In Vitro Synergy of Pongamia pinnata Extract in Combination with Antibiotics for Inhibiting and Killing Methicillin-Resistant Staphylococcus aureus
Abstract
1. Introduction
2. Materials and Methods
2.1. Bacterial Strains
2.2. Pulsed-field Gel Electrophoresis
2.3. Preparation of Aqueous Seed Coat Extracts
2.4. Minimum Inhibitory Concentration (MIC) and Minimum Bactericidal Concentration (MBC) of P. pinnata Extract
2.5. Antibiotics
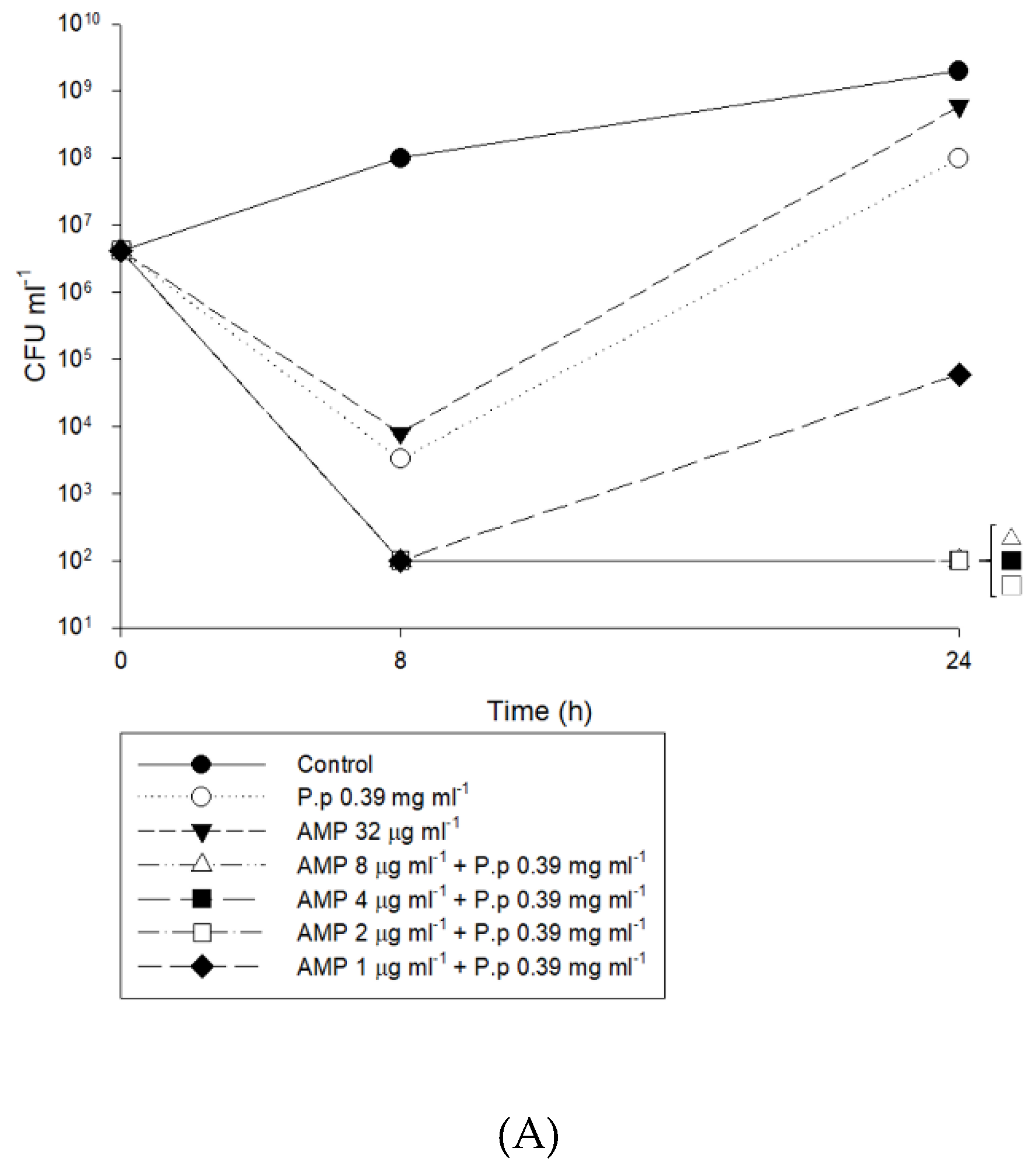
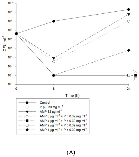
2.6. Time-kill Studies
2.7. Checkerboard Microdilution Assay
3. Results
4. Discussion
Author Contributions
Funding
Acknowledgments
Conflicts of Interest
References
- Oteo, J.; Miró, E.; Pérez-Vázquez, M.; Navarro, F. Evolution of carbapenemase-producing Enterobacteriaceae at the global and national level: What should be expected in the future? Enferm. Infecc. Microbiol. Clin. 2014, 4, 17–23. [Google Scholar] [CrossRef]
- Ling, L.L.; Schneider, T.; Peoples, A.J.; Spoering, A.L.; Engels, I.; Conlon, B.P. A new antibiotic kills pathogen without detectable resistance. Nature 2015, 517, 455–459. [Google Scholar] [CrossRef] [PubMed]
- Arias, C.A.; Murray, B.E. A new antibiotic and the evolution of resistance. N. Engl. J. Med. 2015, 372, 1168–1170. [Google Scholar] [CrossRef] [PubMed]
- Liu, Q.; Yao, H. Antioxidant activities of barley seeds extracts. Food Chem. 2007, 102, 732–737. [Google Scholar] [CrossRef]
- Iqbal, S.; Bhanger, M.I.; Anwar, F. Antioxidant properties and components of bran extracts from selected wheat varieties commercially available in Pakistan. LWT—Food Sci. Technol. 2007, 40, 361–367. [Google Scholar] [CrossRef]
- Jigna, P.; Rathish, N.; Sumitra, C. Preliminary screening of some folklore medicinal plants from western India for potential antimicrobial activity. Indian J. Pharmacol. 2005, 37, 408. [Google Scholar]
- Parmar, B.; Sahrawat, K.; Mukerjee, S. Pongamia glabra: Constituents & uses. J. Sci. Ind. Res. 1976, 35, 608–6011. [Google Scholar]
- Li, L.; Li, X.; Shi, C.; Deng, Z.; Fu, H.; Proksch, P. Pongamone A–E, five flavonoids from the stems of a mangrove plant, Pongamia pinnata. Phytochemistry 2006, 67, 1347–1352. [Google Scholar] [CrossRef]
- Tanaka, T.; Ilnuma, M.; Yuki, K.; Fujii, Y.; Mizuno, M. Two new β-hydroxychalcones from the root bark of Pongamia pinnata. Chem. Pharm. Bull. 1991, 39, 1473–1475. [Google Scholar] [CrossRef]
- Kitagawa, I.; Zhang, R.; Hori, K.; Tsuchiya, K.; Shibuya, H. Indonesian medicinal plants. II. Chemical structures of Pongapinones A and B, two new phenylpropanoids from the bark of Pongamia pinnata (Papilionaceae). Chem. Pharm. Bull. (Tokyo) 1992, 40, 2041–2043. [Google Scholar] [CrossRef]
- Mamatha, B. Screening of medicinal plants used in rural Indian folk medicine for treatment of diarrhoea. Pharmaceutical Reviews. 2006. Available online: http://www.pharmainfo.net/e-journal (accessed on 12 April 2019).
- Carcache-Blanco, E.J.; Kang, Y.-H.; Park, E.J.; Su, B.-N.; Kardono, L.B.; Riswan, S. Constituents of the stem bark of Pongamia pinnata with the potential to induce quinone reductase. J. Nat. Prod. 2003, 66, 1197–1202. [Google Scholar] [CrossRef] [PubMed]
- Garcia-Garrote, F.; Cercenado, E.; Marin, M.; Bal, M.; Trincado, P.; Corredoira, J. Methicillin-resistant Staphylococcus aureus carrying the mecC gene: Emergence in Spain and report of a fatal case of bacteraemia. J. Antimicrob. Chemother. 2014, 69, 45–50. [Google Scholar] [CrossRef]
- Cookson, B.D.; Robinson, D.A.; Monk, A.B.; Murchan, S.; Deplano, A.; De Ryck, R. Evaluation of molecular typing methods in characterizing a European collection of epidemic methicillin-resistant Staphylococcus aureus strains: The HARMONY collection. J. Clin. Microbiol. 2007, 45, 1830–1837. [Google Scholar] [CrossRef]
- Bosch, T.; de Neeling, A.J.; Schouls, L.M.; van der Zwaluw, K.W.; Kluytmans, J.A.; Grundmann, H. PFGE diversity within the methicillin-resistant Staphylococcus aureus clonal lineage ST398. BMC Microbiol. 2010, 10, 40. [Google Scholar] [CrossRef]
- Clinical and Laboratory Standards Institute. Methods for Dilution Antimicrobial Susceptibility Tests for Bacteria that Grow Aerobically—18th Edition Approved Standard M07-A7; CLSI: Wayne, PA, USA, 2006. [Google Scholar]
- Clinical and Laboratory Standards Institute. Performance Standards for Antimicrobial Susceptibility Testing; 16th Informational Supplement. Document M100-S16; CLSI: Wayne, PA, USA, 2006. [Google Scholar]
- National Committee for Clinical Laboratory Standards. Methods for Determining Bactericidal Activity of Antimicrobial Agents; Approved Guideline. Document M26-A; NCCLS: Wayne, PA, USA, 1999. [Google Scholar]
- White, R.L.; Burgess, D.S.; Manduru, M.; Bosso, J.A. Comparison of three different in vitro methods of detecting synergy: Time-kill, checkerboard, and E test. Antimicrob. Agents Chemother. 1996, 40, 1914–1918. [Google Scholar] [CrossRef] [PubMed]
- Chopra, R.N.; Nayer, S.; Chopra, I. Glossary of Indian Medicinal Plants, 3rd ed.; Council of Scientific & Industrial Research: New Delhi, India, 1992. [Google Scholar]
- Punitha, R.; Manoharan, S. Antihyperglycemic and antilipidperoxidative effects of Pongamia pinnata (Linn.) Pierre flowers in alloxan induced diabetic rats. J. Ethnopharmacol. 2006, 105, 39–46. [Google Scholar] [CrossRef] [PubMed]
- Shabir, G.; Anwar, F.; Sultana, B.; Khalid, Z.M.; Afzal, M.; Khan, Q.M. Antioxidant and antimicrobial attributes and phenolics of different solvent extracts from leaves, flowers and bark of Gold Mohar [Delonix regia (Bojer ex Hook.) Raf]. Molecules 2011, 16, 7302–7319. [Google Scholar] [CrossRef]
- Babu, D.R.; Rao, G.N. In vitro studies on extracts of Pongamia pinnata (L.) Pierre flowers as a potent antioxidant. Int. J. Agric. Food Sci. Technol. 2010, 1, 7–11. [Google Scholar]
- Sajid, Z.I.; Anwar, F.; Shabir, G.; Rasul, G.; Alkharfy, K.M.; Gilani, A.H. Antioxidant, antimicrobial properties and phenolics of different solvent extracts from bark, leaves and seeds of Pongamia pinnata (L.) Pierre. Molecules 2012, 17, 3917–3932. [Google Scholar] [CrossRef]
- Climo, M.W.; Patron, R.L.; Archer, G.L. Combinations of vancomycin and beta-lactams are synergistic against staphylococci with reduced susceptibilities to vancomycin. Antimicrob. Agents Chemother. 1999, 43, 1747–1753. [Google Scholar] [CrossRef]
- Sowjanya, P.; Srinivasa Babu, P.; Neelima Lakshmi, D.; Navyasri, Y.; Harshini, J. A phyto pharmacological review on a versatile medicinal plant: Pongamia pinnata (L.) pierre. J. Pharmacogn. Phytochem. 2018, 7, 459–463. [Google Scholar]
- Gargade, V.A.; Kadam, D.G. In vitro evaluation of antibacterial potential of Pongamia pinnata L. against Xanthomonas axonopodis punicae, phytopathovar of bacterial blight of Pomegranate (Punica granatum). Int. J. Curr. Microbiol. App. Sci. 2015, 4, 824–833. [Google Scholar]
- Aneela, S.; De, S.; Lakshmi, K.K.; Choudhury, N.; Das, B.L.; Vidya Sagar, K. Acute oral toxicity studies of Pongamia pinnata and Annona squamosa on Albino Wister rats. Int. J. Res. Pharm. Chem. 2011, 1, 820–824. [Google Scholar]
- Chandni, G.; Ashwani, U. Oral toxicity study of Karanja seed churana (Pongamia pinnata pierre) on Albino rats. Int J. Adv. Res. 2017, 5, 159–168. [Google Scholar] [CrossRef]






| Isolates. | MBC (mg mL−1) | MIC (mg mL−1) | MBC/MIC |
|---|---|---|---|
| MRSA 252 | 0.78 | 0.78 | 1 |
| MRSA 3315 | 1.56 | 0.39 | 4 |
| MRSA 3322 | 1.56 | 0.78 | 2 |
| MRSA 3337 | 1.56 | 0.39 | 4 |
| MRSA 3509 | 1.56 | 0.39 | 4 |
| MRSA 3562 | 1.56 | 0.39 | 4 |
| MRSA 3626 | 0.78 | 0.78 | 1 |
| MRSA 3635 | 3.12 | 0.78 | 2 |
| MRSA 3641 | 1.56 | 0.78 | 2 |
| MRSA 3643 | 1.56 | 0.39 | 4 |
| Class | Antibiotic | FIC Index | Range | Mean | SD | ||
|---|---|---|---|---|---|---|---|
| > 4 | > 0.5, ≤ 4 | ≤ 0.5 | |||||
| Penicillins | Ampicillin | 0 | 0 | 10 | 0.25–0.5 | 0.43 | 0.1 |
| Carbapenems | Meropenem | 0 | 0 | 10 | 0.25–0.5 | 0.36 | 0.09 |
| Cephalosporins | Cefazolin | 0 | 0 | 10 | 0.266–0.375 | 0.33 | 0.04 |
| Cefuroxime | 0 | 3 | 7 | 0.266–0.504 | 0.4 | 0.1 | |
| Cefotaxime | 0 | 1 | 9 | 0.188–0.516 | 0.33 | 0.11 | |
| Cefpirome | 0 | 1 | 9 | 0.281–0.563 | 0.46 | 0.09 | |
| Monobactams | Aztreonam | 0 | 10 | 0 | 0.75–1 | 0.98 | 0.08 |
© 2020 by the authors. Licensee MDPI, Basel, Switzerland. This article is an open access article distributed under the terms and conditions of the Creative Commons Attribution (CC BY) license (http://creativecommons.org/licenses/by/4.0/).
Share and Cite
Su, P.-A.; Li, S.-L.; Tang, H.-J.; Chen, C.-C.; Lu, Y.-C.; Cheng, K.-C.; Lin, Y.-C.; Chuang, Y.-C.; Lai, C.-C. In Vitro Synergy of Pongamia pinnata Extract in Combination with Antibiotics for Inhibiting and Killing Methicillin-Resistant Staphylococcus aureus. Antibiotics 2020, 9, 103. https://doi.org/10.3390/antibiotics9030103
Su P-A, Li S-L, Tang H-J, Chen C-C, Lu Y-C, Cheng K-C, Lin Y-C, Chuang Y-C, Lai C-C. In Vitro Synergy of Pongamia pinnata Extract in Combination with Antibiotics for Inhibiting and Killing Methicillin-Resistant Staphylococcus aureus. Antibiotics. 2020; 9(3):103. https://doi.org/10.3390/antibiotics9030103
Chicago/Turabian StyleSu, Po-An, Shun-Lai Li, Hung-Jen Tang, Chi-Chung Chen, Ying-Chen Lu, Kuo-Chen Cheng, Yi-Chung Lin, Yin-Ching Chuang, and Chih-Cheng Lai. 2020. "In Vitro Synergy of Pongamia pinnata Extract in Combination with Antibiotics for Inhibiting and Killing Methicillin-Resistant Staphylococcus aureus" Antibiotics 9, no. 3: 103. https://doi.org/10.3390/antibiotics9030103
APA StyleSu, P.-A., Li, S.-L., Tang, H.-J., Chen, C.-C., Lu, Y.-C., Cheng, K.-C., Lin, Y.-C., Chuang, Y.-C., & Lai, C.-C. (2020). In Vitro Synergy of Pongamia pinnata Extract in Combination with Antibiotics for Inhibiting and Killing Methicillin-Resistant Staphylococcus aureus. Antibiotics, 9(3), 103. https://doi.org/10.3390/antibiotics9030103

