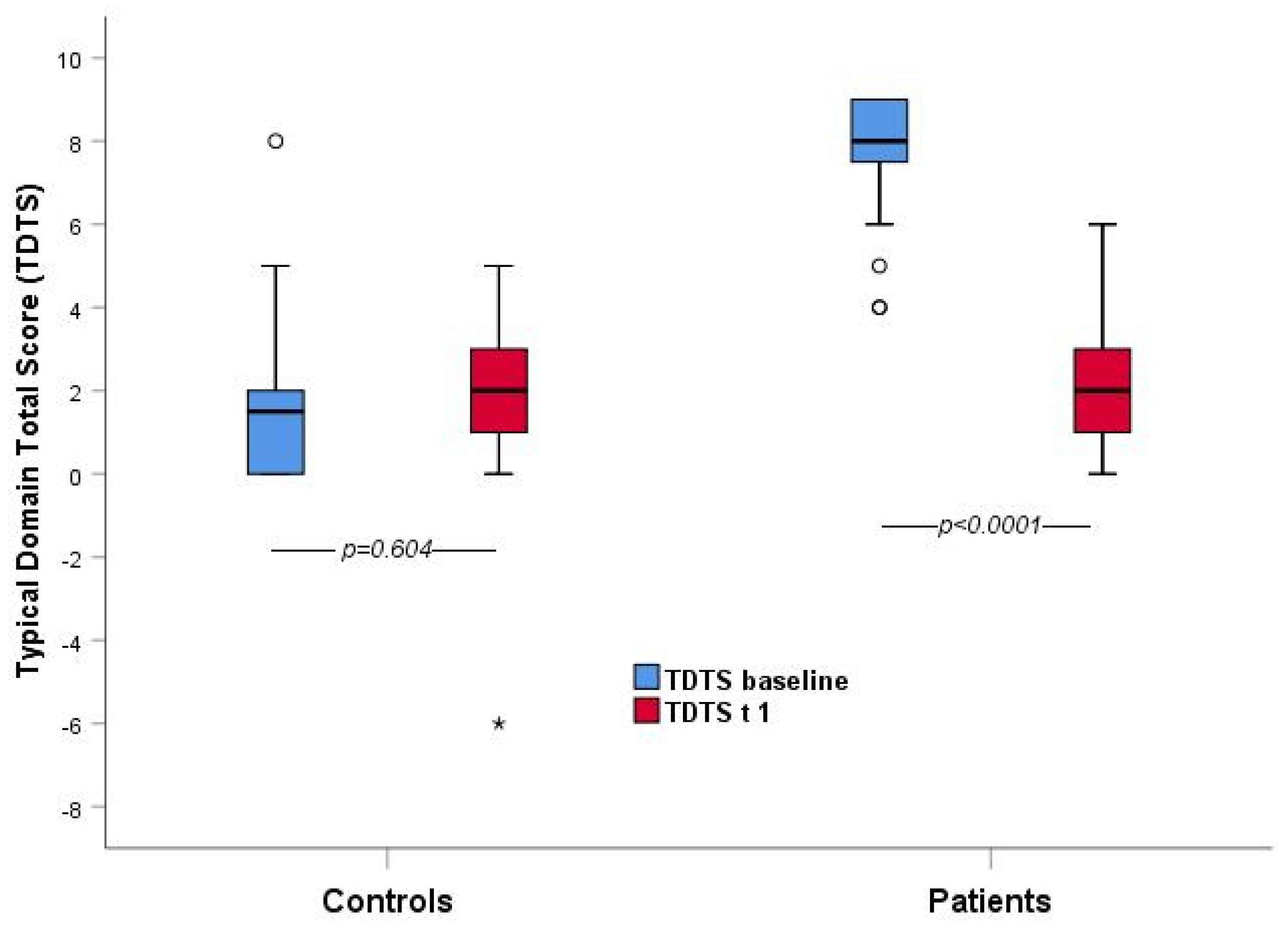
3.3. Validity and Reliability
3.4. Comparative Analysis
4. Discussion
4.1. Main Findings
4.2. Results in the Context of Previous Studies and Clinical Applicability
4.3. Study Limitations
5. Conclusions
Supplementary Materials
Author Contributions
Funding
Conflicts of Interest
Copyright and Translations of the ACSS in Other Languages
References
- Foxman, B.; Brown, P. Epidemiology of urinary tract infections: Transmission and risk factors, incidence, and costs. Infect. Dis. Clin. North Am. 2003, 17, 227–241. [Google Scholar] [CrossRef]
- Colgan, R.; Keating, K.; Dougouih, M. Survey of Symptom Burden in Women with Uncomplicated Urinary Tract Infections M. Clin. Drug Investig. 2004, 24, 55. [Google Scholar] [CrossRef]
- Bonkat, G.; Bartoletti, R.; Bruyère, F.; Cai, T.; Geerlings, S.E.; Köves, B.; Schubert, S.; Wagenlehner, F.; Wagenlehner Guidelines Associates; Mezei, T.; et al. Guidelines EA. In Proceedings of the EAU Annual Congress Barcelona 2019, Barcelona, Spain, 15–19 March 2019; ISBN 978-94-92671-04-2. [Google Scholar]
- Galatti, L.; Sessa, A.; Mazzaglia, G.; Pecchioli, S.; Rossi, A.; Cricelli, C.; Caputi, A.P. Antibiotic prescribing for acute and recurrent cystitis in primary care: A 4 year descriptive study. J. Antimicrob. Chemother. 2006, 57, 551–556. [Google Scholar] [CrossRef]
- Allerberger, F.; Gareis, R.; Jindrák, V.; Struelens, M.J. Antibiotic stewardship implementation in the EU: The way forward. Expert Rev. Anti-Infect. Ther. 2009, 7, 1175–1183. [Google Scholar] [CrossRef]
- Lesprit, P.; Brun-Buisson, C. Current Opinion in Infectious Diseases. Hosp. Antibiot. Steward. 2008, 21, 344–349. [Google Scholar] [CrossRef]
- Alidjanov, J.F.; Naber, K.G.; Abdufattaev, U.A.; Pilatz, A.; Wagenlehner, F.M. Reevaluation of the Acute Cystitis Symptom Score, a Self-Reporting Questionnaire. Part I. Development, Diagnosis and Differential Diagnosis. Antibiotics 2018, 7, 6. [Google Scholar] [CrossRef]
- Alidjanov, J.F.; Abdufattaev, U.A.; Makhsudov, S.A.; Pilatz, A.; Akilov, F.A.; Naber, K.G.; Wagenlehner, F.M. New Self-Reporting Questionnaire to Assess Urinary Tract Infections and Differential Diagnosis: Acute Cystitis Symptom Score. Urol. Int. 2014, 92, 230–236. [Google Scholar] [CrossRef]
- Alidjanov, J.F.; Abdufattaev, U.A.; Makhmudov, D.; Mirkhamidov, D.; Khadzhikhanov, F.A.; Azgamov, A.V.; Akilov, F.A. Development and clinical testing of the Russian version of the Acute Cystitis Symptom Score-ACSS. Urologiia 2014, 6, 14–22. [Google Scholar]
- Alidjanov, J.F.; Pilatz, A.; Abdufattaev, U.A.; Wiltink, J.; Weidner, W.; Naber, K.G.; Wagenlehner, F. German validation of the acute cystitis symptom score. Der Urol. 2015, 54, 1269–1276. [Google Scholar] [CrossRef]
- Alidjanov, J.F.; Lima, H.A.; Pilatz, A.; Pickard, R.; Naber, K.G.; Safaev, Y.U.; Wagenlehner, F.M. Preliminary Clinical Validation of the UK English Version of the Acute Cystitis Symptom Score in UK English-speaking female population of the Newcastle, Great Britain. JOJ Uro Nephron 2017, 1, 555561. [Google Scholar]
- Magyar, A.; Alidjanov, J.; Pilatz, A.; Nagy, K.; Arthanareeswaran VK, A.; Póth, S.; Köves, B. The role of the Acute Cystitis Symptom Score questionnaire for research and antimicrobial stewardship. Validation of the Hungarian version. Cent. Eur. J Urol. 2018, 71, 134–141. [Google Scholar] [CrossRef]
- ACSS Home. Available online: http://www.ACSS.world (accessed on 30 January 2020).
- Likert, R. A Technique for the Measurement of Attitudes. Arch. Psychol. 1932, 140, 1–55. [Google Scholar]
- Koller, M.; West, K. Linguistic Validation Manual for Patient-Reported Outcomes (PRO) Instruments. Qual. Life Res. 2004, 14, 1791. [Google Scholar] [CrossRef]
- Stephens, M.A. Test of fit for the logistic distribution based on the empirical distribution function. Biometrika 1979, 66, 591–595. [Google Scholar] [CrossRef]
- Mann, H.B. On a Test of Whether One of Two Random Variables is Stochastically Larger than the other. Ann. Math. Statist. 1947, 18, 50–60. [Google Scholar] [CrossRef]
- Wilcoxon, F. Individual comparisons by ranking methods. Biom. Bull. 1937, 1, 80–83. [Google Scholar] [CrossRef]
- Spearman, C. The proof and measurement of association between two things. Am. J. Psychol. 1904, 15, 72–101. [Google Scholar] [CrossRef]
- Castro-Diaz, D.; Cardozo, L.; Chapple, C.R.; Espuña, M.; Kelleher, C.; Kirby, M.; Tubaro, A. Urgency and pain in patients with overactive bladder and bladder pain syndrome. What are the differences? Int. J. Clin. Pract. 2014, 3, 356–362. [Google Scholar] [CrossRef]
- Sun, Y.; Harlow, B.L. The association of vulvar pain and urological urgency and frequency: Findings from a community based case-control study. Int. Urogyn. J. 2019, 30, 1871–1878. [Google Scholar] [CrossRef]
- Safdar, N.; Abbo, L.M.; Knoblock, M.; Seo, S.K. Research methods in healthcare epidemiology: Survey and qualitative research. Infect. Control Hosp. Epidemiol. 2016, 37, 1272–1277. [Google Scholar] [CrossRef]
- Alidjanov, J.F.; Naber, K.G.; Pilatz, A.; Radzhabov, A.; Zamuddinov, M.; Magyar, A.; Tenke, P.; Wagenlehner, F.M. Evaluation of the draft guidelines proposed by EMA and FDA for the clinical diagnosis of acute uncomplicated cystitis in women. World J. Urol. 2020, 38, 63–72. [Google Scholar] [CrossRef] [PubMed]




| Patients (n = 54) | Controls (n = 46) | |||||
|---|---|---|---|---|---|---|
| Age: Median (IQR) | 38 (28; 49) | 36.5 (25; 44) | ||||
| Likert Scale | Median (IQR) | Median (IQR) | p-value | |||
| Frequency (n) | 0 (no) | 0 | 1 (1; 2) | 33 | 0 (0; 1) | <0.0001 |
| 1 (mild) | 17 | 11 | ||||
| 2 (moderate) | 22 | 2 | ||||
| 3 (severe) | 15 | 0 | ||||
| Urgency (n) | 0 (no) | 0 | 2 (1; 2) | 30 | 0 (0; 1) | <0.0001 |
| 1 (mild) | 16 | 10 | ||||
| 2 (moderate) | 28 | 6 | ||||
| 3 (severe) | 10 | 0 | ||||
| Painful Urination (n) | 0 (no) | 7 | 1 (1; 2) | 33 | 0 (0; 1) | <0.0001 |
| 1 (mild) | 24 | 12 | ||||
| 2 (moderate) | 14 | 1 | ||||
| 3 (severe) | 9 | 0 | ||||
| Incomplete Emptying (n) | 0 (no) | 6 | 1 (1; 1) | 35 | 0 (0; 0) | <0.0001 |
| 1 (mild) | 29 | 10 | ||||
| 2 (moderate) | 13 | 1 | ||||
| 3 (severe) | 6 | 0 | ||||
| Soprapubic Pain (n) | 0 (no) | 6 | 1 (1; 2) | 38 | 0 (0; 0) | <0.0001 |
| 1 (mild) | 26 | 7 | ||||
| 2 (moderate) | 16 | 1 | ||||
| 3 (severe) | 6 | 0 | ||||
| Hematuria (n) | 0 (no) | 6 | 1 (1; 1) | 43 | 0 (0; 0) | <0.0001 |
| 1 (mild) | 32 | 2 | ||||
| 2 (moderate) | 15 | 1 | ||||
| 3 (severe) | 16 | 0 | ||||
| Flank Pain (n) | 0 (no) | 25 | 1 (0; 2) | 44 | 0 (0; 0) | <0.0001 |
| 1 (mild) | 13 | 2 | ||||
| 2 (moderate) | 16 | 0 | ||||
| 3 (severe) | 0 | 0 | ||||
| Vaginal Discharge (n) | 0 (no) | 19 | 1 (0; 2) | 46 | 0 (0; 0) | 0.0003 |
| 1 (mild) | 16 | 0 | ||||
| 2 (moderate) | 18 | 0 | ||||
| 3 (severe) | 0 | 0 | ||||
| Urethral Discharge (n) | 0 (no) | 19 | 1 (0; 1) | 38 | 0 (0; 0) | <0.0001 |
| 1 (mild) | 24 | 7 | ||||
| 2 (moderate) | 9 | 1 | ||||
| 3 (severe) | 2 | 0 | ||||
| Feeling Feverish (n) | 0 (no) | 20 | 1 (0; 1) | 46 | 0 (0; 0) | <0.0001 |
| 1 (mild) | 23 | 0 | ||||
| 2 (moderate) | 11 | 0 | ||||
| 3 (severe) | 0 | 0 | ||||
| General Discomfort (n) | 0 (no) | 1 | 2 (1; 3) | 40 | 0 (0; 0) | <0.0001 |
| 1 (mild) | 14 | 6 | ||||
| 2 (moderate) | 21 | 0 | ||||
| 3 (severe) | 18 | 0 | ||||
| Impact on Everyday Activity (n) | 0 (no) | 6 | 2 (1; 2) | 42 | 0 (0; 0) | <0.0001 |
| 1 (mild) | 16 | 4 | ||||
| 2 (moderate) | 23 | 0 | ||||
| 3 (severe) | 9 | 0 | ||||
| Impact on Social Life (n) | 0 (no) | 1 | 2 (1; 3) | 40 | 0 (0; 0) | <0.0001 |
| 1 (mild) | 15 | 5 | ||||
| 2 (moderate) | 18 | 1 | ||||
| 3 (severe) | 20 | 0 | ||||
© 2020 by the authors. Licensee MDPI, Basel, Switzerland. This article is an open access article distributed under the terms and conditions of the Creative Commons Attribution (CC BY) license (http://creativecommons.org/licenses/by/4.0/).
Share and Cite
Di Vico, T.; Morganti, R.; Cai, T.; Naber, K.G.; Wagenlehner, F.M.E.; Pilatz, A.; Alidjanov, J.; Morelli, G.; Bartoletti, R. Acute Cystitis Symptom Score (ACSS): Clinical Validation of the Italian Version. Antibiotics 2020, 9, 104. https://doi.org/10.3390/antibiotics9030104
Di Vico T, Morganti R, Cai T, Naber KG, Wagenlehner FME, Pilatz A, Alidjanov J, Morelli G, Bartoletti R. Acute Cystitis Symptom Score (ACSS): Clinical Validation of the Italian Version. Antibiotics. 2020; 9(3):104. https://doi.org/10.3390/antibiotics9030104
Chicago/Turabian StyleDi Vico, Tommaso, Riccardo Morganti, Tommaso Cai, Kurt G. Naber, Florian M. E. Wagenlehner, Adrian Pilatz, Jakhongir Alidjanov, Girolamo Morelli, and Riccardo Bartoletti. 2020. "Acute Cystitis Symptom Score (ACSS): Clinical Validation of the Italian Version" Antibiotics 9, no. 3: 104. https://doi.org/10.3390/antibiotics9030104
APA StyleDi Vico, T., Morganti, R., Cai, T., Naber, K. G., Wagenlehner, F. M. E., Pilatz, A., Alidjanov, J., Morelli, G., & Bartoletti, R. (2020). Acute Cystitis Symptom Score (ACSS): Clinical Validation of the Italian Version. Antibiotics, 9(3), 104. https://doi.org/10.3390/antibiotics9030104

