Acquisition Origin Matters: Clinical, Microbiological and Immunological Characteristics and Treatment Effects in Community- vs. Hospital-Acquired Septic Shock
Abstract
1. Introduction
2. Results
3. Discussion
4. Materials and Methods
5. Conclusions
- –
- CA patients had higher severity scores (SAPS II, SOFA) at shock onset.
- –
- HA patients had more pre-existing comorbidities, including liver cirrhosis and immunosuppression.
- –
- Surgical patients were more frequent in the HA group.
- –
- HA septic shock showed higher prevalence multidrug-resistant organisms (MDROs).
- –
- In CA patients, procalcitonin levels were higher, and platelet and monocyte counts were lower, indicating a more intense inflammatory response.
- –
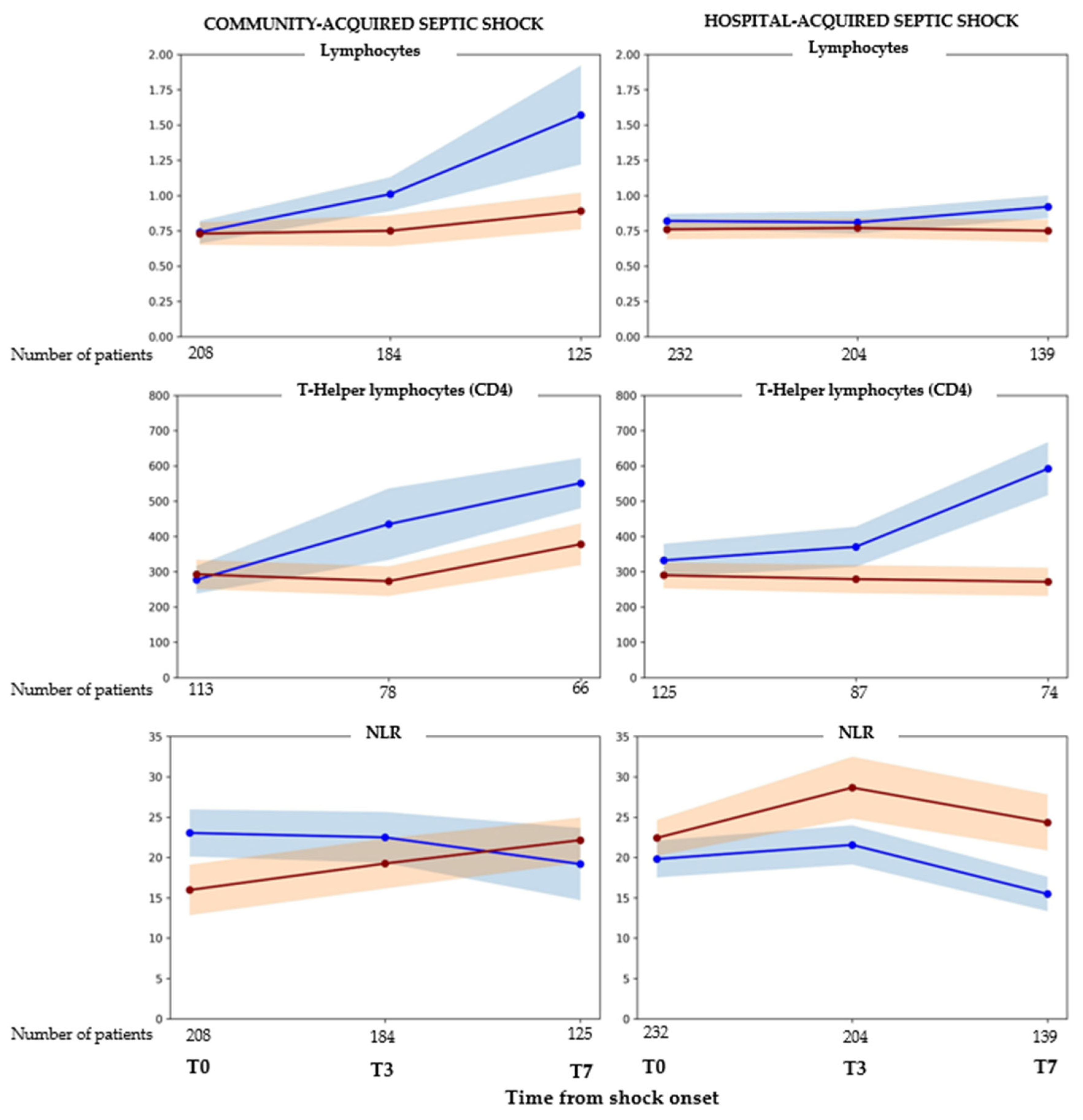
- CA survivors showed increasing total lymphocyte and T helper lymphocyte counts over the first week.
- –
- HA patients exhibited prolonged immune dysregulation and less broad lymphocyte recovery.
- –
- Invasive mechanical ventilation, empirical antibiotic therapy appropriateness, steroids and immunoglobulin use were similar across groups.
- –
- HA patients required more frequently renal replacement therapy.
- –
- HA patients exhibited significantly higher ICU and hospital mortality rates with survival curves diverged after 10 days.
- –
- Slightly higher incidence of secondary bacterial infections in HA group.
- –
- Age, SAPS II score, and liver cirrhosis independently predicted mortality.
- –
- No treatment modality independently improved mortality in either group.
Supplementary Materials
Author Contributions
Funding
Institutional Review Board Statement
Informed Consent Statement
Data Availability Statement
Acknowledgments
Conflicts of Interest
References
- La Via, L.; Sangiorgio, G.; Stefani, S.; Marino, A.; Nunnari, G.; Cocuzza, S.; La Mantia, I.; Cacopardo, B.; Stracquadanio, S.; Spampinato, S.; et al. The Global Burden of Sepsis and Septic Shock. Epidemiologia 2024, 5, 456–478. [Google Scholar] [CrossRef]
- Papathanakos, G.; Andrianopoulos, I.; Xenikakis, M.; Papathanasiou, A.; Koulenti, D.; Blot, S.; Koulouras, V. Clinical Sepsis Phenotypes in Critically Ill Patients. Microorganisms 2023, 11, 2165. [Google Scholar] [CrossRef] [PubMed]
- Seymour, C.W.; Kennedy, J.N.; Wang, S.; Chang, C.-C.H.; Elliott, C.F.; Xu, Z.; Berry, S.; Clermont, G.; Cooper, G.; Gomez, H.; et al. Derivation, Validation, and Potential Treatment Implications of Novel Clinical Phenotypes for Sepsis. JAMA 2019, 321, 2003–2017. [Google Scholar] [CrossRef]
- Kattan, E.; Ospina-Tascón, G.A.; Teboul, J.-L.; Castro, R.; Cecconi, M.; Ferri, G.; Bakker, J.; Hernández, G. ANDROMEDA-SHOCK Investigators Systematic Assessment of Fluid Responsiveness during Early Septic Shock Resuscitation: Secondary Analysis of the ANDROMEDA-SHOCK Trial. Crit. Care 2020, 24, 23. [Google Scholar] [CrossRef]
- Martin-Loeches, I.; Levy, M.M.; Artigas, A. Management of Severe Sepsis: Advances, Challenges, and Current Status. Drug Des. Dev. Ther. 2015, 9, 2079–2088. [Google Scholar] [CrossRef]
- Singer, M.; Deutschman, C.S.; Seymour, C.W.; Shankar-Hari, M.; Annane, D.; Bauer, M.; Bellomo, R.; Bernard, G.R.; Chiche, J.-D.; Coopersmith, C.M.; et al. The Third International Consensus Definitions for Sepsis and Septic Shock (Sepsis-3). JAMA 2016, 315, 801–810. [Google Scholar] [CrossRef]
- Lamichhane, P.; Kalansuriya, I.; Manhalattummal, M.F.; Khanal, K.; Agrawal, A.; Pasam, T.; Pandit, P. Comparison of Outcomes of Community-Acquired Sepsis and Hospital-Acquired Sepsis in Critically Ill Patients: A Systematic Review and Meta-Analysis. Ann. Med. Surg. 2025, 87, 1569–1575. [Google Scholar] [CrossRef]
- Tonai, M.; Shiraishi, A.; Karumai, T.; Endo, A.; Kobayashi, H.; Fushimi, K.; Hayashi, Y. Hospital-Onset Sepsis and Community-Onset Sepsis in Critical Care Units in Japan: A Retrospective Cohort Study Based on a Japanese Administrative Claims Database. Crit. Care 2022, 26, 136. [Google Scholar] [CrossRef] [PubMed]
- Garvey, M. Hospital Acquired Sepsis, Disease Prevalence, and Recent Advances in Sepsis Mitigation. Pathogens 2024, 13, 461. [Google Scholar] [CrossRef]
- Westphal, G.A.; Pereira, A.B.; Fachin, S.M.; Barreto, A.C.C.; Bornschein, A.C.G.J.; Caldeira Filho, M.; Koenig, Á. Characteristics and outcomes of patients with community-acquired and hospital-acquired sepsis. Rev. Bras. Ter. Intensiv. 2019, 31, 71–78. [Google Scholar] [CrossRef] [PubMed]
- Rhee, C.; Wang, R.; Zhang, Z.; Fram, D.; Kadri, S.S.; Klompas, M. Epidemiology of Hospital-Onset versus Community-Onset Sepsis in U.S. Hospitals and Association with Mortality: A Retrospective Analysis Using Electronic Clinical Data. Crit. Care Med. 2019, 47, 1169–1176. [Google Scholar] [CrossRef] [PubMed]
- Bloos, F.; Marshall, J.C.; Dellinger, R.P.; Vincent, J.-L.; Gutierrez, G.; Rivers, E.; Balk, R.A.; Laterre, P.-F.; Angus, D.C.; Reinhart, K.; et al. Multinational, Observational Study of Procalcitonin in ICU Patients with Pneumonia Requiring Mechanical Ventilation: A Multicenter Observational Study. Crit. Care 2011, 15, R88. [Google Scholar] [CrossRef]
- Gogos, C.; Kotsaki, A.; Pelekanou, A.; Giannikopoulos, G.; Vaki, I.; Maravitsa, P.; Adamis, S.; Alexiou, Z.; Andrianopoulos, G.; Antonopoulou, A.; et al. Early Alterations of the Innate and Adaptive Immune Statuses in Sepsis According to the Type of Underlying Infection. Crit. Care 2010, 14, R96. [Google Scholar] [CrossRef]
- van Vught, L.A.; Scicluna, B.P.; Wiewel, M.A.; Hoogendijk, A.J.; Klein Klouwenberg, P.M.C.; Franitza, M.; Toliat, M.R.; Nürnberg, P.; Cremer, O.L.; Horn, J.; et al. Comparative Analysis of the Host Response to Community-Acquired and Hospital-Acquired Pneumonia in Critically Ill Patients. Am. J. Respir. Crit. Care Med. 2016, 194, 1366–1374. [Google Scholar] [CrossRef]
- Wu, H.; Cao, T.; Ji, T.; Luo, Y.; Huang, J.; Ma, K. Predictive Value of the Neutrophil-to-Lymphocyte Ratio in the Prognosis and Risk of Death for Adult Sepsis Patients: A Meta-Analysis. Front. Immunol. 2024, 15, 1336456. [Google Scholar] [CrossRef]
- Gao, Z.; Wang, X.; Wang, W.; Kang, Z.; Chen, X. Association between Neutrophil to Lymphocyte Ratio and the Mortality of Patients with Sepsis: An Update Systematic Review and Meta-Analysis. Front. Med. 2025, 12, 1637365. [Google Scholar] [CrossRef]
- Zhang, G.; Wang, T.; An, L.; Hang, C.; Wang, X.; Shao, F.; Shao, R.; Tang, Z. The Neutrophil-to-Lymphocyte Ratio Levels over Time Correlate to All-Cause Hospital Mortality in Sepsis. Heliyon 2024, 10, e36195. [Google Scholar] [CrossRef]
- Ferrer, R.; Martin-Loeches, I.; Phillips, G.; Osborn, T.M.; Townsend, S.; Dellinger, R.P.; Artigas, A.; Schorr, C.; Levy, M.M. Empiric Antibiotic Treatment Reduces Mortality in Severe Sepsis and Septic Shock from the First Hour: Results from a Guideline-Based Performance Improvement Program. Crit. Care Med. 2014, 42, 1749–1755. [Google Scholar] [CrossRef]
- Pea, F.; Viale, P. The Antimicrobial Therapy Puzzle: Could Pharmacokinetic-Pharmacodynamic Relationships Be Helpful in Addressing the Issue of Appropriate Pneumonia Treatment in Critically Ill Patients? Clin. Infect. Dis. 2006, 42, 1764–1771. [Google Scholar] [CrossRef] [PubMed]
- Evans, L.; Rhodes, A.; Alhazzani, W.; Antonelli, M.; Coopersmith, C.M.; French, C.; Machado, F.R.; Mcintyre, L.; Ostermann, M.; Prescott, H.C.; et al. Surviving Sepsis Campaign: International Guidelines for Management of Sepsis and Septic Shock 2021. Intensive Care Med. 2021, 47, 1181–1247. [Google Scholar] [CrossRef] [PubMed]
- Nierhaus, A.; Berlot, G.; Kindgen-Milles, D.; Müller, E.; Girardis, M. Best-Practice IgM- and IgA-Enriched Immunoglobulin Use in Patients with Sepsis. Ann. Intensive Care 2020, 10, 132. [Google Scholar] [CrossRef]
- Busani, S.; Serafini, G.; Mantovani, E.; Venturelli, C.; Giannella, M.; Viale, P.; Mussini, C.; Cossarizza, A.; Girardis, M. Mortality in Patients with Septic Shock by Multidrug Resistant Bacteria: Risk Factors and Impact of Sepsis Treatments. J. Intensive Care Med. 2019, 34, 48–54. [Google Scholar] [CrossRef]
- Giamarellos-Bourboulis, E.J.; Tziolos, N.; Routsi, C.; Katsenos, C.; Tsangaris, I.; Pneumatikos, I.; Vlachogiannis, G.; Theodorou, V.; Prekates, A.; Antypa, E.; et al. Improving Outcomes of Severe Infections by Multidrug-Resistant Pathogens with Polyclonal IgM-Enriched Immunoglobulins. Clin. Microbiol. Infect. 2016, 22, 499–506. [Google Scholar] [CrossRef]
- Rinaldi, L.; Ferrari, E.; Marietta, M.; Donno, L.; Trevisan, D.; Codeluppi, M.; Busani, S.; Girardis, M. Effectiveness of Sepsis Bundle Application in Cirrhotic Patients with Septic Shock: A Single-Center Experience. J. Crit. Care 2013, 28, 152–157. [Google Scholar] [CrossRef] [PubMed]
- Girardis, M.; David, S.; Ferrer, R.; Helms, J.; Juffermans, N.P.; Martin-Loeches, I.; Povoa, P.; Russell, L.; Shankar-Hari, M.; Iba, T.; et al. Understanding, Assessing and Treating Immune, Endothelial and Haemostasis Dysfunctions in Bacterial Sepsis. Intensive Care Med. 2024, 50, 1580–1592. [Google Scholar] [CrossRef]
- Cajander, S.; Kox, M.; Scicluna, B.P.; Weigand, M.A.; Mora, R.A.; Flohé, S.B.; Martin-Loeches, I.; Lachmann, G.; Girardis, M.; Garcia-Salido, A.; et al. Profiling the Dysregulated Immune Response in Sepsis: Overcoming Challenges to Achieve the Goal of Precision Medicine. Lancet Respir. Med. 2024, 12, 305–322. [Google Scholar] [CrossRef] [PubMed]
- Garner, J.S.; Jarvis, W.R.; Emori, T.G.; Horan, T.C.; Hughes, J.M. CDC Definitions for Nosocomial Infections, 1988. Am. J. Infect. Control. 1988, 16, 128–140. [Google Scholar] [CrossRef]
- Magiorakos, A.-P.; Srinivasan, A.; Carey, R.B.; Carmeli, Y.; Falagas, M.E.; Giske, C.G.; Harbarth, S.; Hindler, J.F.; Kahlmeter, G.; Olsson-Liljequist, B.; et al. Multidrug-Resistant, Extensively Drug-Resistant and Pandrug-Resistant Bacteria: An International Expert Proposal for Interim Standard Definitions for Acquired Resistance. Clin. Microbiol. Infect. 2012, 18, 268–281. [Google Scholar] [CrossRef] [PubMed]
- Obritsch, M.D.; Fish, D.N.; MacLaren, R.; Jung, R. Nosocomial Infections Due to Multidrug-Resistant Pseudomonas Aeruginosa: Epidemiology and Treatment Options. Pharmacotherapy 2005, 25, 1353–1364. [Google Scholar] [CrossRef]


| All Population (n = 726) | CA Septic Shock (n = 344) | HA Septic Shock (n = 382) | p Value | |
|---|---|---|---|---|
| Age (year; median, IQR) | 70 (59–77) | 70 (59–78) | 69 (60–76) | 0.339 |
| Sex, male (n, %) | 463 (63.8) | 214 (62.2) | 249 (65.2) | 0.693 |
| SAPS II score (median, IQR) | 52 (41–67) | 54 (44–69) | 50 (39–66) | 0.008 |
| SOFA score (median, IQR) | 10 (7–12) | 10 (8–13) | 9 (6–12) | 0.003 |
| Comorbidities (n,%) | 577 (79.7) | 253 (73.8) | 324 (85.0) | <0.001 |
| Chronic obstructive pulmonary disease (n,%) | 88 (12.1) | 47 (13.7) | 41 (10.8) | 0.226 |
| Hearth_failure (n,%) | 123 (17.0) | 62 (18.1) | 61 (16.1) | 0.459 |
| Diabetes (n,%) | 135 (18.7) | 72 (21.1) | 63 (16.6) | 0.124 |
| Malignancy (n,%) | 283 (38.9) | 128 (37.2) | 155 (40.6) | 0.701 |
| Pre-existing immune-suppression (n,%) | 161 (24.2) | 69 (22.2) | 92 (25.9) | 0.262 |
| Liver cirrhosis (n,%) | 85 (11.7) | 37 (10.8) | 48 (12.6) | 0.441 |
| SARS-CoV-2 infection (n,%) | 118 (16.3) | 31 (9.0) | 87 (22.8) | <0.001 |
| Surgical patients (n,%) | 252 (35.0) | 106 (31.1) | 146 (38.6) | 0.034 |
| Invasive mechanical ventilation (n,%) | 614 (84.6) | 283 (82.3) | 331 (86.6) | 0.150 |
| Continuous renal replacement therapy (n,%) | 255 (35.1) | 109 (31.7) | 146 (38.2) | 0.059 |
| Steroid therapy (n,%) | 505 (69.6) | 227 (66.0) | 278 (72.8) | 0.654 |
| IgGAM therapy (n,%) | 363 (50.0) | 181 (52.6) | 182 (47.6) | 0.181 |
| Appropriate antimicrobial therapy (n,%) | 489/631 (77.4) | 226/291 (77.7) | 263/340 (77.2) | 0.896 |
| ICU mortality (n,%) | 312 (43.0) | 125 (36.3) | 187 (49.0) | 0.001 |
| ICU-free days (median, IQR) | 0 (0–23) | 15 (0–25) | 0 (0–21) | <0.001 |
| Hospital mortality (n,%) | 408 (56.2) | 164 (47.7) | 244 (63.9) | <0.001 |
| All Population (n = 726) | CA Septic Shock (n = 344) | HA Septic Shock (n = 382) | p Value | |
|---|---|---|---|---|
| Primary site of infection | ||||
| Lung (n,%) | 341 (47.0) | 152 (44.2) | 189 (49.5) | 0.154 |
| Abdomen (n,%) | 177 (24.4) | 76 (22.1) | 101 (26.4) | 0.279 |
| BSI (n,%) | 75 (10.3) | 38 (11.0) | 37 (9.7) | 0.548 |
| Other (n,%) | 109 (15.0) | 67 (19.5) | 42 (11.0) | 0.001 |
| Unknown (n,%) | 24 (3.3) | 11 (3.2) | 13 (3.4) | 0.877 |
| Patients with microbial isolate (n,%) | 631 (86.9) | 291 (84.6) | 340 (89.0) | 0.078 |
| Microorganisms isolated (n,%) | ||||
| Escherichia coli | 154 (24.4) | 79 (27.1) | 75 (22.1) | 0.273 |
| Pseudomonas aeruginosa | 78 (12.4) | 25 (8.6) | 53 (15.6) | 0.004 |
| Klebsiella pneumoniae | 70 (11.1) | 32 (11.0) | 38 (11.2) | 0.769 |
| Acinetobacter baumanni | 26 (4.1) | 14 (4.8) | 12 (3.5) | 0.501 |
| Other Enterobacterales | 53 (8.4) | 20 (6.9) | 33 (9.7) | 0.144 |
| Stafilococcus aureus | 59 (9.4) | 29 (10.0) | 30 (8.8) | 0.776 |
| Staphylococcus spp. | 21 (3.3) | 8 (2.7) | 13 (3.8) | 0.387 |
| Enterococcus spp. | 43 (6.8) | 13 (4.5) | 30 (8.8) | 0.020 |
| Streptococcus spp. | 36 (5.7) | 29 (10.0) | 7 (2.1) | <0.001 |
| other | 91 (14.4) | 42 (14.4) | 49 (14.4) | 0.802 |
| Multi-drug resistant micro-organisms (n,%) | 302 (47.8) | 101 (34.7) | 201 (59.1) | <0.001 |
| Carbapenemase-producing micro-organisms (n,%) | 63 (10.0) | 18 (6.2) | 45 (13.2) | <0.001 |
| Secondary bacterial infection (n,%) | 49 (6.7) | 19 (5.5) | 30 (7.9) | 0.077 |
| Time to secondary infection (median, IQR) | 12 (6–18) | 13 (8–20) | 12 (6–17) | 0.319 |
| All Population (n = 726) | CA Septic Shock (n = 344) | HA Septic Shock (n = 382) | p Value | |
|---|---|---|---|---|
| Platelets (×103/mm3; median, IQR) | 176 (97–247) | 148 (84–217) | 186 (108–261) | 0.028 |
| Creatinine (mg/dL; median, IQR) | 2.1 (1.4–3.3) | 2.2 (1.6–3.3) | 2.0 (1.3–3.1) | 0.131 |
| Bilirubin (mg/dL; median, IQR) | 1.5 (0.8–3.5) | 1.4 (0.8–3.1) | 1.6 (0.9–4.2) | 0.500 |
| PaO2/FiO2 (mmHg; median, IQR) | 206.3 (168.3–225.7) | 209.5 (168.3–219.7) | 205.0 (175.9–230.3) | 0.775 |
| Lactate (mM/L; median, IQR) | 4.2 (2.2–6.4) | 4.4 (2.1–7.5) | 4.0 (2.4–6.1) | 0.449 |
| Procalcitonin (ng/mL; median, IQR) | 15.8 (1.7–66.5) | 31.7 (6.2–100.0) | 6.6 (0.7–34.3) | <0.001 |
| WBC (median, IQR) | 10.4 (5.5–20.1) | 10.8 (4.8–18.5) | 10.4 (6.0–20.3) | 0.539 |
| Neutrophil count (×103/mm3; median, IQR) | 9.6 (5.2–18.1) | 9.5 (4.6–16.3) | 10.3 (6.1–18.7) | 0.161 |
| Lymphocyte count (×103/mm3; median, IQR) | 0.64 (0.39–0.95) | 0.58 (0.38–0.89) | 0.68 (0.43–1.00) | 0.175 |
| NLR (median, IQR) | 15.3 (8.1–27.2) | 14.7 (7.0–25.1) | 15.7 (8.3–27.4) | 0.417 |
| Monocytes (×103/mm3; median, IQR) | 0.41 (0.15–0.68) | 0.30 (0.15–0.47) | 0.50 (0.17–0.78) | 0.053 |
| T lymphocytes(×103/mm3; median, IQR) | 372 (226–588) | 335 (244–572) | 405 (212–627) | 0.695 |
| T helper lymphocytes(×103/mm3; median, IQR) | 225 (138–390) | 225 (139–355) | 233 (138–411) | 0.767 |
| T cytotoxic lymphocytes (×103/mm3; median, IQR) | 121 (63–205) | 109 (68–160) | 142 (52–250) | 0.240 |
| Natural Killer cells(×103/mm3; median, IQR) | 81 (38–135) | 91 (54–157) | 70 (32–127) | 0.060 |
| B lymphocytes (×103/mm3;median, IQR) | 128 (57–199) | 126 (67–199) | 128 (56–195) | 0.702 |
| IgG (mg/dL; median, IQR) | 702 (488–901) | 690 (519–933) | 709 (451–865) | 0.333 |
| IgM (mg/dL; median, IQR) | 61 (37–110) | 60 (38–117) | 62 (37–108) | 0.759 |
| IgA (mg/dL; median, IQR) | 176 (110–277) | 176 (100–271) | 179 (123–281) | 0.526 |
| COMMUNITY-ACQUIRED SEPTIC SHOCK | ||||||
|---|---|---|---|---|---|---|
| Survived to ICU | Dead in ICU | Unadjusted HR (95% CI); | p Value | Adjusted HR (95% CI); | p Value | |
| n = 219 | n = 125 | |||||
| Age (years; median, IQR) | 70 (58–78) | 72 (60–77) | 1.01 (0.99–1.03) | 0.068 | 1.03 (1.00–1.05) | 0.024 |
| SAPSII score (median, IQR) | 50 (41–60) | 67 (49–81) | 1.04 (1.03–1.05) | <0.001 | 1.02 (1.01–1.04) | 0.004 |
| Comorbidities (n,%) | 150 (68.8%) | 103 (82.4%) | 1.91 (1.21–3.03) | 0.006 | 1.60 (0.90–2.84) | 0.111 |
| Liver cirrhosis(n,%) | 11 (5.0%) | 26 (20.8%) | 2.83 (1.84–4.37) | <0.001 | 2.83 (1.30–6.18) | 0.009 |
| Invasive Mechanical Ventilation (n,%) | 166 (76.1%) | 117 (94.4%) | 1.70 (0.79–3.69) | 0.178 | 1.51 (0.62–3.72) | 0.365 |
| Continuous renal replacement therapy (n,%) | 50 (22.9%) | 59 (48.4%) | 1.31 (0.92–1.88) | 0.136 | 1.35 (0.82–2.24) | 0.240 |
| Steroid therapy (n,%) | 144 (79.6%) | 83 (90.2%) | 1.33 (0.67–2.65) | 0.422 | 1.53 (0.69–3.39) | 0.292 |
| IgGAM therapy (n,%) | 125 (57.1%) | 56 (44.8%) | 0.73 (0.52–1.04) | 0.085 | 0.79 (0.48–1.28) | 0.336 |
| Appropriate empirical antimicrobial therapy (n,%) | 146 (84.9%) | 80 (67.2%) | 0.63 (0.43–0.92) | 0.018 | 0.74 (0.42–1.32) | 0.310 |
| HOSPITAL-ACQUIRED SEPTIC SHOCK | ||||||
| n = 195 | n = 187 | |||||
| Age (years; median, IQR) | 70 (61–76) | 68 (59–75) | 1.00 (0.99–1.01) | 0.790 | 1.00 (0.98–1.01) | 0.662 |
| SAPS II score (median, IQR) | 50 (38–64) | 51 (39–70) | 1.02 (1.01–1.03) | <0.001 | 1.03 (1.02–1.04) | <0.001 |
| Comorbidities (n,%) | 155 (79.5%) | 169 (90.9%) | 1.99 (1.21–3.29) | 0.007 | 1.68 (0.89–3.16) | 0.108 |
| Liver cirrhosis(n,%) | 15 (7.7) | 33 (17.6) | 1.75 (1.20–2.55) | 0.004 | 2.57 (1.39–4.75) | 0.003 |
| Invasive Mechanical Ventilation (n,%) | 159 (81.5%) | 172 (94.0%) | 1.04 (0.56–1.93) | 0.890 | 0.78 (0.33–1.82) | 0.562 |
| Continuous renal replacement therapy (n,%) | 53 (27.2%) | 93 (51.4%) | 1.20 (0.90–1.61) | 0.222 | 0.98 (0.69–1.40) | 0.907 |
| Steroid therapy (n,%) | 141 (80.1%) | 137 (89.5%) | 1.54 (0.91–2.59) | 0.105 | 1.66 (0.88–3.13) | 0.117 |
| IgGAM therapy (n,%) | 101 (51.8%) | 81 (43.3%) | 0.86 (0.64–1.15) | 0.302 | 0.79 (0.54–1.15) | 0.221 |
| Appropriate empirical antimicrobial therapy (n,%) | 135 (75.0%) | 128 (80.0%) | 1.01 (0.68–1.50) | 0.968 | 0.88 (0.57–1.37) | 0.573 |
Disclaimer/Publisher’s Note: The statements, opinions and data contained in all publications are solely those of the individual author(s) and contributor(s) and not of MDPI and/or the editor(s). MDPI and/or the editor(s) disclaim responsibility for any injury to people or property resulting from any ideas, methods, instructions or products referred to in the content. |
© 2026 by the authors. Licensee MDPI, Basel, Switzerland. This article is an open access article distributed under the terms and conditions of the Creative Commons Attribution (CC BY) license.
Share and Cite
Coloretti, I.; Tosi, M.; Biagioni, E.; Morselli, F.; Munari, E.; Bertolini, J.; Ferrari, S.; Meschiari, M.; Franceschini, E.; Nielsen, N.D.; et al. Acquisition Origin Matters: Clinical, Microbiological and Immunological Characteristics and Treatment Effects in Community- vs. Hospital-Acquired Septic Shock. Antibiotics 2026, 15, 169. https://doi.org/10.3390/antibiotics15020169
Coloretti I, Tosi M, Biagioni E, Morselli F, Munari E, Bertolini J, Ferrari S, Meschiari M, Franceschini E, Nielsen ND, et al. Acquisition Origin Matters: Clinical, Microbiological and Immunological Characteristics and Treatment Effects in Community- vs. Hospital-Acquired Septic Shock. Antibiotics. 2026; 15(2):169. https://doi.org/10.3390/antibiotics15020169
Chicago/Turabian StyleColoretti, Irene, Martina Tosi, Emanuela Biagioni, Federica Morselli, Elena Munari, Jacopo Bertolini, Sara Ferrari, Marianna Meschiari, Erica Franceschini, Nathan D. Nielsen, and et al. 2026. "Acquisition Origin Matters: Clinical, Microbiological and Immunological Characteristics and Treatment Effects in Community- vs. Hospital-Acquired Septic Shock" Antibiotics 15, no. 2: 169. https://doi.org/10.3390/antibiotics15020169
APA StyleColoretti, I., Tosi, M., Biagioni, E., Morselli, F., Munari, E., Bertolini, J., Ferrari, S., Meschiari, M., Franceschini, E., Nielsen, N. D., Busani, S., & Girardis, M. (2026). Acquisition Origin Matters: Clinical, Microbiological and Immunological Characteristics and Treatment Effects in Community- vs. Hospital-Acquired Septic Shock. Antibiotics, 15(2), 169. https://doi.org/10.3390/antibiotics15020169

