Piper nigrum Extract as an Adjuvant in a Collagen System for Infected Wound Healing: Therapeutic Synergy and Biocompatibility
Abstract
1. Introduction
2. Results
2.1. Insights into the Phytochemistry and Therapeutic Potential of P. nigrum Hydroalcoholic Extract
2.1.1. Physico-Chemical Characterisation of P. nigrum Extract
2.1.2. Antioxidant Activity
2.1.3. Antimicrobial Activity of P. nigrum Extract
2.2. Bioinformatics Approach to Natural Compounds from P. nigrum Extract
2.2.1. Pharmacokinetics of Natural Compounds Extracted from P. nigrum Using Deep-PK
2.2.2. Pharmacodynamics of Natural Compounds Extracted from P. nigrum
2.3. Powder Formulation
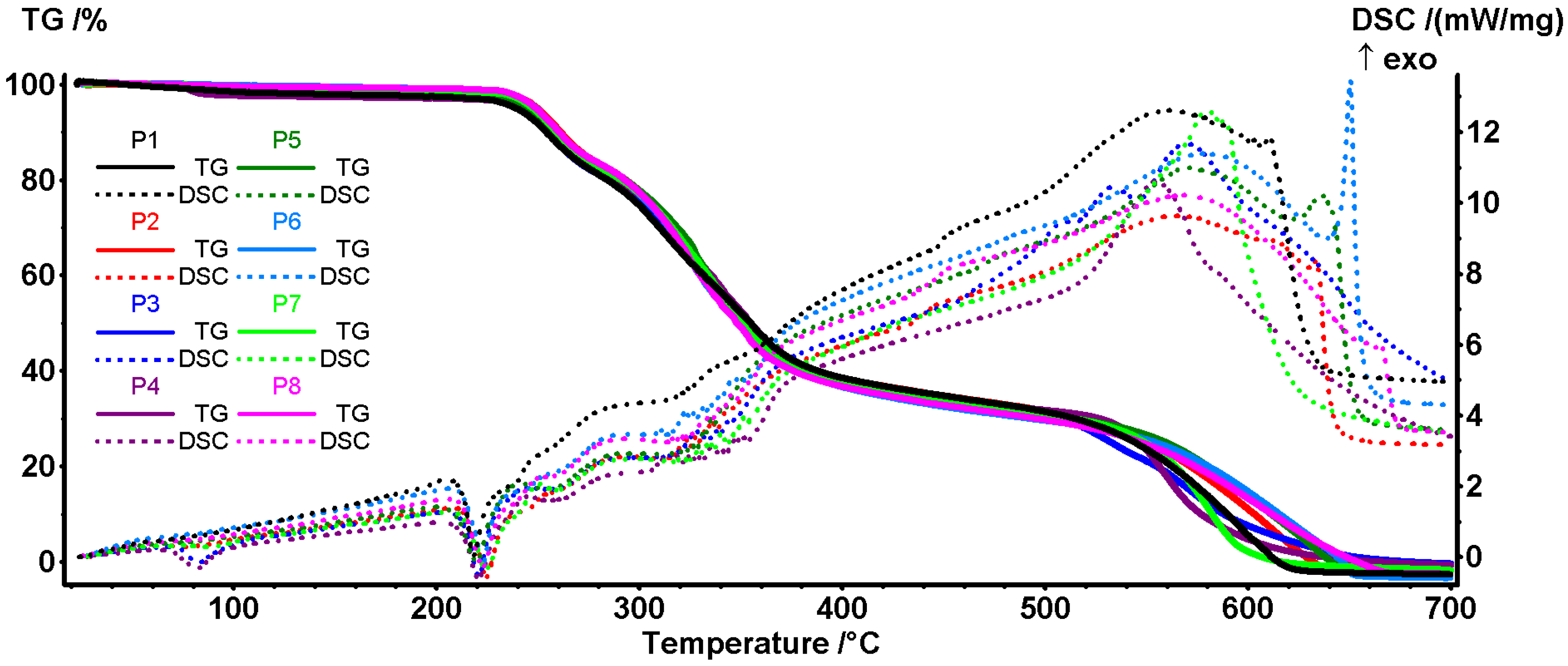
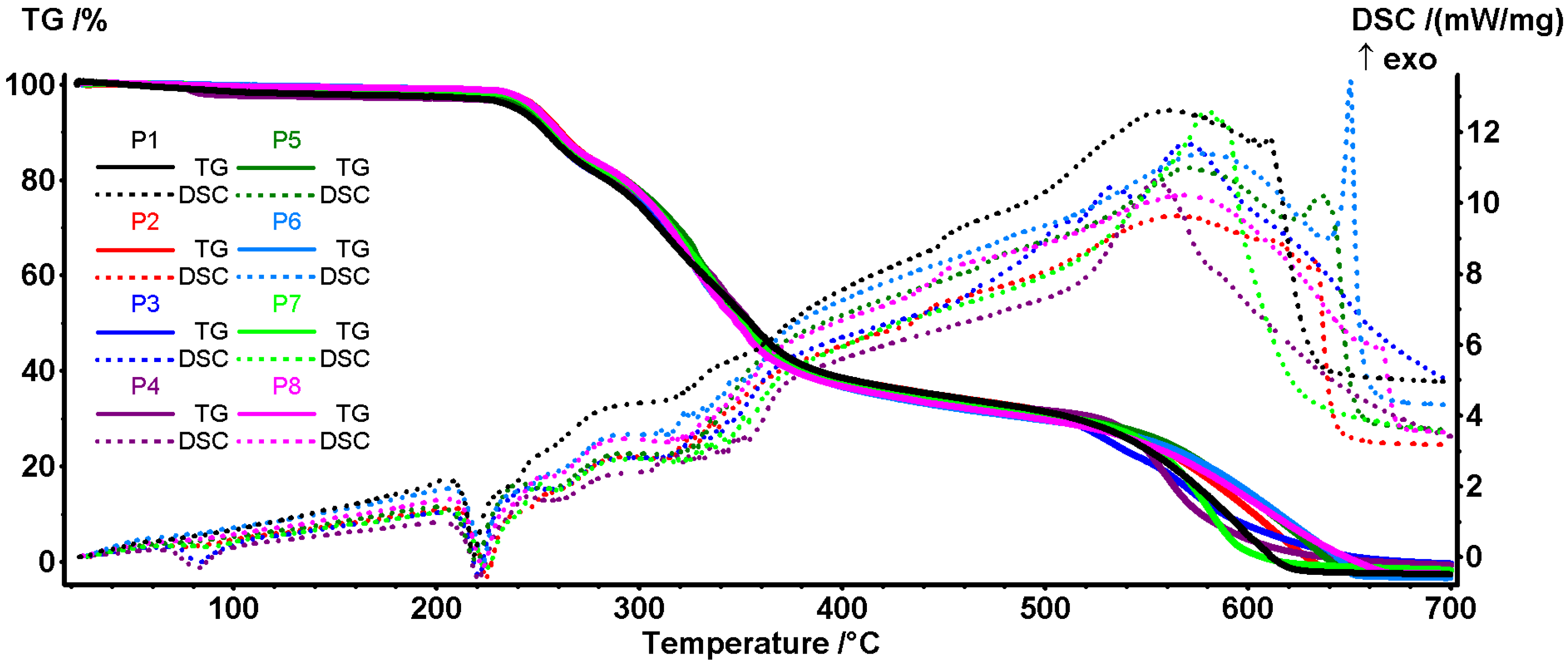
2.3.1. Physico-Chemical Characterisation of Powders
2.3.2. Influence of Phenolic and Flavonoid Content on the Antioxidant Capacity of Collagen Composites with P. nigrum Extract
2.3.3. Study of Antimicrobial Synergy Between P. nigrum Extract and Antibiotics
2.4. Biocompatibility
2.5. Haemocompatibility
3. Discussion
4. Materials and Methods
4.1. Plant Collection and Extract Preparation
4.2. HPLC-MS/MS Analysis
4.3. Bioactive Polyphenolic Characterisation
4.4. Bioinformatics Methods
4.5. Antimicrobial Activity of P. nigrum Extract
4.5.1. Microbial Strains
4.5.2. Quantitative Evaluation of Antimicrobial Activity
4.5.3. Microbial Adherence of P. nigrum Extract
4.6. Collagen—Plant Extract Formulation
4.7. Physico-Chemical Characterisation
4.8. Phytochemical Composition and Antioxidant Activity
4.9. Antimicrobial Activity of Collagen Composite
4.9.1. Qualitative and Quantitative Evaluation of Antimicrobial Activity
4.9.2. Microbial Adherence
4.10. Biocompatibility Assessment
4.11. Blood Contact Behaviour
4.12. Statistical Analysis
5. Conclusions
Supplementary Materials
Author Contributions
Funding
Institutional Review Board Statement
Informed Consent Statement
Data Availability Statement
Acknowledgments
Conflicts of Interest
References
- Harper, D.; Young, A.; McNaught, C.-E. The Physiology of Wound Healing. Surgery 2014, 32, 445–450. [Google Scholar] [CrossRef]
- Gurtner, G.C.; Werner, S.; Barrandon, Y.; Longaker, M.T. Wound Repair and Regeneration. Nature 2008, 453, 314–321. [Google Scholar] [CrossRef] [PubMed]
- Wang, P.-H.; Huang, B.-S.; Horng, H.-C.; Yeh, C.-C.; Chen, Y.-J. Wound Healing. J. Chin. Med. Assoc. 2018, 81, 94–101. [Google Scholar] [CrossRef]
- Pop, A.S.; Marc, A.R.; Mureșan, C.C. Therapeutic Insights into Black Pepper (Piper nigrum): Phytochemical Composition, Bioactive Properties, and Health Benefits. Hop Med. Plants 2024, 32, 139–152. [Google Scholar] [CrossRef]
- Alves, F.S.; Cruz, J.N.; De Farias Ramos, I.N.; Do Nascimento Brandão, D.L.; Queiroz, R.N.; Da Silva, G.V.; Da Silva, G.V.; Dolabela, M.F.; Da Costa, M.L.; Khayat, A.S.; et al. Evaluation of Antimicrobial Activity and Cytotoxicity Effects of Extracts of Piper nigrum L. and Piperine. Separations 2022, 10, 21. [Google Scholar] [CrossRef]
- Gould, L.J. Topical Collagen-Based Biomaterials for Chronic Wounds: Rationale and Clinical Application. Adv. Wound Care 2016, 5, 19–31. [Google Scholar] [CrossRef]
- Kurhaluk, N.; Tkaczenko, H. L-Arginine and Nitric Oxide in Vascular Regulation—Experimental Findings in the Context of Blood Donation. Nutrients 2025, 17, 665. [Google Scholar] [CrossRef]
- Luo, J.; Chen, A.F. Nitric Oxide: A Newly Discovered Function on Wound Healing. Acta Pharmacol. Sin. 2005, 26, 259–264. [Google Scholar] [CrossRef]
- Udhayakumar, S.; Shankar, K.G.; Sowndarya, S.; Venkatesh, S.; Muralidharan, C.; Rose, C. L-Arginine Intercedes Bio-Crosslinking of a Collagen–Chitosan 3D-Hybrid Scaffold for Tissue Engineering and Regeneration: In Silico, in Vitro, and in Vivo Studies. RSC Adv. 2017, 7, 25070–25088. [Google Scholar] [CrossRef]
- Emami, S.; Ebrahimi, M. Bioactive Wound Powders as Wound Healing Dressings and Drug Delivery Systems. Powder Technol. 2023, 423, 118501. [Google Scholar] [CrossRef]
- Su, J.; Yu, W.; Guo, X.; Wang, C.; Wang, Q.; Chen, B.; Hu, Y.; Dai, H. Development and Evaluation of a Novel Antibacterial Wound Dressing: A Powder Preparation Based on Cross-Linked Pullulan with Polyhexamethylene Biguanide for Hydrogel-Transition in Advanced Wound Management and Infection Control. Polymers 2024, 16, 1352. [Google Scholar] [CrossRef] [PubMed]
- Bangarakodi, K.; Rajamanickam, D.; Jeyaraman, A.; Srinivasan, B. Preparation and Characterization of Wound Dressings Incorporated with Curcumin, Povidone Iodine, and Silver Sulphadiazine. Lett. Appl. NanoBioSci. 2020, 10, 1748–1759. [Google Scholar] [CrossRef]
- Li, J.; Zhai, Y.-N.; Xu, J.-P.; Zhu, X.-Y.; Yang, H.-R.; Che, H.-J.; Liu, C.-K.; Qu, J.-B. An Injectable Collagen Peptide-Based Hydrogel with Desirable Antibacterial, Self-Healing and Wound-Healing Properties Based on Multiple-Dynamic Crosslinking. Int. J. Biol. Macromol. 2024, 259, 129006. [Google Scholar] [CrossRef]
- Al-Khayri, J.M.; Upadhya, V.; Pai, S.R.; Naik, P.M.; Al-Mssallem, M.Q.; Alessa, F.M. Comparative Quantification of the Phenolic Compounds, Piperine Content, and Total Polyphenols along with the Antioxidant Activities in the Piper trichostachyon and P. nigrum. Molecules 2022, 27, 5965. [Google Scholar] [CrossRef]
- Eisenhut, F.; Schmidt, M.A.; Buchfelder, M.; Doerfler, A.; Schlaffer, S.-M. Improved Detection of Cavernous Sinus Invasion of Pituitary Macroadenomas with Ultra-High-Field 7 T MRI. Life 2022, 13, 49. [Google Scholar] [CrossRef]
- Samdavid Thanapaul, R.J.R.; Nambur, C.K.; Giriraj, K. Development of Multi-Herbal Formulation with Enhanced Antimicrobial, Antioxidant, Cytotoxic, and Antiaging Properties. J. Indian Chem. Soc. 2024, 101, 101402. [Google Scholar] [CrossRef]
- Akthar, M.S.; Birhanu, G.; Demisse, S. Antimicrobial Activity of Piper nigrum L. and Cassia didymobotyra L. Leaf Extract on Selected Food Borne Pathogens. Asian Pac. J. Trop. Dis. 2014, 4, S911–S919. [Google Scholar] [CrossRef]
- Bellamkonda, P.; Koothati, R.K.; Bee, A.; Desai, A.; Aarthi, G.K.; Aarthi, R. Evaluation of Antimicrobial Activity of Extracts of Terminalia Chebula and Piper nigrum against Streptococcus mutans: An In Vitro Study. JPRI 2021, 33, 218–224. [Google Scholar] [CrossRef]
- Alquraishy, M.K.; Adnan AL-Khafagi, A. Evaluation the Antifungal Activity of Black Pepper and Cumin Alcoholic Extracts. J. Biosci. Appl. Res. 2025, 11, 314–321. [Google Scholar] [CrossRef]
- Zhao, K.; Wonta, K.B.; Xia, J.; Zhong, F.; Sharma, V. Phytochemical Profiling and Evaluation of Antimicrobial Activities of Common Culinary Spices: Syzygium aromaticum (Clove) and Piper nigrum (Black Pepper). Front. Nutr. 2024, 11, 1447144. [Google Scholar] [CrossRef] [PubMed]
- Kasai, D.; Chougale, R.; Masti, S.; Chalannavar, R.; Malabadi, R.B.; Gani, R.; Gouripur, G. An Investigation into the Influence of Filler Piper nigrum Leaves Extract on Physicochemical and Antimicrobial Properties of Chitosan/Poly (Vinyl Alcohol) Blend Films. J. Polym. Environ. 2019, 27, 472–488. [Google Scholar] [CrossRef]
- Radhakrishnan, S.; Nagarajan, S.; Bechelany, M.; Kalkura, S.N. Collagen Based Biomaterials for Tissue Engineering Applications: A Review. In Processes and Phenomena on the Boundary Between Biogenic and Abiogenic Nature; Frank-Kamenetskaya, O.V., Vlasov, D.Y., Panova, E.G., Lessovaia, S.N., Eds.; Lecture Notes in Earth System Sciences; Springer International Publishing: Cham, Switzerland, 2020; pp. 3–22. ISBN 978-3-030-21613-9. [Google Scholar]
- She, J.; Liu, J.; Mu, Y.; Lv, S.; Tong, J.; Liu, L.; He, T.; Wang, J.; Wei, D. Recent Advances in Collagen-Based Hydrogels: Materials, Preparation and Applications. React. Funct. Polym. 2025, 207, 106136. [Google Scholar] [CrossRef]
- Gandhi, A.M.; Shah, M.D.; Donohue, L.E.; Cox, H.L.; Eby, J.C. Tolerability of Cefazolin in Nafcillin-Intolerant Patients for the Treatment of Methicillin-Susceptible Staphylococcus aureus Infections. Clin. Infect. Dis. 2021, 73, 1650–1655. [Google Scholar] [CrossRef] [PubMed]
- Murray, F.; Yoo, O.; Brophy-Williams, S.; Rawlins, M.; Wallis, S.C.; Roberts, J.A.; Raby, E.; Salman, S.; Manning, L. Safety, Tolerability and Pharmacokinetics of Subcutaneous Cefazolin as an Alternative to Intravenous Administration. J. Antimicrob. Chemother. 2025, 80, 347–353. [Google Scholar] [CrossRef] [PubMed]
- So, W.; Kuti, J.L.; Nicolau, D.P. Population Pharmacokinetics of Cefazolin in Serum and Tissue for Patients with Complicated Skin and Soft Tissue Infections (cSSTI). Infect. Dis. Ther. 2014, 3, 269–279. [Google Scholar] [CrossRef]
- Allababidi, S.; Shah, J.C. Efficacy and Pharmacokinetics of Site-Specific Cefazolin Delivery Using Biodegradable Implants in the Prevention of Post-Operative Wound Infections. Pharm. Res. 1998, 15, 325–333. [Google Scholar] [CrossRef]
- Antosz, K.; Battle, S.; Chang, J.; Scheetz, M.H.; Al-Hasan, M.; Bookstaver, P.B. Cefazolin in the Treatment of Central Nervous System Infections: A Narrative Review and Recommendation. Pharmacotherapy 2023, 43, 85–95. [Google Scholar] [CrossRef]
- Castle, S.S. Cefazolin. In xPharm: The Comprehensive Pharmacology Reference; Elsevier: Amsterdam, The Netherlands, 2007; pp. 1–5. ISBN 978-0-08-055232-3. [Google Scholar]
- Avram, S.; Milac, A.-L.; Mihailescu, D. 3D-QSAR Study Indicates an Enhancing Effect of Membrane Ions on Psychiatric Drugs Targeting Serotonin Receptor 5-HT1A. Mol. BioSyst. 2012, 8, 1418. [Google Scholar] [CrossRef]
- Avram, S.; Buiu, C.; Duda-Seiman, D.; Duda-Seiman, C.; Borcan, F.; Mihailescu, D. Evaluation of the Pharmacological Descriptors Related to the Induction of Antidepressant Activity and Its Prediction by QSAR/QRAR Methods. Mini Rev. Med. Chem. 2012, 12, 467–476. [Google Scholar] [CrossRef]
- Avram, S.; Bologa, C.; Flonta, M.-L. Quantitative Structure-Activity Relationship by CoMFA for Cyclic Urea and Nonpeptide-Cyclic Cyanoguanidine Derivatives on Wild Type and Mutant HIV-1 Protease. J. Mol. Model. 2005, 11, 105–115. [Google Scholar] [CrossRef]
- Mareş, C.; Udrea, A.-M.; Şuţan, N.A.; Avram, S. Bioinformatics Tools for the Analysis of Active Compounds Identified in Ranunculaceae Species. Pharmaceuticals 2023, 16, 842. [Google Scholar] [CrossRef] [PubMed]
- Coanda, M.; Limban, C.; Draghici, C.; Ciobanu, A.-M.; Grigore, G.A.; Popa, M.; Stan, M.; Larion, C.; Avram, S.; Mares, C.; et al. Current Perspectives on Biological Screening of Newly Synthetised Sulfanilamide Schiff Bases as Promising Antibacterial and Antibiofilm Agents. Pharmaceuticals 2024, 17, 405. [Google Scholar] [CrossRef] [PubMed]
- Luca, S.V.; Gaweł-Bęben, K.; Strzępek-Gomółka, M.; Czech, K.; Trifan, A.; Zengin, G.; Korona-Glowniak, I.; Minceva, M.; Gertsch, J.; Skalicka-Woźniak, K. Insights into the Phytochemical and Multifunctional Biological Profile of Spices from the Genus Piper. Antioxidants 2021, 10, 1642. [Google Scholar] [CrossRef] [PubMed]
- Pandi, A.; Kalappan, V.M. Pharmacological and Therapeutic Applications of Sinapic Acid—An Updated Review. Mol. Biol. Rep. 2021, 48, 3733–3745. [Google Scholar] [CrossRef]
- Wahab, N.A.A.; Giribabu, N.; Kilari, E.K.; Salleh, N. Abietic Acid Ameliorates Nephropathy Progression via Mitigating Renal Oxidative Stress, Inflammation, Fibrosis and Apoptosis in High Fat Diet and Low Dose Streptozotocin-Induced Diabetic Rats. Phytomedicine 2022, 107, 154464. [Google Scholar] [CrossRef]
- Wang, Y.; Li, X.; Lv, H.; Sun, L.; Liu, B.; Zhang, X.; Xu, X. Therapeutic Potential of Naringin in Improving the Survival Rate of Skin Flap: A Review. Front. Pharmacol. 2023, 14, 1128147. [Google Scholar] [CrossRef]
- Zhao, T.; Wang, N.; Wang, Y.; Yang, J.; Tang, Y.; Wang, Y.; Wei, H.; Yang, J.; Yu, T.; Sun, X.; et al. Phloretin@cyclodextrin/Natural Silk Protein/Polycaprolactone Nanofiber Wound Dressing with Antioxidant and Antibacterial Activities Promotes Diabetic Wound Healing. Int. J. Biol. Macromol. 2024, 280, 135724. [Google Scholar] [CrossRef]
- Mariadoss, A.V.A.; Vinyagam, R.; Rajamanickam, V.; Sankaran, V.; Venkatesan, S.; David, E. Pharmacological Aspects and Potential Use of Phloretin: A Systemic Review. Mini Rev. Med. Chem. 2019, 19, 1060–1067. [Google Scholar] [CrossRef]
- Sun, S.; Hao, M.; Ding, C.; Zhang, J.; Ding, Q.; Zhang, Y.; Zhao, Y.; Liu, W. SF/PVP Nanofiber Wound Dressings Loaded with Phlorizin: Preparation, Characterization, in Vivo and in Vitro Evaluation. Colloids Surf. B Biointerfaces 2022, 217, 112692. [Google Scholar] [CrossRef]
- Hecker, A.; Schellnegger, M.; Hofmann, E.; Luze, H.; Nischwitz, S.P.; Kamolz, L.; Kotzbeck, P. The Impact of Resveratrol on Skin Wound Healing, Scarring, and Aging. Int. Wound J. 2022, 19, 9–28. [Google Scholar] [CrossRef]
- Jara, C.P.; Mendes, N.F.; Prado, T.P.D.; De Araújo, E.P. Bioactive Fatty Acids in the Resolution of Chronic Inflammation in Skin Wounds. Adv. Wound Care 2020, 9, 472–490. [Google Scholar] [CrossRef]
- Sova, M. Antioxidant and Antimicrobial Activities of Cinnamic Acid Derivatives. Mini Rev. Med. Chem. 2012, 12, 749–767. [Google Scholar] [CrossRef] [PubMed]
- Latipudin, D.; Tumilaar, S.G.; Ramdani, Y.; Dudi, D.; Kurnia, D. Potential Piperolactam A Isolated from Piper betle as Natural Inhibitors of Brucella Species Aminoacyl-tRNA Synthetase for Livestock Infections: In Silico Approach. Vet. Med. Amp. Sci 2024, 10, e70042. [Google Scholar] [CrossRef]
- Abd Halim, A.N.; Ngui Sing, N.; Ahad, N.; Zamakshshari, N.H. Piper nigrum as a Source of Antimicrobial Agents: Bioactive Constituents, Mechanistic Insights, and Synthetic Derivatives for Antibacterial Applications. ChemistrySelect 2025, 10, e02516. [Google Scholar] [CrossRef]
- Alsareii, S.A.; Ahmad, J.; Umar, A.; Ahmad, M.Z.; Shaikh, I.A. Enhanced In Vivo Wound Healing Efficacy of a Novel Piperine-Containing Bioactive Hydrogel in Excision Wound Rat Model. Molecules 2023, 28, 545. [Google Scholar] [CrossRef] [PubMed]
- Ukey, S.S.; Gogle, D.P. Phytochemical Evaluation and in Vitro Antioxidant Studies of Piper nigrum (L.). J. Pharmacogn. Phytochem. 2024, 13, 385–395. [Google Scholar] [CrossRef]
- Trifan, A.; Zengin, G.; Brebu, M.; Skalicka-Woźniak, K.; Luca, S.V. Phytochemical Characterization and Evaluation of the Antioxidant and Anti-Enzymatic Activity of Five Common Spices: Focus on Their Essential Oils and Spent Material Extractives. Plants 2021, 10, 2692. [Google Scholar] [CrossRef]
- Su, L.; Yin, J.-J.; Charles, D.; Zhou, K.; Moore, J.; Yu, L. Total Phenolic Contents, Chelating Capacities, and Radical-Scavenging Properties of Black Peppercorn, Nutmeg, Rosehip, Cinnamon and Oregano Leaf. Food Chem. 2007, 100, 990–997. [Google Scholar] [CrossRef]
- Geana, E.-I.; Ciucure, C.T.; Tamaian, R.; Marinas, I.C.; Gaboreanu, D.M.; Stan, M.; Chitescu, C.L. Antioxidant and Wound Healing Bioactive Potential of Extracts Obtained from Bark and Needles of Softwood Species. Antioxidants 2023, 12, 1383. [Google Scholar] [CrossRef]
- Monika, P.; Chandraprabha, M.N.; Rangarajan, A.; Waiker, P.V.; Chidambara Murthy, K.N. Challenges in Healing Wound: Role of Complementary and Alternative Medicine. Front. Nutr. 2022, 8, 791899. [Google Scholar] [CrossRef]
- Rahim, K.; Saleha, S.; Zhu, X.; Huo, L.; Basit, A.; Franco, O.L. Bacterial Contribution in Chronicity of Wounds. Microb. Ecol. 2017, 73, 710–721. [Google Scholar] [CrossRef]
- Gebreyohannes, G.; Nyerere, A.; Bii, C.; Sbhatu, D.B. Challenges of Intervention, Treatment, and Antibiotic Resistance of Biofilm-Forming Microorganisms. Heliyon 2019, 5, e02192. [Google Scholar] [CrossRef] [PubMed]
- Li, P.; Yin, R.; Cheng, J.; Lin, J. Bacterial Biofilm Formation on Biomaterials and Approaches to Its Treatment and Prevention. Int. J. Mol. Sci. 2023, 24, 11680. [Google Scholar] [CrossRef] [PubMed]
- Nag, M.; Lahiri, D.; Mukherjee, D.; Garai, S.; Banerjee, R.; Ray, R.R. Biofilms and Acute and Chronic Infections. In Biofilm-Mediated Diseases: Causes and Controls; Ray, R.R., Nag, M., Lahiri, D., Eds.; Springer: Singapore, 2021; pp. 73–100. ISBN 978-981-16-0744-8. [Google Scholar]
- Dsouza, F.P.; Dinesh, S.; Sharma, S. Understanding the Intricacies of Microbial Biofilm Formation and Its Endurance in Chronic Infections: A Key to Advancing Biofilm-Targeted Therapeutic Strategies. Arch. Microbiol. 2024, 206, 85. [Google Scholar] [CrossRef] [PubMed]
- Almatroudi, A. Biofilm Resilience: Molecular Mechanisms Driving Antibiotic Resistance in Clinical Contexts. Biology 2025, 14, 165. [Google Scholar] [CrossRef]
- Gajula, B.; Munnamgi, S.; Basu, S. How Bacterial Biofilms Affect Chronic Wound Healing: A Narrative Review. Int. J. Surg. Glob. Health 2020, 3, e16. [Google Scholar] [CrossRef]
- Alves, P.J.; Barreto, R.T.; Barrois, B.M.; Gryson, L.G.; Meaume, S.; Monstrey, S.J. Update on the Role of Antiseptics in the Management of Chronic Wounds with Critical Colonisation and/or Biofilm. Int. Wound J. 2021, 18, 342–358. [Google Scholar] [CrossRef]
- Gong, H.; Hu, X.; Zhang, L.; Fa, K.; Liao, M.; Liu, H.; Fragneto, G.; Campana, M.; Lu, J.R. How Do Antimicrobial Peptides Disrupt the Lipopolysaccharide Membrane Leaflet of Gram-Negative Bacteria? J. Colloid Interface Sci. 2023, 637, 182–192. [Google Scholar] [CrossRef]
- Daina, A.; Michielin, O.; Zoete, V. SwissADME: A Free Web Tool to Evaluate Pharmacokinetics, Drug-Likeness and Medicinal Chemistry Friendliness of Small Molecules. Sci. Rep. 2017, 7, 42717. [Google Scholar] [CrossRef]
- Furuhashi, M.; Hotamisligil, G.S. Fatty Acid-Binding Proteins: Role in Metabolic Diseases and Potential as Drug Targets. Nat. Rev. Drug Discov. 2008, 7, 489–503. [Google Scholar] [CrossRef]
- Pluta, A.J.; Studniarek, C.; Murphy, S.; Norbury, C.J. Cyclin-dependent Kinases: Masters of the Eukaryotic Universe. WIREs RNA 2024, 15, e1816. [Google Scholar] [CrossRef]
- Roskoski, R. Cyclin-Dependent Protein Serine/Threonine Kinase Inhibitors as Anticancer Drugs. Pharmacol. Res. 2019, 139, 471–488. [Google Scholar] [CrossRef]
- Banerjee, C.; Yatham, P.; Mukherjee, S.; Chakraborty, J.; Kumar, D. Activity-Guided Isolation of Sesquiterpene Coumarins from Ferula Assa-Foetida as Monoamine Oxidase Inhibitors: Investigation on Their Therapeutic Implications in a Mice Model of Parkinson’s Disease. J. Ethnopharmacol. 2026, 355, 120608. [Google Scholar] [CrossRef]
- Nuutila, K.; Eriksson, E. Moist Wound Healing with Commonly Available Dressings. Adv. Wound Care 2021, 10, 685–698. [Google Scholar] [CrossRef]
- Maier, S.S.; Maier, V.; Bucişcanu, I. Novel procedure for large-scale purification of atelocollagen, by selective precipitation. J. Am. Leather Chem. Assoc. 2010, 105, 1–8. [Google Scholar]
- Zorila, F.-L.; Alexandru, M.; Marinas, I.-C.; Dumbrava, A.-S.; Baltac, A.-S.; Angheloiu, M.; Maier, S.-S. Optimizing the staining of sds-page gels and highlighting the main protein chains of collagen after gamma irradiation in different dose and temperature conditions. J. Mater. Chem. B 2024, 86, 121–138. [Google Scholar]
- Harms, M.J.; Schlessman, J.L.; Sue, G.R.; García-Moreno, E.B. Arginine Residues at Internal Positions in a Protein Are Always Charged. Proc. Natl. Acad. Sci. USA 2011, 108, 18954–18959. [Google Scholar] [CrossRef] [PubMed]
- Zhang, X.; Xu, S.; Shen, L.; Li, G. Factors Affecting Thermal Stability of Collagen from the Aspects of Extraction, Processing and Modification. J. Leather. Sci. Eng. 2020, 2, 19. [Google Scholar] [CrossRef]
- Vladu, A.F.; Albu Kaya, M.G.; Truşcă, R.D.; Motelica, L.; Surdu, V.-A.; Oprea, O.C.; Constantinescu, R.R.; Cazan, B.; Ficai, D.; Andronescu, E.; et al. The Role of Crosslinking Agents in the Development of Collagen–Hydroxyapatite Composite Materials for Bone Tissue Engineering. Materials 2025, 18, 998. [Google Scholar] [CrossRef]
- Kotzé, M.; Otto, A.; Jordaan, A.; Du Plessis, J. Whey Protein/Polysaccharide-Stabilized Oil Powders for Topical Application—Release and Transdermal Delivery of Salicylic Acid from Oil Powders Compared to Redispersed Powders. AAPS PharmSciTech 2015, 16, 835–845. [Google Scholar] [CrossRef]
- Wu, G.; Meininger, C.J.; McNeal, C.J.; Bazer, F.W.; Rhoads, J.M. Role of L-Arginine in Nitric Oxide Synthesis and Health in Humans. In Amino Acids in Nutrition and Health; Wu, G., Ed.; Advances in Experimental Medicine and Biology; Springer International Publishing: Cham, Switzerland, 2021; Volume 1332, pp. 167–187. ISBN 978-3-030-74179-2. [Google Scholar]
- Fujiwara, T.; Kanazawa, S.; Ichibori, R.; Tanigawa, T.; Magome, T.; Shingaki, K.; Miyata, S.; Tohyama, M.; Hosokawa, K. L-Arginine Stimulates Fibroblast Proliferation through the GPRC6A-ERK1/2 and PI3K/Akt Pathway. PLoS ONE 2014, 9, e92168. [Google Scholar] [CrossRef]
- Dimeji, I.Y.; Abass, K.S.; Audu, N.M.; Ayodeji, A.S. L-Arginine and Immune Modulation: A Pharmacological Perspective on Inflammation and Autoimmune Disorders. Eur. J. Pharmacol. 2025, 997, 177615. [Google Scholar] [CrossRef]
- Ji, Y.; Yang, X.; Ji, Z.; Zhu, L.; Ma, N.; Chen, D.; Jia, X.; Tang, J.; Cao, Y. DFT-Calculated IR Spectrum Amide I, II, and III Band Contributions of N-Methylacetamide Fine Components. ACS Omega 2020, 5, 8572–8578. [Google Scholar] [CrossRef]
- Rabotyagova, O.S.; Cebe, P.; Kaplan, D.L. Collagen Structural Hierarchy and Susceptibility to Degradation by Ultraviolet Radiation. Mater. Sci. Eng. C 2008, 28, 1420–1429. [Google Scholar] [CrossRef] [PubMed]
- Sadat, A.; Joye, I.J. Peak Fitting Applied to Fourier Transform Infrared and Raman Spectroscopic Analysis of Proteins. Appl. Sci. 2020, 10, 5918. [Google Scholar] [CrossRef]
- Bouhekka, A.; Bürgi, T. In Situ ATR-IR Spectroscopy Study of Adsorbed Protein: Visible Light Denaturation of Bovine Serum Albumin on TiO2. Appl. Surf. Sci. 2012, 261, 369–374. [Google Scholar] [CrossRef]
- Katsumoto, Y.; Tanaka, T.; Sato, H.; Ozaki, Y. Conformational Change of Poly(N-Isopropylacrylamide) during the Coil−Globule Transition Investigated by Attenuated Total Reflection/Infrared Spectroscopy and Density Functional Theory Calculation. J. Phys. Chem. A 2002, 106, 3429–3435. [Google Scholar] [CrossRef]
- Stani, C.; Vaccari, L.; Mitri, E.; Birarda, G. FTIR Investigation of the Secondary Structure of Type I Collagen: New Insight into the Amide III Band. Spectrochim. Acta Part A Mol. Biomol. Spectrosc. 2020, 229, 118006. [Google Scholar] [CrossRef]
- Kassem, A.; Abbas, L.; Coutinho, O.; Opara, S.; Najaf, H.; Kasperek, D.; Pokhrel, K.; Li, X.; Tiquia-Arashiro, S. Applications of Fourier Transform-Infrared Spectroscopy in Microbial Cell Biology and Environmental Microbiology: Advances, Challenges, and Future Perspectives. Front. Microbiol. 2023, 14, 1304081. [Google Scholar] [CrossRef]
- Merekalova, N.D.; Bondarenko, G.N.; Denisova, Y.I.; Krentsel, L.B.; Litmanovich, A.D.; Kudryavtsev, Y.V. Effect of Chain Structure on Hydrogen Bonding in Vinyl Acetate–Vinyl Alcohol Copolymers. J. Mol. Struct. 2017, 1134, 475–481. [Google Scholar] [CrossRef]
- Kloprogge, J.T.; Wharton, D.; Hickey, L.; Frost, R.L. Infrared and Raman Study of Interlayer Anions CO32−, NO3−, SO42− and ClO4− in Mg/Al-Hydrotalcite. Am. Mineral. 2002, 87, 623–629. [Google Scholar] [CrossRef]
- Sterjova, M.; Džodić, P.; Makreski, P.; Duatti, A.; Risteski, M.; Janevik-Ivanovska, E. Vibrational Spectroscopy as a Tool for Examination to the Secondary Structure of Metal-Labeled Trastuzumab Immunoconjugates. J. Radioanal. Nucl. Chem. 2019, 320, 209–218. [Google Scholar] [CrossRef]
- Alhazmi, H.A.; Al Bratty, M.; Meraya, A.M.; Najmi, A.; Alam, M.S.; Javed, S.A.; Ahsan, W. Spectroscopic Characterization of the Interactions of Bovine Serum Albumin with Medicinally Important Metal Ions: Platinum (IV), Iridium (III) and Iron (II). Acta Biochim. Pol. 2021, 68, 99–107. [Google Scholar] [CrossRef] [PubMed]
- Sizeland, K.H.; Hofman, K.A.; Hallett, I.C.; Martin, D.E.; Potgieter, J.; Kirby, N.M.; Hawley, A.; Mudie, S.T.; Ryan, T.M.; Haverkamp, R.G.; et al. Nanostructure of Electrospun Collagen: Do Electrospun Collagen Fibers Form Native Structures? Materialia 2018, 3, 90–96. [Google Scholar] [CrossRef]
- Ng, C.M.; Kui, V.; Li, R.; Kempson, E.R.; Mandziuk, M. Arginine: I. Interactions of Its Guanidinium Moiety with Branched Aliphatic Side Chains. J. Phys. Chem. B 2025, 129, 7421–7429. [Google Scholar] [CrossRef] [PubMed]
- Zhang, X.; Li, K.; Lu, N.; Takebayashi, T.; Zhou, B.; Xie, H.; Li, Y.; Long, X.; Qin, X.; Zhao, H.; et al. Structural and Functional Analysis of a Homotrimeric Collagen Peptide. Front. Bioeng. Biotechnol. 2025, 13, 1575341. [Google Scholar] [CrossRef]
- Sajan, D.; Joe, I.H.; Jayakumar, V.S. NIR-FT Raman, FT-IR and Surface-Enhanced Raman Scattering Spectra of Organic Nonlinear Optic Material:P-Hydroxy Acetophenone. J. Raman Spectrosc. 2006, 37, 508–519. [Google Scholar] [CrossRef]
- Grasel, F.D.S.; Ferrão, M.F.; Wolf, C.R. Development of Methodology for Identification the Nature of the Polyphenolic Extracts by FTIR Associated with Multivariate Analysis. Spectrochim. Acta Part A Mol. Biomol. Spectrosc. 2016, 153, 94–101. [Google Scholar] [CrossRef]
- Shang, F.; Tang, X.; Hu, Q.; Wang, Y.; Meng, X.; Zhu, Y. Chemical Structure Transformations in Kerogen from Longmaxi Shales in Response to Tectonic Stress as Investigated by HRTEM, FTIR, and 13C NMR. Energy Fuels 2021, 35, 19496–19506. [Google Scholar] [CrossRef]
- Nasrabadi, M.; Khalilabad, M.H.; Soorgi, H.; Nadaf, M. Isolation and Structure Elucidation of Methylphenylindole Alkaloid from Crucianella sintenisii Growing in Iran. J. Med. Chem. Sci. 2023, 6, 770–777. [Google Scholar]
- Ulpathakumbura, S.; Marikkar, N.; Jayasinghe, L. FTIR Spectral Correlation with Alpha-Glucosidase Inhibitory Activities of Selected Leafy Plants Extracts. IJPBP 2023, 3, 104–113. [Google Scholar] [CrossRef]
- Yildirim, A.; Acay, H. Methylene Blue and Malachite Green Dyes Adsorption onto Russula Delica/Bentonite/Tripolyphosphate. Heliyon 2025, 11, e41250. [Google Scholar] [CrossRef] [PubMed]
- Oliveira, R.N.; Mancini, M.C.; Oliveira, F.C.S.D.; Passos, T.M.; Quilty, B.; Thiré, R.M.D.S.M.; McGuinness, G.B. FTIR Analysis and Quantification of Phenols and Flavonoids of Five Commercially Available Plants Extracts Used in Wound Healing. Matéria 2016, 21, 767–779. [Google Scholar] [CrossRef]
- Nedea, M.I.; Bădiceanu, C.D.; Gheorghe-Barbu, I.; Marinaș, I.C.; Pericleanu, R.; Dragomir, R.-I.; Dumbravă, A.Ș.; Dascălu, A.M.; Șerban, D.; Tudor, C.; et al. Antifungal and Antioxidant Activity of Thiourea Derivatives Against Nosocomial Candida Auris Strains Isolated in Romania. Molecules 2025, 30, 1675. [Google Scholar] [CrossRef] [PubMed]
- Cintrón, M.; Hinchliffe, D. FT-IR Examination of the Development of Secondary Cell Wall in Cotton Fibers. Fibers 2015, 3, 30–40. [Google Scholar] [CrossRef]
- Calderón-Santoyo, M.; Calderón-Chiu, C.; Ragazzo-Sánchez, J.A. Characterisation of Hydrophilic Bioactive Extracts of Fruits from Mexico: Phenolic Content, Thermal and Kinetic and Thermodynamic Analysis. Plant Foods Hum. Nutr. 2025, 80, 83. [Google Scholar] [CrossRef]
- Tihăuan, B.-M.; Pircalabioru, G.G.; Axinie, M.; Marinaș, I.C.; Nicoară, A.-C.; Măruțescu, L.; Oprea, O.; Matei, E.; Maier, S.S. Crosslinked Collagenic Scaffold Behavior Evaluation by Physico-Chemical, Mechanical and Biological Assessments in an In Vitro Microenvironment. Polymers 2022, 14, 2430. [Google Scholar] [CrossRef]
- Cucos, A.; Budrugeac, P. Simultaneous TG/DTG–DSC–FTIR Characterization of Collagen in Inert and Oxidative Atmospheres. J. Therm. Anal. Calorim. 2014, 115, 2079–2087. [Google Scholar] [CrossRef]
- Motelica, L.; Ficai, D.; Petrisor, G.; Oprea, O.-C.; Trușcǎ, R.-D.; Ficai, A.; Andronescu, E.; Hudita, A.; Holban, A.M. Antimicrobial Hydroxyethyl-Cellulose-Based Composite Films with Zinc Oxide and Mesoporous Silica Loaded with Cinnamon Essential Oil. Pharmaceutics 2024, 16, 1225. [Google Scholar] [CrossRef]
- Kaczmarek, B.; Mazur, O. Collagen-Based Materials Modified by Phenolic Acids—A Review. Materials 2020, 13, 3641. [Google Scholar] [CrossRef]
- Liu, X.; Li, X.; Huang, Z.; Liao, X.; Shi, B. Interaction Mechanism of Collagen Peptides with Four Phenolic Compounds in the Ethanol-Water Solution. J. Leather. Sci. Eng. 2021, 3, 24. [Google Scholar] [CrossRef]
- Dang, X.; Yang, M.; Zhang, B.; Chen, H.; Wang, Y. Recovery and Utilization of Collagen Protein Powder Extracted from Chromium Leather Scrap Waste. Environ. Sci. Pollut. Res. 2019, 26, 7277–7283. [Google Scholar] [CrossRef] [PubMed]
- Cardoso, V.S.; Quelemes, P.V.; Amorin, A.; Primo, F.L.; Gobo, G.G.; Tedesco, A.C.; Mafud, A.C.; Mascarenhas, Y.P.; Corrêa, J.R.; Kuckelhaus, S.A.; et al. Collagen-Based Silver Nanoparticles for Biological Applications: Synthesis and Characterization. J. Nanobiotechnol. 2014, 12, 36. [Google Scholar] [CrossRef] [PubMed]
- Chong, Y.; Kleinhammes, A.; Tang, P.; Xu, Y.; Wu, Y. Dominant Alcohol–Protein Interaction via Hydration-Enabled Enthalpy-Driven Binding Mechanism. J. Phys. Chem. B 2015, 119, 5367–5375. [Google Scholar] [CrossRef]
- Arts, M.J.T.J.; Sebastiaan Dallinga, J.; Voss, H.-P.; Haenen, G.R.M.M.; Bast, A. A Critical Appraisal of the Use of the Antioxidant Capacity (TEAC) Assay in Defining Optimal Antioxidant Structures. Food Chem. 2003, 80, 409–414. [Google Scholar] [CrossRef]
- Liu, J.; Zhang, D.; Zhu, Y.; Wang, Y.; He, S.; Zhang, T. Enhancing the in Vitro Antioxidant Capacities via the Interaction of Amino Acids. Emir. J. Food Agric. 2018, 224, 1641. [Google Scholar] [CrossRef]
- Unni, V.; Abishad, P.; Mohan, B.; Arya, P.R.; Juliet, S.; John, L.; Vinod, V.K.; Karthikeyan, A.; Kurkure, N.V.; Barbuddhe, S.B.; et al. Antibacterial and Photocatalytic Potential of Piperine-Derived Zinc Oxide Nanoparticles against Multi-Drug-Resistant Non-Typhoidal Salmonella spp. BMC Microbiol. 2025, 25, 89. [Google Scholar] [CrossRef]
- Laranjinha, J.; Almeida, L.; Madeira, V. Reduction of Ferrylmyoglobin by Dietary Phenolic Acid Derivatives of Cinnamic Acid. Free Radic. Biol. Med. 1995, 19, 329–337. [Google Scholar] [CrossRef]
- Ao, J.; Li, B. Amino Acid Composition and Antioxidant Activities of Hydrolysates and Peptide Fractions from Porcine Collagen. Food Sci. Technol. Int. 2012, 18, 425–434. [Google Scholar] [CrossRef]
- Xie, Z.; Wang, X.; Yu, S.; He, M.; Yu, S.; Xiao, H.; Song, Y. Antioxidant and Functional Properties of Cowhide Collagen Peptides. J. Food Sci. 2021, 86, 1802–1818. [Google Scholar] [CrossRef]
- Gomes, A.; Fernandes, E.; Lima, J.; Mira, L.; Corvo, M. Molecular Mechanisms of Anti-Inflammatory Activity Mediated by Flavonoids. Curr. Med. Chem. 2008, 15, 1586–1605. [Google Scholar] [CrossRef]
- Nam, G.; Hong, M.; Lee, J.; Lee, H.J.; Ji, Y.; Kang, J.; Baik, M.-H.; Lim, M.H. Multiple Reactivities of Flavonoids towards Pathological Elements in Alzheimer’s Disease: Structure–Activity Relationship. Chem. Sci. 2020, 11, 10243–10254. [Google Scholar] [CrossRef] [PubMed]
- Tarabishi, A.A.; Mashhoud, J.; Tahan, Z.S. Quercetin and Rutin as a Dual Approach to Antibacterial and Anti-Biofilm Activity via Iron Chelation Mechanism. Discov. Food 2024, 4, 189. [Google Scholar] [CrossRef]
- Platzer, M.; Kiese, S.; Herfellner, T.; Schweiggert-Weisz, U.; Miesbauer, O.; Eisner, P. Common Trends and Differences in Antioxidant Activity Analysis of Phenolic Substances Using Single Electron Transfer Based Assays. Molecules 2021, 26, 1244. [Google Scholar] [CrossRef] [PubMed]
- Tao, Y.; Zhang, H.; Wang, Y. Revealing and Predicting the Relationship between the Molecular Structure and Antioxidant Activity of Flavonoids. LWT 2023, 174, 114433. [Google Scholar] [CrossRef]
- Kusaba, T. Safety and Efficacy of Cefazolin Sodium in the Management of Bacterial Infection and in Surgical Prophylaxis. Clin. Medicine. Ther. 2009, 1, CMT.S2096. [Google Scholar] [CrossRef]
- Kristich, C.J.; Rice, L.B.; Arias, C.A. Enterococcal Infection—Treatment and Antibiotic Resistance. In Enterococci: From Commensals to Leading Causes of Drug Resistant Infection; Gilmore, M.S., Clewell, D.B., Ike, Y., Shankar, N., Eds.; Massachusetts Eye and Ear Infirmary: Boston, USA, 2014. [Google Scholar]
- Leroy, A.-G.; Crenn, V.; Le Turnier, P.; Pineau, S.; Grossi, O.; Bémer, P. Cefazolin Resistance among Gram-Negative Bacilli Isolated from Prosthetic Joint Infections: A French Observational Study. Clin. Microbiol. Infect. 2023, 29, 263–264. [Google Scholar] [CrossRef]
- Singh, S.; Singh, A.K.; Singh, S.K.; Yadav, V.B.; Kumar, A.; Nath, G. Current Update on the Antibiotic Resistance Profile and the Emergence of Colistin Resistance in Enterobacter Isolates from Hospital-Acquired Infections. Microbe 2025, 8, 100432. [Google Scholar] [CrossRef]
- Fernández, L.; Hancock, R.E.W. Adaptive and Mutational Resistance: Role of Porins and Efflux Pumps in Drug Resistance. Clin. Microbiol. Rev. 2012, 25, 661–681. [Google Scholar] [CrossRef]
- Kaderabkova, N.; Bharathwaj, M.; Furniss, R.C.D.; Gonzalez, D.; Palmer, T.; Mavridou, D.A.I. The Biogenesis of β-Lactamase Enzymes. Microbiology 2022, 168, 1217. [Google Scholar] [CrossRef]
- Puca, V.; Marulli, R.Z.; Grande, R.; Vitale, I.; Niro, A.; Molinaro, G.; Prezioso, S.; Muraro, R.; Di Giovanni, P. Microbial Species Isolated from Infected Wounds and Antimicrobial Resistance Analysis: Data Emerging from a Three-Years Retrospective Study. Antibiotics 2021, 10, 1162. [Google Scholar] [CrossRef] [PubMed]
- Zhao, G.; Usui, M.L.; Lippman, S.I.; James, G.A.; Stewart, P.S.; Fleckman, P.; Olerud, J.E. Biofilms and Inflammation in Chronic Wounds. Adv. Wound Care 2013, 2, 389–399. [Google Scholar] [CrossRef] [PubMed]
- ISO 10993-4:2017; Biological Evaluation of Medical Devices—Part 4: Selection of Tests for Interactions with Blood. International Organization for Standardization (ISO): Geneva, Switzerland, 2017.
- ASTM F756-17; Standard Practice for Assessment of Hemolytic Properties of Materials. ASTM International: West Conshohocken, PA, USA, 2017.
- Zahin, M.; Bokhari, N.A.; Ahmad, I.; Husain, F.M.; Althubiani, A.S.; Alruways, M.W.; Perveen, K.; Shalawi, M. Antioxidant, Antibacterial, and Antimutagenic Activity of Piper nigrum Seeds Extracts. Saudi J. Biol. Sci. 2021, 28, 5094–5105. [Google Scholar] [CrossRef] [PubMed]
- Pei, H.; Xue, L.; Tang, M.; Tang, H.; Kuang, S.; Wang, L.; Ma, X.; Cai, X.; Li, Y.; Zhao, M.; et al. Alkaloids from Black Pepper (Piper nigrum L.) Exhibit Anti-Inflammatory Activity in Murine Macrophages by Inhibiting Activation of NF-κB Pathway. J. Agric. Food Chem. 2020, 68, 2406–2417. [Google Scholar] [CrossRef]
- Zhai, W.; Zhang, Z.; Xu, N.; Guo, Y.; Qiu, C.; Li, C.; Deng, G.; Guo, M. Piperine Plays an Anti-Inflammatory Role in Staphylococcus aureus Endometritis by Inhibiting Activation of NF-κB and MAPK Pathways in Mice. Evid.-Based Complement. Altern. Med. 2016, 2016, 8597208. [Google Scholar] [CrossRef]
- Hartati, H.; Irma, S.I.; Iwan, D.; Nur, R.; Alimuddin, A. Wound Healing Effects of Piper nigrum L. and Coffea canephora in Rats. Mater. Sci. Forum 2019, 967, 9–14. [Google Scholar] [CrossRef]
- Al-Shahwany, A.W. Alkaloids and Phenolic Compound Activity of Piper nigrum against Some Human Pathogenic Bacteria. Biomed. Biotechnol. 2014, 2, 20–28. [Google Scholar]
- Sharma, H.; Sharma, N.; An, S.S.A. Black Pepper (Piper nigrum) Alleviates Oxidative Stress, Exerts Potential Anti-Glycation and Anti-AChE Activity: A Multitargeting Neuroprotective Agent against Neurodegenerative Diseases. Antioxidants 2023, 12, 1089. [Google Scholar] [CrossRef]
- Yaman, I.; Derici, H.; Kara, C.; Kamer, E.; Diniz, G.; Ortac, R.; Sayin, O. Effects of Resveratrol on Incisional Wound Healing in Rats. Surg. Today 2013, 43, 1433–1438. [Google Scholar] [CrossRef]
- Park, J.Y.; Lee, Y.K.; Lee, D.-S.; Yoo, J.-E.; Shin, M.-S.; Yamabe, N.; Kim, S.-N.; Lee, S.; Kim, K.H.; Lee, H.-J.; et al. Abietic Acid Isolated from Pine Resin (Resina Pini) Enhances Angiogenesis in HUVECs and Accelerates Cutaneous Wound Healing in Mice. J. Ethnopharmacol. 2017, 203, 279–287. [Google Scholar] [CrossRef]
- Gong, G.; Guan, Y.-Y.; Zhang, Z.-L.; Rahman, K.; Wang, S.-J.; Zhou, S.; Luan, X.; Zhang, H. Isorhamnetin: A Review of Pharmacological Effects. Biomed. Pharmacother. 2020, 128, 110301. [Google Scholar] [CrossRef]
- Fernández, M.A.; Tornos, M.P.; García, M.D.; De Las Heras, B.; Villar, A.M.; Sáenz, M.T. Anti-Inflammatory Activity of Abietic Acid, a Diterpene Isolated from Pimenta racemosa Var. Grissea. J. Pharm. Pharmacol. 2001, 53, 867–872. [Google Scholar] [CrossRef] [PubMed]
- Poole-Wilson, P.A.; Langer, G.A. Effect of pH on Ionic Exchange and Function in Rat and Rabbit Myocardium. Am. J. Physiol. 1975, 229, 570–581. [Google Scholar] [CrossRef] [PubMed]
- Park, J.; Kim, J.E.; Jin, Y.J.; Roh, Y.J.; Song, H.J.; Seol, A.; Park, S.H.; Seo, S.; Lee, H.; Hwang, D.Y. Anti-Atopic Dermatitis Effects of Abietic Acid Isolated from Rosin under Condition Optimized by Response Surface Methodology in DNCB-Spread BALB/c Mice. Pharmaceuticals 2023, 16, 407. [Google Scholar] [CrossRef] [PubMed]
- Mirgorodskaya, A.; Kushnazarova, R.; Pavlov, R.; Valeeva, F.; Lenina, O.; Bushmeleva, K.; Kuryashov, D.; Vyshtakalyuk, A.; Gaynanova, G.; Petrov, K.; et al. Supramolecular Tools to Improve Wound Healing and Antioxidant Properties of Abietic Acid: Biocompatible Microemulsions and Emulgels. Molecules 2022, 27, 6447. [Google Scholar] [CrossRef]
- Ahmad, B.; Tian, C.; Tang, J.-X.; Dumbuya, J.S.; Li, W.; Lu, J. Anticancer Activities of Natural Abietic Acid. Front. Pharmacol. 2024, 15, 1392203. [Google Scholar] [CrossRef]
- Sharma, K.; Ramachandran, V.; Sharma, A.; Mohanasundaram, T.; Mageshkumar, H. Phloridzin’s Diabetic Wound Healing Potential through DPP-4 Enzyme Inhibition: A Review Article. Curr. Diabetes Rev. 2025, 21, e260424229344. [Google Scholar] [CrossRef]
- Yang, Y.; Ma, S.; Li, A.; Xia, G.; Li, M.; Ding, C.; Sun, X.; Yan, L.; Yang, M.; Zhao, T. Antibacterial and Antioxidant Phlorizin-Loaded Nanofiber Film Effectively Promotes the Healing of Burn Wounds. Front. Bioeng. Biotechnol. 2024, 12, 1428988. [Google Scholar] [CrossRef]
- Raduly, F.M.; Raditoiu, V.; Raditoiu, A.; Nicolae, C.A.; Grapin, M.; Stan, M.S.; Voinea, I.C.; Vlasceanu, R.-I.; Nitu, C.D.; Mihailescu, D.F.; et al. Half-Curcuminoids Encapsulated in Alginate–Glucosamine Hydrogel Matrices as Bioactive Delivery Systems. Gels 2024, 10, 376. [Google Scholar] [CrossRef]
- Dumitrascu, F.; Udrea, A.-M.; Caira, M.R.; Nuta, D.C.; Limban, C.; Chifiriuc, M.C.; Popa, M.; Bleotu, C.; Hanganu, A.; Dumitrescu, D.; et al. In Silico and Experimental Investigation of the Biological Potential of Some Recently Developed Carprofen Derivatives. Molecules 2022, 27, 2722. [Google Scholar] [CrossRef]
- Ayaz, M.; Ullah, F.; Sadiq, A.; Ullah, F.; Ovais, M.; Ahmed, J.; Devkota, H.P. Synergistic Interactions of Phytochemicals with Antimicrobial Agents: Potential Strategy to Counteract Drug Resistance. Chem.-Biol. Interact. 2019, 308, 294–303. [Google Scholar] [CrossRef] [PubMed]
- Uddin, M.R.; Akhter, F.; Abedin, M.J.; Shaikh, M.A.A.; Al Mansur, M.A.; Saydur Rahman, M.; Molla Jamal, A.S.I.; Akbor, M.A.; Hossain, M.H.; Sharmin, S.; et al. Comprehensive Analysis of Phytochemical Profiling, Cytotoxic and Antioxidant Potentials, and Identification of Bioactive Constituents in Methanoic Extracts of Sonneratia Apetala Fruit. Heliyon 2024, 10, e33507. [Google Scholar] [CrossRef] [PubMed]
- Kumar, G.; Virmani, T.; Sharma, A.; Pathak, K. Codelivery of Phytochemicals with Conventional Anticancer Drugs in Form of Nanocarriers. Pharmaceutics 2023, 15, 889. [Google Scholar] [CrossRef] [PubMed]
- Gulcin, İ.; Alwasel, S.H. DPPH Radical Scavenging Assay. Processes 2023, 11, 2248. [Google Scholar] [CrossRef]
- Munteanu, I.G.; Apetrei, C. Analytical Methods Used in Determining Antioxidant Activity: A Review. Int. J. Mol. Sci. 2021, 22, 3380. [Google Scholar] [CrossRef]
- Mishra, K.; Ojha, H.; Chaudhury, N.K. Estimation of Antiradical Properties of Antioxidants Using DPPH Assay: A Critical Review and Results. Food Chem. 2012, 130, 1036–1043. [Google Scholar] [CrossRef]
- Bibi Sadeer, N.; Montesano, D.; Albrizio, S.; Zengin, G.; Mahomoodally, M.F. The Versatility of Antioxidant Assays in Food Science and Safety—Chemistry, Applications, Strengths, and Limitations. Antioxidants 2020, 9, 709. [Google Scholar] [CrossRef]
- Fang, Y.; Wu, G.; Ding, Y.; Niu, Z.; Feng, J.; Guo, R.; He, S.; Wang, X.; Zhu, H.; Dong, W.; et al. Phenolic Constituents in Pepper (Piper nigrum L.) Berries: UPLC-MS/MS Analysis, Antioxidant Properties, Antibacterial Activity against Pseudomonas Fragi and Association Analyzed by WCGNA. Food Chem. X 2025, 29, 102810. [Google Scholar] [CrossRef]
- Spiegel, M.; Kapusta, K.; Kołodziejczyk, W.; Saloni, J.; Żbikowska, B.; Hill, G.A.; Sroka, Z. Antioxidant Activity of Selected Phenolic Acids–Ferric Reducing Antioxidant Power Assay and QSAR Analysis of the Structural Features. Molecules 2020, 25, 3088. [Google Scholar] [CrossRef]
- Vlocskó, R.B.; Mastyugin, M.; Török, B.; Török, M. Correlation of Physicochemical Properties with Antioxidant Activity in Phenol and Thiophenol Analogues. Sci. Rep. 2025, 15, 73. [Google Scholar] [CrossRef]
- Dhiman, P.; Malik, N.; Khatkar, A. Natural Based Piperine Derivatives as Potent Monoamine Oxidase Inhibitors: An in Silico ADMET Analysis and Molecular Docking Studies. BMC Chem. 2020, 14, 12. [Google Scholar] [CrossRef] [PubMed]
- Liu, Y.; Yang, X.; Liu, Y.; Jiang, T.; Ren, S.; Chen, J.; Xiong, H.; Yuan, M.; Li, W.; Machens, H.; et al. NRF2 Signalling Pathway: New Insights and Progress in the Field of Wound Healing. J Cell. Mol. Medi 2021, 25, 5857–5868. [Google Scholar] [CrossRef] [PubMed]
- Esoh, R.T.; Tchoffo Davila, D.; Gyampoh, S. Evaluation of the Phytochemicals and Antimicrobial Properties of Tetrapleura Tetraptera and Piper nigrum. Mod. J. Health Appl. Sci. 2024, 1, 1–9. [Google Scholar] [CrossRef]
- Khan, A.; Bukhari, N.T.; Ullah, W.; Nisa, I.; Ali, H.; Ghani, K.; Akber, M.; Jawariy, M.; Khan, N.; Jan, K.S.; et al. Evaluation of antibacterial activity of Piper nigrum and cuminum cyminum extracts on bacterial isolates from throat infection. JPTCP 2023, 4, 1412–1422. [Google Scholar] [CrossRef]
- Bawazeer, S.; Khan, I.; Rauf, A.; Aljohani, A.S.M.; Alhumaydhi, F.A.; Khalil, A.A.; Qureshi, M.N.; Ahmad, L.; Khan, S.A. Black Pepper (Piper nigrum) Fruit-Based Gold Nanoparticles (BP-AuNPs): Synthesis, Characterization, Biological Activities, and Catalytic Applications–A Green Approach. Green Process. Synth. 2022, 11, 11–28. [Google Scholar] [CrossRef]
- Chatterjee, B.; Arun Renganathan, R.R.; Vittal, R.R. Phytoconstituents from (Piper Nigrum L.) Black Pepper Essential Oil (BPEO) Acts as Anti-Virulent to Fight Quorum Sensing, an Analysis through in-Vitro and in-Silico Studies. Ind. Crops Prod. 2025, 225, 120469. [Google Scholar] [CrossRef]
- Zhang, J.; Ye, K.-P.; Zhang, X.; Pan, D.-D.; Sun, Y.-Y.; Cao, J.-X. Antibacterial Activity and Mechanism of Action of Black Pepper Essential Oil on Meat-Borne Escherichia Coli. Front. Microbiol. 2017, 7, 2094. [Google Scholar] [CrossRef]
- Khan, I.A.; Mirza, Z.M.; Kumar, A.; Verma, V.; Qazi, G.N. Piperine, a Phytochemical Potentiator of Ciprofloxacin against Staphylococcus aureus. Antimicrob. Agents Chemother. 2006, 50, 810–812. [Google Scholar] [CrossRef]
- Prabhu, A.; Chembili, V.; Kandal, T.; Punchappady-Devasya, R. Piper nigrum Seeds Inhibit Biofilm Formation in Pseudomonas aeruginosa Strains. Res. J. Pharm. Technol. 2017, 10, 3894. [Google Scholar] [CrossRef]
- Baishya, J.; Wakeman, C.A. Selective Pressures during Chronic Infection Drive Microbial Competition and Cooperation. NPJ Biofilms Microbiomes 2019, 5, 16. [Google Scholar] [CrossRef]
- Oliveira, M.; Cunha, E.; Tavares, L.; Serrano, I.P. Aeruginosa Interactions with Other Microbes in Biofilms during Co-Infection. AIMSMICRO 2023, 9, 612–646. [Google Scholar] [CrossRef]
- Alateeqi, D.I.M.; Al-Touby, S.S.J.; Hossain, M.A. Evaluation of Bacteriostatic and Antioxidant Activities of Various Extracts from Aerial Part of Piper nigrum Grown in Gulf Countries Traditionally Used for the Treatment of Various Infectious Diseases. J. Umm Al-Qura Univ. Appl. Sci. 2025, 11, 84–90. [Google Scholar] [CrossRef]
- Karsha, P.V.; Lakshmi, O.B. Antibacterial Activity of Black Pepper (Piper nigrum Linn.) with Special Reference to Its Mode of Action on Bacteria. Indian J. Nat. Prod. Resour. 2010, 1, 213–215. [Google Scholar]
- Zarai, Z.; Boujelbene, E.; Ben Salem, N.; Gargouri, Y.; Sayari, A. Antioxidant and Antimicrobial Activities of Various Solvent Extracts, Piperine and Piperic Acid from Piper nigrum. LWT Food Sci. Technol. 2013, 50, 634–641. [Google Scholar] [CrossRef]
- Han, X.; Beaumont, C.; Rodriguez, D.; Bahr, T. Black Pepper (Piper nigrum) Essential Oil Demonstrates Tissue Remodeling and Metabolism Modulating Potential in Human Cells. Phytother. Res. 2018, 32, 1848–1852. [Google Scholar] [CrossRef]
- Moraru, A.C. Insights of the antimicrobial activity of piperine extracted from Piper nigrum L. FARMACIA 2019, 67, 1099–1105. [Google Scholar] [CrossRef]
- Dyer, L.A.; Richards, J.; Dodson, C.D. Isolation, Synthesis, and Evolutionary Ecology of Piper Amides. In Piper: A Model Genus for Studies of Phytochemistry, Ecology, and Evolution; Dyer, L.A., Palmer, A.D.N., Eds.; Springer: Boston, MA, USA, 2004; pp. 117–139. ISBN 978-1-4757-1008-3. [Google Scholar]
- Marinas, I.C.; Ignat, L.; Maurușa, I.E.; Gaboreanu, M.D.; Adina, C.; Popa, M.; Chifiriuc, M.C.; Angheloiu, M.; Georgescu, M.; Iacobescu, A.; et al. Insights into the Physico-Chemical and Biological Characterization of Sodium Lignosulfonate Silver Nanosystems Designed for Wound Management. Heliyon 2024, 10, e26047. [Google Scholar] [CrossRef] [PubMed]
- Tiwari, A.; Mahadik, K.R.; Gabhe, S.Y. Piperine: A Comprehensive Review of Methods of Isolation, Purification, and Biological Properties. Med. Drug Discov. 2020, 7, 100027. [Google Scholar] [CrossRef]
- Zhang, C.; Gu, F.; Hu, W.; Wu, G.; Chen, W.; Dong, C.; Niu, Z. Effect of Extraction Technique on Chemical Compositions and Antioxidant Activities of Freeze-Dried Green Pepper. Front. Nutr. 2022, 9, 998840. [Google Scholar] [CrossRef] [PubMed]
- Tourabi, M.; Faiz, K.; Ezzouggari, R.; Louasté, B.; Merzouki, M.; Dauelbait, M.; Bourhia, M.; Almaary, K.S.; Siddique, F.; Lyoussi, B.; et al. Optimization of Extraction Process and Solvent Polarities to Enhance the Recovery of Phytochemical Compounds, Nutritional Content, and Biofunctional Properties of Mentha longifolia L. Extracts. Bioresour. Bioprocess. 2025, 12, 24. [Google Scholar] [CrossRef]
- Zhao, K.; Tian, X.; Xing, J.; Huang, N.; Zhang, H.; Zhao, H.; Wang, W. Tunable Mechanical Behavior of Collagen-Based Films: A Comparison of Celluloses in Different Geometries. Int. J. Biol. Macromol. 2022, 214, 120–127. [Google Scholar] [CrossRef]
- Nayeem, A.; Suresh, A.S.; Vellapandian, C.; Singh, S.; Elossaily, G.M.; Prajapati, B.G. Comprehensive Insights into Cephalosporins: Spectrum, Generations, and Clinical Applications. Curr. Drug Ther. 2024, 21. [Google Scholar] [CrossRef]
- Ferreira, R.J.; Kasson, P.M. Antibiotic Uptake Across Gram-Negative Outer Membranes: Better Predictions Towards Better Antibiotics. ACS Infect. Dis. 2019, 5, 2096–2104. [Google Scholar] [CrossRef]
- Rameshkumar, G.; Dhandapani, R.; Lalitha, P.; Rajapandian, S.G.K.; Palanivel, V.; Thangavelu, S.; Alyousef, A.A.; Albalawi, T.; Alam, P.; Zubair, M.; et al. Prevalence and Molecular Characterization of Metallo β-Lactamase Producing Gram-Negative Pathogens Causing Eye Infections. Front. Public Health 2022, 10, 870354. [Google Scholar] [CrossRef] [PubMed]
- Bonev, B.; Hooper, J.; Parisot, J. Principles of Assessing Bacterial Susceptibility to Antibiotics Using the Agar Diffusion Method. J. Antimicrob. Chemother. 2008, 61, 1295–1301. [Google Scholar] [CrossRef] [PubMed]
- Hossain, T.J. Methods for Screening and Evaluation of Antimicrobial Activity: A Review of Protocols, Advantages, and Limitations. EuJMI 2024, 14, 97–115. [Google Scholar] [CrossRef]
- Ghatbale, P.; Sah, G.P.; Dunham, S.; Khong, E.; Blanc, A.; Monsibais, A.; Garcia, A.; Schooley, R.T.; Cobián Güemes, A.G.; Whiteson, K.; et al. In Vitro Resensitization of Multidrug-Resistant Clinical Isolates of Enterococcus faecium and E. faecalis through Phage-Antibiotic Synergy. Antimicrob. Agents Chemother. 2025, 69, e00740-24. [Google Scholar] [CrossRef]
- Tomczak, S.; Gostyńska, A.; Nadolna, M.; Reisner, K.; Orlando, M.; Jelińska, A.; Stawny, M. Stability and Compatibility Aspects of Drugs: The Case of Selected Cephalosporins. Antibiotics 2021, 10, 549. [Google Scholar] [CrossRef]
- Falanga, V.; Isseroff, R.R.; Soulika, A.M.; Romanelli, M.; Margolis, D.; Kapp, S.; Granick, M.; Harding, K. Chronic Wounds. Nat. Rev. Dis. Primers 2022, 8, 50. [Google Scholar] [CrossRef]
- Guan, H.; Dong, W.; Lu, Y.; Jiang, M.; Zhang, D.; Aobuliaximu, Y.; Dong, J.; Niu, Y.; Liu, Y.; Guan, B.; et al. Distribution and Antibiotic Resistance Patterns of Pathogenic Bacteria in Patients with Chronic Cutaneous Wounds in China. Front. Med. 2021, 8, 609584. [Google Scholar] [CrossRef]
- Sachdeva, C.; Satyamoorthy, K.; Murali, T.S. Microbial Interplay in Skin and Chronic Wounds. Curr. Clin. Micro. Rpt. 2022, 9, 21–31. [Google Scholar] [CrossRef]
- Severn, M.M.; Horswill, A.R. Staphylococcus Epidermidis and Its Dual Lifestyle in Skin Health and Infection. Nat. Rev. Microbiol. 2023, 21, 97–111. [Google Scholar] [CrossRef] [PubMed]
- Prashant, A.; Rangaswamy, C.; Yadav, A.; Reddy, V.; Sowmya, M.; Madhunapantula, S. In Vitro Anticancer Activity of Ethanolic Extracts of Piper nigrum against Colorectal Carcinoma Cell Lines. Int. J. Appl. Basic Med. Res. 2017, 7, 67. [Google Scholar] [CrossRef] [PubMed]
- Ghasemi, M.; Nowroozzadeh, M.H.; Ghorat, F.; Iraji, A.; Hashempur, M.H. Piperine and Its Nanoformulations: A Mechanistic Review of Their Anti-Cancer Activities. Biomed. Pharmacother. 2025, 187, 118075. [Google Scholar] [CrossRef] [PubMed]
- Ramos, I.N.D.F.; Da Silva, M.F.; Lopes, J.M.S.; Cruz, J.N.; Alves, F.S.; Do Rego, J.D.A.R.; Costa, M.L.D.; Assumpção, P.P.D.; Barros Brasil, D.D.S.; Khayat, A.S. Extraction, Characterization, and Evaluation of the Cytotoxic Activity of Piperine in Its Isolated Form and in Combination with Chemotherapeutics against Gastric Cancer. Molecules 2023, 28, 5587. [Google Scholar] [CrossRef]
- Bernard, M.; Jubeli, E.; Pungente, M.D.; Yagoubi, N. Biocompatibility of Polymer-Based Biomaterials and Medical Devices Regulations, in Vitro Screening and Risk-Management. Biomater. Sci. 2018, 6, 2025–2053. [Google Scholar] [CrossRef]
- Uhljar, L.É.; Ambrus, R. Electrospinning of Potential Medical Devices (Wound Dressings, Tissue Engineering Scaffolds, Face Masks) and Their Regulatory Approach. Pharmaceutics 2023, 15, 417. [Google Scholar] [CrossRef]
- Hu, L.; Luo, Y.; Yang, J.; Cheng, C. Botanical Flavonoids: Efficacy, Absorption, Metabolism and Advanced Pharmaceutical Technology for Improving Bioavailability. Molecules 2025, 30, 1184. [Google Scholar] [CrossRef]
- Kaltalioglu, K. Sinapic Acid-Loaded Gel Accelerates Diabetic Wound Healing Process by Promoting Re-Epithelialization and Attenuating Oxidative Stress in Rats. Biomed. Pharmacother. 2023, 163, 114788. [Google Scholar] [CrossRef]
- Zhang, Q.; Feng, Y.; Zhao, J.; Sun, S.; Zheng, T.; Wang, J.; Chen, H.; Ye, H.; Lv, S.; Zhang, Y.; et al. Caffeic Acid-Mediated Photodynamic Multifunctional Hyaluronic Acid-Gallic Acid Hydrogels with Instant and Enduring Bactericidal Potency Accelerate Bacterial Infected Wound Healing. Int. J. Biol. Macromol. 2024, 282, 136877. [Google Scholar] [CrossRef]
- Kumar, M.; Kaushik, D.; Shubham, S.; Kumar, A.; Kumar, V.; Oz, E.; Brennan, C.; Zeng, M.; Proestos, C.; Çadırcı, K.; et al. Ferulic Acid: Extraction, Estimation, Bioactivity and Applications for Human Health and Food. J. Sci. Food Agric. 2025, 105, 4168–4177. [Google Scholar] [CrossRef]
- Flores-Pérez, A.; Angeles-Villegas, R.M.; Villanueva-Martínez, A.; Delgado-Buenrostro, N.L.; Chirino, Y.I.; Nava-Arzaluz, M.G.; Piñón-Segundo, E.; Ganem-Rondero, A. Thermosensitive Hydrogel with Nanostructured Lipid Carriers (NLC) for the Topical Administration of Curcuminoids, Resveratrol, and Piperine Intended for the Treatment of Psoriasis. Pharm. Dev. Technol. 2025, 953–978. [Google Scholar] [CrossRef] [PubMed]
- Lin, C.; Lin, F.; Wang, J.; Li, R.; Ming, Y.; Li, X.; Sun, J.; Jiao, L.; Liu, H.; Tang, J.; et al. Mupirocin-Piperine Microemulsion Hydrogels Accelerate Healing of Infected Wounds through Deep Penetration and Biofilm Disruption. Mol. Pharm. 2025, 22, 4230–4244. [Google Scholar] [CrossRef] [PubMed]
- Pathak, D.; Mazumder, A. A Critical Overview of Challenging Roles of Medicinal Plants in Improvement of Wound Healing Technology. DARU J. Pharm. Sci. 2024, 32, 379–419. [Google Scholar] [CrossRef] [PubMed]
- Ghannam, M.M.; Mady, M.M.; Khalil, W.A. Interaction of Type-I Collagen with Phospholipid Monolayer. Biophys. Chem. 1999, 80, 31–40. [Google Scholar] [CrossRef]
- Parmar, A.S.; Xu, F.; Pike, D.H.; Belure, S.V.; Hasan, N.F.; Drzewiecki, K.E.; Shreiber, D.I.; Nanda, V. Metal Stabilization of Collagen and de Novo Designed Mimetic Peptides. Biochemistry 2015, 54, 4987–4997. [Google Scholar] [CrossRef]
- Onache, P.A.; Florea, A.; Geana, E.-I.; Ciucure, C.T.; Ionete, R.E.; Sumedrea, D.I.; Tița, O. Assessment of Bioactive Phenolic Compounds in Musts and the Corresponding Wines of White and Red Grape Varieties. Appl. Sci. 2023, 13, 5722. [Google Scholar] [CrossRef]
- Joshi, S.; Salahuddin; Mazumder, A.; Kumar, R.; Shabana, K.; Tyagi, S.; Rana, K.; Ahsan, M.J.; Yar, M.S.; Arya, A.; et al. Significant Advancement in Various Synthetic Strategies and Pharmacotherapy of Piperine Derivatives: A Review. Curr. Top. Med. Chem. 2023, 23, 2394–2415. [Google Scholar] [CrossRef]
- Sanatombi, K. Antioxidant Potential and Factors Influencing the Content of Antioxidant Compounds of Pepper: A Review with Current Knowledge. Comp. Rev. Food Sci. Food Safe 2023, 22, 3011–3052. [Google Scholar] [CrossRef]
- Corbu, V.M.; Gheorghe-Barbu, I.; Marinas, I.C.; Avramescu, S.M.; Pecete, I.; Geanǎ, E.I.; Chifiriuc, M.C. Eco-Friendly Solution Based on Rosmarinus Officinalis Hydro-Alcoholic Extract to Prevent Biodeterioration of Cultural Heritage Objects and Buildings. Int. J. Mol. Sci. 2022, 23, 11463. [Google Scholar] [CrossRef]
- Re, R.; Pellegrini, N.; Proteggente, A.; Pannala, A.; Yang, M.; Rice-Evans, C. Antioxidant Activity Applying an Improved ABTS Radical Cation Decolorization Assay. Free Radic. Biol. Med. 1999, 26, 1231–1237. [Google Scholar] [CrossRef]
- Marinas, I.C.; Gradisteanu Pircalabioru, G.; Oprea, E.; Geana, E.-I.; Zgura, I.; Romanitan, C.; Matei, E.; Angheloiu, M.; Brincoveanu, O.; Georgescu, M.; et al. Physico-Chemical and pro-Wound Healing Properties of Microporous Cellulosic Sponge from Gleditsia Triacanthos Pods Functionalized with Phytolacca Americana Fruit Extract. Cellulose 2023, 30, 10313–10339. [Google Scholar] [CrossRef]
- Nedea, M.I.; Marinaș, I.C.; Buleandra, M.; Muntean, D.M.; Bădoiu, S.C.; Solomon, M.; Popescu, O.; Șerban, D.; Dascălu, A.M.; Tudor, C.; et al. Synergistic effects of fluconazole and rosmarinus officinalis essential oil against Candida spp. Strains. FARMACIA 2025, 73, 450–460. [Google Scholar] [CrossRef]











| Analytical Parameter | P. nigrum Extract Used for Formulation | P. nigrum Dry Extract (4.06 mg/mL Extract) |
|---|---|---|
| TPC | 497.57 ± 4.81 µg GAE/mL | 122.6 ± 1.19 mg GAE/g |
| TFC | 80.25 ± 1.40 µg QE/mL | 19.8 ± 0.35 mg QE/g |
| DPPH (IC50) | 41.14 ± 4.33 µL/mL | 167.03 ± 17.58 µg/mL |
| CUPRAC | 1.04 ± 0.03 mM ET/mL | 256.16 ± 7.39 µM ET/g |
| FRAP | 2.15 ± 0.02 mM ET/mL | 529.56 ± 4.93 µM ET/g |
| TEAC | 0.75 ± 0.04 mM ET/mL | 185.76 ± 9.77 µM ET/g |
| Compound Name | R.T. (min) | Accurate Mass [M − H]+/[M − H]− | MS2 Fragments (m/z) | Concentration (µg/L) |
|---|---|---|---|---|
| Gallic acid | 1.97 | 169.0133 | 169.0133; 125.0231 | nd |
| 3,4-Dihydroxybenzoic acid | 3.98 | 153.0183 | 109.0281 | 2107.18 ± 81.97 |
| 2,5-Dihydroxybenzoic acid | 6.58 | 53.0183 | 109.0342; 153.0261 | 33.32 ± 0.54 |
| 4-Hydroxybenzoic acid | 6.28 | 137.0232 | 118.9650; 96.9588; 71.0124 | nd |
| Caffeic acid | 7.98 | 179.0342 | 135.0440 | 96.97 ± 7.40 |
| Syringic acid | 8.18 | 197.0446 | 182.0212; 166.9976; 153.0547; 138.0311; 123.0075 | nd |
| Vanillic acid | 3.48 | 167.0341 | 152.0116; 108.0229; 123.0441 | 98.75 ± 5.32 |
| p-Coumaric acid | 8.67 | 163.0388 | 119.0489 | nd |
| Sinapic acid | 8.77 | 223.0608 | 79.7560; 95.9510; 118.9651 | 2365.64 ± 96.99 |
| Ferulic acid | 8.87 | 193.0499 | 178.0262; 134.0361 | nd |
| Ellagic acid | 9.71 | 300.9992 | 300.9990 | 43.25 ± 3.84 |
| Abscisic acid | 9.95 | 263.1290 | 179.9803; 191.9454 | nd |
| Abietic acid | 21.80 | 303.1996 | 96.9587; 183.0113; 79.9559 | 343.01 ± 19.62 |
| Σ phenolic acids (µg/L) | 5088.11 | |||
| Catechin | 7.53 | 289.0718 | 109.0282; 123.0349; 125.0232; 137.0232; 151.0390; 203.0708 | 15.48 ± 1.02 |
| Epicatechin | 8.13 | 44.38 ± 2.93 | ||
| Myricetin * | 8.61 | 319.0443 | 178.9986; 164.9263; 151.0036; 137.0244; 107.0125 | nd |
| Rutin | 9.42 | 609.1457 | 301.0352; 300.0276 | nd |
| Naringin | 9.18 | 579.1714 | 177; 151 | 498.81 ± 35.02 |
| Hesperidin | 9.36 | 609.1825 | 377.0876 | nd |
| Taxifolin | 8.62 | 303.0488 | 147.0440; 257.0814 | 13.01 ± 0.58 |
| Isorhamnetin | 9.36 | 317.0665 | 300.0277 | 253.61 ± 12.68 |
| Kaempferol | 11.94 | 285.0384 | 151.0389; 117.0180 | 9.19 ± 0.64 |
| Apigenin | 11.97 | 269.0451 | 117.0333; 151.0027; 107.0126 | 25.38 ± 1.11 |
| Pinocembrin | 12.76 | 255.0657 | 213.0551; 151.0026; 107.0125 | nd |
| Chrysin | 13.81 | 253.0500 | 143.0491; 145.0284; 107.0125; 209.0603; 63.0226, 65.0019 | 14.67 ± 0.42 |
| Galangin | 14.01 | 269.0451 | 169.0650; 143.0491 | 8.59 ± 0.46 |
| Vitexin | 8.97 | 431.0986 | 341.0664; 269.0454; 240.0422; 197.0606 | 85.93 ± 4.83 |
| Σ flavonoids (µg/L) | 969.05 | |||
| Phlorizin | 9.47 | 319.0443 | 107.0553 | 170.87 ± 10.17 |
| Phloretin | 10.90 | 609.1457 | 93.0332; 121.0283 | 189.21 ± 17.71 |
| Σ dihydrochalcones (µg/L) | 360.08 | |||
| Resveratrol | 9.52 | 227.0710 | 185.0813, 143.0337 | 412.78 ± 27.99 |
| Isorapontigenin | 9.87 | 257.0816 | 241.0504; 125.0231; 175.0392; 217.0502; 175.0393 | nd |
| Σ other compounds (µg/L) | 412.78 | |||
| Piperine * | 14.03 | 286.1436 | 285.0999; 201.0996; 173.0408 | - |
| Piperolactam A | 12.54 | 264.0666 | 166.9095; 83.0489; 69.0332 | - |
| Piperolactam D | 13.52 | 294.0772 | 85.0281 | - |
| Cepharadione A | 1.98 | 304.0616 | 210.0379 | - |
| Tetracosanoic acid | 23.66 | 367.3582 | 367.3583; 281.2488 | - |
| 3,4-Methylenedioxycinnamic acid | 9.95 | 191.0341 | 191.0343; 147.0443; 119.0492 | - |
| 2-Butenedioic acid | 0.73 | 115.0037 | 115.0024; 71.0124 | - |
| Strains | MIC (µL/mL) | MMC (µL/mL) | MBEC (µL/mL) | |||
|---|---|---|---|---|---|---|
| P. nigrum Extract | EtOH | P. nigrum Extract | EtOH | P. nigrum Extract | EtOH | |
| S. aureus ATCC 25923 | 125 | 250 | >500 | >500 | 62.5 | 250 |
| MRSA 43300 | 125 | 500 | >500 | >500 | 31.25 | 500 |
| S. aureus sc pl | 125 | 500 | >500 | >500 | 125 | 500 |
| S. epidermidis ATCC 12228 | 125 | 500 | 500 | 500 | 250 | 500 |
| E. faecalis ATCC 15021 | 250 | >500 | >500 | >500 | 125 | >500 |
| E. coli ATCC 25922 | 125 | 250 | 500 | 500 | 125 | 250 |
| E. coli C10E | 500 | 250 | >500 | >500 | 125 | 250 |
| P. aeruginosa ATCC 27853 | 62.5 | 250 | 250 | 250 | 62.5 | 62.5 |
| P. aeruginosa 1014 | 125 | 500 | 500 | 500 | 62.5 | 500 |
| K. pneumoniae ATCC 13368 | 125 | 125 | 500 | >500 | 125 | 125 |
| K. pneumoniae B1K | 62.5 | 125 | >500 | >500 | 62.5 | 125 |
| P. mirabilis ATCC 2924S | 125 | 250 | >500 | >500 | 125 | 250 |
| P. mirabilis 11P | 250 | 250 | >500 | >500 | 62.5 | 250 |
| Compound | Class of Compounds | Pub Chem ID | Molecular Weight (g/mol) | SMILES |
|---|---|---|---|---|
| Piperine | alkaloids—amide | 638024 | 285.136 | C1CCN(CC1)C(=O)/C=C/C=C/C2=CC3=C(C=C2)OCO3 |
| Piperolactam A | alcaloid tetraciclic | 3081016 | 265.074 | COC1=C(C2=C3C(=C1)C(=O)NC3=CC4=CC=CC=C42)O |
| Piperolactam D | alcaloid | 14039008 | 295.084 | COC1=C2C3=C(C4=CC=CC=C4C=C3NC2=O)C(=C1OC)O |
| Cepharadione A | isoquinoline alkaloid | 94577 | 305.069 | CN1C2=CC3=CC=CC=C3C4=C2C(=CC5=C4OCO5)C(=O)C1=O |
| Tetracosanoic acid | long-chain saturated fatty acids | 11197 | 368.365 | CCCCCCCCCCCCCCCCCCCCCCCC(=O)O |
| 3,4-Methylenedioxycinnamic acid | acid cinamic | 643181 | 192.042 | C1OC2=C(O1)C=C(C=C2)/C=C/C(=O)O |
| 2-Butenedioic acid | dicarboxylic acid | 723 | 116.011 | C(=CC(=O)O)C(=O)O |
| Piperonylic acid | aromatic carboxylic acid | 7196 | 166.027 | C1OC2=C(O1)C=C(C=C2)C(=O)O |
| Molecule | Rotatable Bonds | H-Bond Acceptors | H-Bond Donors | TPSA (Å2) | LogP | Bioavailability Score |
|---|---|---|---|---|---|---|
| Piperine | 4 | 3 | 0 | 38.77 | 3.38 | 0.55 |
| Piperolactam A | 1 | 3 | 2 | 62.32 | 2.14 | 0.55 |
| Piperolactam D | 2 | 4 | 2 | 71.55 | 2.33 | 0.55 |
| Cepharadione A | 0 | 4 | 0 | 57.53 | 2.26 | 0.55 |
| Tetracosanoic acid | 22 | 2 | 1 | 37.3 | 5.62 | 0.85 |
| 3,4-Methylenedioxycinnamic acid | 2 | 4 | 1 | 55.76 | 1.8 | 0.85 |
| 2-Butenedioic acid | 2 | 4 | 2 | 74.6 | 0.32 | 0.85 |
| piperonylic acid | 1 | 4 | 1 | 55.76 | 1.44 | 0.85 |
| Compound Name | Human Intestinal Absorption | Skin Permeability | Blood–Brain Barrier | CYP 1A2 Inhibitor | CYP 1A2_Substrate | CYP 2C19 Inhibitor | CYP 2C19_Substrate | CYP 2C9 Inhibitor | CYP 2C9 Substrate | CYP 2D6 Inhibitor | CYP 2D6 Substrate | CYP 3A4 Inhibitor | CYP 3A4 Substrate | Half-Life of Drug |
|---|---|---|---|---|---|---|---|---|---|---|---|---|---|---|
| Piperine | 0.99 | −2.08 | 1 | yes | no | no | no | no | no | yes | yes | yes | no | 0.25 |
| Piperolactam A | 0.99 | −1.3 | 0.83 | yes | yes | yes | no | no | yes | no | no | no | no | 0.20 |
| Piperolactam D | 0.98 | −1.85 | 0.28 | yes | yes | yes | no | no | no | no | no | no | no | 0.26 |
| Cepharadione A | 0.99 | −1.9 | 0.99 | yes | yes | yes | no | yes | yes | yes | no | yes | no | 0.17 |
| Tetracosanoic acid | 0.82 | −3.05 | 0.94 | no | no | yes | no | no | no | no | no | no | no | 0.54 |
| 3,4-Methylenedioxycinamic acid | 0.99 | −2.74 | 0.98 | no | no | no | no | no | yes | no | no | no | no | 0.36 |
| 2-Butenedioic acid | 0.72 | −3.21 | 0.77 | no | no | no | no | no | no | no | no | no | no | 0.79 |
| Piperonylic acid | 0.98 | −3.28 | 0.92 | no | no | no | no | no | no | no | no | no | no | 0.36 |
| Compound Name | AMES Mutagenesis | Carcinogenesis | Liver Injury I (DILI) | Liver Injury I (DILI) | Eye Corrosion | hERG Blockers |
|---|---|---|---|---|---|---|
| Piperine | 0.001 | 0.273 | Safe | 0.352 | 0 | 0.118 |
| Piperolactam A | 0.968 | 0.466 | Toxic | 0.983 | 0 | 0.017 |
| Piperolactam D | 0.642 | 0.178 | Toxic | 0.97 | 0 | 0.022 |
| Cepharadione A | 0.999 | 0.293 | Toxic | 0.976 | 0 | 0 |
| Tetracosanoic acid | 0 | 0.136 | Toxic | 0.651 | 0.694 | 0.566 |
| 3,4-Methylenedioxycinamic acid | 0.003 | 0.309 | Toxic | 0.508 | 0.021 | 0.004 |
| 2-Butenedioic acid | 0 | 0.033 | Toxic | 0.502 | 0.988 | 0.065 |
| Piperonylic acid | 0.005 | 0.26 | Toxic | 0.532 | 0.192 | 0.242 |
| Compound Name | Target | Probability |
|---|---|---|
| Piperine | Monoamin oxidase B | 1.00 |
| Piperolactam A | Cyclin-dependent kinase 2 | 0.24 |
| Tetracosanoic acid | Fatty acid binding protein adipocyte | 0.37 |
| Sample | Mass Loss (%) | Thermal Effect (°C) | ||||||
|---|---|---|---|---|---|---|---|---|
| RT-210 °C | 210–280 °C | 280–470 °C | 470–700 °C | Endo I | Endo II | Endo III | Exo I | |
| P1 | 2.83 | 16.06 | 47.70 | 36.18 | 73.1 | 218.6 | 255.7 | 559.2 |
| P2 | 1.26 | 15.27 | 49.94 | 35.20 | 73.9 | 224.4 | 258.0 | 565.8 |
| P3 | 2.99 | 15.89 | 47.89 | 33.80 | 82.8 | 220.9 | 258.1 | 569.8 |
| P4 | 3.11 | 14.91 | 48.98 | 33.81 | 82.1 | 220.5 | 255.8 | 555.0 |
| P5 | 1.46 | 15.49 | 50.85 | 34.15 | 68.0 | 220.0 | 254.6 | 571.5 |
| P6 | 1.18 | 15.93 | 51.84 | 34.67 | 77.0 | 222.6 | 260.8 | 578.2 |
| P7 | 1.65 | 15.60 | 50.21 | 34.38 | 83.8 | 224.2 | 258.2 | 580.2 |
| P8 | 1.05 | 15.46 | 51.98 | 34.16 | 68.0 | 223.1 | 258.1 | 569.3 |
| Strains | Code | MF | MF + KZ | KZ | Diff (Δ, Interp.) |
|---|---|---|---|---|---|
| S. aureus ATCC 25923 | P3 | 0.00 ± 0.00 | 35.00 ± 1.41 | 31.00 ± 1.41 | 4 (s.) |
| P4 | 0.00 ± 0.00 | 35.00 ± 1.41 | 4 (s.) | ||
| P5 | 0.00 ± 0.00 | 35.00 ± 1.41 | 4 (s.) | ||
| P6 | 0.00 ± 0.00 | 33.00 ± 1.41 | 2 (s.) | ||
| P7 | 0.00 ± 0.00 | 33.00 ± 1.41 | 2 (s.) | ||
| P8 | 0.00 ± 0.00 | 33.00 ± 1.41 | 2 (s.) | ||
| MRSA 43300 | P3 | 0.00 ± 0.00 | 21.00 ± 0.00 | 20.00 ± 0.00 | 1 (indif.) |
| P4 | 0.00 ± 0.00 | 21.50 ± 0.71 | 1.5 (indif.) | ||
| P5 | 0.00 ± 0.00 | 21.00 ± 0.00 | 1 (indif.) | ||
| P6 | 0.00 ± 0.00 | 20.00 ± 0.00 | 0 (indif.) | ||
| P7 | 0.00 ± 0.00 | 19.50 ± 0.71 | −0.5 (ant.) | ||
| P8 | 0.00 ± 0.00 | 21.50 ± 0.71 | 1.5 (indif.) | ||
| S. aureus sc pl | P3 | 0.00 ± 0.00 | 30.00 ± 0.00 | 28.00 ± 0.00 | 2 (s.) |
| P4 | 0.00 ± 0.00 | 29.00 ± 0.00 | 1 (indif.) | ||
| P5 | 0.00 ± 0.00 | 28.50 ± 0.71 | 0.5 (indif.) | ||
| P6 | 0.00 ± 0.00 | 22.50 ± 0.71 | −5.5 (ant.) | ||
| P7 | 0.00 ± 0.00 | 28.50 ± 0.71 | 0.5 (indif.) | ||
| P8 | 0.00 ± 0.00 | 28.00 ± 0.00 | 0 (indif.) | ||
| E. faecalis ATCC 15021 | P3 | 0.00 ± 0.00 | 0.00 ± 0.00 | 20.00 ± 0.00 | −20 (ant.) |
| P4 | 0.00 ± 0.00 | 0.00 ± 0.00 | −20 (ant.) | ||
| P5 | 0.00 ± 0.00 | 0.00 ± 0.00 | −20 (ant.) | ||
| P6 | 0.00 ± 0.00 | 0.00 ± 0.00 | −20 (ant.) | ||
| P7 | 0.00 ± 0.00 | 0.00 ± 0.00 | −20 (ant.) | ||
| P8 | 0.00 ± 0.00 | 20.00 ± 1.42 | 0 (indif.) | ||
| S. epidermidis ATCC 12228 | P3 | 15.00 ± 1.41 | 35.00 ± 1.42 | 31.00 ± 1.41 | 4 (s.) |
| P4 | 0.00 ± 0.00 | 35.00 ± 1.42 | 4 (s.) | ||
| P5 | 0.00 ± 0.00 | 34.00 ± 0.00 | 3 (s.) | ||
| P6 | 0.00 ± 0.00 | 32.00 ± 1.42 | 2 (s.) | ||
| P7 | 0.00 ± 0.00 | 33.00 ± 2.83 | 1 (indif.) | ||
| P8 | 0.00 ± 0.00 | 33.00 ± 1.42 | 2 (s.) | ||
| E. coli ATCC 25922 | P3 | 0.00 ± 0.00 | 20.50 ± 0.71 | 18.00 ± 0.00 | 2.5 (s.) |
| P4 | 0.00 ± 0.00 | 21.00 ± 0.00 | 3 (s.) | ||
| P5 | 0.00 ± 0.00 | 21.00 ± 0.00 | 3 (s.) | ||
| P6 | 0.00 ± 0.00 | 19.00 ± 0.00 | 1 (indif.) | ||
| P7 | 0.00 ± 0.00 | 19.00 ± 0.00 | 1 (indif.) | ||
| P8 | 0.00 ± 0.00 | 19.00 ± 0.00 | 1 (indif.) | ||
| E. coli C10E | P3 | 0.00 ± 0.00 | 15.50 ± 0.71 | 13.50 ± 0.71 | 2 (s.) |
| P4 | 0.00 ± 0.00 | 16.00 ± 0.00 | 2.5 (s.) | ||
| P5 | 0.00 ± 0.00 | 15.00 ± 0.00 | 1.5 (indif.) | ||
| P6 | 0.00 ± 0.00 | 15.00 ± 0.00 | 1.5 (indif.) | ||
| P7 | 0.00 ± 0.00 | 15.00 ± 0.00 | 1.5 (indif.) | ||
| P8 | 0.00 ± 0.00 | 14.50 ± 0.71 | 1 (indif.) | ||
| P. aeruginosa ATCC 27853 | P3 | 0.00 ± 0.00 | 0.00 ± 0.00 | 0.00 ± 0.00 | - |
| P4 | 0.00 ± 0.00 | 0.00 ± 0.00 | - | ||
| P5 | 0.00 ± 0.00 | 0.00 ± 0.00 | - | ||
| P6 | 0.00 ± 0.00 | 0.00 ± 0.00 | - | ||
| P7 | 0.00 ± 0.00 | 0.00 ± 0.00 | - | ||
| P8 | 0.00 ± 0.00 | 0.00 ± 0.00 | - | ||
| P. aeruginosa 1014 | P3 | 0.00 ± 0.00 | 15.50 ± 0.71 | 12.50 ± 0.71 | 3 (s.) |
| P4 | 0.00 ± 0.00 | 16.00 ± 0.00 | 3.5 (s.) | ||
| P5 | 0.00 ± 0.00 | 14.00 ± 1.42 | 1.5 (indif.) | ||
| P6 | 0.00 ± 0.00 | 14.50 ± 0.71 | 2 (s.) | ||
| P7 | 0.00 ± 0.00 | 14.50 ± 0.71 | 2 (s.) | ||
| P8 | 0.00 ± 0.00 | 14.50 ± 0.71 | 2 (s.) | ||
| K. pneumoniae ATCC 13368 | P3 | 0.00 ± 0.00 | 0.00 ± 0.00 | 0.00 ± 0.00 | - |
| P4 | 0.00 ± 0.00 | 0.00 ± 0.00 | - | ||
| P5 | 0.00 ± 0.00 | 0.00 ± 0.00 | - | ||
| P6 | 0.00 ± 0.00 | 0.00 ± 0.00 | - | ||
| P7 | 0.00 ± 0.00 | 0.00 ± 0.00 | - | ||
| P8 | 0.00 ± 0.00 | 0.00 ± 0.00 | - | ||
| K. pneumoniae B1K | P3 | 0.00 ± 0.00 | 19.00 ± 0.00 | 16.00 ± 0.00 | 3 (s.) |
| P4 | 0.00 ± 0.00 | 18.00 ± 0.00 | 2 (s.) | ||
| P5 | 0.00 ± 0.00 | 17.50 ± 0.71 | 1.5 (indif.) | ||
| P6 | 0.00 ± 0.00 | 18.00 ± 0.00 | 2 (s.) | ||
| P7 | 0.00 ± 0.00 | 17.50 ± 0.71 | 1.5 (indif.) | ||
| P8 | 0.00 ± 0.00 | 18.00 ± 0.00 | 2 (s.) | ||
| P. mirabilis ATCC 292 4S | P3 | 0.00 ± 0.00 | 24.00 ± 0.00 | 20.50 ± 0.71 | 3.5 (s.) |
| P4 | 0.00 ± 0.00 | 23.00 ± 0.00 | 2.5 (s.) | ||
| P5 | 0.00 ± 0.00 | 23.50 ± 0.71 | 3 (s.) | ||
| P6 | 0.00 ± 0.00 | 22.50 ± 0.71 | 2 (s.) | ||
| P7 | 0.00 ± 0.00 | 22.50 ± 0.71 | 2 (s.) | ||
| P8 | 0.00 ± 0.00 | 22.50 ± 0.71 | 2 (s.) | ||
| P. mirabilis 11P | P3 | 0.00 ± 0.00 | 24.50 ± 0.71 | 22.00 ± 0.00 | 2.5 (s.) |
| P4 | 0.00 ± 0.00 | 24.50 ± 0.71 | 2.5 (s.) | ||
| P5 | 0.00 ± 0.00 | 24.00 ± 0.00 | 2 (s.) | ||
| P6 | 0.00 ± 0.00 | 23.50 ± 0.71 | 1.5 (indif.) | ||
| P7 | 0.00 ± 0.00 | 23.50 ± 0.71 | 1.5 (indif.) | ||
| P8 | 0.00 ± 0.00 | 24.00 ± 0.00 | 2 (s.) |
| Strains | Sample | MIC (µg/mL) Bioactive Composite | MIC (µg/mL) Bioactive Composite | FICa | MIC (µg/mL) Antibiotic | MIC (µg/mL) Combination | FICb | FICI (Interp.) |
|---|---|---|---|---|---|---|---|---|
| S. aureus ATCC 25923 | P3 | 781.25 | 1.7754 | 0.0023 | 0.3125 | 0.1777 | 0.56875 | 0.5710 (Ad.) |
| P4 | 781.25 | 1.7754 | 0.0023 | 0.3125 | 0.1777 | 0.56875 | 0.5710 (Ad.) | |
| P5 | 1562.5 | 3.5508 | 0.0023 | 0.3125 | 0.3555 | 1.1375 | 1.1398 (Indif) | |
| P6 | 3125 | 3.5508 | 0.0011 | 0.3125 | 0.3555 | 1.1375 | 1.1386 (Indif) | |
| P7 | 3125 | 3.5508 | 0.0011 | 0.3125 | 0.3555 | 1.1375 | 1.1386 (Indif) | |
| P8 | 6250 | 3.5508 | 0.0006 | 0.3125 | 0.3555 | 1.1375 | 1.1381 (Indif) | |
| MRSA 43300 | P3 | 1953.13 | 568.1300 | 0.2909 | 113.7500 | 56.8750 | 0.5 | 0.7909 (Ad.) |
| P4 | 1953.13 | 568.1300 | 0.2909 | 113.7500 | 56.8750 | 0.5 | 0.7909 (Ad.) | |
| P5 | 976.56 | 1136.2500 | 1.1635 | 113.7500 | 113.7500 | 1 | 2.1635 (Antag.) | |
| P6 | 1953.13 | 568.1300 | 0.2909 | 113.7500 | 56.8750 | 0.5 | 0.7909 (Ad.) | |
| P7 | 1953.13 | 568.1300 | 0.2909 | 113.7500 | 56.8750 | 0.5 | 0.7909 (Ad.) | |
| P8 | 3906.25 | 1136.2500 | 0.2909 | 113.7500 | 113.7500 | 1 | 1.2909 (Indif) | |
| S. aureus sc pl | P3 | 1562.5 | 3.5508 | 0.0023 | 0.6250 | 0.3555 | 0.5688 | 0.571 (Ad.) |
| P4 | 3125 | 7.1016 | 0.0023 | 0.6250 | 0.7109 | 1.1375 | 1.1398 (Indif) | |
| P5 | 1562.5 | 7.1016 | 0.0045 | 0.6250 | 0.7109 | 1.1375 | 1.1420 (Indif) | |
| P6 | 50,000 | 14.2031 | 0.0003 | 0.6250 | 1.4219 | 2.275 | 2.2753 (Antag.) | |
| P7 | 50,000 | 14.2031 | 0.0003 | 0.6250 | 1.4219 | 2.275 | 2.2753 (Antag.) | |
| P8 | 50,000 | 14.2031 | 0.0003 | 0.6250 | 1.4219 | 2.275 | 2.2753 (Antag.) | |
| S. epidermidis ATCC 12228 | P3 | 781.25 | 1.7754 | 0.0023 | 0.1563 | 0.1777 | 1.1375 | 1.1398 (Indif) |
| P4 | 781.25 | 3.5508 | 0.0045 | 0.1563 | 0.3555 | 2.275 | 2.2795 (Antag.) | |
| P5 | 195.31 | 3.5508 | 0.0182 | 0.1563 | 0.3555 | 2.275 | 2.2932 (Antag.) | |
| P6 | 3125 | 3.5508 | 0.0011 | 0.1563 | 0.3555 | 2.275 | 2.2761 (Antag.) | |
| P7 | 1562.5 | 3.5508 | 0.0023 | 0.1563 | 0.3555 | 2.275 | 2.2772 (Antag.) | |
| P8 | 1562.5 | 3.5508 | 0.0023 | 0.1563 | 0.3555 | 2.275 | 2.2772 (Antag.) | |
| E. faecalis ATCC 15021 | P3 | 781.25 | 227.2500 | 0.2909 | 12.5000 | 22.7500 | 1.82 | 2.1109 (Antag.) |
| P4 | 781.25 | 227.2500 | 0.2909 | 12.5000 | 22.7500 | 1.82 | 2.1109 (Antag.) | |
| P5 | 195.31 | 227.2500 | 1.1635 | 12.5000 | 22.7500 | 1.82 | 2.9835 (Antag.) | |
| P6 | 3125 | 454.5000 | 0.1454 | 12.5000 | 45.5000 | 3.64 | 3.7854 (Antag.) | |
| P7 | 1562.5 | 454.5000 | 0.2909 | 12.5000 | 45.5000 | 3.64 | 3.9309 (Antag.) | |
| P8 | 1562.5 | 909.0000 | 0.5818 | 12.5000 | 91.0000 | 7.28 | 7.8618 (Antag.) | |
| E. coli ATCC 25922 | P3 | 62,500 | 35.5100 | 0.0006 | 7.1100 | 3.5500 | 0.4993 | 0.4999 (Syn.) |
| P4 | 62,500 | 35.5100 | 0.0006 | 7.1100 | 3.5500 | 0.4993 | 0.4999 (Syn.) | |
| P5 | 250,000 | 35.5100 | 0.0001 | 7.1100 | 3.5500 | 0.4993 | 0.4994 (Syn.) | |
| P6 | 250,000 | 35.5100 | 0.0001 | 7.1100 | 3.5500 | 0.4993 | 0.4994 (Syn.) | |
| P7 | 250,000 | 35.5100 | 0.0001 | 7.1100 | 3.5500 | 0.4993 | 0.4994 (Syn.) | |
| P8 | 125,000 | 35.5100 | 0.0003 | 7.1100 | 3.5500 | 0.4993 | 0.4996 (Syn.) | |
| E. coli C10E | P3 | 625 | 284.0625 | 0.4545 | 56.8800 | 28.4400 | 0.5 | 0.9545 (Ad.) |
| P4 | 625 | 284.0625 | 0.4545 | 56.8800 | 28.4400 | 0.5 | 0.9545 (Ad.) | |
| P5 | 625 | 284.0625 | 0.4545 | 56.8800 | 28.4400 | 0.5 | 0.9545 (Ad.) | |
| P6 | 62500 | 568.1250 | 0.0091 | 56.8800 | 56.8800 | 1 | 1.0091 (Indif.) | |
| P7 | 62500 | 284.0625 | 0.0045 | 56.8800 | 28.4400 | 0.5 | 0.5045 (Ad.) | |
| P8 | 3906.25 | 284.0625 | 0.0727 | 56.8800 | 28.4400 | 0.5 | 0.5727 (Ad.) | |
| P. aeruginosa 1014 | P3 | 488.28 | 142.0313 | 0.2909 | 56.8750 | 14.2188 | 0.25 | 0.5409 (Ad.) |
| P4 | 1953.13 | 284.0625 | 0.1454 | 56.8750 | 28.4375 | 0.5 | 0.6454 (Ad.) | |
| P5 | 1953.13 | 142.0313 | 0.0727 | 56.8750 | 14.2188 | 0.25 | 0.3227 (Syn.) | |
| P6 | 976.56 | 284.0625 | 0.2909 | 56.8750 | 28.4375 | 0.5 | 0.7909 (Ad.) | |
| P7 | 1953.13 | 284.0625 | 0.1454 | 56.8750 | 28.4375 | 0.5 | 0.6454 (Ad.) | |
| P8 | 3906.25 | 142.0313 | 0.0364 | 56.8750 | 14.2188 | 0.25 | 0.2864 (Syn.) | |
| K. pneumoniae B1K | P3 | 250,000 | 35.5078 | 0.0001 | 7.1094 | 3.5547 | 0.5 | 0.5001 (Ad.) |
| P4 | 62,500 | 35.5078 | 0.0006 | 7.1094 | 3.5547 | 0.5 | 0.5006 (Ad.) | |
| P5 | 7812.50 | 35.5078 | 0.0045 | 7.1094 | 3.5547 | 0.5 | 0.5045 (Ad.) | |
| P6 | 250,000 | 35.5078 | 0.0001 | 7.1094 | 3.5547 | 0.5 | 0.5001 (Ad.) | |
| P7 | 250,000 | 35.5078 | 0.0001 | 7.1094 | 3.5547 | 0.5 | 0.5001 (Ad.) | |
| P8 | 250,000 | 35.5078 | 0.0001 | 7.1094 | 3.5547 | 0.5 | 0.5001 (Ad.) | |
| P. mirabilis 292 4S ATCC | P3 | 62,500 | 71.0156 | 0.0011 | 14.2188 | 7.1094 | 0.5 | 0.5011 (Ad.) |
| P4 | 62,500 | 71.0156 | 0.0011 | 14.2188 | 7.1094 | 0.5 | 0.5011 (Ad.) | |
| P5 | 250,000 | 71.0156 | 0.0003 | 14.2188 | 7.1094 | 0.5 | 0.5003 (Ad.) | |
| P6 | 125,000 | 142.0313 | 0.0011 | 14.2188 | 14.2188 | 1 | 1.0011 (Indif.) | |
| P7 | 125,000 | 142.0313 | 0.0011 | 14.2188 | 14.2188 | 1 | 1.0011 (Indif.) | |
| P8 | 250,000 | 142.0313 | 0.0006 | 14.2188 | 14.2188 | 1 | 1.0006 (Indif.) | |
| P. mirabilis 11P | P3 | 250,000 | 142.0313 | 0.0006 | 28.4375 | 14.2188 | 0.5 | 0.5006 (Ad.) |
| P4 | 62,500 | 142.0313 | 0.0023 | 28.4375 | 14.2188 | 0.5 | 0.5022 (Ad.) | |
| P5 | 250,000 | 142.0313 | 0.0006 | 28.4375 | 14.2188 | 0.5 | 0.5006 (Ad.) | |
| P6 | 125,000 | 284.0625 | 0.0023 | 28.4375 | 28.4375 | 1 | 1.0023 (Indif.) | |
| P7 | 125,000 | 284.0625 | 0.0023 | 28.4375 | 28.4375 | 1 | 1.0023 (Indif.) | |
| P8 | 250,000 | 284.0625 | 0.0011 | 28.4375 | 28.4375 | 1 | 1.0011 (Indif.) |
| Strains | P3 | P4 | P5 | P6 | P7 | P8 | KZ | ||||||
|---|---|---|---|---|---|---|---|---|---|---|---|---|---|
| P3 + KZ | KZ | P4 + KZ | KZ | P5 + KZ | KZ | P6 + KZ | KZ | P7 + KZ | KZ | P8 + KZ | KZ | ||
| S. aureus ATCC 25923 | 3.91 | 0.36 | 1.95 | 0.18 | 7.81 | 0.71 | 15.63 | 1.42 | 15.63 | 1.42 | 15.63 | 1.42 | 0.31 |
| MRSA 43300 | 312.5 | 28.44 | 625 | 56.88 | 625 | 56.88 | 625 | 56.88 | 625 | 56.88 | 625 | 56.88 | 56.88 |
| S. aureus sc pl | 7.81 | 0.71 | 7.81 | 0.71 | 7.81 | 0.71 | 15.63 | 1.42 | 15.63 | 1.42 | 15.63 | 1.42 | 0.625 |
| E. faecalis ATCC 15021 | 250 | 22.75 | 250 | 22.75 | 250 | 22.75 | 500 | 45.5 | 500 | 45.5 | >500 | >45.5 | 25 |
| S. epidermidis ATCC 12228 | 1.95 | 0.18 | 3.91 | 0.36 | 3.91 | 0.36 | 7.81 | 0.71 | 7.81 | 0.71 | 7.81 | 0.71 | 0.16 |
| E. coli ATCC 25922 | 7.81 | 0.71 | 15.63 | 1.42 | 31.25 | 2.85 | 62.5 | 5.69 | 62.5 | 5.69 | 62.5 | 5.69 | 25 |
| E. coli C10E | 3.91 | 0.36 | 7.81 | 0.71 | 3.91 | 0.36 | 31.26 | 2.85 | 7.81 | 0.71 | 31.25 | 2.85 | 12.5 |
| P. aeruginosa 1014 | 78.13 | 7.11 | 156.25 | 14.22 | 78.13 | 7.11 | 312.5 | 28.44 | 312.5 | 28.44 | 312.5 | 28.44 | 12.5 |
| K. pneumoniae B1K | 39.06 | 3.56 | 78.13 | 7.11 | 39.06 | 3.56 | 156.25 | 14.22 | 156.25 | 14.22 | 156.25 | 14.22 | 7.11 |
| P. mirabilis ATCC 292 4S | 78.13 | 7.11 | 156.25 | 14.22 | 156.25 | 14.22 | 312.5 | 28.44 | 312.5 | 28.44 | 312.5 | 28.44 | 31.25 |
| P. mirabilis 11P | 156.25 | 14.22 | 156.25 | 14.22 | 156.25 | 14.22 | 312.5 | 28.44 | 312.5 | 28.44 | 312.5 | 28.44 | 125 |
Disclaimer/Publisher’s Note: The statements, opinions and data contained in all publications are solely those of the individual author(s) and contributor(s) and not of MDPI and/or the editor(s). MDPI and/or the editor(s) disclaim responsibility for any injury to people or property resulting from any ideas, methods, instructions or products referred to in the content. |
© 2025 by the authors. Licensee MDPI, Basel, Switzerland. This article is an open access article distributed under the terms and conditions of the Creative Commons Attribution (CC BY) license (https://creativecommons.org/licenses/by/4.0/).
Share and Cite
Becherescu Barbu, V.S.; Marinas, I.C.; Gaboreanu, D.M.; Voinea, I.C.; Brincoveanu, O.; Geana, E.-I.; Oprea, O.-C.; Boldeiu, A.; Paun, A.M.; Mares, C.; et al. Piper nigrum Extract as an Adjuvant in a Collagen System for Infected Wound Healing: Therapeutic Synergy and Biocompatibility. Antibiotics 2025, 14, 1166. https://doi.org/10.3390/antibiotics14111166
Becherescu Barbu VS, Marinas IC, Gaboreanu DM, Voinea IC, Brincoveanu O, Geana E-I, Oprea O-C, Boldeiu A, Paun AM, Mares C, et al. Piper nigrum Extract as an Adjuvant in a Collagen System for Infected Wound Healing: Therapeutic Synergy and Biocompatibility. Antibiotics. 2025; 14(11):1166. https://doi.org/10.3390/antibiotics14111166
Chicago/Turabian StyleBecherescu Barbu, Virgina Silviana, Ioana Cristina Marinas, Diana Madalina Gaboreanu, Ionela Cristina Voinea, Oana Brincoveanu, Elisabeta-Irina Geana, Ovidiu-Cristian Oprea, Adina Boldeiu, Andra Maria Paun, Catalina Mares, and et al. 2025. "Piper nigrum Extract as an Adjuvant in a Collagen System for Infected Wound Healing: Therapeutic Synergy and Biocompatibility" Antibiotics 14, no. 11: 1166. https://doi.org/10.3390/antibiotics14111166
APA StyleBecherescu Barbu, V. S., Marinas, I. C., Gaboreanu, D. M., Voinea, I. C., Brincoveanu, O., Geana, E.-I., Oprea, O.-C., Boldeiu, A., Paun, A. M., Mares, C., Angheloiu, M., Serbanoiu, A.-S., & Avram, S. (2025). Piper nigrum Extract as an Adjuvant in a Collagen System for Infected Wound Healing: Therapeutic Synergy and Biocompatibility. Antibiotics, 14(11), 1166. https://doi.org/10.3390/antibiotics14111166

