Environmental Footprint of Antibiotics: A Multi-Source Investigation of Wastewater Systems in UAE
Abstract
1. Introduction
2. Results
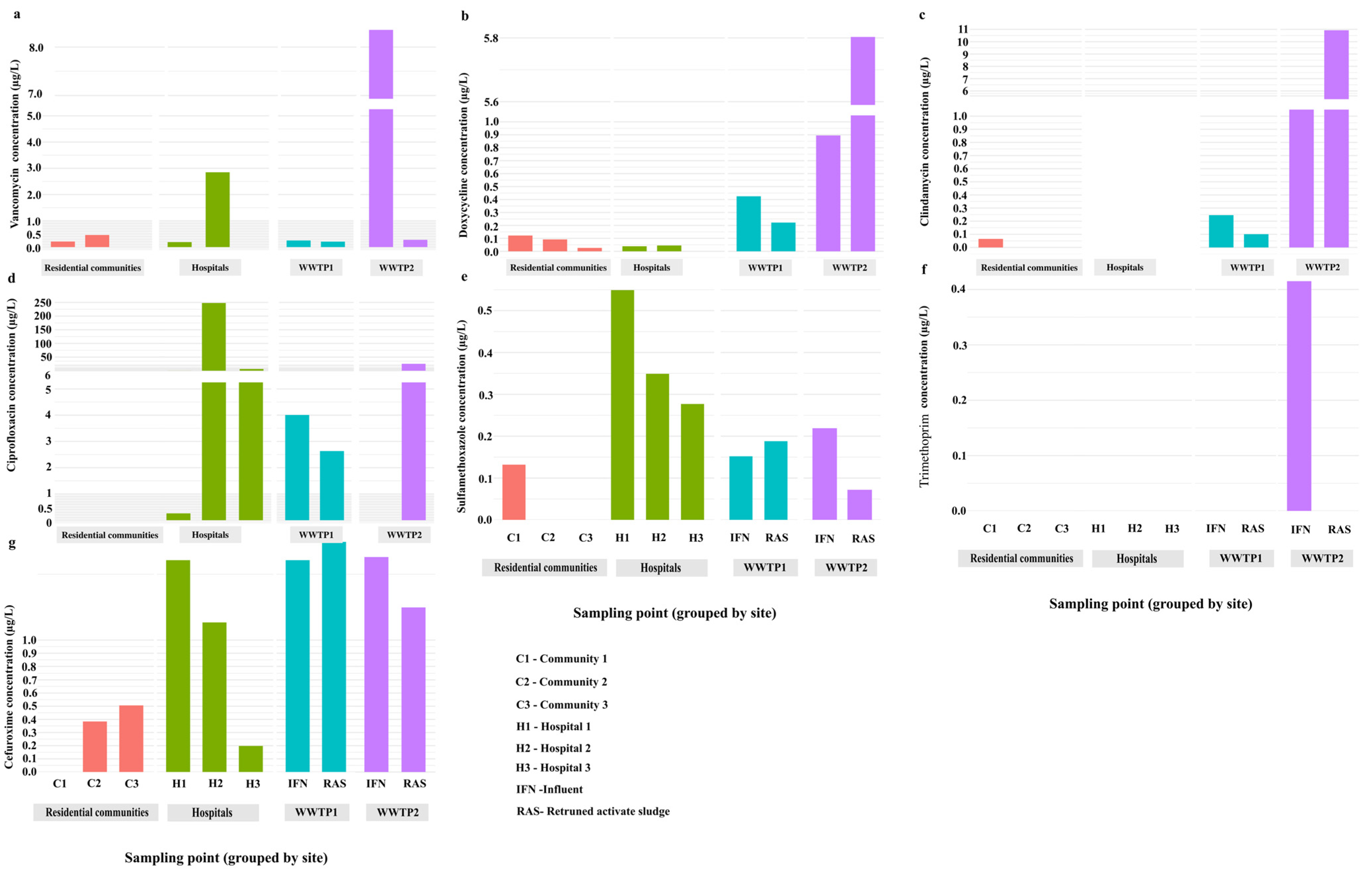
2.1. Antibiotics Distribution and Quantities in Residential Community, Hospital, and WWTP Wastewater Sources
2.2. Comparison of Antibiotic Significance in Different Wastewater Types
3. Discussion
4. Methodology
4.1. Reagents and Materials
4.2. Sample Collection
4.3. Solid-Phase Extraction (SPE)
4.4. Elution
4.5. LC-MS/MS
4.6. Statistical Analysis
5. Conclusions
Supplementary Materials
Author Contributions
Funding
Institutional Review Board Statement
Informed Consent Statement
Data Availability Statement
Conflicts of Interest
References
- Aslam, B.; Wang, W.; Arshad, M.I.; Khurshid, M.; Muzammil, S.; Rasool, M.H.; Nisar, M.A.; Alvi, R.F.; Aslam, M.A.; Qamar, M.U. Antibiotic resistance: A rundown of a global crisis. Infect. Drug Resist. 2018, 11, 1645–1658. [Google Scholar] [CrossRef]
- Ventola, C.L. The antibiotic resistance crisis: Part 1: Causes and threats. Pharm. Ther. 2015, 40, 277. [Google Scholar]
- Hamdani, S.S.; Bhat, B.A.; Tariq, L.; Yaseen, S.I.; Ara, I.; Rafi, B.; Hamdani, S.N.; Hassan, T.; Rashid, O. Antibiotic resistance: The future disaster. Int. J. Res. Appl. Sci. Biotechnol. 2020, 7, 133–145. [Google Scholar] [CrossRef]
- Viana, P.; Meisel, L.; Lopes, A.; de Jesus, R.; Sarmento, G.; Duarte, S.; Sepodes, B.; Fernandes, A.; Dos Santos, M.M.C.; Almeida, A. Identification of antibiotics in surface-groundwater. a tool towards the ecopharmacovigilance approach: A Portuguese case-study. Antibiotics 2021, 10, 888. [Google Scholar] [CrossRef] [PubMed]
- Seifrtová, M.; Nováková, L.; Lino, C.; Pena, A.; Solich, P. An overview of analytical methodologies for the determination of antibiotics in environmental waters. Anal. Chim. Acta 2009, 649, 158–179. [Google Scholar] [CrossRef]
- Samrot, A.V.; Wilson, S.; Sanjay Preeth, R.S.; Prakash, P.; Sathiyasree, M.; Saigeetha, S.; Shobana, N.; Pachiyappan, S.; Rajesh, V.V. Sources of Antibiotic Contamination in Wastewater and Approaches to Their Removal—An Overview. Sustainability 2023, 15, 12639. [Google Scholar] [CrossRef]
- Sanusi, I.O.; Olutona, G.O.; Wawata, I.G.; Onohuean, H. Occurrence, environmental impact and fate of pharmaceuticals in groundwater and surface water: A critical review. Environ. Sci. Pollut. Res. 2023, 30, 90595–90614. [Google Scholar] [CrossRef]
- Parashar, V.; Chauhan, D.; Gupta, M. Influence of Toxicity of Antibiotics on Aquatic Environment: A Serious Aconcern. J. Nat. Remedies 2020, 21, 362–380. [Google Scholar]
- Vasilachi, I.C.; Asiminicesei, D.M.; Fertu, D.I.; Gavrilescu, M. Occurrence and fate of emerging pollutants in water environment and options for their removal. Water 2021, 13, 181. [Google Scholar] [CrossRef]
- O’keeffe, J. Investigating the Properties of Persistent Organic Carbon in Municipal Wastewater Treatment Biosolids. Ph.D. Thesis, Abertay University, Dundee, UK, 2019. [Google Scholar]
- Ouda, M.; Kadadou, D.; Swaidan, B.; Al-Othman, A.; Al-Asheh, S.; Banat, F.; Hasan, S.W. Emerging contaminants in the water bodies of the Middle East and North Africa (MENA): A critical review. Sci. Total Environ. 2021, 754, 142177. [Google Scholar] [CrossRef]
- Okeke, E.S.; Ezeorba, T.P.C.; Okoye, C.O.; Chen, Y.; Mao, G.; Feng, W.; Wu, X. Environmental and health impact of unrecovered API from pharmaceutical manufacturing wastes: A review of contemporary treatment, recycling and management strategies. Sustain. Chem. Pharm. 2022, 30, 100865. [Google Scholar] [CrossRef]
- Ugoeze, K.; Alalor, C.; Ibezim, C.; Chinko, B.; Owonaro, P.; Anie, C.; Okoronkwo, N.; Mgbahurike, A.; Ofomata, C.; Alfred-Ugbenbo, D. Environmental and Human Health Impact of Antibiotics Waste Mismanagement: A Review. Adv. Environ. Eng. Res. 2024, 5, 1–21. [Google Scholar] [CrossRef]
- Alam, O.; Deng, T. Environmental and public health risks associated with antibiotic resistance genes (ARGs) spread in environment: A comprehensive review. Int. J. Sci. Res. Sci. Technol. 2015, 1, 128–139. [Google Scholar]
- Sabri, N. Antibiotics and Antibiotic Resistance Genes in Wastewater: Occurrence and Removal Technologies. Ph.D. Thesis, Wageningen University, Wageningen, The Netherlands, 2020. [Google Scholar]
- Miarov, O.; Tal, A.; Avisar, D. A critical evaluation of comparative regulatory strategies for monitoring pharmaceuticals in recycled wastewater. J. Environ. Manag. 2020, 254, 109794. [Google Scholar] [CrossRef]
- Tijani, J.O.; Fatoba, O.O.; Babajide, O.O.; Petrik, F.P. Pharmaceuticals, endocrine disruptors, personal care products, nanomaterials and perfluorinated pollutants: A review. Environ. Chem. Lett. 2016, 14, 27–49. [Google Scholar] [CrossRef]
- Dar, M.A.; Maqbool, M.; Rasool, S. Pharmaceutical Wastes and Their Disposal Practice in Routine. Int. J. Inf. Comput. Sci. 2019, 6, 78–92. [Google Scholar]
- Wieczorkiewicz, S.M.; Kassamali, Z.; Danziger, L.H. Behind closed doors: Medication storage and disposal in the home. Ann. Pharmacother. 2013, 47, 482–489. [Google Scholar] [CrossRef] [PubMed]
- Ratnayake, O.; Jayasuriya, D.L.; Hettiarachchi, D.K.; Yapa, N. Microbiology of wastewater management: Challenges, opportunities, and innovations. In Waste Technology for Emerging Economies; CRC Press: Boca Raton, FL, USA, 2022; pp. 149–166. [Google Scholar] [CrossRef]
- Abbott, T.; Kor-Bicakci, G.; Islam, M.S.; Eskicioglu, C. A review on the fate of legacy and alternative antimicrobials and their metabolites during wastewater and sludge treatment. Int. J. Mol. Sci. 2020, 21, 9241. [Google Scholar] [CrossRef] [PubMed]
- Dyary, H.; Faraj, G.; Saeed, N.M. History, Current Situation, and Future Perspectives on Antibiotics and Antibiotic Resistance. In One Health Triad; Unique Scientific Publishers: Faisalabad, Pakistan, 2023; Volume 2, pp. 109–118. [Google Scholar] [CrossRef]
- Rehman, K.; Fiayyaz, F.; Khurshid, M.; Sabir, S.; Akash, M.S.H. Antibiotics and antimicrobial resistance: Temporal and global trends in the environment. In Antibiotics and Antimicrobial Resistance Genes in the Environment; Volume 1 in the Advances in Environmental Pollution Research Series; Elsevier: Amsterdam, The Netherlands, 2019; pp. 7–27. [Google Scholar] [CrossRef]
- Duan, L.; Zhang, Y.; Wang, B.; Cagnetta, G.; Deng, S.; Huang, J.; Wang, Y.; Yu, G. Characteristics of pharmaceutically active compounds in surface water in Beijing, China: Occurrence, spatial distribution and biennial variation from 2013 to 2017. Environ. Pollut. 2020, 264, 114753. [Google Scholar] [CrossRef] [PubMed]
- Majalekar, P.P.; Shirote, P.J. Fluoroquinolones: Blessings or curses. Curr. Drug Targets 2020, 21, 1354–1370. [Google Scholar] [CrossRef]
- Abdulrazzaq, N. Prevalence of Antimicrobial Use and Healthcare-Associated Infections in the UAE: Results from the First Nationwide Point-Prevalence Survey; Elsevier: Amsterdam, The Netherlands, 2024. [Google Scholar]
- Bavumiragira, J.P.; Eheneden, I.; Yin, H.; Mumbi, A.W.; Quoie, G.D.S.; Uyisaba, P.; Wang, R.; Zhao, J. Insight on prioritization of antibiotics in China, their occurrence, and removal by different wastewater treatment technologies. Discov. Environ. 2024, 2, 28. [Google Scholar] [CrossRef]
- Al Masud, M.A.; Shin, W.S.; Septian, A.; Samaraweera, H.; Khan, I.J.; Mohamed, M.M.; Billah, M.M.; López-Maldonado, E.A.; Rahman, M.M.; Islam, A.R.M.T. Exploring the environmental pathways and challenges of fluoroquinolone antibiotics: A state-of-the-art review. Sci. Total Environ. 2024, 926, 171944. [Google Scholar] [CrossRef]
- Alaali, Z.; Thani, A.S.B. Patterns of antimicrobial resistance observed in the Middle East: Environmental and health care retrospectives. Sci. Total Environ. 2020, 740, 140089. [Google Scholar] [CrossRef] [PubMed]
- Nithiya, P.; Alagarsamy, G.; Sathish, P.B.; Rajarathnam, D.; Li, X.; Jeyaraj, S.; Satheesh, M.; Selvakumar, R. Impact of effluent parameters and vancomycin concentration on vancomycin resistant Escherichia coli and its host specific bacteriophage lytic activity in hospital effluent. Environ. Res. 2024, 247, 118334. [Google Scholar] [CrossRef]
- Obasi, A.I.; Ugoji, E.O.; Nwachukwu, S.U. Incidence and molecular characterization of multidrug resistance in Gram-negative bacteria of clinical importance from pharmaceutical wastewaters in South-western Nigeria. Environ. DNA 2019, 1, 268–280. [Google Scholar] [CrossRef]
- Kotadiya, R.M.; Patel, F.N. Analytical methods practiced to quantitation of rifampicin: A captious survey. Curr. Pharm. Anal. 2021, 17, 983–999. [Google Scholar] [CrossRef]
- Chantipmanee, N. Study of Detection of Inorganic Ions by Electrospray Mass Spectrometry and Development of Ion Mobility Spectrometry and Its Applications. Ph.D. Thesis, University of Basel, Basel, Switzerland, 2022. [Google Scholar]
- Phoon, B.L.; Ong, C.C.; Saheed, M.S.M.; Show, P.-L.; Chang, J.-S.; Ling, T.C.; Lam, S.S.; Juan, J.C. Conventional and emerging technologies for removal of antibiotics from wastewater. J. Hazard. Mater. 2020, 400, 122961. [Google Scholar] [CrossRef] [PubMed]
- Zafar, R.; Bashir, S.; Nabi, D.; Arshad, M. Occurrence and quantification of prevalent antibiotics in wastewater samples from Rawalpindi and Islamabad, Pakistan. Sci. Total Environ. 2021, 764, 142596. [Google Scholar] [CrossRef] [PubMed]
- Grenni, P.; Ancona, V.; Caracciolo, A.B. Ecological effects of antibiotics on natural ecosystems: A review. Microchem. J. 2018, 136, 25–39. [Google Scholar] [CrossRef]
- Yang, Q.; Gao, Y.; Ke, J.; Show, P.L.; Ge, Y.; Liu, Y.; Guo, R.; Chen, J. Antibiotics: An overview on the environmental occurrence, toxicity, degradation, and removal methods. Bioengineered 2021, 12, 7376–7416. [Google Scholar] [CrossRef]


| Antibiotic Name | Class | Supplier |
|---|---|---|
| Amoxicillin trihydrate | β-lactam antibiotic, penicillin | Sigma |
| Phenoxymethylpenicillin | β-lactam antibiotic, penicillin | Sigma |
| Cefuroxime sodium | β-lactam antibiotic, cephalosporin | Sigma |
| Azithromycin | Macrolide antibiotic | Sigma |
| Clarithromycin | Macrolide antibiotic | Sigma |
| Ciprofloxacin | Fluoroquinolone antibiotic | Sigma |
| Clindamycin hydrochloride | Lincosamide antibiotic | Sigma |
| Doxycycline hyclate | Tetracycline antibiotic | Sigma |
| Sulfamethoxazole | Sulfonamide bacteriostatic antibiotic | Sigma |
| Trimethoprim | Dihydrofolate reductase inhibitor | Sigma |
| Vancomycin hydrochloride | Glycopeptide antibiotic | Sigma |
| S.No. | Compound Name | Retention Time | Precursor (m/z) | Product (m/z) | Dwell Time (ms) | Q1 Pre Bias (V) | CE | Q3 Pre Bias (V) | Mode of Ionization |
|---|---|---|---|---|---|---|---|---|---|
| 1 | Vancomycin | 1.583 | 725.40 | 100.10 | 100 | −30 | −38 | −18 | Positive |
| 725.40 | 144.15 | 100 | −30 | −16 | −13 | ||||
| 725.40 | 83.10 | 100 | −30 | −32 | −17 | ||||
| 2 | Amoxicillin | 1.760 | 366.00 | 349.05 | 100 | −30 | −10 | −24 | Positive |
| 366.00 | 114.00 | 100 | −16 | −21 | −22 | ||||
| 366.00 | 208.10 | 100 | −10 | −13 | −13 | ||||
| 3 | Doxycycline | 2.299 | 445.05 | 428.10 | 100 | −19 | −20 | −20 | Positive |
| 445.05 | 321.05 | 100 | −21 | −31 | −21 | ||||
| 445.05 | 410.05 | 100 | −11 | −25 | −28 | ||||
| 4 | Clarithromycin | 3.172 | 749.35 | 158.10 | 100 | −20 | −31 | −15 | Positive |
| 749.35 | 591.30 | 100 | −20 | −28 | −28 | ||||
| 749.35 | 116.15 | 100 | −20 | −45 | −11 | ||||
| 5 | Azithromycin | 3.177 | 749.50 | 158.10 | 100 | −20 | −32 | −15 | Positive |
| 749.50 | 591.40 | 100 | −20 | −29 | −28 | ||||
| 749.50 | 116.15 | 100 | −20 | −45 | −11 | ||||
| 6 | Clindamycin | 2.154 | 425.50 | 126.15 | 100 | −11 | −26 | −23 | Positive |
| 425.50 | 377.10 | 100 | −11 | −19 | −17 | ||||
| 7 | Trimethoprim | 1.811 | 291.10 | 230.10 | 100 | −13 | −24 | −22 | Positive |
| 291.10 | 261.05 | 100 | −13 | −25 | −27 | ||||
| 291.10 | 123.05 | 100 | −13 | −24 | −24 | ||||
| 8 | Ciprofloxacin | 1.889 | 332.05 | 314.10 | 100 | −15 | −22 | −14 | Positive |
| 332.05 | 288.10 | 100 | −15 | −18 | −13 | ||||
| 332.05 | 231.05 | 100 | −16 | −37 | −23 | ||||
| 9 | Sulfamethoxazole | 2.143 | 254.00 | 92.00 | 100 | −12 | −27 | −19 | Positive |
| 254.00 | 156.00 | 100 | −12 | −16 | −15 | ||||
| 254.00 | 65.10 | 100 | −12 | −47 | −25 | ||||
| 10 | Phenoxymethylpenicillin | 3.621 | 351.20 | 160.05 | 100 | −15 | −13 | −15 | Positive |
| 351.20 | 114.00 | 100 | −15 | −34 | −22 | ||||
| 351.20 | 87.05 | 100 | −12 | −46 | −17 | ||||
| 11 | Cefuroxime | 1.995 | 423.10 | 207.15 | 100 | 21 | 14 | 12 | Negative |
| 423.10 | 318.05 | 100 | 21 | 9 | 10 | ||||
| 423.10 | 284.10 | 100 | 21 | 16 | 18 |
| S.No. | Compound Name | Linearity Range Concentration (ng/mL) |
|---|---|---|
| 1 | Vancomycin | 0.164 to 26.316 |
| 2 | Amoxicillin | 0.148 to 23.636 |
| 3 | Doxycycline | 0.062 to 9.845 |
| 4 | Clarithromycin | 0.062 to 9.990 |
| 5 | Azithromycin | 0.062 to 9.900 |
| 6 | Clindamycin | 0.03 to 4.766 |
| 7 | Trimethoprim | 0.032 to 5.063 |
| 8 | Ciprofloxacin | 0.052 to 8.25 |
| 9 | Sulfamethoxazole | 0.076 to 12.206 |
| 10 | Phenoxymethylpenicillin | 0.155 to 24.863 |
| 11 | Cefuroxime | 22.995 |
Disclaimer/Publisher’s Note: The statements, opinions and data contained in all publications are solely those of the individual author(s) and contributor(s) and not of MDPI and/or the editor(s). MDPI and/or the editor(s) disclaim responsibility for any injury to people or property resulting from any ideas, methods, instructions or products referred to in the content. |
© 2025 by the authors. Licensee MDPI, Basel, Switzerland. This article is an open access article distributed under the terms and conditions of the Creative Commons Attribution (CC BY) license (https://creativecommons.org/licenses/by/4.0/).
Share and Cite
Malik, S.S.; Sadaiappan, B.; Hassan, A.A.; Shah, I.; Elangovan, S.; Mundra, S. Environmental Footprint of Antibiotics: A Multi-Source Investigation of Wastewater Systems in UAE. Antibiotics 2025, 14, 1105. https://doi.org/10.3390/antibiotics14111105
Malik SS, Sadaiappan B, Hassan AA, Shah I, Elangovan S, Mundra S. Environmental Footprint of Antibiotics: A Multi-Source Investigation of Wastewater Systems in UAE. Antibiotics. 2025; 14(11):1105. https://doi.org/10.3390/antibiotics14111105
Chicago/Turabian StyleMalik, Shahana Seher, Balamurugan Sadaiappan, Ashraf Aly Hassan, Iltaf Shah, Sampathkumar Elangovan, and Sunil Mundra. 2025. "Environmental Footprint of Antibiotics: A Multi-Source Investigation of Wastewater Systems in UAE" Antibiotics 14, no. 11: 1105. https://doi.org/10.3390/antibiotics14111105
APA StyleMalik, S. S., Sadaiappan, B., Hassan, A. A., Shah, I., Elangovan, S., & Mundra, S. (2025). Environmental Footprint of Antibiotics: A Multi-Source Investigation of Wastewater Systems in UAE. Antibiotics, 14(11), 1105. https://doi.org/10.3390/antibiotics14111105

