Evaluation of Implementation and Effectiveness of China’s Antibiotic Stewardship in the First Affiliated Hospital of Sun Yat-sen University
Abstract
1. Introduction
2. Results
2.1. Stewardship Implementation Evaluation
2.1.1. Trend of Rational Use of Perioperative Prophylactic Antibiotics
2.1.2. Trends in the Detection Rate of Multiple Antibiotic-Resistant Bacteria and Drug Use Intensity for Each Grade of Antibiotics
2.2. Relationship between Stewardship Implementation and Disease Progress
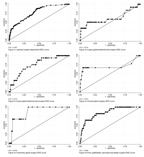
2.2.1. Relativity Analysis of the Perioperative Prophylactic Antibiotic Use Aspect
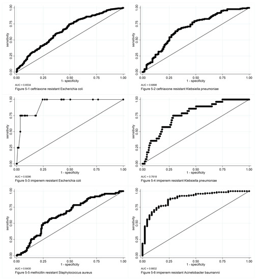
2.2.2. Relativity Analysis of Therapeutic Antibiotic Use Aspect
2.3. Cost-Effectiveness Evaluation
2.3.1. Cost-Effectiveness Evaluation of the Perioperative Prophylactic Antibiotic Use Aspect
2.3.2. Cost-Effectiveness Evaluation of Therapeutic Antibiotic Use Aspect
3. Discussion
4. Materials and Methods
4.1. Sample Selection
4.2. Evaluation Plan
4.3. Data Collection
4.4. Data Integration and Analysis
5. Conclusions
Author Contributions
Funding
Institutional Review Board Statement
Informed Consent Statement
Data Availability Statement
Acknowledgments
Conflicts of Interest
Abbreviations
References
- WHO. Global Action Plan on Antimicrobial Resistance. Microbe Mag. 2015, 10, 354–355. [Google Scholar] [CrossRef]
- McCullers, J.A. The Co-Pathogenesis of Influenza Viruses with Bacteria in the Lung. Nat. Rev. Microbiol. 2014, 12, 252–262. [Google Scholar] [CrossRef] [PubMed]
- Rawson, T.M.; Zhu, N.; Ranganathan, N.; Gilchrist, M.; Satta, G.; Cooke, G.; Holmes, A. Bacterial and Fungal Co-Infection in Individuals with Coronavirus: A Rapid Review to Support COVID-19 Antimicrobial Prescribing. Clin. Infect. Dis. 2020, 3, 2459–2468. [Google Scholar]
- Dyar, O.J.; Beović, B.; Pulcini, C.; Tacconelli, E.; Hulscher, M.; Cookson, B.; Ashiru-Oredope, D.; Barcs, I.; Blix, H.S.; Buyle, F.; et al. ESCMID Generic Competencies in Antimicrobial Prescribing and Stewardship: Towards a European Consensus. Clin. Microbiol. Infect. 2019, 25, 13–19. [Google Scholar] [CrossRef]
- European Society of Clinical Microbiology and Infectious Diseases. ESCMID Generic Competencies in Antimicrobial Stewardship and Prescribing. Available online: https://www.escmid.org/fileadmin/src/media/PDFs/4ESCMID_Library/White_papers/ESCMID_generic_competencies_set_USER_FINAL.pdf (accessed on 9 November 2018).
- Fishman, N. Policy Statement on Antimicrobial Stewardship by the Society for Healthcare Epidemiology of America (SHEA), the Infectious Diseases Society of America (IDSA), and the Pediatric Infectious Diseases Society (PIDS). Infect. Control Hosp. Epidemiol. 2012, 33, 322–327. [Google Scholar] [CrossRef]
- Cox, J.A.; Vlieghe, E.; Mendelson, M.; Wertheim, H.; Ndegwa, L.; Villegas, M.V.; Gould, I.; Levy Hara, G. Antibiotic Stewardship in Low- and Middle-Income Countries: The Same but Different? Clin. Microbiol. Infect. 2017, 23, 812–818. [Google Scholar] [CrossRef]
- Ministry of Health of the People’s Republic of China. Circular of the General Office of the Ministry of Health on Issues Related to the Management of the Clinical Application of Antimicrobial Agents. Available online: http://www.nhc.gov.cn/yzygj/s3585u/200903/e3f77fdb63244b4383f69ae7766fac57.shtml (accessed on 25 March 2009).
- Ministry of Health of the People’s Republic of China. Circular of the General Office of the Ministry of Health on Further Strengthening the Management of the Clinical Application of Antibiotics. Available online: http://www.gov.cn/govweb/gzdt/2008-04/15/content_945286.htm (accessed on 15 April 2008).
- Ling, M.L.; Apisarnthanarak, A.; Abbas, A.; Morikane, K.; Lee, K.Y.; Warrier, A.; Yamada, K. APSIC Guidelines for the Prevention of Surgical Site Infections. Antimicrob. Resist. Infect. Control 2019, 8, 174. [Google Scholar] [CrossRef]
- World Health Organization. Global Guidelines for the Prevention of Surgical Site Infection, Second Edition. Available online: https://apps.who.int/iris/bitstream/handle/10665/277399/9789241550475-eng.pdf (accessed on 3 January 2018).
- Hulscher, M.E.J.L.; Prins, J.M. Antibiotic Stewardship: Does It Work in Hospital Practice? A Review of the Evidence Base. Clin. Microbiol. Infect. 2017, 23, 799–805. [Google Scholar] [CrossRef]
- Olesen, S.W.; Barnett, M.L.; Macfadden, D.R.; Lipsitch, M.; Grad, Y.H. Trends in Outpatient Antibiotic Use and Prescribing Practice among US Older Adults, 2011–2015: Observational Study. BMJ 2018, 362, k3155. [Google Scholar] [CrossRef]
- Palacios-Ceña, D.; Hernández-Barrera, V.; Jiménez-Trujillo, I.; Serrano-Urrea, R.; Fernández-de-las-Peñas, C.; Carrasco-Garrido, P. Time Trends in Antibiotic Consumption in the Elderly: Ten-Year Follow-up of the Spanish National Health Survey and the European Health Interview Survey for Spain (2003–2014). PLoS ONE 2017, 12, e0185869. [Google Scholar] [CrossRef]
- National Health and Family Planning Commission Expert Committee on Rational Drug Use, CARSS. National Monitoring Report on Antimicrobial Resistance 2014. Available online: http://carss.cn/Report/Details/281 (accessed on 31 July 2015).
- National Health and Family Planning Commission Expert Committee on Rational Drug Use, CARSS. National Monitoring Report on Antimicrobial Resistance 2015. Available online: http://carss.cn/Report/Details/282 (accessed on 12 December 2015).
- National Health and Family Planning Commission Expert Committee on Rational Drug Use, CARSS. National Monitoring Report on Antimicrobial Resistance 2016. Available online: http://carss.cn/Report/Details/403 (accessed on 14 November 2016).
- National Health and Family Planning Commission Expert Committee on Rational Drug Use, CARSS. National Monitoring Report on Antimicrobial Resistance 2017. Available online: http://www.carss.cn/Report/Details?aId=552 (accessed on 26 December 2017).
- National Health and Family Planning Commission Expert Committee on Rational Drug Use, CARSS. National Monitoring Report on Antimicrobial Resistance 2018. Available online: http://carss.cn/Report/Details/648 (accessed on 26 December 2018).
- Cataife, G.; Weinberg, D.A.; Wong, H.H.; Kahn, K.L. The Effect of Surgical Care Improvement Project (SCIP) Compliance on Surgical Site Infections (SSI). Med. Care 2014, 52, 66–73. [Google Scholar] [CrossRef] [PubMed]
- ECDC. Surveillance of Antimicrobial Resistance in Europe 2013. Available online: https://www.ecdc.europa.eu/en/publications-data/antimicrobial-resistance-surveillance-europe-2013 (accessed on 17 November 2014).
- ECDC. Surveillance of Antimicrobial Resistance in Europe 2014. Available online: https://www.ecdc.europa.eu/en/publications-data/antimicrobial-resistance-surveillance-europe-2014 (accessed on 16 November 2015).
- ECDC. Surveillance of Antimicrobial Resistance in Europe 2015. Available online: https://www.ecdc.europa.eu/en/publications-data/antimicrobial-resistance-surveillance-europe-2015 (accessed on 30 January 2017).
- ECDC. Survelliance of Antimicrobial Resistance in Europe 2016. Available online: https://www.ecdc.europa.eu/en/publications-data/antimicrobial-resistance-surveillance-europe-2016 (accessed on 15 November 2017).
- ECDC. Surveillance of Antimicrobial Resistance in Europe 2017. Available online: https://www.ecdc.europa.eu/en/publications-data/surveillance-antimicrobial-resistance-europe-2017 (accessed on 15 November 2018).
- ECDC. Surveillance of Antimicrobial Resistance in Europe 2018. Available online: https://www.ecdc.europa.eu/en/publications-data/surveillance-antimicrobial-resistance-europe-2018 (accessed on 18 November 2019).
- Hashimoto, H.; Saito, M.; Sato, J.; Goda, K.; Mitsutake, N.; Kitsuregawa, M.; Nagai, R.; Hatakeyama, S. Indications and Classes of Outpatient Antibiotic Prescriptions in Japan: A Descriptive Study Using the National Database of Electronic Health Insurance Claims, 2012–2015. Int. J. Infect. Dis. 2020, 91, 1–8. [Google Scholar] [CrossRef] [PubMed]
- Smith, D.R.M.; Dolk, F.C.K.; Pouwels, K.B.; Christie, M.; Robotham, J.V.; Smieszek, T. Defining the Appropriateness and Inappropriateness of Antibiotic Prescribing in Primary Care. J. Antimicrob. Chemother. 2018, 73, ii11–ii18. [Google Scholar] [CrossRef]
- Chua, K.P.; Fischer, M.A.; Linder, J.A. Appropriateness of Outpatient Antibiotic Prescribing among Privately Insured US Patients: ICD-10-CM Based Cross Sectional Study. BMJ 2019, 364, k5092. [Google Scholar] [CrossRef] [PubMed]
- Ray, M.J.; Tallman, G.B.; Bearden, D.T.; Elman, M.R.; McGregor, J.C. Antibiotic Prescribing without Documented Indication in Ambulatory Care Clinics: National Cross Sectional Study. BMJ 2019, 367, l6461. [Google Scholar] [CrossRef]
- Smieszek, T.; Pouwels, K.B.; Dolk, F.C.K.; Smith, D.R.M.; Hopkins, S.; Sharland, M.; Hay, A.D.; Moore, M.V.; Robotham, J.V. Potential for Reducing Inappropriate Antibiotic Prescribing in English Primary Care. J. Antimicrob. Chemother. 2018, 73, ii36–ii43. [Google Scholar] [CrossRef]
- Zhao, H.; Wei, L.; Li, H.; Zhang, M.; Cao, B.; Bian, J.; Zhan, S. Appropriateness of Antibiotic Prescriptions in Ambulatory Care in China: A Nationwide Descriptive Database Study. Lancet Infect. Dis. 2021, 21, 847–857. [Google Scholar] [CrossRef]
- Langerman, A.; Thisted, R.; Hohmann, S.; Howell, M. Antibiotic and Duration of Perioperative Prophylaxis Predicts Surgical Site Infection in Head and Neck Surgery. Otolaryngol. Head Neck Surg. 2016, 154, 1054–1063. [Google Scholar] [CrossRef]
- Vamvakidis, K.; Rellos, K.; Tsourma, M.; Christoforides, C.; Anastasiou, E.; Zorbas, K.A.; Arambatzi, A.; Falagas, M.E. Antibiotic Prophylaxis for Clean Neck Surgery. Ann. R. Coll. Surg. Engl. 2017, 99, 410–412. [Google Scholar] [CrossRef]
- Yin, J.; Li, Q.; Sun, Q. Antibiotic Consumption in Shandong Province, China: An Analysis of Provincial Pharmaceutical Centralized Bidding Procurement Data at Public Healthcare Institutions, 2012–2016. J. Antimicrob. Chemother. 2018, 73, 814–820. [Google Scholar] [CrossRef]
- Zhang, D.; Hu, S.; Sun, J.; Zhang, L.; Dong, H.; Feng, W.; Lei, J.; Dong, Y. Antibiotic Consumption versus the Prevalence of Carbapenem-Resistant Gram-Negative Bacteria at a Tertiary Hospital in China from 2011 to 2017. J. Infect. Public Health 2019, 12, 195–199. [Google Scholar] [CrossRef] [PubMed]
- Ministry of Health of the People’s Republic of China. Technical Guidelines for the Prevention and Control of Multi-Drug-Resistant Bacteria Nosocomial Infection (Trial Implementation). Available online: http://carss.cn/Policy/Details/28 (accessed on 17 January 2011).






| Multi-Drug Resistant Bacteria | Nation (Kendall’s Score (Prob > |z|)) | FAH, SYSU (Kendall’s Score (Prob > |z|)) |
|---|---|---|
| CRO-R-ECO | −10 (0.03) | −11 (0.06) |
| CRO-R-KPN | −10 (0.03) | 4 (0.57) |
| CR-ECO | −6 (0.15) | −2 (0.85) |
| CR-KPN | 10 (0.03) | 11 (0.06) |
| MRSA | −10 (0.03) | −1 (1.00) |
| VREM | −8 (0.07) | 8 (0.16) |
| VREA | −9 (0.04) | 0 (1.00) |
| CR-ABA | −3 (0.61) | 5 (0.45) |
| Antibiotics | Kendall’s Score (Prob > |z|) |
|---|---|
| Cefuroxime zinc | −3 (0.71) |
| Ceftriaxone | 9 (0.13) |
| Cefoperazone sulbactam | −1 (1) |
| Piperacillin tazobactam | −1 (1) |
| Imipenem | 11 (0.06) |
| Meropenem | 13 (0.02) |
| vancomycin | −1 (1.00) |
| Factors | General Surgery | Upper Gastrointestinal Tract | Lower Gastrointestinal Tract | Thyroid Gland | Mammary Gland | Liver, Gallbladder, Pancreas and Spleen | Panel Data |
|---|---|---|---|---|---|---|---|
| Smoking | 2.010 * (0.752) [0.966;4.183] | 1.069 (1.148) [0.130;8.777] | 2.286 (1.505) [0.630;8.304] | - | 5.075 (6.686) [0.384;67.123] | 2.870 * (1.747) [0.870;9.464] | 0.266 (0.277) [−0.411;0.943] |
| Alcohol consumption | 0.406 ** (0.179) [0.172;0.961] | 0.732 (0.851) [0.075;7.151] | 0.105 * (0.122) [0.011;1.022] | 1.647 (1.772) [0.200;13.567] | - | 0.526 (0.343) [0.146;1.888] | −0.255 (0.299) [−0.987;0.476] |
| Hospitalization duration | 0.041 *** (0.006) [0.031;0.052] | 0.056 *** (0.016) [0.025;0.088] | 0.040 *** (0.010) [0.021;0.059] | −0.034 (0.077) [−0.184;0.117] | 0.037 (0.182) [−0.320;0.394] | 0.050 *** (0.008) [0.035;0.065] | 0.0002 ** (0.0001) [0.0001;0.0003] |
| Prophylactic antibiotic rational use | 0.383 *** (0.128) [0.199;0.739] | - | 0.674(0.536) [0.141;3.209] | 0.025 *** (0.018) [0.006;0.106] | 0.084 * (0.120) [0.005;1.395] | 0.781 (0.465) [0.243;2.508] | 0.005 (0.004) [−0.004;0.014] |
| Cons | 0.002 *** (0.001) [0.002;0.004] | 0.002 *** (0.001) [0.001;0.008] | 0.002 *** (0.001) [0.001;0.005] | 0.030 *** (0.026) [0.006;0.161] | 0.005 *** (0.010) [0.000;0.209] | 0.001 *** (0.001) [0.000;0.003] | −0.013 * (0.006) [−0.027;0.002] |
| AUC | 0.769 | 0.612 | 0.752 | 0.702 | 0.807 | 0.847 | 0.283 (rho) |
| Factors | CRO-R-ECO | CRO-R-KPN | IMP-R-ECO | IMP-R-KPN | MRSA | IMP-R-ABA |
|---|---|---|---|---|---|---|
| Age | ||||||
| ≤14 y | - | - | - | - | - | - |
| 14 < y ≤ 40 | - | - | 14.613 ** (18.528) [1.218;175.380] | - | - | - |
| 40 < y ≤ 60 | - | - | - | 1.161 (0.497) [0.501;2.689] | 0.607 (0.218) [0.300;1.229] | - |
| >60 y | - | - | - | - | - | - |
| Gender | - | 0.297 (0.350) [0.030;2.983] | - | 0.727 (0.212) [0.410;1.288] | 1.959 (0.894) [0.801;4.794] | |
| Neutrophil deficiency | 0.799 (0.243) [0.440;1.451] | 24.121 ** (37.794) [1.119;520.131] | - | - | - | |
| Vascular catheter | - | 0.938 (0.263) [0.541;1.627] | - | 1.736 (0.779) [0.720;4.185] | - | 3.362 ** (2.035) [1.027;11.009] |
| Department | ||||||
| Medicine | 0.404 *** (0.091) [0.261;0.627] | 0.409 ** (0.153) [0.196;0.854] | 1.155 (1.733) [0.061;21.878] | - | - | 3.915 ** (2.590) [1.071;14.314] |
| Surgery | - | - | 21.852 * (36.059) [0.861;554.718] | 3.616 *** (1.698) [1.441;9.076] | - | - |
| Gynecology and obstetrics | 4.880 *** (2.800) [1.585;15.023] | - | - | - | - | - |
| Pediatrics | 0.268 *** (0.101) [0.128;0.563] | 0.121 *** (0.057) [0.048;0.304] | - | - | - | - |
| Neurology | - | - | - | - | - | - |
| ICU | 0.627 * (0.151) [0.392;1.004] | - | - | 3.820 ** (2.166) [1.257;11.607] | - | 5.534 ** (3.970) [1.356;22.580] |
| Antibiotic use duration/ hospitalization duration | 1.458 *** (0.356) [0.760;2.155] | 1.161 * (0.669) [−0.151;2.471] | - | 2.616 ** (1.919) [0.282;4.950] | 1.539 *** (0.564) [0.433;2.645] | 6.924 *** (1.271) [4.433;9.414] |
| Cons | 0.624 * (0.168) [0.368;1.058] | 0.881 (0.376) [0.382;2.034] | 0.000 *** (0.001) [4.55;0.015] | 0.003 *** (0.003) [0.000;0.022] | 0.196 *** (0.098) [0.073;0.524] | 0.001 *** (0.002) [0.000;0.015] |
| AUC | 0.653 | 0.690 | 0.930 | 0.762 | 0.643 | 0.883 |
| Factors | CRO-R-ECO | CRO-R-KPN | IMP-R-ECO | IMP-R-KPN | MRSA | IMP-R-ABA |
|---|---|---|---|---|---|---|
| Age | ||||||
| ≤14 y | - | - | - | - | - | - |
| 14 < y ≤ 40 | - | - | −0.001 (0.025) [−0.062;0.061] | - | - | - |
| 40 < y ≤ 60 | - | −0.397 (0.337) [−1.221;0.426] | - | - | - | - |
| >60 y | - | - | - | - | - | - |
| Gender | - | - | 0.009 (0.010) [−0.016;0.035] | 0.078 (0.099) [−0.164;0.320] | −0.142 (0.185) [−0.596;0.311] | - |
| Neutrophil deficiency | 0.624 (0.449) [−0.475;1.723] | - | 0.010 (0.021) [−0.041;0.061] | - | −0.621 *** (0.093) [−0.850;−0.392] | - |
| Vascular catheter | - | −0.532 (0.367) [−1.430;0.367] | - | 0.296 *** (0.060) [0.150;0.442] | - | −0.265 * (0.124) [−0.568;0.039] |
| antibiotic use duration/hospitalization duration | 0.904 ** (0.288) [0.199;1.608] | 0.716 * (0.346) [−0.132;1.563] | - | 0.491 *** (0.106) [0.232;0.749] | −0.153 (0.162) [−0.548;0.243] | 0.576 ** (0.199) [0.088;1.064] |
| Drug intensity | 0.000 (0.004) [−0.009;0.010] | 0.021 ** (0.008) [0.001;0.042] | 0.000 (0.000) [−0.001;0.001] | 0.003 (0.002) [−0.002;0.007] | - | 0.003 (0.002) [−0.003;0.009] |
| cons | −0.127 (0.264) [−0.773;0.519] | −0.134 (0.332) [−0.946;0.678] | −0.003 (0.020) [−0.051;0.045] | −0.575 *** (0.149) [−0.941;−0.210] | 0.559 *** (0.103) [0.307;0.811] | 0.122 (0.196) [−0.357;0.601] |
| rho | 0.824 | 0.877 | 0.263 | 0.445 | 0.670 | 0.611 |
| Irrational Use (CNY) Mean (SD) | Rational Use (CNY) Mean (SD) | Difference Mean (95% Confidence Interval) | p Value | |
|---|---|---|---|---|
| Total hospitalization cost | 65,699 (43,533) | 19,925 (15,782) | 45,774 (44,886; 46,662) | <0.0001 |
| Total hospitalization medicine cost | 17,531 (19,722) | 3135 (4121) | 14,396 (14,012; 14,780) | <0.0001 |
| Total hospitalization antibiotics cost | 2891 (7637) | 24 (113) | 2867 (2722; 3012) | <0.0001 |
| Single day hospitalization cost | 3957.36 (1875.04) | 3379.02 (1775.91) | 578.33 (527.32; 629.34) | <0.0001 |
| Single day hospitalization medicine cost | 912.58 (517.44) | 431.86 (382.07) | 480.72 (468.14; 493.30) | <0.0001 |
| Single day hospitalization antibiotics cost | 133.62 (181.52) | 1.90 (8.13) | 131.72 (128.26; 135.17) | <0.0001 |
| Antibiotic Use Duration/Hospital Duration Ratio ≤ 0.9 (CNY) Mean (SD) | Antibiotic Use Duration/Hospital Duration Ratio > 0.9 (CNY) Mean (SD) | Difference Mean (95% Confidence Interval) | p Value | |
|---|---|---|---|---|
| CRO-R-ECO | ||||
| Total hospitalization cost | 65,653 (77,915) | 86,712 (123,731) | −21,059 (−34,475; −7643) | <0.0001 |
| Total hospitalization medicine cost | 27,517 (35,559) | 41,276 (61,377) | −13,758.67 (−20,162; −7355) | <0.0001 |
| Total hospitalization antibiotic cost | 10,509 (16,477) | 19,570 (30,384) | −9060 (−12,142; −5978) | <0.0001 |
| Single day hospitalization cost | 3065.13 (2592.14) | 3506.32 (3278.07) | −441.19 (−843.14; −39.24) | 0.02 |
| Single day hospitalization medicine cost | 1228.17 (969.27) | 1608.80 (1502.40) | −380.63 (−545.48; −215.78) | <0.0001 |
| Single day hospitalization antibiotic cost | 473.18 (545.09) | 804.22 (865.28) | −331.03 (−424.88; −237.19) | <0.0001 |
| CRO-R-KPN | ||||
| Total hospitalization cost | 73,121 (85,839) | 166,851 (297,954) | −93,731 (−130,967; −56,494) | <0.0001 |
| Total hospitalization medicine cost | 30,305 (37,246) | 75,764 (116,954) | −45,459 (−60,266; −30,653) | <0.0001 |
| Total hospitalization antibiotic cost | 11,794 (17,363) | 35,756 (54,275) | −23,961 (−30,837; −17,086) | <0.0001 |
| Single day hospitalization cost | 3062.93 (2604.67) | 4332.79 (3626.66) | −1269.87 (−1845.96; −693.77) | <0.0001 |
| Single day hospitalization medicine cost | 1232.37 (1004.32) | 2075.69 (1760.20) | −843.32 (−1098.44; −588.20) | <0.0001 |
| Single day hospitalization antibiotic cost | 469.10 (514.17) | 1052.24 (1069.62) | −583.14 (−730.21; −436.06) | <0.0001 |
| IMP-R-ECO | ||||
| Total hospitalization cost | 65,347 (77,695) | 86,492 (123,554) | −21,145 (−34,494; −7796) | 0.001 |
| Total hospitalization medicine cost | 27,410 (35,457) | 41,174 (61,285) | −13,764 (−20,135; −7394) | <0.0001 |
| Total hospitalization antibiotic cost | 10,497 (16,436) | 19,527 (30,335) | −9030 (−12,096; −5963) | <0.0001 |
| Single day hospitalization cost | 3059.62 (2583.40) | 3503.42 (3272.32) | −443.80 (−843.58; −44.03) | 0.02 |
| Single day hospitalization medicine cost | 1227.11 (967.81) | 1608.01 (1499.66) | −380.90 (−545.00; −216.81) | <0.0001 |
| Single day hospitalization antibiotic cost | 474.95 (546.00) | 804.20 (863.67) | −329.25 (−422.81; −235.70) | <0.0001 |
| IMP-R-KPN | ||||
| Total hospitalization cost | 79,178 (100,321) | 190,897 (315,547) | −111,719 (−151,646; −71,792) | <0.0001 |
| Total hospitalization medicine cost | 32,818 (42,188) | 82,902 (118,860) | −50,084 (−65,368; −34,799) | <0.0001 |
| Total hospitalization antibiotic cost | 12,689 (20,631) | 39,357 (54,741) | −26,668 (−33,779; −19,557) | <0.0001 |
| Single day hospitalization cost | 3150.03 (2831.38) | 4812.55 (5217.51) | −1662.51 (−2402.13; −922.90) | <0.0001 |
| Single day hospitalization medicine cost | 1272.74 (1091.30) | 2190.84 (1959.10) | −918.10 (−1198.11; −638.09) | <0.0001 |
| Single day hospitalization antibiotic cost | 471.53 (558.86) | 1124.68 (1132.59) | −653.15 (−809.34; −496.96) | <0.0001 |
| MRSA | ||||
| Total hospitalization cost | 68,243 (72,103) | 107,927 (197,530) | −39,684 (−75,445; −3923) | 0.02 |
| Total hospitalization medicine cost | 25,402 (28,616) | 41,266 (53,740) | −15,864 (−26,675; −5053) | 0.002 |
| Total hospitalization antibiotic cost | 10,512 (12,875) | 22,374 (32,649) | −11,862 (−178,75; −5849) | <0.0001 |
| Single day hospitalization cost | 2509.47 (1756.42) | 3723.29 (3331.72) | −1213.82 (−1881.69; −545.95) | <0.0001 |
| Single day hospitalization medicine cost | 917.60 (793.15) | 1553.30 (1399.23) | −635.70 (−923.84; −347.56) | <0.0001 |
| Single day hospitalization antibiotic cost | 386.92 (411.82) | 839.39 (778.64) | −452.47 (−608.73; −296.20) | <0.0001 |
| VREM | ||||
| Total hospitalization cost | 211,330 (167,709) | 409,278 (468,115) | −197,948 (−351,037; −44,859) | 0.01 |
| Total hospitalization medicine cost | 96,919 (90,312) | 147,169 (162,523) | −50,250 (−107,671; 7170) | 0.04 |
| Total hospitalization antibiotic cost | 40,767 (48,212) | 59,252 (72,928) | −18,486 (−45,531; 8560) | 0.09 |
| Single day hospitalization cost | 5948.38 (4003.43) | 10,567.25 (7376.56) | −4618.87 (−7210.29; −2027.45) | <0.0001 |
| Single day hospitalization medicine cost | 2585.94 (1604.79) | 3852.01 (2493.40) | −1266.07 (−2183.13; −349.00) | 0.004 |
| Single day hospitalization antibiotic cost | 1021.59 (753.17) | 1549.26 (1096.27) | −527.66 (−939.31; −116.02) | 0.01 |
| VREA | ||||
| Total hospitalization cost | 114,734 (184,394) | 116,242 (104,842) | −1507 (−66,039; 63,025) | 0.48 |
| Total hospitalization medicine cost | 39,185 (55,355) | 50,977 (45,812) | −11,792 (−32,741; 9158) | 0.13 |
| Total hospitalization antibiotic cost | 15,245 (27,463) | 24,457 (26,432) | −9212 (−20,097; 1672) | 0.05 |
| Single day hospitalization cost | 3508.72 (2596.19) | 3846.84 (3506.75) | −338.12 (−1523.96; 847.73) | 0.29 |
| Single day hospitalization medicine cost | 1218.13 (913.97) | 1765.10 (1841.76) | −546.97 (−1077.52; −16.41) | 0.02 |
| Single day hospitalization antibiotic cost | 462.76 (558.10) | 896.62 (1229.68) | −433.87 (−779.05; −88.68) | 0.01 |
| IMP-R-ABA | ||||
| Total hospitalization cost | 200,010 (312,307) | 365,231 (355,864) | −165,221 (−263,829; −66,612) | 0.001 |
| Total hospitalization medicine cost | 71,400 (106,936) | 146,460 (119,965) | −75,060 (−108,489; −41,630) | <0.0001 |
| Total hospitalization antibiotic cost | 29,174 (48,533) | 65,653 (51,239) | −36,479 (−51,089; −21,868) | <0.0001 |
| Single day hospitalization cost | 6427.34 (5491.09) | 10,630.40 (8916.52) | −4203.06 (−6438.45; −1967.66) | <0.0001 |
| Single day hospitalization medicine cost | 2289.16 (2176.96) | 4282.26 (2886.75) | −1993.10 (−2754.69; −1231.51) | <0.0001 |
| Single day hospitalization antibiotic cost | 950.40 (1158.17) | 2035.71 (1552.00) | −1085.32 (−1493.53; −677.10) | <0.0001 |
Disclaimer/Publisher’s Note: The statements, opinions and data contained in all publications are solely those of the individual author(s) and contributor(s) and not of MDPI and/or the editor(s). MDPI and/or the editor(s) disclaim responsibility for any injury to people or property resulting from any ideas, methods, instructions or products referred to in the content. |
© 2023 by the authors. Licensee MDPI, Basel, Switzerland. This article is an open access article distributed under the terms and conditions of the Creative Commons Attribution (CC BY) license (https://creativecommons.org/licenses/by/4.0/).
Share and Cite
Zheng, N.; Li, J.; Liu, Y.; Liao, K.; Chen, J.; Zhang, C.; Wen, W. Evaluation of Implementation and Effectiveness of China’s Antibiotic Stewardship in the First Affiliated Hospital of Sun Yat-sen University. Antibiotics 2023, 12, 770. https://doi.org/10.3390/antibiotics12040770
Zheng N, Li J, Liu Y, Liao K, Chen J, Zhang C, Wen W. Evaluation of Implementation and Effectiveness of China’s Antibiotic Stewardship in the First Affiliated Hospital of Sun Yat-sen University. Antibiotics. 2023; 12(4):770. https://doi.org/10.3390/antibiotics12040770
Chicago/Turabian StyleZheng, Nianzhen, Jian Li, Yang Liu, Kang Liao, Jie Chen, Chengcheng Zhang, and Weiping Wen. 2023. "Evaluation of Implementation and Effectiveness of China’s Antibiotic Stewardship in the First Affiliated Hospital of Sun Yat-sen University" Antibiotics 12, no. 4: 770. https://doi.org/10.3390/antibiotics12040770
APA StyleZheng, N., Li, J., Liu, Y., Liao, K., Chen, J., Zhang, C., & Wen, W. (2023). Evaluation of Implementation and Effectiveness of China’s Antibiotic Stewardship in the First Affiliated Hospital of Sun Yat-sen University. Antibiotics, 12(4), 770. https://doi.org/10.3390/antibiotics12040770

