Abstract
The necessity for the discovery of innovative antimicrobials to treat life-threatening diseases has increased as multidrug-resistant bacteria has spread. Due to antibiotics’ availability over the counter in many nations, antibiotic resistance is linked to overuse, abuse, and misuse of these drugs. The World Health Organization (WHO) recognized 12 families of bacteria that present the greatest harm to human health, where options of antibiotic therapy are extremely limited. Therefore, this paper reviews possible new ways for the development of novel classes of antibiotics for which there is no pre-existing resistance in human bacterial pathogens. By utilizing research and technology such as nanotechnology and computational methods (such as in silico and Fragment-based drug design (FBDD)), there has been an improvement in antimicrobial actions and selectivity with target sites. Moreover, there are antibiotic alternatives, such as antimicrobial peptides, essential oils, anti-Quorum sensing agents, darobactins, vitamin B6, bacteriophages, odilorhabdins, 18β-glycyrrhetinic acid, and cannabinoids. Additionally, drug repurposing (such as with ticagrelor, mitomycin C, auranofin, pentamidine, and zidovudine) and synthesis of novel antibacterial agents (including lactones, piperidinol, sugar-based bactericides, isoxazole, carbazole, pyrimidine, and pyrazole derivatives) represent novel approaches to treating infectious diseases. Nonetheless, prodrugs (e.g., siderophores) have recently shown to be an excellent platform to design a new generation of antimicrobial agents with better efficacy against multidrug-resistant bacteria. Ultimately, to combat resistant bacteria and to stop the spread of resistant illnesses, regulations and public education regarding the use of antibiotics in hospitals and the agricultural sector should be combined with research and technological advancements.
1. Introduction
Prior to the turn of the 20th century, infectious diseases were the main contributor to high morbidity and mortality rates around the world [1]. The period of antibiotics, which saw the discovery and development of numerous antibacterial drugs, began with Fleming’s discovery of penicillin in 1929. Regrettably, the emergence of resistant strains was brought on by the overuse and careless use of antibiotics [2,3]. According to 2019 systemic analytic research, there were 4.95 million fatalities attributable to antimicrobial resistance (AMR). With 27.3 deaths per 100,000 people, western sub-Saharan Africa has the highest mortality rate, whereas Australasia has the lowest mortality rate with 6.5 deaths per 100,000 people [4]. Twelve families of bacteria have been identified by the World Health Organization (WHO) as the most dangerous to human health and have been divided into three priority groups: critical pathogens (Acinetobacter, Pseudomonas, and Enterobacteriaceae), high priority pathogens (Enterococcus faecium, Staphylococcus aureus, Helicobacter pylori, Campylobacter, Salmonella spp., Nisseria gonorrhoeae), and medium priority pathogens (Streptococcus pneumoniae, Shigella spp.) [5,6,7,8]. The presence of multidrug-resistant (MDR) ESKAPE pathogens (including Enterococcus faecium, Staphylococcus aureus, Klebsiella pneumoniae, Acinetobacter baumannii, Pseudomonas aeruginosa, and Enterobacter species) and extensively drug-resistant (XDR) bacteria has rendered even the most effective drugs ineffective. Therefore, its necessary to develop novel strategies and approaches to overcome the problem of increasing AMR [9,10,11]. This review outlines various strategies employed in the design and development of new antimicrobial agents. These include the utilization of nanotechnology and computational methods (such as in silico and fragment-based drug design (FBDD)) which have led to improved antimicrobial efficacy and enhanced selectivity towards target sites. In addition, antibiotic alternatives (antimicrobial peptides, essential oils, anti-Quorum sensing, darobactins, vitamin B6, bacteriophages, odilorhabdins, 18β-glycyrrhetinic acid, cannabinoids), drug repurposing (ticagrelor, mitomycin C, auranofin, pentamidine, and zidovudine) and synthesis of novel antibacterial agents (lactones, piperidinol, sugar-based bactericide, isoxazole, carbazole, pyrimidines, and pyrazoles derivatives) are novel approaches to treat infectious diseases. Furthermore, prodrugs (e.g., siderophores) and combinatorial treatments have recently been shown to be an excellent platform to design a new generation of antimicrobial agents with better efficacy against multidrug-resistant bacteria.
2. Antibiotic Classification
New antibiotic use methods should be implemented on a local and global level to combat resistance, and the development of novel treatments requires a thorough understanding of how antibiotics function. Table 1 summarizes how antibiotics produce their effects through a variety of mechanism of action. Antibiotic-mediated cell death is a complicated process that begins with a physical interaction between the medication and its particular target in bacteria, altering the bacterium’s biochemical, molecular, or ultrastructural levels. The development of DNA double-stranded DNA breaks, the halting of DNA-dependent RNA synthesis, cell envelop damage, protein mistranslation, and stress induction are only a few of the methods through which antibiotics can cause cell death [12]. Antimicrobial agents are divided into two categories on the basis of how they affect bacteria in a test tube: (1) bactericidal (kill bacteria) antibiotics such as β-lactams, glycopeptides, lipopeptides, rifamycins, aminoglycosides, and fluoroquinolones, and (2) bacteriostatic (prevent bacterial growth) antibiotics such as sulfonamides–trimethoprim and macrolides. Bacteriostatic substances can also be described as having a minimum bactericidal concentration (MBC) to minimum inhibitory concentration (MIC) ratio higher than four, and bactericidal substances when the MBC to MIC ratio is lower than or equal to four [13].
Table 1.
List of antimicrobial agent and their mechanism of action.
Figure 6.
Chemical structure of quinupristin, pristinamycin, virginiamycin, chloramphenicol, thiamphenicol, florfenicol, lincomycin, and clindamycin.
Figure 5.
Chemical structure of chlortetracycline, oxytetracycline, tetracycline, demeclocycline, doxycycline, minocycline, lymecycline, meclocycline, methacycline, rolitetracycline, tigecycline, omadacycline, sarecycline, eravacycline, linezolid, sutezolid, eperezolid, delpazolid, tedizolid, tedizolid phosphate, radezolid, and TBI-223.
Figure 4.
Chemical structure of nalidixic acid, enoxacin, norfloxacin, ciprofloxacin, ofloxacin, lomefloxacin, sparfloxacin, grepafloxacin, clinafloxacin, gatifloxacin, moxifloxacin, gemifloxacin, trovafloxacin, arenoxacin, sulfamethoxazole, trimethoprim, erythromycin, clarithromycin, azithromycin, fidaxomicin, and telithromycin.
Figure 3.
Chemical structure of rifampin, rifabutin, rifapentine, streptomycin, apramycin, tobramycin, gentamycin, amikacin, neomycin, arbekacin, and plazomicin.
Figure 2.
Chemical structure of polymyxins, daptomycin, amphomycin, friulimicin, ramoplanin, and empedopeptin.
Figure 1.
Chemical structure of penicillins, cephalosporins, carbapenems, monocyclic β-lactams, clavulanic acid (β-lactamase inhibitors), vancomycin, teicoplanin, telavancin, dalbavancin, and oritavancin.
Table 1.
List of antimicrobial agent and their mechanism of action.
| Antibiotics Family | Mechanism of Action | Antibiotics |
|---|---|---|
| β-lactam | Binds to the serine active site of penicillin-binding proteins (PBPs) or the allosteric site in PBP2a to inhibit bacterial cell wall peptidoglycan transpeptidation [14,15]. | Penicillins Cephalosporins Carbapenems Monocyclic β-lactams β-lactamase inhibitors (e.g., clavulanic acid) (Figure 1) |
| Glycopeptides | Interacts with the membrane-bound lipid II precursor of peptidogly and can prevent peptidoglycan from being incorporated into an essential structural cell wall component [16]. | Vancomycin Teicoplanin Telavancin Dalbavancin Oritavancin (Figure 1) |
| Lipopeptide | Carries out their action by causing Gram-positive bacteria’s cell membrane integrity to be compromised, which results in cell death [17,18]. | Polymyxins Daptomycin Amphomycin Friulimicin Ramoplanin Empedopeptin (Figure 2) |
| Rifamycins | RNA polymerase (RNAP) inhibitors are used to treat tuberculosis (TB) [19]. | Rifampin Rifabutin Rifapentine (Figure 3) |
| Aminoglycoside | By attaching to the 30S ribosome’s A-site on the 16S ribosomal RNA, they inhibit protein synthesis [20]. | Streptomycin Apramycin Tobramycin Gentamcin Amikacin Neomycin Arbekacin Plazomicin (Figure 3) |
| Fluoroquinolones | Target DNA gyrase, topoisomerase IV, and topoisomerase type II to prevent bacteria from synthesizing DNA [21]. | Nalidixic acid Enoxacin Norfloxacin Ciprofloxacin Ofloxacin Lomefloxacin Sparfloxacin Grepafloxacin Clinafloxacin Gatifloxacin Moxifloxacin Gemifloxacin Trovafloxacin Garenoxacin (Figure 4) |
| Sulfonamides–Trimethoprim | Sulfonamides interfere with the activity of the dihydropteroate synthase enzyme by competing with p-aminobenzoic acid (PABA) in the process of dihydrofolate production.The dihydrofolate reductase enzyme is inhibited by trimethoprim because it competes directly with it [22]. | Sulfamethoxazole Trimethoprim (Figure 4) |
| Macrolides | Target the nascent peptide exit tunnel (NPET) of the bacterial 50S ribosomal subunit, which is responsible for the release of newly synthesized protein from the ribosome, ultimately preventing protein synthesis [23,24]. | Erythromycin Clarithromycin Azithromycin Fidaxomicin Telithromycin (Figure 4) |
| Tetracyclines | Bind to the small subunit’s decoding site and prevent bacterial protein synthesis [25,26]. | Chlortetracycline Oxytetracycline Tetracycline Demeclocycline Doxycycline Minocycline Lymecycline Meclocycline Methacycline RolitetracyclineTigecycline Omadacycline Sarecycline Eravacycline (Figure 5) |
| Oxazolidinones | Block the translation sequence by interacting with the 50S subunit (A-site pocket) at the peptidyl transferase center (PTC) to inhibit protein synthesis [27]. | Linezolid Sutezolid Eperezolid Delpazolid Tedizolid Tedizolid phosphate Radezolid TBI-223 (Figure 5) |
| Streptogramins | Inhibit protein synthesis during the elongation step by attaching to bacterial ribosomes [28]. The antibiotic has two unique structural groups (A and B) that cooperate to increase the affinity of group B in the nearby nascent peptide exit tunnel (NPET) when group A binds to the peptidyl transferase center (PTC) [29]. | Quinupristin Pristinamycin Virginiamycin (Figure 6) |
| Phenicoles | Inhibit protein synthesis by binding to the 50S ribosomal subunit [30]. | Chloramphenicol Thiamphenicol Florfenicol (Figure 6) |
| Lincosamides | Activate amino acid monomers by aminoacyl-tRNA, chain initiation, elongation, and termination of the formed polypeptides on the ribosome, which disrupts bacterial growth and death. These are only a few of the many processes that can be affected to prevent microbial protein synthesis [31]. | Lincomycin Clindamycin (Figure 6) |
3. Antimicrobial Resistance
The World Health Organization (WHO) describes antimicrobial resistance as a natural phenomenon that happens when germs cease responding to antibiotics that they were previously susceptible to before. Resistance makes treating infections more difficult or impossible [8,32]. In bacteria, there are two types of resistance: acquired and natural [33]. Natural resistance can either be produced or intrinsic (expressed in a species without connection to horizontal gene transfer) (the natural bacterial genes are only expressed to resistance levels after exposure to an antibiotic). Contrarily, acquired resistance can develop after acquiring genetic material that already exhibits it through horizontal gene transfer (HGT) (transformation, transposition, and conjugation) or by causing a mutation in the cell’s DNA during replication [8,33,34]. Antimicrobial resistance mechanisms include drug inactivation, decreased intracellular drug concentration, and altered drug targets (Figure 7) [35,36]. One of the most significant mechanisms of acquired resistance is the change or degradation of antibiotics. Bacterial enzymes have the ability to alter a number of antibiotics, including aminoglycoside, chloramphenicol, and β-lactam [37,38]. By increasing efflux or decreasing influx, one can lower drug concentration [39]. Bacteria can develop a high level of inherent resistance owing to this method. Porin mutations in resistant strains alter the permeability of bacterial membranes, which reduces medication uptake into the cell. For instance, OprD, a particular porin in strains of P. aeruginosa, can result in a mutation for carbapenem resistance [40]. The Proteobacterial Antimicrobial Compound Efflux (PACE) superfamily, the Resistance Nodulation Division (RND) family, the Small Multidrug Resistance (SMR) superfamily, the Multidrug and Toxic Compound Extrusion (MATE) superfamily, and the ATP (adenosine triphosphate)-Binding Cassette (ABC) superfamily are the six families that make up the transmembrane proteins that make up efflux pumps [41,42]. The most prevalent efflux pumps in both Gram-positive and Gram-negative bacteria are MFS and RND pumps [39]. The medication target changing is another method of resistance. Examples include the resistance to glycopeptide and polymyxin antibiotics caused by enzymes that chemically alter components of the cell membrane necessary for antibiotic binding. Methyltransferases are another example of target modifying enzymes since they change the rRNA elements on the ribosome and thus become resistant to antibiotics including aminoglycoside, lincosamide, macrolide, streptogramin, and oxazolidinone [43]. Another phenomenon known as “target protection” occurs when an antibiotic target’s resistance protein protects it from antibiotic-induced inhibition (target protection protein). Tetracycline ribosomal protection proteins (TRPPs) are an illustration of this mechanism [44].
Figure 7.
Mechanism of antimicrobial resistance which include reduce intracellular antibiotic concentration, antibiotic inactivation, and target site alteration.
4. Antibiotic Use and Resistance in Agriculture Sector
β-lactams, aminoglycosides, tetracyclines, macrolides, and other antibiotics with comparable modes of action to those used by humans are causing a lot of concern due to their possible side effects and risk management strategies [45]. Because medicines are available over the counter, their overuse, abuse, and misuse are linked to antibiotic resistance [46]. Antibiotic resistance is caused by the use of antibiotics in animals raised for food. Food safety and public health may suffer if antibiotic residues are found in products obtained from animals that are intended for human consumption [47,48,49]. Use of unnecessary antibiotics in animals for the purpose of promoting development, as well as waste products from veterinary care and livestock farming, human waste streams, and soil fertilization, can result in the release of antibiotics pollution into the environment. As a result, it is possible to think of the environment as a reservoir for antibiotics and bacteria that are resistant to antibiotics, and their resistance genes [45,50,51,52]. Reports that some bacterial infections in humans are brought on by animal pathogens (zoonotic pathogens) such as Salmonella spp., Staphylococcus spp., Yersinia enterocolitica, Enterococcus spp., Listeria monocytogenes, Campylobacter jejuni and Escherichia coli [53,54,55] have demonstrated that antibiotic resistance can be transmitted directly or indirectly from animal to human. To prevent antibiotic resistance and maintain the potency of the available antibiotics, a number of practices should be regulated for the prudent use of antibiotics in the clinical and agricultural sectors [56,57]. The demand for antibiotics to cure illnesses can be decreased by improving animal feed, waste management, and animals’ natural immunity. Moreover, using antibiotic alternatives including prebiotics, probiotic vaccines, and bacteriophages can help reduce the need for antibiotics [58,59,60].
5. Novel Therapeutic Agents
Here, we discuss the most recent methods and tools (Figure 8) used to resurrect antimicrobial drugs as a result of rising antibiotic resistance.
Figure 8.
Strategies for combating antibiotic resistance including, nanotechnology, computational methods, antibiotic alternatives, drug repurposing, synthesis of novel antibacterial agents, prodrugs, awareness, and knowledge of antibiotic prescribing.
5.1. Nanotechnology in Combating Bacterial Resistance
The drug resistance dilemma can potentially be resolved with the use of nanotechnology. Nanomaterials can be metallic, semiconducting, polymer, or carbon-based and have been widely employed in studies and have been shown to be effective against infections on the WHO priority list. Antibacterial activity of nanomaterials arises from interactions between nanoparticles and bacteria, which includes cellular uptake and nanoparticle aggregation, which leads to membrane damage and toxicity. In an effort to reduce resistance, nanoparticles can serve as both antibiotics and delivery systems [61,62,63]. Metal-based NPs (such as silver, copper and gold) have drawn attention due to their different properties such as being optically active, having a large surface area, being chemically reactive, as well as mechanically strong. Favorable physicochemical characteristics of metallic nanomaterials led them to be widely used in biomedical applications [64,65]. In order to circumvent vancomycin resistance, a short half-life, and the necessity for a greater dose, Yadav et al. [66] used a nanosized vehicle system for delayed and sustained release of the antibiotic. Vancomycin was captured using arginine-α,β-dehydrophenylalanine nanospheres in the procedure. When compared to vancomycin alone, which only moderately inhibited S. aureus growth in in vitro and in vivo tests, nanoparticles effectively inhibited S. aureus growth. The antibacterial therapy holds out a lot of promise thanks to the delivery mechanism. A sliver nanoparticle conjugated with chitosan was created by Mohammadinejat et al. [67] and tested for antibacterial and antibiofilm properties against carbapenem-resistant Acinetobacter baumannii (CRAB) and methicillin-resistant S. aureus (MRSA). The results showed that, compared to chitosan (64, 16 μg/mL) and Ag Np alone (32, 16 μg/mL), the nanoparticle conjugate had a MIC90 of 8 μg/mL against CRAB isolates and 4 μg/mL against MRSA. Ag Np–chitosan conjugation is a successful alternative with antibacterial and anti-biofilm effects against CRAB and MRSA isolates, as demonstrated by the conjugate’s ability to reduce biofilm formation of CRAB and MRSA isolates by ¼ MIC concentration (2 μg/mL) and ½ MIC concentration (2 μg/mL), respectively. Polydopamine (4-(2-aminoethyl)benzene-1,2-diol, PDA) has strong hydrophilicity and biocompatibility, and Na Xu et al. [68] designed ferrous sulfide-polydopamine nanoparticles (PDA@FeS NPs) in which ferrous and sulfur ions preserve normal body physiology. The photothermal antibacterial activities of PDA@FeS NPs were very effective against both E. coli and S. aureus. When hydrogen peroxide is present, the near-infrared (NIR) light-mediated release of ferrous ions under weakly acidic conditions (approximately 26.5%) caused the generation of harmful hydroxyl radicals (.OH), which caused bacterial cell membrane damage and content leakage. PDA@FeS NPs’ germicidal properties offer a fresh approach for creating new antibacterial platforms. Moreover, Li et al. [69] created a positively charged porphyrin iron-based porous organic polymer called FePPOPHydantoin that generates a significant quantity of hydroxyl radicals. FePPOPHydantoin provided strong near-infrared (NIR) absorption, superior stability, high density of surface catalytic centers, and reproducibility. In addition, it gave a multi-amplified antibacterial efficacy by combining photo-Fenton and peroxidase mimetic catalytic treatment. The efficiency of the nanozymes against bacterial infection was demonstrated in an in vivo study using infected mice with S. aureus. Furthermore, at the nanoscale range, diamagnetic silver nanoparticles (Ag) are renowned for their antiviral, anticancer, and antibacterial effects. El-Bassuony [70] investigated the results of combining ferromagnetic (cobalt) and paramagnetic (copper) components with silver-magnetite nanoparticles. The results demonstrated that, compared to copper nanoferrite (CuAF), cobalt nanoferrite/silver-magnetite (CoAF) nanocomposites produced a more dramatic effect in the magnetic experiments. This is due to the higher coercivity Hc and saturation magnetization Ms of CoAF. Both nanocomposites shown robust antimicrobial activities when tested against Gram-positive and Gram-negative bacteria, indicating the potential application of nanomaterials as antibacterial agents. Human alpha-defensin 5 (HD5) antimicrobial peptide (AMP) was coupled with myristic acid (tetradecanoic acid) to produce Myristoylated HD5 nanobiotics in a method utilized by Lei et al. [71] to induce self-assembly. Cationicity and hydrophobicity are both critical for killing Gram-positive and Gram-negative bacteria. Human alpha-defensins clustered in nanoassemblies combine these two characteristics for efficiently killing bacteria. Furthermore, the nanobiotic showed resistance to proteolytic degradation in vivo, and minimization of renal excretion due to increased molecular size which led to the improvement of the bioavailability of the HD5-myr nanobiotic. The self-assembled nanobiotic shown improved broad-spectrum bactericidal action specifically against E. coli and MRSA by disrupting the cell wall and possibly other membrane structures, according to in vitro data. Excellent tolerability was also demonstrated in in vivo testing, where it was discovered that the nanobiotic could protect mice from MRSA skin infections and save them from E. coli-induced sepsis [72].
Implementation of Quality by Design (QbD) Approach in Nano-Delivery
The phrase “quality by design” (QbD) refers to products that are free of contamination and provide the consumer with the therapeutic benefit stated on the label. The FDA promotes the application of QbD concepts in the creation, production, and oversight of pharmaceutical products. The QbD technique strengthens development capability, speed, formulation design, and the manufacturer’s capacity to pinpoint the underlying reasons of manufacturing failures, which increases the effectiveness of product development and production. It also infuses quality into the product itself [73,74]. By employing a methodical QbD technique, Joshi et al. [75] created rifampicin-loaded bovine serum albumin nanoparticles (RIF-BSA-NPs) with optimal particle size and entrapment effectiveness for useful intravenous use. The 72 h sustained release of rifampicin from the BSA NPs matrix indicates that the formulated NP is appropriate for intravenous administration with the potential to enhance rifampicin’s therapeutic effects. The sulfonamide antibiotic Silver Sulphadiazine (Silver [(4-aminophenyl)sulfonyl](pyrimidin-2-yl)azanide, SSD), which is an efficient antibacterial drug used for treating burn wounds, was examined by Thakur et al. [76] using the QbD paradigm. The penetration and retention efficacy of the medicine was increased by SSD in an organo-gel foundation based on egg oil, according to the results. Furthermore, the prolonged release of the medication from the body decreased the need for frequent application and the creation of scars, which improved patient compliance. Because of this, SSD egg oil organogel holds promise as a delivery strategy for the treatment of burn wounds and associated infections. Systematic QbD was utilized by Ghodake et al. [77] to create a dry powder inhaler of sodium cefoperazone (1, Figure 9) based on liposomes. The effectiveness of liposomes as an anti-biofilm agent against P. aeruginosa was examined. The first crucial step in quality-based development is defining the target product profile (TPP), which is a summary of a drug product’s quality attributes including the route of administration, dosage form, pharmacokinetic parameters, and others. The final dosage form was a dry powder which was filled into capsules to be administered via pulmonary inhalation. Particle size and % entrapment efficiency were also selected as important quality attributes (CQAs) to guarantee the quality of the finished product. When compared to the free drug, the cefoperazone liposomal formulation demonstrated stability, nanometer-sized particle size, high drug entrapment, and enhanced in vitro antibacterial, antibiofilm, and eradication at almost 1 g/mL. For the formulation to be employed for the treatment of P. aeruginosa-related lung infections after cystic fibrosis, more testing is required. For the development of drugs and reliable quality control, a thorough understanding of QbD-based processes and design spaces is crucial. These spaces correspond to the critical process parameters (CPPs). A complex liposomal amphotericin B (AmB) product was created by Liu et al. [78] and improved utilizing the QbD technique. Research has demonstrated that the manufacturing technique, formulation ingredients, and curing temperature applied during the production process—and more specifically, the hydration and microfluidization—have a significant impact on the drug’s efficacy. Moreover, the design space was investigated for the reliable creation of a therapeutic product with undesirable qualities. The broad design space was observed at higher curing temperatures, lower di-stearoyl-phosphatidylglycerol (DSPG)-to-phospholipid ratios, and greater active pharmaceutical ingredient (API) to phospholipid ratios. Although AMPs offer a viable alternative to antibiotics, problems with toxicity and low bioavailability still need to be resolved. To get beyond these obstacles, Qbd-based antimicrobial peptide modification and formulation design are presented by Manteghi et al. [79] in order to create a more stable, affordable, and effective delivery to the target location. In addition to the immune system’s manufacture of antibodies, it was discovered that PEGylation of AMPs causes a decrease in biological activity due to the loss of its positive charges. The possible dangers associated with the AMP PEGylation process were examined using the AMP model PGLa (GMASKAGAIAGKIAKVALKAL-NH2). The parameters used to prioritize rankings included final size, conjugate activity, and specificity. The development of an optimum formulation of PGLa for a possible drug delivery system results from taking into account all the important criteria and choosing the best procedures and materials. As a result, the early pharmaceutical developments integrated by QbD technique aids researchers in risk-based product optimization. Understanding the cause-and-effect relationships during the initial Risk Assessment (RA) process provides the foundation for the experimental design and development support to obtain the final product within the desired quality range.
Figure 9.
Chemical structure of cefoperazone sodium (1), caffeine (2), ricinine (3), anthraquinones (4), emodin (5), chrysophanol (6), elipyrone A (7), delafloxacin (8), thymoquinone (9), N-[3-(aminomethyl)phenyl]-5-chloro-3- methylbenzothiophene-2-sulfonamide (10), piperidinylpyrimidine derivatives (11), thiolactomycin (TLM) (12), pantetheine analog (PK940) (13), BDM31369 (14), BDM31827 (15), 4-Iodo-N-prop-2-ynylbenzenesulfonamide (BDM43266) (16), Tetrahydro-1-benzothiophene (THBTP) Analogue (17), 2-(aminomethyl)benzothiazole (18), NMR446 (19), L-canavanine (20), and N-(5-(azepan-1-ylsulfonyl)-2-methoxyphenyl)-2-(4-oxo-3,4-dihydrophthalazin-1-yl)acetamide (21).
5.2. Computational Methods in the Development of New Antibacterial Agents
5.2.1. In Silico Modelling
In silico modeling is a term used to describe computer-assisted experimentation that combines the benefits of both in vivo and in vitro research. Almost limitless parameters can be used in in silico models to provide knowledge that is not ethically or practically possible to gather via conventional methods. In medicine and therapies, computational models or simulations enable predictions and lead to discoveries [80,81]. Wet-lab and in silico approaches are useful in the quick identification of new lead AMPs candidates, according to Oyama et al. [82] The rumen metagenomic dataset was used to perform prediction and similarity analysis of AMPs. Among 829 sequences, six AMPs were found and demonstrated to have potential action. Two of these six possibilities, designated as HG2 (MKKLLLILFCLALALAGCKKAP) and HG4 (VLGLALIVGGALLIKKKQAKS) for additional characterization, were found. With negligible toxicity to human primary cell lines, experimental evaluation and characterization of HG2 and HG4 indicated antibacterial efficacy against Gram-positive bacteria. The suppression of other cellular processes and contact with the cytoplasmic membrane of target cells are examples of possible mechanisms of action. These peptides may be used safely as alternative treatments with antibiofilm action for the treatment of bacterial infections because of their non-toxic effect and in vivo efficacy against MRSA USA300 infection in the Galleria mellonella infection model. With the purpose of discovering less expensive antibacterial therapeutic medications, a study by Masalha et al. [83] combined a set of 628 antibacterial pharmaceuticals with active domains and 2892 natural products with inactive domains. A highly discriminative model was built using the iterative stochastic elimination (ISE) technique to index natural materials for their antibacterial bioactivity. Ten natural compounds scored highly as potential antibacterial medication candidates, allowing virtual screening to identify 72% of the antibacterial medicines. Caffeine and ricinine (2 and 3, respectively, in Figure 9) were the two molecules among ten natural products that were found and tested for their antibacterial action. To speed up the process of finding new drugs, the precisely designed prediction model can be used for virtual screening of enormous chemical databases. In the AfroDb database, there are more than 16,000 African plant structures that have well-calculated ADMET attributes. Alhadrami et al. [84] investigated the possible antibacterial action of medicinal plants from North Africa, particularly against the D-alanine-D-alanine ligase (Ddl-B) or DNA gyrase B subunits (Gyr-B) or both of the E. coli enzymes. The crystal structures of E. coli Ddl-B and Gyr-B served as the basis for the beginning of structural-based virtual screening. The top-scoring hits were anthraquinones (4, Figure 9), and their efficacy against Ddl-B, Gyr-B, multidrug-resistant (MDR) E. coli, MRSA, and VRSA was examined in vitro. Some of the tested derivatives, including emodin and chrysophanol (5 and 6, respectively, in Figure 9), demonstrated strong micromolar enzyme inhibition as well as antibacterial activity against the bacteria in question with MIC values ranging from 2–64 μg/mL and low to moderate cellular cytotoxicity. These discoveries represent an important step in the creation of new antibacterial drugs to combat MDR strains. In silico molecular docking was employed in Ali’s study [85] to examine ten naturally occurring marine fungus derived chemicals against a mutant enzyme from Neisseria gonorrhoeae. The SWISS-ADME database investigated the chemicals to determine their non-toxicity. Elipyrone A (7, Figure 9) with six hydrogen bonds was the best compound when the compounds’ binding affinity, chemical interactions, and toxicity were examined. Speck-Planche et al. [86] constructed a multitasking model for quantitative-structure biological effect relationships to study anti-Pseudomonas activities and ADMET features of organic compounds (mtk-QSBER). To evaluate the created model, delafloxacin (8, Figure 9) was employed as a case study. The drug’s outstanding similarity to experimental testing was revealed by the results, confirming the model’s value for virtually screening anti-Pseudomonas medicines. Thymoquinone (TQ), a phytoconstituent of Nigella sativa essential oil with possible antibacterial activity, was investigated by Qureshi et al. [87]. TQ was molecularly docked in silico against a number of antibacterial target proteins. S. epidermidis ATCC 12228 and Candida albicans ATCC 10231 were the bacterial and fungal strains that were most vulnerable to TQ. N-myristoyltransferase from Candida albicans, NADPH-dependent D-xylose reductase from Candida tenuis, D-alanyl-D-alanine synthetase (Ddl) from Thermus thermophilus, and transcriptional regulator qacR from S. aureus are the four preferred target proteins for TQ as determined by in silico molecular docking. The most effective binding, according to molecular dynamics (MD) simulations, was between TQ and Ddl or NADPH-dependent D-xylose reductase. The study emphasizes TQ’s promising effectiveness against multidrug-resistant (MDR) infections, particularly Candida albicans and Gram-positive bacteria. A total of 45 strains of the zoonotic and foodborne pathogen Aliarcobacter butzleri (A. butzleri) were examined by Müller et al. [88] utilizing the gradient strip diffusion method and whole-genome sequencing for antibiotic susceptibility testing. Erythromycin, doxycycline, tetracycline, ciprofloxacin, and streptomycin resistance were found in German strains. Possible resistance mechanisms were identified using in silico resistance profile prediction which utilized a specially created database (ARCO IBIZ AMR). GyrA point mutation and ciprofloxacin resistance have a strong link, and ampicillin resistance and bla3 gene have a weaker correlation. Moreover, in silico virulence profiling revealed a whole lipid A cluster presents in all examined A. butzleri genomes as well as a broad spectrum of putative virulence markers.
5.2.2. Fragment-Based Drug Design (FBDD)
Fragment-based drug design (FBDD), whose library contains thousands of fragments, is a potent method for creating lead compounds. Novel and potent inhibitors of Mycobacterium tuberculosis (Mtb) enzyme 2-trans-enoyl-acyl carrier protein reductase (InhA) was designed using FBDD by Sabbah et al. [89] Using Differential Scanning Fluorimetry (DSF), nuclear magnetic resonance (NMR), and X-ray, 18 hits were found after screening a library of 800 pieces. NMR and X-ray techniques were used to confirm the found hits. Although the fragment hits had no discernible inhibitory activity, molecular docking and the fragment-growing technique allowed for the development of effective and new InhA nanomolar inhibitors. With submicromolar IC50 values, the insertion of a benzothiophenene resulted in the synthesis of powerful inhibitors of InhA, such as the N- [3-(aminomethyl)phenyl]-5-chloro-3-methylbenzothio-phene-2-sulfonamide (10, Figure 9). Notwithstanding the actual minimal inhibitory/bactericidal concentrations, it is important to investigate additional factors including resistance, stability, and ADME characteristics. According to the study, FBDD is a useful method for creating novel inhibitors [89,90]. Several Mtb enzymes are also being explored as potential targets for developing new drugs, such as Decaprenylphosphoryl-β-D-ribose 2′-epimerase (DprE1), which is involved in the metabolic pathway responsible for cell wall structure [91,92]; β-ketoacyl-AcpM synthase (KasA), which is crucial for fatty acid biosynthesis; a transcriptional repressor (EthR), Antigen 85 (Ag85), which is involved in the mycolic acid synthetic pathway; and 7,8- diaminopelargonic acid synthase (BioA), which play a vital role in the biosynthesis of the biotin pathway and arginine biosynthesis pathway [91]. DprE1 inhibitors have been identified as piperidinylpyrimidine derivatives (11, Figure 9) by Borthwick et al. [93] during initial screening utilizing SAR with MIC90 values of 30.6 μM and 15.6 μM. The newly found substance has shown positive in vivo results against acute Mtb. FBDD was utilized by several scientists to identify hit compounds for these targets. Thiolactomycin (TLM) (12, Figure 9) and pantetheine analog (PK940) (13, Figure 9) were created as KasA enzyme inhibitors by Kapilashrami et al. [94]. BDM31369, BDM31827, and 4-Iodo-N-prop-2-ynylbenzenesulfonamide (BDM43266); (14, 15, and 16, respectively in Figure 9), were identified by Villemagne et al. [95] as several hit compounds for EthR by library screening to treat MDR-TB. Tetrahydro-1-benzothiophene (THBTP) Analogues (17, Figure 9) against Ag85 were discovered by Scheich and Mendes et al. [96,97]. Through fragment screening, Dai et al. [98] discovered a powerful aryl hydrazine inhibitor of BioA 2-(aminomethyl)benzothiazole (18, Figure 9). The role of ArgB, ArgC, ArgD, and ArgF enzymes in the L-arginine production pathway in Mtb is highlighted by Gupta et al. [99], who also confirmed a hit compound against ArgB. The findings demonstrated that compounds NMR446 and L-canavanine (19 and 20, respectively, in Figure 9) significantly suppressed the growth of M. tuberculosis. The new compound N-(5-(azepan-1-ylsulfonyl)-2-methoxyphenyl)-2-(4-oxo-3,4-dihydrophthalazin-1-yl) acetamide (21, Figure 9), which was re-covered from a previous lead compound with a unique binding mode (non-conserved allosteric site), was identified by Whitehouse et al. [100] using high throughput screening (HTS) and fragment-based methods (e.g., DSF) against fumarate hydratase and Mtb H37Rv bacteria [101].
5.3. Antibiotic Alternatives
5.3.1. Antimicrobial Peptides (AMPs)
Antimicrobial peptides (AMPs) are organic substances found in all kingdoms of life, including bacteria, fungi, plants, and animals. In addition to negatively charged microbial membranes, AMPs may also target intracellular components such as ribosomes, specific proteins, and negatively charged nucleic acids [102,103,104,105]. Protonectin (22, Figure 10) and polybia-CP (ILGTILGLLKSL-NH2), two antimicrobial peptides, were isolated naturally from the venom of the social wasps Agelaia pallipes and Polybia paulista, respectively. Polybia-CP and protonectin were created by Wang et al. [106,107] and demonstrated to exhibit substantial antibacterial activity against both Gram-positive and Gram-negative bacteria, including multidrug-resistant strains, by concentrating on the bacterial membrane. Campoccia et al. [108] evaluated the cytotoxicity of AMPs Dadapin-1 (GLLRASSKWGRKYYVDLAG-CAKA) on human osteoblast cells and employed it against particular bacterial species isolated from orthopedic illnesses. According to the results, Dadapin-1 significantly inhibited both Gram-positive and Gram-negative bacteria. Novel β2,2- and β3,3-bis-homo-ornithine/arginine peptides were created by Boullet et al. [109]. The supertryptophan residue (2,5,7-tri-tertbutyltryptophane) and cationic peptides were coupled to create AMPs with MIC values ranging from 2 to 16 µg/mL against both Gram-positive and Gram-negative bacteria. The best candidate that demonstrated a significant increase in the survival rate in vivo in septic mice was the Tbt-β2,2 h bis-Arg-OMe compound (23, Figure 10) [110]. Shrimp antilipopolysaccharide factors (ALFs) were employed by Matos et al. [111] to create a cysteine-free α-helix secondary structure peptide that closely follows the amino acid sequence of the central β-hairpin of Litopenaeus vannamei ALFs (Litvan ALF-E33-52 (YVNRSPYLKKFEVHYRADVK), Litvan ALF-F31-50 (TYFVTPKVKSFELYFKGRMT), Litvan ALF-G35-54 (SYSTRPYFLRWRLKFKSKVW)). The synthetic peptides’ in vitro results showed a wide range of activity against both Gram-positive and Gram-negative bacteria and fungus, as well as their capacity to operate synergistically, which highlights the possibility for discovering new drugs. Because of the toxicity concerns and pharmacokinetics restrictions associated with AMPs, Zharkova et al. [112] studied the synergistic effect of a number of AMPs (protegrin 1 (PG-1) (RGGRLCYCRRRFCVCVGR), bactenecin ChBac3.4 (RFRLPFRRPPIRIHPPPFYPPFRRFL-NH2), and RFR-ChBac3.4 (RFRRFRLPFRRPPIRIH-NH2)) with antiseptic agents (sodium hypochlorite, etidronic acid, dioxydin, poviargolum, prontosan) and some surfactants (amphoteric cocamidopropyl betaine and anionic sodium lauroyl sarcosinate) against resistant bacteria and biofilms and whether the toxic side effects can be reduced toward the host. The combination of AMP, antiseptic, and surfactant showed promise, with improved effectiveness against the formation of biofilm and lower toxicity for topical formulations. For the careful and effective development and preservation of AMPs-based products, further research needs to be conducted. AMPs from predatory myxobacteria were studied in silico by Arakal et al. [113]. Myxo_mac104 (VNRVTRVIATRRNEAERIGVPLYF), Stig_213 (VVKTVVSRAYTRAGLAQRLGWHDLRHSTRT), Coral_AMP411 (MMGAPTRRFKHHAWHETTVARRATARYVGGLSSRFVTR), and So_ce_56_913 (VEKSEKAISGARRG-SPIVNRHVVHLEHVRLKGPYRLSDRLSSAPRTSTRV) were used to create the four AMPs. The in vitro results of So_ce_56_913 and Coral_AMP411 revealed significant MIC values and revealed that, in addition to their anti-inflammatory and antifungal activities, most putative AMPs are active against more than two bacterial pathogens, with negligible activity against viruses. Myxobacteria-derived AMPs could be a viable source of new antibacterial compounds. Sp-LECin (GCVFLLPAKPHNYKKVFLSKGV), a C-type lectin homolog containing 22-amino acids from Scylla paramamosain, was created by Chen et al. [114]. In addition to disrupting microbial membrane integrity and causing a leakage of cellular contents, Sp-LECin was discovered to have antibacterial and anti-biofilm activity against Pseudomonas aeruginosa. This is because Sp-LECin binds with lipopolysaccharide to increase membrane permeability, which causes the production of reactive oxygen species (ROS), which kills P. aeruginosa.
Figure 10.
Chemical structure of protonectin (22), Tbt-β2,2 h bis-Arg-OMe compound (23) camphor (24), 1,8-cineole (25) alpha-pinene (26), trans-chrysanthenyl acetate (27), thymol (28), aromadendrene (29), and β-caryophyllene (30), carvacrol (31), limonene (32), cinnamaldehyde (33), Hamamelitannin (34), (N-(((2R,3R,4S)-4-(benzamidomethyl)-3,4-dihydroxytetrahydrofuran-2-yl)methyl)-2-chlorobenzamide) (35), (ethyl 4-((3,5-diamino-1H-pyrazol-4-yl)diazenyl)benzoate (36), ethyl 4-((5-amino-3-((4-(dimethylamino)benzylidene)amino)-1H-pyrazol-4-yl)diazenyl)benzoate (37), ethyl-4-((2-amino-5,7-dimethylpyrazolo [1,5-a]pyrimidin-3-yl)diazenyl)benzoate (38), ethyl-4-((2,7-diamino-6-cyano-5-(4-(dimethylamino)phenyl)pyrazolo [1,5-a]pyrimidin-3-yl)diazenyl)benzoate (39), and ethyl-4-((2-amino-6-cyano-5-(4-(dimethylamino)phenyl)-7-hydroxypyrazolo [1,5-a]pyrimidin-3-yl)diazenyl)benzoate) (40), ML364 (41), silybins AB (42, 43), silychristin A (44), and halogenated flavonolignans derivatives (45).
5.3.2. Essential Oils
Although there is a lack of clinical proof, plant essential oils (EOs) are harmless, fragrant, oil-like volatile components that are utilized as a natural therapy for the treatment of different chronic conditions. Although EOs also exhibit strong antibacterial activity, their precise mode of action is unclear, which has restricted their use [115]. Using gas chromatography-mass spectrometry (GC-MS), Tofah et al. [116] investigated the biochemical and antimicrobial activity of lavender, Lavandula multifida L. They also identified the essential oils extracted from L. multifida and discovered that the main component is camphor (24, Figure 10) in addition to other extracts like 1,8-cineole and alpha-pinene (25 and 26, respectively, Figure 10). E. coli and S. aureus were resistant to the antibacterial effects of L. multifida essential oil. Su et al. [117] investigated the chemical make-up, antibacterial, and antioxidant properties of the essential oil from Centipeda minima (EOCM) (trans-chrysanthenyl acetate, thymol, aromadendrene, and β-caryophyllene), (27, 28, 29 and 30, respectively, Figure 10) as well as the two monomers thymol and carvacrol (31, Figure 10). The three chemicals (EOCM, thymol, and carvacrol) were found to have strong antibacterial activity because of their effects on bacterial cell membranes, which result in material loss, as well as their suppression of protein and biofilm development, all of which hinder bacterial normal growth. Psidium guajava (guava) leaf essential oil (PGLEO) (limonene (32) and β-caryophyllene (30)) (Figure 10) was studied by Alam et al. [118] for its potential to treat oral infections and oral cancer. PGLEO was found to exhibit potential antibacterial action against Streptococcus mutans (S. mutants) and Candida albicans (C. albicans) in vitro and in silico studies. These findings make PGLEO a valuable source for the development of novel therapeutic agents to treat oral infections. Cinnamon essential oil (CEO), which is a secondary metabolite derived from dried cinnamon, was examined for its antibacterial properties by Zhang et al. [119] To determine their mode of action, CEO with cinnamaldehyde as the main component (33, Figure 10) was evaluated on Salmonella Enteritidis (S. enteritidis). According to the results, CEO decreased bacterial metabolism by inhibiting ATP, ATPase, and the tricarboxylic acid cycle (TCA), which had an impact on S. enteritidis’s ability to breathe.
5.3.3. Anti-Quorum Sensing (QS)
One of the primary mechanisms used by bacteria to resist antibiotics is the creation of biofilms. Biofilm development is regulated by bacterial chemical communication (quorum sensing) using auto-inducers (AIs) from the N-acyl homoserine lactones (AHLs) group [120,121]. A potential treatment strategy to reduce bacterial virulence factors and combat antibiotic resistance is to target QS. A naturally occurring substance derived from Hamamelis virginiana called hamamelitannin (2′,5-di-O-galloyl-d-hamamelose, HAM) (34, Figure 10) interferes with S. aureus’s QS by altering the biofilm’s susceptibility to vancomycin via the trapP receptor [122,123]. The 5-ortho-chlorobenzamide derivative (N-(((2R,3R,4S)-4-(benzamidomethyl)-3,4-dihydroxytetrahydrofuran-2-yl)methyl)-2-chlorobenzamide) (35, Figure 10) demonstrated greater effectiveness in enhancing the impact of antibiotic in vivo compared to HAM [124]. A number of pyrazole and pyrazolo [1,5-a]pyrimidine derivatives were created by Ragab et al. [125] and tested for antibacterial efficacy against Gram-positive and Gram-negative bacteria that were multidrug resistant. Five substances (ethyl 4-((3,5-diamino-1H-pyrazol-4-yl)diazenyl)benzoate (36), ethyl 4-((5-amino-3-((4-(dimethylamino)benzylidene)amino)-1H-pyrazol-4-yl)diazenyl)benzoate (37), ethyl-4-((2-amino-5,7-dimethylpyrazolo [1,5-a]pyrimidin-3-yl)diazenyl)benzoate (38), ethyl-4-((2,7-diamino-6-cyano-5-(4-(dimethylamino)phenyl)pyrazolo [1,5-a]pyrimidin-3-yl)diazenyl)benzoate (39), and ethyl-4-((2-amino-6-cyano-5-(4-(dimethylamino)phenyl)-7-hydroxypyrazolo [1,5-a]pyrimidin-3-yl)diazenyl)benzoate) (40) (Figure 10) were discovered to exhibit significant antibacterial activity through biofilm inhibition especially against S. aureus and P. aeruginosa, making these compounds promising anti-QS candidates and lead molecules in drug discovery. A brand-new small molecule called ML364 (41, Figure 10) was found by Zhang et al. [126] which acts on the synthesis of staphyloxanthin and pyocyanin in P. aeruginosa and S. aureus, respectively. Results obtained in vitro and in vivo demonstrated that ML364 interfered with pathogens’ QS systems by preventing the detection of AI-2 or its nonborated form (S)-4,5-dihydroxypentane-2,3-dione (DPD) signaling, which highlights the development of novel antibacterials for the treatment of resistant bacteria. Moreover, Hurtová et al. [127] synthesized a number of halogenated compounds that target the bacterial QS protein AI-2 and examined their biological effects on S. aureus and P. aeruginosa. In particular, the brominated derivatives of flavonoids highlight the promising action of these compounds as antibacterial agents, but further toxicological and pharmacological tests should be conducted. Flavonolignans (silybins AB (42, 43), silychristin A (44)) (Figure 10) was used to prepare the halogenated derivatives (45, Figure 10), which showed to exhibit an inhibitory action on the adhesion of bacteria to the service in addition to preventing biofilm formation.
5.3.4. Vitamin B6
Vitamin B6 plays a crucial function as a possible antibacterial agent against Acinetobacter baumannii, according to Nimma et al. [128]. Enzymes of the vitamin B6 biosynthesis pathway are only present in bacterial pathogens and are not present in human hosts, making them potential therapeutic targets. The first step in the biosynthesis process for vitamin B6 is the conversion of D-erythrose-4-phosphate (E4P) to 4-phosphoerythronate, which is carried out by the enzyme erythrose-4-phosphate dehydrogenase (E4PDH). The enzyme additionally facilitates the transformation of glyceraldehyde-3-phosphate (G3P) into 1,3 bisphosphoglycerate (1,3BPG) [128,129]. The research demonstrated that E4PDH operate as cell surface receptors for the human iron transport proteins lactoferrin (Lf) and transferrin (Tf). Given its two essential functions in metabolism and iron acquisition, the E4PDH enzyme from A. baumannii may be critical in bacterial pathophysiology [128]. In addition to vitamin B6 derivatives, metals such as gold [130], nickel, copper [131] and gallium [132] are employed. Metal complexes were investigated for their potential antibiotic efficacy against various bacterial strains, and the results against resistant bacteria were encouraging. This provided a basis for further research into new antibiotic classes.
5.3.5. Bacteriophages (Phages)
Bacteriophage viruses can be utilized specifically to fight bacteria as a result of the rise in multidrug resistance microorganisms. Several infection cycles exist for phages. In order to integrate their genome into the bacterial chromosome, temperate phages work to lysogenize their bacterial hosts [133]. Contrarily, obligately lytic phages inject their genome into the host cell, then command the host cell to divide, assemble into new virus particles, and burst from the host cell, resulting in its lysis [134]. Six lytic phages were utilized by Alexyuk et al. [135] against E. coli isolated from sewage. All E. coli strains’ growth was fully suppressed within 6 h by the phage cocktail. Using Sytox green, a membrane-impermeant nucleic acid dye that colors the DNA of lysed bacteria and produces a fluorescence signal as phage infection develops, Egido et al. [136] devised a technique to monitor phages infection in real time. P. aeruginosa and K. pneumoniae, two ESKAPE infections for which an increase in fluorescence indicates phage-mediated death, were subjected to the technique. The study demonstrated the value of this strategy in choosing phages for use against Gram-negative bacteria and for therapeutic purposes.
5.3.6. Odilorhabdins (ODLs)
Xenrhabdus is capable of producing a diverse array of secondary metabolites through the use of non-ribosomal peptide synthetases (NRPSs) and polyketide synthases (PKSs) genes in both Gram-positive and Gram-negative Actinomycetes genera, as stated in [137]. By binding to a specific location on the ribosome (30S subunit), ODLs, which are cationic peptides made by NRPSs gene cluster enzymes of Xenorhabdus nematophila, disrupt the ability of bacteria to interpret and translate genetic code. As a result, it causes miscoding when producing new proteins, which causes bacterial cell death [138,139]. To tackle Gram-negative, Gram-positive, and multidrug-resistant bacteria, NOSO-502 (46, Figure 11) is a new class of bacterial ribosomal inhibitors ODLs that is safe and highly selective [140]. The effectiveness of NOSO-502 against Enterobacter cloacae complex (ECC), one of the main causes of nosocomial infections globally, was assessed by Pantel et al. [141] Except for two specific clusters (XI and XII) that are infrequently detected in clinical cases, in vitro results of NOSO-502 against ECC strains validated its robust antibacterial action.
Figure 11.
Chemical structure of NOSO-502 (46), 18β-glycyrrhetinic acid (GRA) (47), Darobactin A (48), MRL-494 (49), trans-Δ-9-tetrahydrocannabinol (THC) (50), cannabidiol (CBD) (51), cannabinol (52), cannabigerol (CBG) (53), and cannabichromene (54).
5.3.7. 18β-glycyrrhetinic Acid
The Glycyrrhiza glabra Linn. Plant, which includes many phytocompounds, as glycyrrhizin, 18β-glycyrrhetinic acid, isoflavones, and glabrin A and B, is increasingly receiving attention as an alternative to the usage of antibiotics [142]. The inert triterpenoid saponin glycyrrhizin (GA) is hydrolyzed in the body to produce the active metabolite 18β-glycyrrhetinic acid (GRA) (47, Figure 11), which has anti-inflammatory, antiviral, and antioxidant properties. The effectiveness of GRA against Neisseria gonorrhoeae was examined in vitro by Zhao et al. [143]. The results demonstrated that GRA has a strong antibacterial action with a dose-dependent reduction in viable N. gonorrhoeae and MICs ranging from 3.9 to 62.5 μg/mL. The way that GRA works is by preventing the development of new biofilms and reducing existing ones, which suggests that it could be an effective treatment for gonorrhea.
5.3.8. Darobactins
Darobactins (DAR), a recently created small heptapeptide antibiotic, specifically kills Gram-negative bacteria by acting on the essential outer membrane protein (BamA) [144]. Darobactins are remarkable for their ability to attach exclusively to BamA without damaging the Bacteriodes in the human gut microflora. They are produced by the entomopathogenic bacterium Photorhabdus khanii [145]. The promising lead chemical DAR A (48, Figure 11) is produced by the biosynthetic gene cluster (BGC) that codes for the DarA precursor, the radical S-adenosylmethionine (SAM) (RaS) enzyme DarE, and the three transport-related proteins (Dar B, C, and D) [145,146,147]. Seyfert et al. [148] described biosynthetic engineering of new darobactins with increased antibacterial activity in a heterologous host. They showed that the newly developed darobactin has greater activity against carbapenem-resistant A. baumannii without hazardous side effects. It also binds to BamA more firmly. The effects of DAR, Polyphor peptide 7 (polymyxin B1 coupled to a cyclic peptide), [149] and a minor chemical (MRL-494) (49, Figure 11) [150] were all examined in vivo in E. coli by Peterson et al. [151]. DAR completely prevents signal binding to BamA as a result, but it has no effect on assembly during the post-binding stage. Moreover, Polyphor peptide 7 and MRL-494 may be able to block at least two steps of BamA function or inhibit OMP assembly directly, which opens the door to pairing the medications as antibacterial agents to increase the potency of the inhibition at different stages of OMP assembly.
5.3.9. Cannabinoids
Cannabis sativa L. (C. sativa) has a high concentration of phytochemicals, which are what give it its therapeutic properties. The phytocannabinoids trans-Δ-9-tetrahydrocannabinol (THC) (50), cannabidiol (CBD) (51), cannabinol (52), cannabigerol (CBG) (53), and cannabichromene (54) are the most often characterized phytocannabinoids (Figure 11) [152]. Although the exact method by which cannabinoids damage bacterial membranes is still unknown, certain investigations have shown that this is how CBD works [153,154]. The antibacterial effects of CBD and CBG were studied by Luz-Veiga et al. [155]. In addition to inhibiting Staphylococci adherence to keratinocytes, the compounds also showed efficacy against P. aeruginosa and E. coli, with lethal MIC values ranging from 400 to 3180 µM. In light of this, the study recommends using phytocannabinoids as topical anti-microbial medicines for dermatological usage. The antibacterial and antioxidant properties of CBD and its homologue, 8,9-dihydrocannabidiol (H2CBD), were also examined by Wu et al. [156]. The outcome showed that the CBD analogue’s phenolic hydroxyl moiety is a crucial group to perform antioxidant and antibacterial activities. Consequently, because of their identical performance and time-kill kinetics curves, H2CBD can be utilized as a substitute for CBD. The interaction of CBD with broad-spectrum antibiotics such as ampicillin, kanamycin, and polymyxin B was studied by Gildea et al. [157]. By disrupting membrane integrity at extremely low dosages, CBD-antibiotic co-therapy showed an effective activity against Salmonella typhimurium (S. typhimurium), offering an intriguing alternative to treat S. typhimurium.
5.4. Drug Repurposing
Drug repurposing or repositioning is an approach term describing the use of approved drugs besides their original indications. This approach can bring failed drug back to life and highlight new targets and indications for existing drugs. The advantages of drug repurposing are increasing efficiency, minimizing investment and safety risks, reducing time to FDA approval, and reducing costs for pharmaceutical companies [158,159,160,161,162]. Here, we mention some of repurposed drug for antibacterial use (Figure 12).
Figure 12.
Chemical structure of ticagrelor (55), M5 AR-C133913 (56), M7 (57), M8 AR-C124910 (58), Mitomycin C (MMC) (59), auranofin (60), pentamidine (62), and zidovudine (AZT) (63).
5.4.1. Ticagrelor
Ticagrelor (55, Figure 12) is a blood-thinning medication used to treat atherosclerotic cardiovascular disease. It works by blocking the platelet adenosine diphosphate P2Y12 receptor to prevent platelet aggregation [163,164]. According to a study by Sexton et al. [165], ticagrelor improves lung function in patients with pneumonia. This finding motivated P. Lancellotti et al. [166] to test ticagrelor and some of its metabolites (M5 AR-C133913, M7, and M8 AR-C124910) (56, 57, and 58, respectively, Figure 12) for their antibacterial activity in mouse models in vitro and in vivo [167]. The results demonstrated that against particular antibiotic-resistant Gram-positive bacteria with MBC range of 20–40 μg/mL, ticagrelor and one metabolite (AR-C124910) (58, Figure 12) have superior bactericidal activity to that of vancomycin. Moreover, Pant et al. [168] investigated Ticagrelor’s antibacterial and anti-biofilm activity in vivo to treat mice models with prosthetic joint infection (PJI) brought on by S. aureus as well as in vitro against S. aureus biofilm genes (icaA, icaD, ebps, fib, eno, and agr). The results revealed that ticagrelor had antibacterial and antibiofilm activity against S. aureus in vitro, either alone or in combination with certain antibiotics, and that it produced downregulation of biofilm-related genes, icaD, ebps, fib, and eno. Similar outcomes against S. aureus PJI were observed in vivo, where ticagrelor alone or in combination with cefazolin dramatically reduced bacterial concentrations on the implants by reducing bacterial dispersion to periprosthetic tissue. Hence, ticagrelor may function as an effective adjuvant therapy for S. aureus PJI, but additional research is required to fully understand how it works. Ticagrelor was also utilized to stop the growth of C. difficile by Phanchana et al. [169] using whole-cell growth inhibition assays. Data show that ticagrelor, which has a MIC range of 20–40 μg/mL against C. difficile, inhibits the growth of biofilms and the germination of spores.
5.4.2. Mitomycin C (MMC)
Mitomycin C (MMC) (59, Figure 12) is a potent DNA crosslinker used for the treatment of bladder, gastric, and pancreatic cancers [170]. The drug was found to have antibacterial properties against bacterial pathogens including E. coli, S. aureus, and P. aeruginosa [171]. Cruz-Muñiz et al. [172] evaluated the effect of MMC on the growth of A. baumannii ATTC BAA-747. Results showed the ability of MMC to kill stationary-phase, biofilms and persister cells, in addition to the protection of Galleria mellonella larvae against lethal A. baumannii infection. Pacios et al. [173] combined MMC and the conventional antibiotic imipenem with the lytic phage vB_KpnM-VAC13 and tested their activity against imipenem-resistant and persister strains of K. pneumoniae. Phage-MMC showed synergistic effects on resistant and persister isolates, both in vitro and in vivo, whereas the phage-imipenem combination only killed the persisters, but not the imipenem-resistant isolate, which concludes that the lytic phage-MMC combination is effective against imipenem-resistant K. pneumoniae isolates harboring OXA-245 β-lactamase.
5.4.3. Auranofin
A gold compound called auranofin (60, Figure 12) is used to treat rheumatoid arthritis and has been shown to have anti-bacterial and anti-biofilm activity in addition to other anti-disease activities against cancer, viral, and parasite infections [174,175]. The potential effectiveness of auranofin as an antibiotic adjuvant against carbapenem-resistant A. baumannii with the blaOXA-23 gene was investigated by Kim et al. [176]. Auranofin and doripenem had a synergistic effect on A. baumannii, which produces carbapenemase, according to the study. Along with inhibiting motility, auranofin has been shown to have anti-biofilm activity. It also altered the expression of genes related to carbapenemase biofilm and efflux pump. Auranofin and phenethyl isothiocyanate (PEITC) (61, Figure 12) were used to treat skin infections and have a synergistic antibacterial effect on S. aureus, according to Chen et al. [177]. Auranofin and PEITC treatment may operate as a promising therapy for S. aureus infection since the antibacterial impact of the medication combination increased with rising reactive oxygen species (ROS) and caused prevention of biofilm formation and destruction of bacterial cell structure. According to research by Hutton et al. [178], auranofin is a significant contender to treat C. difficile infections since it can limit the proliferation of C. difficile cells, as well as the formation of spores and the toxins A and B in both a mouse model and in vitro.
5.4.4. Pentamidine
The bisbenzamidine pentamidine, 4,4′- [1,5-pentanediylbis(oxy)]dibenzenecarboximidamide (62, Figure 12) exhibits a high affinity for the DNA minor groove [179]. The antiprotozoal medication can disrupt the lipopolysaccharide-associated outer membrane of Gram-negative bacteria without interfering with their internal structure. The ability of diamidine to function as a strong adjuvant to increase the sensitivity of polymyxin-resistant bacteria to Gram-positive antibiotics in vitro is highlighted by Stokes et al. [180] Pentamidine and novobiocin together have shown a promising dose-sparing effect in vivo when treating mice with systemic A. baumannii infections [181]. Auranofin and pentamidine work together to combat germs that are multi-drug resistant (MDR), according to research by Yu et al. [182] (E. coli, A. baumannii and K. pneumoniae). The combination of non-antibiotic medications demonstrated a potent synergistic antibacterial action with increased bacterial absorption of auranofin and decreased resistance development in isolated MDR bacteria (K. pneumoniae).
5.4.5. Zidovudine (AZT)
Zidovudine (AZT) (63, Figure 12) is a nucleoside analog used for the treatment of human immunodeficiency virus (HIV) infection. In infected cells the drug undergoes phosphorylation by cellular kinases and arrest viral DNA production by acting as an HIV reverse transcriptase inhibitor [183,184,185,186]. Zidovudine showed to have bactericidal activity against Enterobacteriaceae (E. coli and K. pneumoniae), with reported MICs of 0.01 to 3.7 μM and 0.1 to 11.6 μM, respectively. The mechanism of Zidovudine’s antibacterial activity may refer to its ability to act as DNA chain terminator after being phosphorylated by bacterial kinases [187,188]. A study by Ng et al. [189] suggested that Zidovudine can be repurposed as an oral antibacterial agent, in addition, to reduce the chances of resistance development it can be administered in combination with Tigecycline to treat carbapenem-resistant Enterobacterales (CRE) infections.
6. Synthesis of Novel Antibacterial Agents
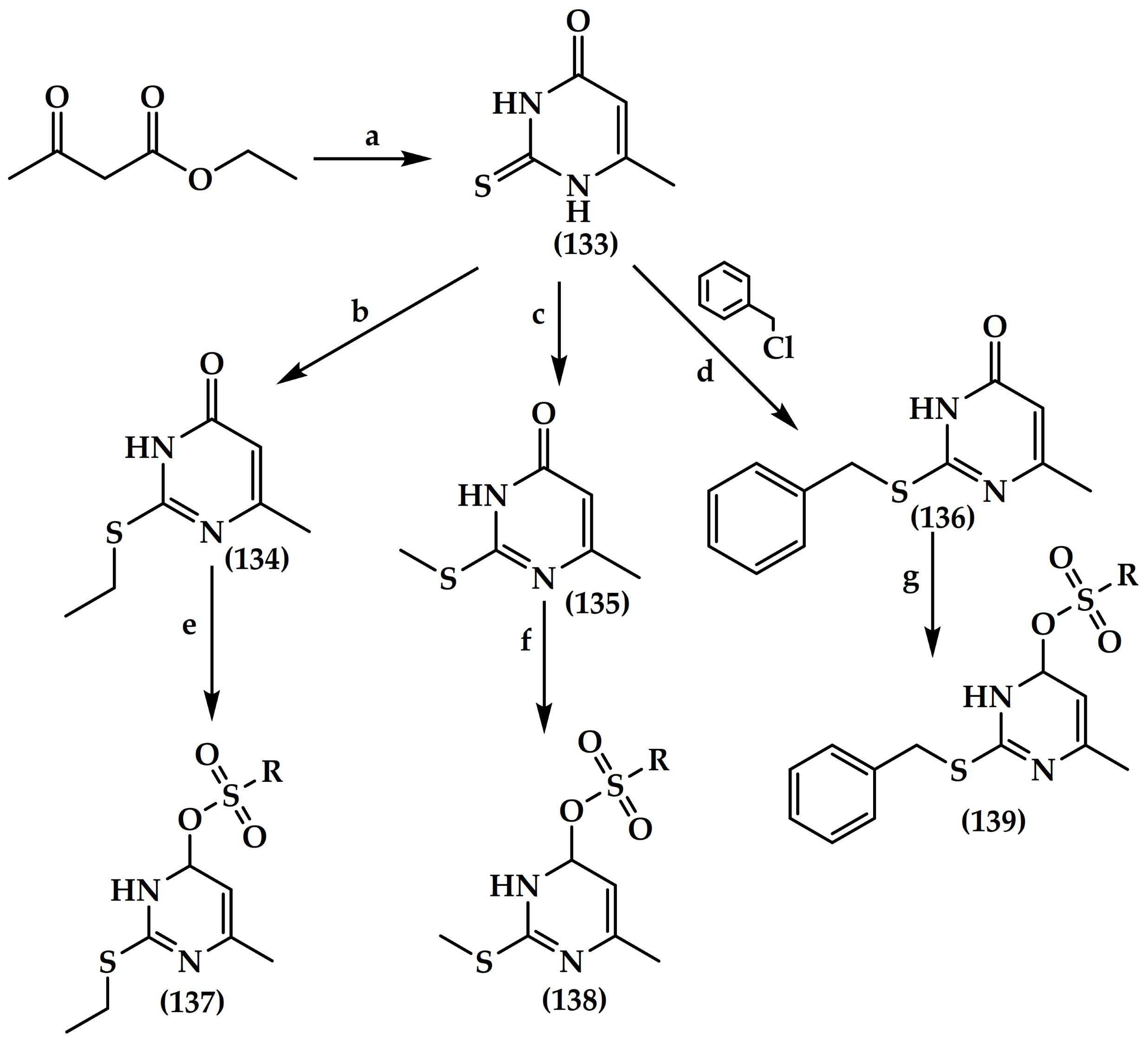
6.1. Lactones
Lactones are highly bioactive substances with a broad range of biological activity. As the most prevalent secondary metabolites in plants, such as γ- and δ -lactones, they have key roles in communication, signaling, chemical defense, and controlling plant growth [190]. Using β-cyclocitral as a starting material, Mazur et al. [191] synthesized bicyclic lactones having a cyclohexane ring (64, Scheme 1). Sodium borohydride (NaBH4) was used to react β-cyclocitral (64) to produce β-Cyclocitrol (65). The allylic alcohol (65) was modified by orthoacetate (Claisen rearrangement) to form the, γ, δ-unsaturated ester (66), and was then treated with an ethanolic solution of KOH to obtain the appropriate acid (67). Three halolactonization processes were performed on the acid (67), resulting in the production of δ-iodo-γ -lactone (68), δ-bromo-γ -lactone (69), and δ-chloro-γ -lactone (70). The compounds were compared to the dehalogenated tetramethyl substituted cyclohexane ring (71) and tested for their antibacterial and antifeedant activities against insect pests. The results demonstrated that, while dehalogenated lactones exhibited antibacterial action, halogen atoms were critical in demonstrating antifeedant activity. Purified enantiomerically hydroxyhalolactones (73, Scheme 1), a multipurpose substance that can be employed as chiral building blocks, were produced by the hydroxylation of halolactones (72, Scheme 1) obtained from β-cyclocitral [192]. Additional studies compared the antibacterial and antifeedant properties of halogenated and halogen-free γ-lactones (Scheme 1). Tributyltin hydride was used to react iodolactones (74) and (76) to produce γ-ethyl-γ-lactones (75) and (77), respectively. Moreover, 1,8-Diazabicyclo [5.4.0]undec-7-ene (DBU) was used to dehydrohalogenate iodolactone (74), resulting in a combination of unsaturated lactones (78) and (79). The results demonstrated that only the γ-ethyl-γ-lactone exhibits antibacterial activity on particular strains, whereas reductive dehalogenation and dehydrohalogenation of δ-iodo-γ-lactones considerably boosted the antifeedant activity. Further research is required to assess the antibacterial activity of lactones modified with aromatic rings [193].
Scheme 1.
Synthesis of series of lactones derivatives from β-cyclocitral (A) and halogenated lactones (B,C). Reagents and condition of (A): (a) NaBH4,H2O/CH3OH, rt., 3 h, 97%; (b) CH3C(OC2H5)3, CH3CH2COOH, 137 °C, 12 h, 71%; (c) KOH/C2H5OH, 3 h, 97%; (d) NBS/THF, CH3COOH, rt. 24 h, 87%; (e) NCS/THF, CH3COOH, rt., 24 h, 93%; (f) I2/KI, NAHCO3, rt., 2 days, 97%; and (g) n-Bu3SnH, reflux, 48 h, 79%. Reaction conditions of (C): (a) (C4H9)3SnH, benzene, reflux, 4 h, (75) 80%, (77) 73%; (b) DBU, benzene, reflux, 4 h, (78) 41%, (79) 25%.
The antibacterial properties of γ-oxa-ε-lactones produced from flavanone were investigated by Gadkowski et al. [194]. The compounds were created through the cyclization of 2′-hydroxychalcones (80, Scheme 2)) in the presence of sodium acetate to produce flavanones (81) from the reaction of 2′-hydroxyacetophenones (78) with benzaldehydes (79). Oxa-lactones (82) are produced when m-CPBA (meta-Chloroperoxybenzoic acid) is used to oxidize flavanones. The results demonstrated that the compound 4-phenyl-3,4-dihydro-2H-1,5-benzodioxepin-2-one and its methoxy group-containing derivatives (Scheme 2) had an inhibitory effect on the growth of particular filamentous fungi, yeast, and pathogenic bacteria such as Escherichia coli, Bacillus subtilis, and Staphylococcus aureus. As a result, when lactone function was added to flavonoids, their activity increased in comparison to their parent precursor molecules.
Scheme 2.
Synthesis of flavanone-derived γ-oxa-ε-lactones (82). Reagents and conditions: (a) KOH/MeOH, reflux, 24–48 h, then HCl (2–3 min), 69–94%; (b) CH3COONa/EtOH, reflux, 48 h, 61–79%; and (c) m-CPBA/CH2Cl2, rt., 48 h, 67–90%.
Nafithromycin (WCK 4873) is another example of a lactone-containing substance (83, Figure 13). An oral lactone ketolide antibiotic called nafithromycin is used to treat respiratory tract infections such community-acquired bacterial pneumonia. Because it prevents RNA-dependent protein biosynthesis, the substance shows strong antimacrolide efficacy against macrolide-resistant S. pneumoniae [195,196].
Figure 13.
Chemical structure of Nafithromycin (83).
6.2. Piperidinol
A piperidinol-containing molecule (PIPD1) (88, Scheme 3) has been discovered to be a powerful lead agent against M. tuberculosis using high-throughput whole-cell screening of a large compound library [197]. Non-tuberculous pathogen Mycobacterium abscessus is resistant to the majority of antibiotics and disinfectants. De Ruyck et al. study’s [198] concentrated on the creation and synthesis of piperidinol derivatives (PIPD1) that specifically target the flippase activity of the mycolic acid transporter MmpL3. By first treating 4-piperidinone monohydrate hydrochloride (84) with α-Bromo-O-xylene (85) to produce a bromine derivative (86), which was then treated with n-butyl lithium solution to produce PIPD1 analogues, the PIPD1 analogues were created (87). The results demonstrated that MmpL3 inhibition can result in the pathogen’s immediate death. Moreover, it can have synergistic effects by making it easier for other chemicals such as β-lactams to get through the mycobacterium’s wall. The two steps of N-benzylation and the bromine-lithium exchange reaction were used to make PIPD1 (Scheme 3). The two aromatic moieties A and B (Scheme 3) and the steric hindrance of the substituent on ring B are essential for the inhibitory activity against M. abscessus, according to structural-activity relationship (SAR) investigations of PIPD1 analogues.
Scheme 3.
Synthesis of piperidinol-containing molecule PIPD1 (88) and its analogues (87). Reagents and conditions: (a) K2CO3/DCM, rt., 12 h; (b) n-BuLi/Anh., THF, −78 °C then rt., 3 h, 19–95%.
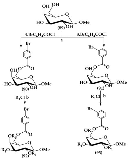
6.3. Sugar-Based Bactericides
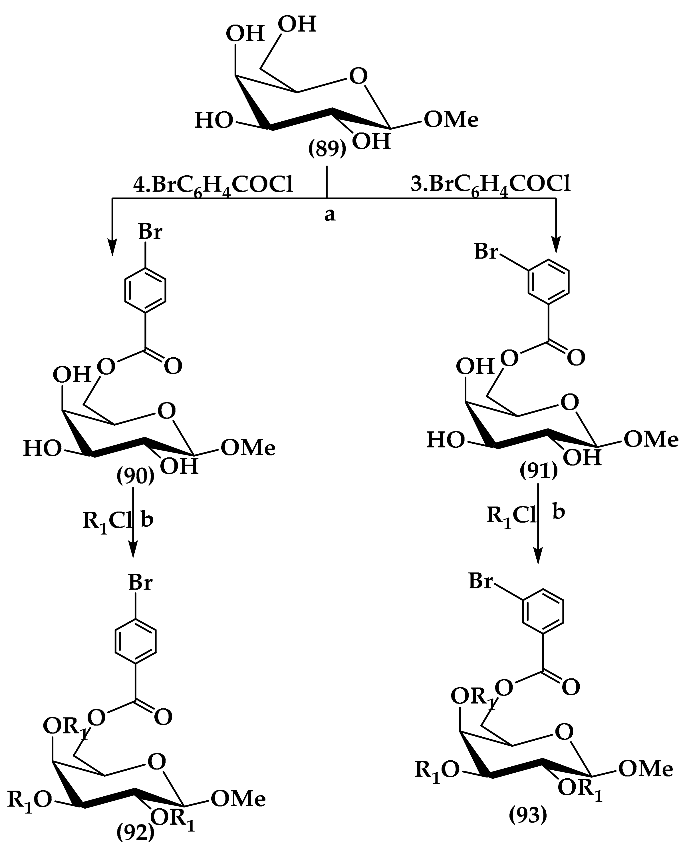
All organisms use chemicals with a carbohydrate foundation for energy, and some microbial organisms can be inhibited by these substances. Gram-negative and Gram-positive microorganisms have been shown to be resistant to the broad-spectrum antimicrobial action of monosaccharide analogs [199,200]. Methyl β-D-galactopyranoside (β-MGP) (89, Scheme 4) was reacted with 4-bromobenzoyl chloride to produce 6-O-(4/3-bromobenzoyl) (90, 91), as well as its 2,3,4-tri-O-acyl derivatives (92, 93), by Ahmmed et al. [201]. The antibacterial activity of the compounds was investigated in vitro and in silico. The results showed that the biological activities of the compounds were enhanced by the β-MGP structure with various aliphatic and aromatic substituents. This was supported by molecular docking, which revealed promising interactions and binding energies with bacterial and fungal proteins, making them potential antibacterial/antifungal candidates.
Scheme 4.
Synthesis of methyl β-d-galactopyranoside (β-MGP) derivatives. Reagents and conditions: (a) DMF, Et3N, −5 °C, 6 h; and (b) R1 -Cl = several acyl halides, −5 °C to r.t, 6 h, 70–80%.
To evaluate their effectiveness against Gram-positive and Gram-negative bacteria in vitro, Dias et al. [202] synthesized a number of carbohydrate-based compounds derived from iso-quinoline-5,8-dione and naphthoquinone (94, 95 Figure 14), as well as their halogenated derivatives (96, 97 Figure 14). With MIC and MBC ranges of 4–64 µg/mL against Gram-negative bacteria, the compounds showed promising bactericidal activity. Only non-glycoconjugate naphthoquinones showed activity against particular Gram-positive bacteria. In a different study, Dias et al. [203] investigated deoxy glycosides as effective and selective bactericides that target PE and examined their efficacy against the indicated bacteria. Their study focused on Bacillus anthracis and B. cereus membranes that are rich in phosphatidyl-ethanolamine (PE). The results demonstrated that the deoxygenation pattern is a critical modulator for efficacy and selectivity and that the bactericidal activity was due to membrane disruption and highly permeable activity across the phosphatidylethanolamine membranes of B. anthracis and B. cereus.
Figure 14.
Structures of amino sugar-based isoquinoline-5,8-diones (94) and naphthoquinones (95) and their halogenated compounds, (96) and (97).
6.4. Isoxazole Derivatives
The enteric bacterial infections, which are primarily brought on by S. aureus and E. coli, are one of the main causes of morbidity in poor nations. Amoxicillin, norfloxacin, and ciprofloxacin are the main antibiotics used to treat E. coli; however, they also have some adverse effects in addition to toxicity and drug resistance [204]. An important physicochemical factor that influences membrane permeability and medication absorption is lipophilicity. Isoxazoles and isoxazolines, which are heterocyclic compounds with nitrogen and oxygen, exhibit a variety of biological and pharmacological effects, including antitubulin, anti-inflammatory, antinociceptive, and anxiolytic activity. Sulfisoxazole and sulfamethoxazole, two β-lactam antibiotics, contain the five-membered heterocyclic ring known as isoxazole. Ahmad et al. [205] created isoxazole derivatives of fatty acids to prevent the growth of most pathogenic fungi, Gram-positive, and Gram-negative bacteria. Through 1,3-dipolar cycloaddition of nitrile oxide to lengthy chains of an alkene and an alkyne, the compounds were created (Scheme 5). Long-chain alkynoic acids (98) and long-chain alkenoates (100) were employed as the starting materials for the synthesis of 3,5-disubstituted isoxazole (99) and 3,4,5-trisubstituted-4,5-di-hydroisoxazole (101). Using PASS software, biological activity of these chemicals was predicted, supporting their historical use as antibacterial agents. Furthermore, physicochemical data demonstrated that the majority of the compounds had drug-like characteristics, with MIC decreasing with increasing lipophilicity, a finding that suggested the compounds had antibacterial capabilities. In addition to their antibacterial properties, the compounds were also tested against yeast, and the results revealed antifungal efficacy against the tested clinical species of Candida. Docking studies with the 30s ribosomal subunit revealed agreement with in vitro measurements of microbial activity as well as a near proximity to the ciprofloxacin binding site. All chemicals share a similar fundamental structure; however, variable levels of interaction and binding patterns were discovered. These results could aid in the development of new antifungal medications that target microbial protein production.
Scheme 5.
Synthetic scheme of; (a) 3,5-disubstituted isoxazole (99) and (b) 3,5-disubstituted and 3,4,5-trisubstituted-4,5- dihyroisoxazoles (101). Reagents and conditions: (a) Et3N, dry THF, reflux, 6–8 h, 80%; and (b) Et3N, dry C6H6, reflux, 8 h, 75–85%.
The polycyclic aromatic compound acridone, which has anticancer and antibacterial properties, was used by Aarjane et al. [206] to create isoxazole derivatives. By combining two possible pharmacophores, acridone and isoxazole; nitrile oxides and N-propargyl acridone underwent a 1,3-dipolar cycloaddition process (Scheme 6). Before being cyclized with polyphosphoric acid to create compounds (103), o-bromobenzoic acid was first reacted with p-toluidine or aniline to create 2-arylamino benzoic acids (102). Acridone derivatives were refluxed with propargyl bromide to produce 2-methyl-10-(prop-2-yn-1-yl)- acridone (104). Reacting with various nitrile oxides produced 3,5-disubstituted isoxazoles (105). Four harmful bacterial strains were used to test the compounds’ antibacterial efficacy (Pseudomonas putida, K. pneumoniae, E. coli, and S. aureus). These germs were resistant to the compounds’ moderate-to-good antibacterial activity. The isoxazole-acridone skeleton’s paranitrophenyl groups had the strongest antibacterial action against E. coli strains. To investigate the occupancy mode at the receptor pocket responsible for antibacterial activity, molecular docking of the drugs was carried out. The explanation for a compound’s antibacterial activity may be due to hydrogen bonds and hydrophobic interactions in the DNA topoisomerase E. coli receptor active site.
Scheme 6.
Synthesis of isoxazole-acridone derivatives (105). Reagents and conditions: (a) [Cu], K2CO3; (b) polyphosphoric acid (PPA), 120 °C; (c) propargyl bromide, K2CO3, tetra-n- butylammonium bromide (TBAB) as catalyst (PTC), DMF, rt. 6 h, 75%; and (d) Method 1: Et3N, chloroform, 50 °C, 6 h; Method 2: Et3N, chloroform, microwave irradiation (200 W), 40–70 °C, 20–25 min, 45–85%.
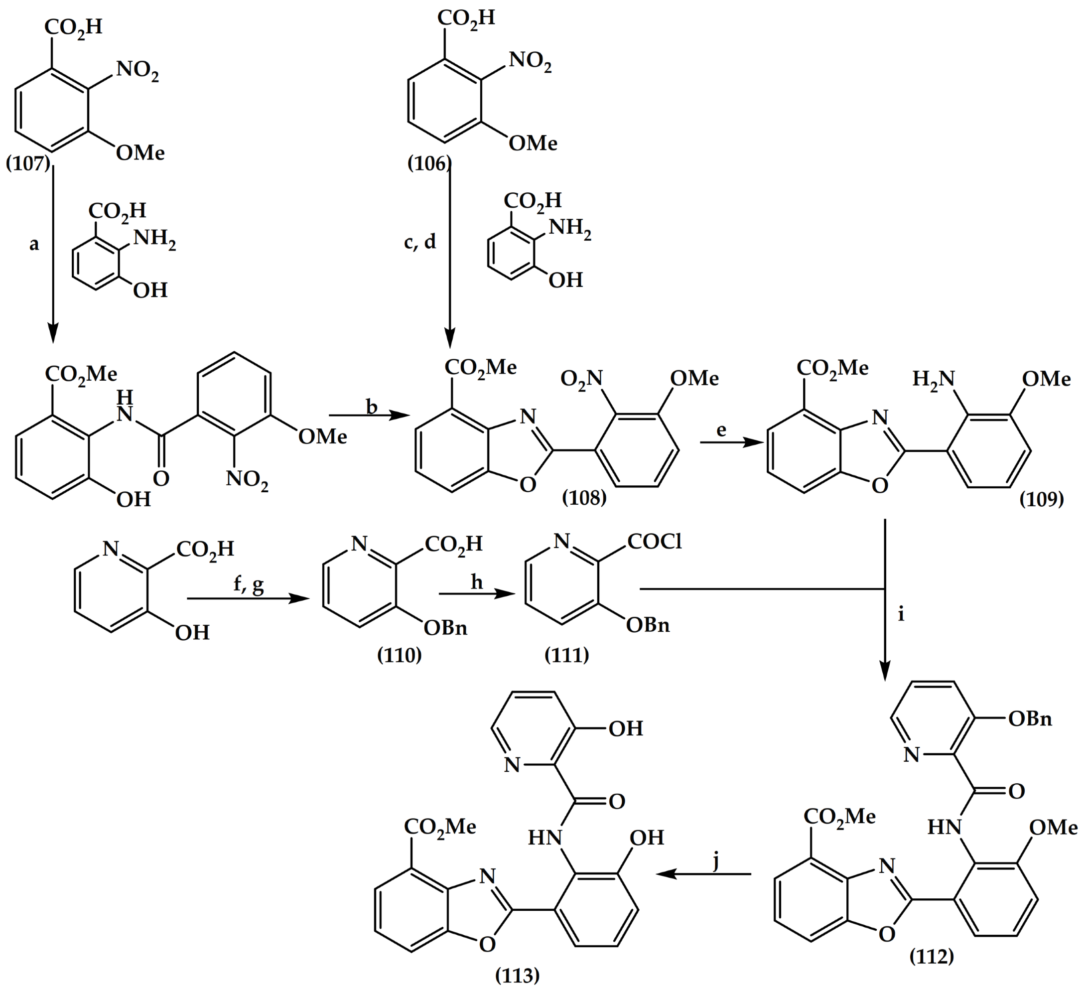
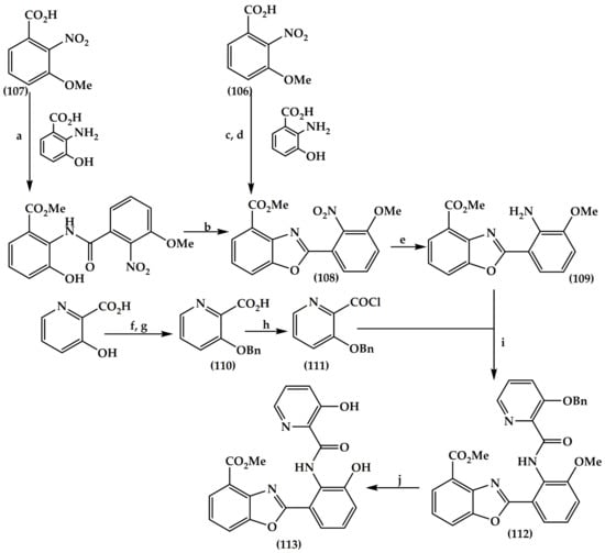
The parasitic infections known as leishmaniases are mostly spread by Leishmania donovani. For the creation of novel antileishmanial chemotherapeutics with enhanced efficacy and less toxicity, Tipparaju et al. [207] synthesized 2- [3-Hydroxy-2- [(3-hydroxypyridine-2-carbonyl)-amino]-phenyl]-benzoxazole-4-carboxylic acid (A–33853) antibiotic (113, Scheme 7) and a number of its derivatives and were tested for biological activity. Compound (113), a benzoxazole natural product with strong antibacterial action, was discovered a few decades ago in a culture broth of Streptomyces sp. NRRL 12068. Early testing revealed that the A-33853 (113) substance is three times as active as miltefosine, a medicine used to treat leishmaniasis, in inhibiting the growth of L. donoVani, T. b. rhodesiense, T. cruzi, and P. falciparum cultures. With substantially lower cytotoxicity, certain analogs selectively inhibited L. donoVani at nanomolar concentrations. The oxidative cyclization of the base (106) or through the cyclization-dehydration reaction of amide (107) were the two methods used to create the benzoxazole intermediate (108, Scheme 7). The amine (109) produced by the reduction in the nitro group in the intermediate (108) was linked with the 3-benzoyloxypicolinic acid (111) which was created from (110) to produce the intermediate (112). Antibiotic (113) was produced after BBr3 treatment in an excellent overall yield.
Scheme 7.
Synthesis of A–33853 antibiotic (113). Reagents and conditions: (a) CDI, THF, reflux, 18 h, 60%; (b) POCl3, xylene, 140 °C, 3 h, 58%; (c) MeOH, 40 °C, 12 h; (d) DDQ, CH2Cl2, r.t, 12 h, 37%; (e) Pd/C, H2, MeOH, r.t, 12 h, 80%; (f) BnBr, Ag2O, CH2Cl2/DMSO (1:1), r.t, 12 h, 70%; (g) LiOH, THF/ H2O/MeOH (3:1:1), r.t, 12 h, 94%; (h) (COCl)2, r.t, 3 h; (i) pyridine, DMAP (cat.), CH2Cl2, r.t, 12 h, 34%; and (j) excess BBr3, CH2Cl2, −78 °C to r.t, 16 h, 81%.
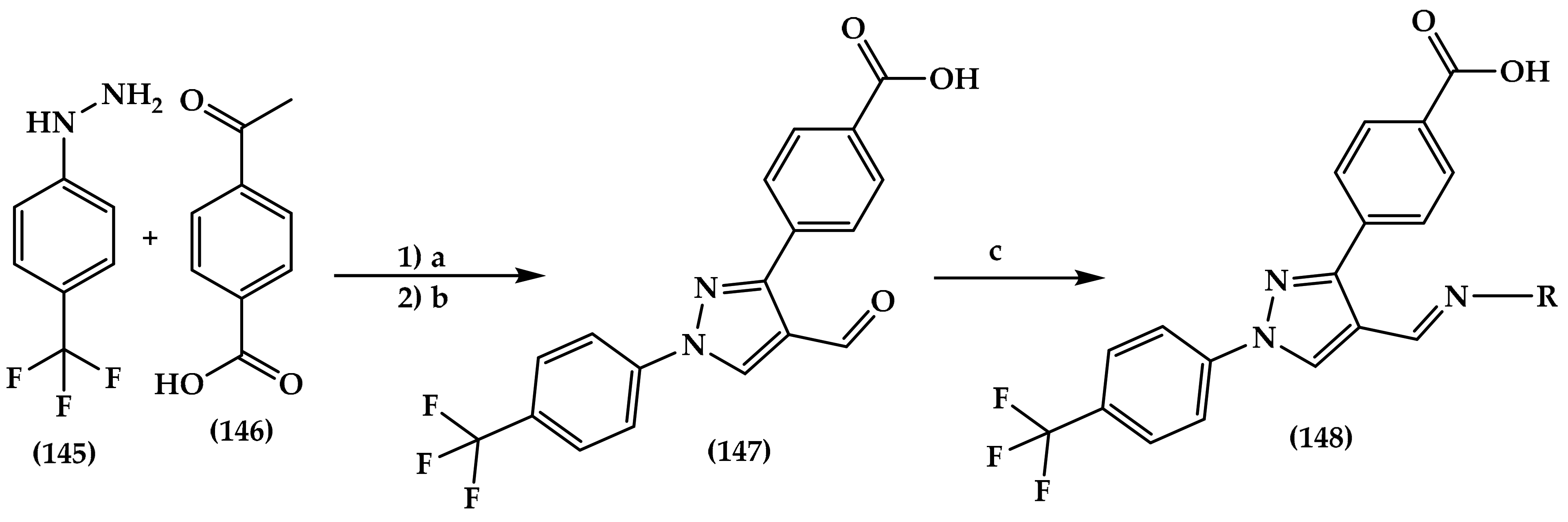
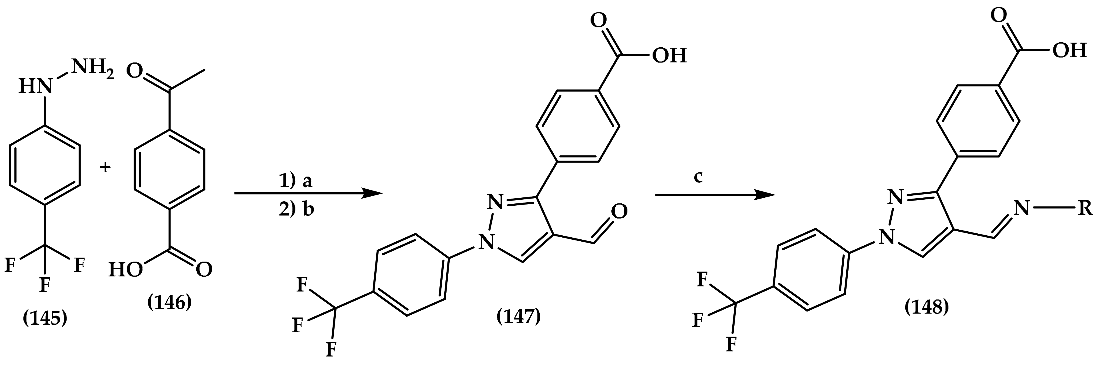
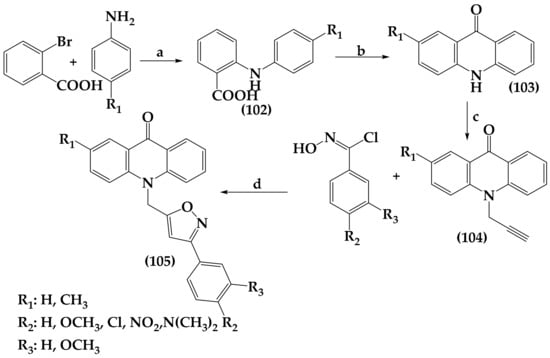
6.5. Carbazole
Other substances include carbazoles, which have generated a lot of attention for research into their potential as antibacterial agents. Carbazole is an aromatic heterocycle that contains nitrogen and occurs naturally and synthetically. Its ring is present in a number of drugs that have medical use, including carbazomycins and murrayafoline A [208,209,210]. Carbazoles may also be able to interact electrostatically or by intercalation to attach to DNA non-covalently [211]. 5-membered azoles can be introduced into the N-position of carbazole to suppress the growth of bacteria and fungi. Their effectiveness has been demonstrated to be superior to that of the reference medications Norfloxacin and Chloromycin. Making novel antibacterial agents has been a big topic for modification of the carbazole ring at the 3- and 6-positions [212]. The easiest way to create novel antimicrobial agents is to introduce 2-aminothiazole into the 3- and 6-positions of the carbazole backbone, as this other agent known as aminothiazole is found in many clinical antimicrobial medications, such as Cephalosporins, Aztreonam, Sulfathiazole, and others [210]. By reacting carbazole (114, Scheme 8) with various N-alkyl bromides to produce N-alkylcarbazole intermediates (115), Addla et al. [210] created novel carbazole aminothiazoles (Scheme 7). Halogenated carbazoles (116) were then produced by reacting chloroacetyl chloride with the intermediates, which were then fluxed with thiourea to create the aminothiazoles (117). The compounds’ antibacterial efficacy against Gram positive, Gram negative, and fungal organisms was assessed in vitro. Structure–activity relationships (SAR) revealed that the aminothiazole component was crucial for exerting biological activities, whereas the length of the alkyl chain affected the antibacterial efficacies. A carbazole aminothiazole molecule with a minimal inhibitory concentration (MIC) of 4 µg/mL, which outperformed the reference medications chloromycin and norfloxacin, showed negligible cytotoxicity to Hep-2 cells and good antibacterial activity against MRSA. Moreso, it was discovered that the substance interacts with DNA via hydrogen bonds and electrostatic interactions, which may prevent DNA replication and, as a result, have antimicrobial effects.
Scheme 8.
Synthetic route of N-alkylcarbazole aminothiazoles (117). Reagents and conditions: (a) alkyl bromide, NaH, dry DMF, rt., 6 h, 96–98%; (b) ClCH2COCL, AlCl, dry DCM, rt., 24 h, 30–36%; (c) thiourea, ethanol, reflux, 1 h, 94–96%.
An innovative series of carbazole compounds was created by Xue et al. [213] (Scheme 8). The chemicals were first made by N-alkylating or arylating carbazole (114), which produced intermediates (118). Compounds (118) and (119) were then put through a formylation reaction (Vilsmeier–Haack) to produce 9-substituted carbazole-3-carbaldehyde analogues (120) that were then reacted with four other substances—metformin hydrochloride (121), aminoguanidine hydro-chloride/or thiosemicarbazide (123), and isonicotinic moiety (125)—to create carbazole (122, 124, and 126, Scheme 9). The substances had strong inhibitory effects against a variety of bacterial strains, including an isolate that was multidrug resistant. Dihydrotriazine group boosted antibacterial potency and decreased the toxicity of the carbazole compounds, according to SAR and docking tests. Moreover, in vitro enzyme activity studies demonstrated that the antibacterial effect of compounds binding to dihydrofolate reductase may be the cause of the effect
Scheme 9.
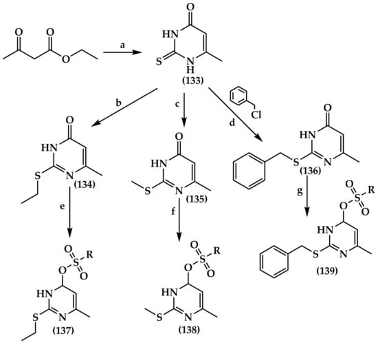
Synthesis of novel series of carbazole derivatives (122, 124 and 126). Reagents and conditions: (a) DMC, DABCO, 95 °C, 24 h, or KOH, 25 °C, 2 h, or NaH, DMF, 25 °C, 16 h; (b) POCl3, DMF, 90 °C, 8–18 h; (c) AcOH, 120 °C, 4–8 h, 35.1–61.6%; (d) CH2CH3OH, HCl, 40 °C, 6 h, or CH3OH, AcOH, 68 °C, 4 h, 38.7–64.6%; and (e) CH2CH3OH, AcOH, 70 °C, 5 h, 64.2–80%.
6.6. Pyrimidine Derivatives
Pyrimidine amine derivatives with two nitrogen atoms in the aromatic ring and a substituted amino outside have shown antibacterial and antiviral activities. Zhang et al. [214] synthesis and characterized pyrimidine amine derivatives containing bicyclic monoterpene moiety and evaluated their antimicrobial activity. Results showed that most of the compounds have antibacterial and antifungal activities against K. pneumoniae, Streptococcus pneumoniae, P. aeruginosa, S. aureus, E. coli, MRSA, Bacillus cereus, and C. albicans. Starting from aldehyde-ketone condensation reaction and in the presence of sodium methoxide or potassium tert-butoxide, a pinanyl ketene intermediates (127, Scheme 10) were synthesized. Cyclization of (127) with guanidine hydrochloride produced Pinanyl pyrimidines (128). Further substitution with haloalkanes generated Pinanyl pyrimidine amines (129). As for camphor, condensation with p-methoxybenzaldehyde generated the intermediate (130, Scheme 10), which was followed by cyclization with guanidine hydrochloride to afford the camphorylpyrimidine intermediate (131). Camphoryl pyrimidineamine compounds were finally obtained by substitution of (132) with alkyl.
Scheme 10.
Synthesis of pyrimidine amines derivatives with bicyclic monoterpene units: (a) pinanyl pyrimidine amines derivatives. Reagents and conditions: (a) NaOCH3, or t-BuOK, t-BuOH, reflux 6–24 h, 60.5–85.5%; (b) NaOH, t-BuOH or THF, reflux, 10–30 h, 35.5–82.5%; (c) DIPEA or NaH, THF, 65 °C, 3 h, 40–79.8%; and (b) camphoryl pyrimidine amine derivatives. Reagents and conditions: (2a) t-BuOK, t-BuOH, reflux, 6 h, 56.8%; (2b) NaOH, t-BuOH, reflux, 10 h, 30.8%; and (2c) DIPEA, THF, 65 °C, 3 h, 39.1–73%.
Irrational use of pesticides leads to the emergence of drug resistance. The need for the development of a new broad-spectrum pesticide to control plant pests and disease infestations led Li et al. [215] to combine pyrimidine with sulfonate ester for the development of interesting bioactive compounds. A novel series of pyrimidine derivatives containing sulfonate esters were designed. Result showed that the synthesized compounds exhibited good antibacterial activity with certain insecticidal activity against Xanthomonas axonopodis pv. Citri (Xac), Xanthomonas oryzae pv. Oryzae (Xoo), Ralstonia solanacearum (Rs), and Pseudomonas syringae pv. actinidiae (Psa), which provided insight for the designing of new broad-spectrum pesticides. Synthesis of the compounds started from cyclization reaction using ethyl glycolate which produced the intermediate (6-methyl-2-thioxo-2,3-dihydropyrimidin4(1H)-one) methanol (133, Scheme 11) that was converted into thioether derivatives (134, 135, and 136) by thioetherification with CH3I, C2H5I, and Benzyl chloride. The final compounds (137, 138, and 139) were obtained by esterification with RSOOCl.
Scheme 11.
Synthesis of a series of novel pyrimidine derivatives containing sulfonate esters. Reagents and conditions: (a) NH2SNH2, KOH, EtOH 70 °C, 0.5 h, 85–90%; (b) C2H5I, K2CO3, DMF, rt.; (c) MeI, K2CO3, DMF, rt.; (d) benzyl chloride, K2CO3, DMF, rt.; (e) RSO2Cl, Et3N, DCM, rt., 12 h, 40–82%; (f) RSO2Cl, Et3N, DCM, rt., 12 h, 65%, 69%; (g) RSO2Cl, Et3N, DCM, rt., 12 h, 70%, 75%.
6.7. Pyrazole Derivatives
Pyrazole is a nitrogen heterocyclic-containing molecule which plays an important role in the coordination chemistry with metal ions. Pyrazole-based ligands have proven to be effective for the construction of coordination complexes to be used in several fields, such as catalysis, antimicrobial activity, and in pharmaceutical and medical research [216,217,218]. Pyrazole-based coordination complexes with copper, cobalt, iron, cadmium, mercury, and nickel revealed remarkable electronic properties or catalytic selectivity and serve as efficient antimicrobial agents [219,220,221]. Therefore, new pyrazole derivatives were produced by Draoui et al. [222]. Pyrazole ligand N,N-bis(2(1′,5,5′-trimethyl-1H,1′H- [3,3′-bipyrazol]-1-yl)ethyl)propan-1-amine (L) (140, Scheme 12) and four new coordination complexes called [Cu2LCl4] (141), [ML(CH3OH)(H2O)] (M = Ni (142), Co (143), and [FeL(NCS)2] (144) (Scheme 12) were prepared, characterized, and their antibacterial properties were investigated against Gram-positive specimens (S. aureus and Streptococcus spp.), Gram-negative specimens (E. coli and Klebsiella spp.), and fungal spp. (Fusarium oxysporum f. sp. albedinis fungi). The ligand (L) (140, Scheme 12) was synthesized by reacting p-toluenesulfonyl chloride with 2-(1′,5,5′-trimethyl-1H,1′H-[3,3′-bipyrazol]-1-yl)ethan-1-ol in the presence of sodium hydroxide to produce a tosyl-based derivative. Alkylation of tosylated product in acetonitrile gave a propylamine and in the presence of a base the desired product L was obtained. Furthermore, binuclear Cu(ii) mononuclear Ni(ii) and Co(ii) complexes were prepared by reacting ligand (L) with CuCl2·2H2O (1:2 molar ratio4)2·6H2O or Co(ClO4)2·6H2O salts (1:1 molar ratio), respectively. For the fourth complex, FeCl2 was first added then potassium thiocyanate (KNCS) (1:2 molar ratio) to prevent oxidation of the metal center and the prepare2 reacted with the L ligand (1:1 molar ratio) to yield Fe(ii) complex. The compounds showed moderate-to-decent antibacterial activity, especially complexes (141) and (143), with significant enhancement against S. aureus and E. coli., in addition to a distinguished anti-Fusarium activities for complexes (141) and (144).
Scheme 12.
Synthesis of Pyrazole ligand N,N-bis(2(1′,5,5′-trimethyl-1H,1′H- [3,3′-bipyrazol]-1-yl)ethyl)propan-1-amine (L) (140) and bis-pyrazole coordination complexes (141–144). Reagents and conditions: (a) TsCl2/CH2Cl2, 0 °C 5 h, 60%; (b) Propylamine/K2CO3/CH3CN, reflux, 15 days, 30%; (c) CuCl2.2H2O, MeOH, diethyl ether, 25 °C, 6 days, 44%; (d) Ni(ClO4)2.6H2O, MeOH, diethyl ether, 25 °C, 8 days, 29%; (e) No(ClO4)2.6H2O, MeOH, diethyl ether, 25 °C, 9 days, 35%; and (f) FeCl2 then KnCS, EtOH, 25 °C, 6 days, 37%.
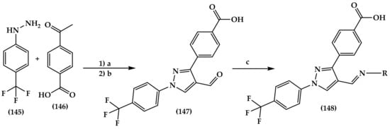
Recently, the trifluoromethyl group (-CF3) has attracted the attention for its ability to work as a bioisostere in which it increases the lipophilicity, metabolic stability, and can alter receptor binding [223]. Alkhaibari et al. [224] designed potent antimicrobial agents by using 4-trifluoromethylphenyl-substituted pyrazole derivatives and evaluated their potency against planktonic bacteria, S. aureus and Enterococcus faecalis. The starting material (147, Scheme 13) was synthesized by reacting 4-(trifluoromethyl)phenylhydrazine (145) and 4-acetylbenzoic acid (146). The hydrazine derivatives were prepared by reacting the aldehyde-containing pyrazole (147) with substituted hydrazines. The N,N-disubstituted compounds (148) showed potent activity in eradicating S. aureus and Enterococcus faecalis biofilms but failed to inhibit the growth of A. baumannii, whereas halogen-substituted hydrazones exhibited potent activity against A. baumannii. Antibacterial activity was found due to cell membrane-disrupting ability, but further studies are needed to analyze the mode of action and molecular targets of these compounds.
Scheme 13.
Synthesis of 4-trifluoromethylphenyl-substituted pyrazole derivatives (148). Reagents and conditions: (a) ethanol, reflux, 12 h; (b) POCL3, DMF, 80 °C, 6h, 97%; and (c) H2NR, EtOH, Reflux, 8 h, 1.84–20.93%.
7. Prodrugs
Prodrugs are chemically inert compounds that the body metabolizes into active medications. They are utilized to circumvent a drug’s unstable pharmacokinetic qualities, toxicity, site specificity, and formulation issues [225]. They also help with solubility, absorption, and distribution issues. The prodrug method is utilized to change various molecular and cellular components, as well as physicochemical characteristics. It was used, for instance, to increase the oral bioavailability of a number of lactam antibiotics, including ivampicillin, talampicol, bacampicillin, and hetacillin. The effectiveness of other prodrugs, such as pyrazinamide, which is used to treat Mycobacterium tuberculosis, was intended to be enhanced by existing antibiotics such as ethionamide, isoniazid, and ethionamide. Prodrugs can therefore be used as a weapon to combat antibiotic resistance by either enhancing the pharmacokinetics of antibiotics that have activity against resistant pathogens, or by acting as a targeted drug to reduce host toxicity and remove resistance barriers [226]. The most current prodrugs made to combat resistance are included in the table below.
7.1. Siderophores
Using the bacteria’s nutrition absorption pathway to carry medications into the cells is one method for enhancing the effectiveness of antibiotics. A very promising tactic is to inject antibiotics into the bacteria through the iron absorption pathway. By using siderophores, which are low-molecular weight organic chelators (150 to 2000 Da) that are rich in the heteroatoms oxygen and nitrogen, microorganisms have evolved a highly effective mechanism for the uptake of iron. Bacteria produce siderophores, which are then released into the environment to chelate iron with an extremely high affinity [227]. In order to treat Enterobacteriaceae that are multidrug resistant (MDR) and carbapenem resistant (CR), including K. pneumoniae, cefiderocol (CFDC) (149, Figure 15) binds to penicillin-binding proteins, inhibiting the formation of peptidoglycan and ultimately killing the bacteria [228,229]. Using the Gram-negative bacteria’s outer membrane-located iron transport mechanism or passive diffusion, CFDC binds to ferric iron (Fe3+) and passes into the periplasmic region, where it detaches iron and enables the presentation of CFDC in large concentrations [230,231]. In their study of the susceptibility of Klebsiella pneumoniae to CFDC under iron-depleted and iron-enriched environments, Daoud et al. [229] discovered that CFDC had a susceptibility of 96.1%, which was higher than that of any other antibiotic. The findings also demonstrated that CFDC MICs increased in iron-enriched media where iron uptake receptors (fecA and/or kfu) are expressed, resulting in a loss of drug activity. In contrast, the presence of enterobactin receptors (fepA) is essential for capturing the drug and allowing its entry into the periplasm. As a result, with different iron acquisition mechanisms, bacteria may not be as dependent on the development of siderophores, which would reduce the uptake of catechol-CFDC. A siderophore-antibiotic compound (150, Figure 15) was created by Zheng and Nolan [232] by joining antibiotics with enterobactin, a tricatecholatesiderophore. Amoxicillin and amoxicillin, two β-lactam medicines, were joined to enterobactin via a polyethylene glycol linker. The combination increased β-lactam activity against E. coli, allowing enterobactin to carry antibiotics through Gram-negative membranes more effectively. An Enterobactin-ciprofloxacin compound (151, Figure 15) with an alkyl linker was created by Neumann et al. [233]. The cytoplasmic esteraseIroD enzyme, which is exclusively expressed in E. coli, activates the prodrug intracellularly. By employing a Gram-positive medication with three components—oxazolidinone antibiotic, cephalosporin, and bis-catechol-based siderophore conjugates—Liu et al. [234] created an elegant method to kill Gram-negative bacteria (152, Figure 15). The conjugates take advantage of the periplasmic β-lactamases that cleave the β-lactam ring of the cephalosporin to release the oxazolidinone, which then crosses the bacterial inner membrane and reaches its intracellular ribosomal target and kills the Gram-negative bacteria. The conjugates also take advantage of the bacterial ferri-siderophore uptake transporters for efficient passage through the outer membrane. To tackle P. aeruginosa species, Loupias et al. [235] created two piperazine-based siderophore mimics with catechol or hydroxypyridone chelating groups (153, 154, Figure 15). Unfortunately, the complexes exhibited no antibacterial action, although they could be employed as antibiotic transporters against Pseudomonas species. The two compounds demonstrated a strong affinity for Fe(III) and were used to internalize gallium as a hazardous metal. A Siderophore-linked ruthenium catalyst (155, Figure 15) for the activation of an antibacterial prodrug inside cells was created and examined by Southwell et al. [236]. Due to its tiny size and hydrophilic nature, the fluoroquinolone antibiotic moxifloxacin (156, Figure 15) is mostly absorbed by bacteria through porins. The drug was derivatized at the N or C termini to provide allyl carbamate (N-moxi) (157, Figure 15) or allyl ester prodrugs (C-moxi) (158, Figure 15) to boost bacterial uptake through passive membrane diffusion in response to an increase in porin deficiency-associated resistance. Only C-moxi was used in bacterial experiments to explore its activation in the presence of a variety of siderophore-linked ruthenium catalysts against E. coli K12 (BW25113) due to N-poor moxi’s solubility. The results demonstrated that the combination of catalysts and prodrugs had an antibacterial impact, with the azotochelin- and dihydroxybenzoic acid-linked catalysts demonstrating the most promising cellular uptake and intracellular prodrug activation. An anticancer cisplatin prodrug (cis, cis, trans- [Pt(NH3)2Cl2(OOCCH3)(OH)] and l/d enterobactin enantiomer) was produced in a recent work by Guo and Nolan [237] (159, Figure 15). The enterobactin-mediated delivery of the platinum(IV) prodrug into the cytoplasm increased its accumulation more than ten times compared to cisplatin treatment, and the conjugate demonstrated antibacterial activity against specific strains of E. coli where it causes bacterial growth inhibition and filamentation. This paper reveals a siderophore attachment method for medication repurposing.
Figure 15.
Chemical structure of, Cefiderocol (CFDC) (149), siderophore-antibiotic conjugates (150), enterobactin-ciprofloxacin conjugate (151), oxazolidinone-cephalosporin-bis-catechol-based siderophore conjugates (152), piperazine-based siderophore mimetics (153), (154), siderophore-linked ruthenium catalysts (155), moxifloxacin (156), N-moxi (157), C-moxi (158), and cisplatin prodrug-enterobactin (159).
7.2. Carbapenem-Oxazolidinones
By combining numerous pharmacophores in one molecule, it is possible to find novel medications without having to look for new targets and may even be possible to overcome resistance. In this study, oxazolidinones, a synthetic antibacterial drug that inhibits protein synthesis by binding to the 23S RNA region, were conjugated to carbapenem, a powerful β-lactam antibiotic, via a thioether link to create a series of carbapenem-oxazolidinone hybrids (163, Scheme 14). The intermediate (162) was first produced by coupling prepared oxazolidinonemethyl-thiols (160, Scheme 10) with carbapenem diphenylphosphate (161) in the presence of diisopropylethylamine, and the hybrids were then produced by deprotecting intermediate (162) through catalytic hydrogenation [238].
Scheme 14.
Procedure for synthesis of carbapenem-oxazolidinone hybrids (163). Reagents and conditions: (a) i-Pr2NEt, CH3CN, −10–0 °C, 8 h, 72–81%; and (b) H2, 10% Pd-C, THF/H2O, 30 °C, 2 h, 55–76%.
7.3. Oral GyrB/ParE Dual Binding Inhibitor
Finding novel target sites is necessary due to the growing antibiotic resistance brought on by binding site mutations. For the development of dual-targeting antibacterial drugs, the ATP-binding subunits of DNA gyrase (GyrB) and topoisomerase IV (ParE) are ideal candidates [239,240]. A. baumannii, P. aeruginosa, and K. pneumoniae resistant strains are just a few examples of the Gram-positive and Gram-negative bacterial pathogens that can be effectively treated with a dual-targeting tricyclic class pyrimidoindole inhibitor (TriBE inhibitor) against GyrB and ParE enzymes [241]. The tricyclic pyrimidoindole small molecule compound JSF-2414 (8-(6-fluoro-8-(methylamino)-2-((2-methylpyrimidin-5-yl)oxy) -9H-pyrimido [4,5-b]indol-4-yl)-2-oxa-8-azaspiro [4.5]decan-3-yl)methanol and JSF-2659, the phosphate prodrug’s in vitro and in vivo properties, were described by Park et al. [242] (164, 165, Figure 16). The prodrug JSF-2659 swiftly and completely converts to its active form JSF-2414 by host phosphatases to demonstrate significant efficacy against N. gonorrhoeae and its resistant strains. JSF-2659 prodrug exhibited high efficacy in decreasing microbial burdens and resistance.
Figure 16.
Chemical structure of; JSF-2414 (164); JSF-2659 (165); cephalothin-Bac8c (166); and florfenicol (167).
7.4. Antimicrobial Peptides (AMPs) Prodrugs
A possible approach to reduce AMP toxicity issues and improve bacterial selectivity is to use AMP prodrugs. An anionic promoiety can be conjugated to temporarily diminish the cationic characteristic of AMPs, which can then be activated by particular bacterial enzymes. AMP prodrugs, P18, WMR, and Cephalothin-Bac8c, were created. WMR (Ac-EEEEAAAGwglrrllkygkrs-NH2) is an analog of myxinidin, P18 (Ac-EEEEAAAGkwklfkklpkflhlakkf-NH2) is a hybrid of cecropin and magainin, and Cephalothin-Bac8c is a β-lactam-AMP conjugates (166, Figure 16). Although Cephalothin-Bac8c is conjugated via a carbamate-1,4-triazole linker, P18 and WMR prodrugs were synthesized via amidation at C-termini and the elongation of the N-termini with amino acid AAG motif. The pro-peptides have a membrane-disrupting, broad-spectrum antibacterial effect [243,244]. The broad-spectrum antibiotic florfenicol (167, Figure 16) is utilized in the livestock and poultry breeding business but suffers from resistance and poor water solubility [245,246,247]. Cell-penetrating peptides (CPPs), such as polyarginine, permeate the membranes of microbial cells to suppress bacteria. A brand-new family of florfenicol-polyarginine conjugates was created by Li et al. [248]. The peptide-florfenicol conjugates were created by esterifying the hydroxyl group of florfenicol with succinic, glutaric, and hexanedioic anhydrides, followed by amidation with Argi-nine polypeptide. The substances significantly reduced the resistance of the E. coli strains (2017XJ30, 2019XJ20) to florfenicol and demonstrated strong action against E. coli, S. aureus, and MRSA.
Other prodrugs were recently reported to fight resistance are listed in Table 2 below.
Table 2.
Prodrugs and their mechanism of actions.
Figure 17.
Chemical structure of WCK 5153 (168), ANT3310 (169), avibactam (170), relebactam (171), nacubactam (172), zidebactam (173), β-Lactamase-Activated Ciprofloxacin Prodrug (174), azithromycin prodrug (CSY5669) (175), tedizolid phosphate (TR701) (176), pretomanid (177), ceftaroline fosamil (178), C3D (179), DEA-C3D (180), triclosan glycoside prodrugs (181), prodrugs of 5-modified 2ʹ-deoxyuridines (182), tebipenem pivoxil HBr salt (183), TXY436 (184), TXA709 (185), carvacrol prodrugs (WSCP18-19) (186), ADC111 (187), ADC112 (188), ADC113 (189), and contezolid acefosamil (CZA) prodrug (190).
Table 2.
Prodrugs and their mechanism of actions.
| Prodrugs | Mechanism of Action and Examples |
|---|---|
| Diazabicyclooctanones (DBOs) | The active drug is produced from DBOs, which are sulfate-containing prodrugs that are in vivo activated by esterase cleavage that intramolecularly assaults the electrophilic neopentyl methylene group [249]. DBOs function as strong inhibitors of class A and class C β-lactamases. The serine active site of the β-lactamase is targeted by an amide group on the five-membered ring of DBOs, forming a carbamoyl adduct. The effectiveness of the antibiotic can be restored by using the prodrug in conjunction with the proper oral β-lactam antibiotics [139,250,251,252]. Examples of DBOs are WCK 5153 (168), ANT3310 (169), and the following: avibactam (170), relebactam (171), nacubactam (172), zidebactam (173) (Figure 17). |
| β-Lactamase-Activated Ciprofloxacin Prodrug | A prodrug of cephalosporin and fluoroquinolone ((6R,7R) -7-Acetamido-3-(((1-cyclopropyl-6-fluoro-4-oxo-7- (piperazin-1-yl) (piperazin-1-yl) -1,4-dihydroquinoline-3-carbonyl)oxy)- methyl)-8-oxo-5-thia-1-azabicyclo [4.2.0]oct-2-ene-2-carboxylic Acid) created by Evans et al. [253] (174, Figure 17) to deliver ciprofloxacin only to bacteria that express β-lactamase. When cephalosporin is cleaved by β-lactamase, the prodrug’s 3′-cephem ester, which was created by attaching ciprofloxacin via a carboxylic acid, releases ciprofloxacin. |
| Azithromycin Prodrug CSY5669 | Both an antibiotic and an immunomodulator, azithromycin. Azithromycin prodrug (CSY5669) (175, Figure 17) was created by Saris et al. [254] to enhance the immunomodulatory properties of azithromycin by combining it with nitric oxide and acetate as immune activators. It is possible to use CSY5669 as an adjuvant drug in the treatment of pneumonia brought on by MRSA by assisting in the eradication of bacteria and limiting inflammation-associated pathology. The prodrug showed an enhancement of intracellular killing of MARSA in monocyte-derived macrophages and peripheral blood leukocytes as well as reduced inflammatory responses in mice airways in vivo. |
| Tedizolid phosphate (TR701) | Prodrug of the antibiotic oxazolidinone tedizolid (TR701) (176, Figure 17), which is used to treat bacterial skin infections. Plasma phosphatasese converts it to its active parent drug tidezolide, which is highly active in vitro against Gram-positive bacteria, including MRSA [255,256,257]. |
| Pretomanid | A prodrug of an antibiotic (177, Figure 17) that, after being converted to a desnitro derivative by Mycobacterium tuberculosis deazaflavin-dependent nitroreductase (Ddn) [258], acts by raising nitric oxide levels. To treat tuberculosis with drug resistance, it is used with bedaquiline and linezolid [259]. |
| Ceftaroline fosamil | A prodrug (178, Figure 17) that is activated by plasma phosphatase to produce ceftaroline, which is used to treat community-acquired bacterial pneumonia (CABP) and acute bacterial skin infections [260,261]. |
| Cephalosporin-3′-diazeniumdiolates (C3Ds) prodrugs | After reacting with β-lactamases and being broken down by transpeptidases, a nitric oxide (NO) donor prodrug with a β-lactam ring in its structure selectively releases NO. The diazeniumdiolate NO donor-containing PYRRO-C3D (179, Figure 17) is one of two C3Ds that are currently being developed. The second prodrug is DEA-C3D (180, Figure 17) which contains the phenacetyl side chain of cefaloram and the diazeniumdiolate NO donor. The prodrugs are a good possibility for lowering antibiotic tolerance linked to biofilms [262,263,264]. |
| Triclosan glycoside prodrugs | The identification of the bacterial enzyme glycosidase resulted in the identification of glycoside derivatives as bacterium-targeting prodrugs (181, Figure 17). Gram-positive and Gram-negative bacteria are inhibited by triclosan glycoside derivatives (α-D-glycopyranosides and β-D-glycopyranosides), which has the potential to be utilized orally for the treatment of systemic infections [265,266,267] |
| 5-Modified 2ʹ-Deoxyuridines prodrugs | The precise mechanism by which pyrimidine nucleoside derivatives work is unknown; however, some of the compounds inhibited the microbial enzyme flavin-dependent thymidylate synthase (ThyX), which is not present in humans, and others operated on mycobacterial cell wall destruction [268]. Negrya et al. [269] created carrier-linked prodrugs of 5-modified 2’-deoxyuridines (182, Figure 17) since the parent drugs, 5-dodecyloxymethyl 2’-deoxyuridine and 5- [4-decyl-(1,2,3-triazol-1-yl) methyl]-2’-deoxyuridine, were poorly soluble in water. To increase solubility, a triethylene and tetraethylene glycol moiety was linked to the 3′ and 5′ hydroxyl groups of the parent molecules using a carbonate group. |
| Tebipenem pivoxil Prodrug | Tebipenem pivoxil HBr salt (183, Figure 17) is a tebipenem ester prodrug that can be taken orally and has improved bioavailability. It is now being developed to treat difficult urinary tract infections in adults. It is approved for use in Japan to treat ear, nose, throat, and respiratory infections in children [270]. |
| FtsZ-Targeting Benzamide Prodrugs | A prokaryote-specific protein called Fts-Z (Filamenting temperature-sensitive mutant Z) is involved in bacterial cell division. In order to combat methicillin-sensitive and resistant Staphylococcus aureus (MSSA and MRSA), PC190723 is a FtsZ-Targeting Benzamide the N-Mannich base prodrug TXY436 (184, Figure 17) was developed as a result of poor solubility; it has improved pharmacological characteristics but requires high effective doses. Because of this, a novel prodrug called TXA709 (185, Figure 17) was developed based on TXY436 with a CF3 group in place of the Cl on the pyridyl ring, giving it a longer half-life and higher oral bioavailability than TXY436 [271,272]. |
| Carvacrol Prodrugs | A naturally occurring monoterpene called carvacrol can damage bacterial membranes and prevent Gram-positive bacteria from forming biofilms [273]. Carvacrol prodrugs (WSCP18-19) (186, Figure 17) were created by prenylating the hydroxyl group of carvacrol due to its low water solubility and chemical stability. The prodrugs exhibit good plasma stability, minimal toxicity, and a potential antibacterial action against S. aureus and S. epidermidis [274]. |
| ADC111, ADC112 and ADC113 | Fleck et al. [275] examined thousands of chimicals in order to find non-specific molecules that prevent alamarBlue, a viability dye, from being reduced. Three prodrugs— ADC111, an analog of the nitrofuran prodrug (187), ADC112, an analog of the tilbroquinol antimicrobial (188), and ADC113, a molecule with a di-ketone functionality that is not a member of any class of recognized antimicrobials (189)—are available (Figure 17). The prodrugs have demonstrated that they are effective in killing E. coli cells [276,277]. |
| Contezolid acefosamil (CZA) prodrug | A brand-new oral oxazolidinone antibacterial medication called Contezolid (CZD) is effective against the majority of aerobic Gram-positive bacteria, including MRSA and vancomycin-resistant Enterococcus. The medication prevents the synthesis of 70S initiation complex, which is essential for bacterial reproduction [278]. As a result of its low solubility, the drug’s intravenous (IV) administration is restricted. Giving patients with diabetic foot infections more therapeutic options in hospitals and outpatient settings is therapy with IV administration followed by oral CZD [279]. Liu et al. [280] created the contezolid acefosamil (CZA) prodrug (190, Figure 17), an isoxazol-3-yl phosphoramidate derivative with excellent water solubility and good stability in pH conditions suited for IV delivery. |
8. Awareness and Knowledge of Antibiotic Prescribing
Antibiotic resistance is seen as a severe concern and a global public health issue since it has increased morbidity, death, and healthcare expenditures. Antibiotic resistance was brought about by the irrational use of antibiotics in agriculture, the livestock industry, and healthcare. In addition to prescribing an inappropriate antibiotic, using antibiotics without a necessity, skipping doses, self-medicating, and sharing medications are key contributors to antibiotic resistance. This is owing to pharmacists’ lack of understanding, fear of losing clients, and lax legal protections [281,282]. Many institutions have found that implementing Antimicrobial Stewardship Plans (ASPs) can enhance therapeutic results, lower treatment-related costs, and hence slow or stop the evolution of antibiotic resistance [283]. Health professionals can also avoid hospital-acquired infections and the nosocomial transmission of MDR bacteria by following the recommendations for proper hospital disinfection and personal hygiene [284,285]. Nonetheless, both wealthy and developing nations suffer from the widespread use of antibiotics in the aquaculture and agricultural sectors to promote growth. Humans will consume antibiotics used on livestock, and resistant bacteria may spread from animals to humans, perhaps having a negative impact on human health. Moreover, antibiotics given to animals are expelled in urine and feces, which are then used as fertilizer and have an impact on the microbiome of the environment [286,287]. As a result, we must promote awareness about antibiotic resistance, enact legislation, and create global policies. In order to promote patient care and national security, the fight against antibiotic resistance requires strategies, persistent efforts, and the participation of national and international governments, healthcare professionals, industry, and the general public [288].
9. Conclusions
A total of 4.95 million fatalities globally are a result of the significant global public health problem known as antibiotic resistance. Through naturally occurring or acquired resistance that is created by horizontal gene transfer or DNA mutation, bacteria can rapidly reduce their susceptibility to antibiotics. In order to combat bacterial infections, new antibacterial agents must be discovered. The development of antimicrobial therapies can be facilitated by new methods for rational design and screening-based approaches, such as, nanotechnology, computational techniques (in silico and FBDD), antibiotic alternatives (antimicrobial peptides, essential oils, anti-Quorum sensing, darobactins, vitamin B6, bacteriophages, odilorhabdins, 18β-glycyrrhetinic acid, and cannabinoids), drug repurposing (ticagrelor, mi-tomycin C, auranofin, pentamidine and zidovudine), and synthesis of novel antibacterial agents (lactones, piperidinol, sugar-based bactericide, isoxazole, carbazole, pyrimidines, and pyrazoles derivatives) and prodrugs. In order to address the crisis caused by antibiotic resistance, it is necessary to coordinate efforts to revitalize research and implement new policies.
Author Contributions
Writing—original draft preparation, Z.B.; review and editing, R.K.; supervision, R.K. All authors have read and agreed to the published version of the manuscript.
Funding
This research received no external funding.
Conflicts of Interest
The authors declare no conflict of interest.
Abbreviations
| .OH | Hydroxyl Radicals |
| 1,3BPG | 1,3 bisphosphoglycerate |
| Acetic acid | AcOH |
| ADMET | Absorption, distribution, metabolism, excretion, toxicity |
| Ag85 | Antigen 85 |
| AHLs | N-acyl homoserine lactones |
| AIs | Auto-inducers |
| ALFs | Shrimp antilipopolysaccharide factors |
| Aluminium chloride | AlCl |
| AmB | Amphotericin B |
| AMP | Antimicrobial peptides |
| AMR | antimicrobial resistance |
| API | Active pharmaceutical ingredient |
| ASPs | Antimicrobial Stewardship Plans |
| ATP-ABC | Adenosine triphosphate-Binding Cassette |
| AZT | Zidovudine |
| BBr3 | Boron tribromide |
| BGC | Biosynthetic gene cluster |
| BioA | 7,8- diaminopelargonic acid synthase |
| BnBr | Benzyl bromide |
| C2H5I | Ethyl iodide |
| C3Ds | Cephalosporin-3′-diazeniumdiolates |
| C6H6 | Benzene |
| CABP | Community-acquired bacterial pneumonia |
| CBD | Cannabidiol |
| CBG | Cannabigerol |
| CDI | Carbonyldiimidazole |
| CEO | Cinnamon essential oil |
| CFDC | Cefiderocol |
| CH2Cl2 | Dichloromethane |
| CH3CN | Acetonitrile |
| CoAF | Cobalt nanoferrite |
| CPPs | Cell-penetrating peptides |
| CPPs | Critical process parameters |
| CQAs | Critical quality attributes |
| CR | Carbapenem resistant |
| CRAB | Carbapenem-resistant Acinetobacter baumannii |
| CRE | Carbapenem-resistant Enterobacterales |
| Cu | Copper |
| CuAF | copper nanoferrite |
| CZA | Contezolid acefosamil |
| CZD | Contezolid |
| DABCO | Triethylenediamine |
| DAR | Darobactins |
| DBOs | Diazabicyclooctanones |
| DBU | 1,8-Diazabicyclo [5.4.0]undec-7-ene |
| DBU | 1,8-Diazabicyclo(5.4.0)undec-7-ene |
| DCM | Dichloromethane |
| Ddl | D-alanyl-D-alanine synthetase |
| Ddl-B | D-alanine-D-alanine ligase |
| Ddn | Deazaflavin-dependent nitroreductase |
| DDQ | 2,3-Dichloro-5,6-dicyano-1,4-bezoquinone |
| DIPEA | N,N-Diisopropylethylamine |
| DMAP | 4-Dimethylaminopyridine |
| DMC | Dimethyl carbonate |
| DMF | Dimethylformamide |
| DMSO | Dimethyl sulfoxide |
| DPD | (S)-4,5-dihydroxypentane-2,3-dione |
| DprE1 | Decaprenylphosphoryl-β-D-ribose 2′-epimerase |
| DS | Design space |
| DSF | Differential Scanning Fluorimetry |
| DSPG | Di-stearoyl-phosphatidylglycerol |
| E4P | D-erythrose-4-phosphate |
| E4PDH | Erythrose-4-phosphate dehydrogenase |
| ECC | Enterobacter cloacae complex |
| EOCM | Essential oil from Centipeda minima |
| EOOG | Egg oil-organogel |
| EOs | Plant essential oils |
| ESKAPE | Enterococcus faecium, Staphylococcus aureus, Klebsiella pneumoniae, Acinetobacter baumannii, Pseudomonas aeruginosa, and Enterobacter species pathogens |
| Et3N | Triethylamine |
| EthR | Transcriptional repressor |
| EtOH | Ethanol |
| FBDD | Fragment-based drug design |
| FECL2 | Iron(II) chloride |
| FePPOPHydantoin | Porphyrin iron-based porous organic polymer |
| Fts-Z | Filamenting temperature-sensitive mutant Z |
| G3P | Glyceraldehyde-3-phosphate |
| GA | Glycyrrhizin |
| GC-MS | Gas chromatography-mass spectrometry |
| GRA | 18β-glycyrrhetinic acid |
| Gyr-B | DNA gyrase B subunits |
| H2CBD | 8,9-dihydrocannabidiol |
| HAM | Hamamelitannin |
| HCl | Hydrochloric acid |
| HGT | Horizontal gene transfer |
| HTS | High throughput screening |
| I2 | Iodine |
| InhA | 2-trans-enoyl-acyl carrier protein reductase |
| i-Pr2Net | N,N-Diisopropylethylamine |
| K2CO3 | Potassium carbonate |
| KI | Potassium iodide |
| KNCS | Potassium thiocyanate |
| KOH | Potassium hydroxide |
| Lf | Lactoferrin |
| LiOH | Lithium hydroxide |
| MATE | Multidrug and Toxic Compound Extrusion |
| MBC | Minimum bactericidal concentration |
| m-CPBA | meta-Chloroperoxybenzoic acid |
| MD | Molecular dynamics |
| MDR | Multidrug resistance |
| MEI | Iodomethane |
| MeOH, | Methanol |
| MIC | Minimum inhibitory concentration |
| MMC | Mitomycin C |
| MRSA | Methicillin-resistant S. aureus |
| Ms | Saturation magnetization |
| MSSA | Methicillin-sensitive Staphylococcus aureus |
| mtk-QSBER | multitasking model for quantitative-structure biological effect relationships |
| NaBH4 | Sodium borohydride |
| NaBH4 | Sodium borohydride |
| NaH | Sodium hydride |
| NaHCO3 | Sodium bicarbonate |
| NAOCH3 | Sodium methoxide |
| NAOH | Sodium hydroxide |
| NBS | N-Bromosuccinimide |
| n-Bu3SnH. | Tributyltin hydride |
| n-BuLi | n-Butllithium |
| NCS | N-Chlorosuccinimide |
| NIR | Near-infrared |
| NMR | Nuclear magnetic resonance |
| NO | Nitric oxide |
| NPET | Nascent peptide exit tunnel |
| NPs | Nanoparticles |
| NRPSs | non-ribosomal peptide synthetases |
| ODLs | Odilorhabdins |
| PABA | p-aminobenzoic acid |
| PACE | Proteobacterial Antimicrobial Compound Efflux |
| PBPs | Penicillin-binding proteins |
| PDA@FeS NPs | ferrous sulfide-polydopamine nanoparticles |
| Pd-C | Palladium on carbon |
| PE | Phosphatidyl-ethanolamine |
| PEITC | Phenethyl isothiocyanate |
| PGLEO | Psidium guajava (guava) leaf essential oil |
| PIPD1 | Piperidinol-containing molecule |
| PJI | Prosthetic joint infection |
| PKSs | Polyketide synthases |
| POCl3 | Phosphoryl chloride |
| PPA | Polyphosphoric acid |
| PTC | Peptidyl transferase center |
| QbD | Quality by design |
| QS | Quorum Sensing |
| RA | Risk Assessment |
| RIF-BSA-NPs | Rifampicin-loaded bovine serum albumin nanoparticles |
| RNAP | RNA polymerase |
| RND | Resistance Nodulation Division |
| ROS | Reactive oxygen species |
| ROS | Reactive oxygen species () |
| rt. | Room temperature |
| SAM (RaS) | Radical S-adenosylmethionine |
| SAR | Structure-activity relationships |
| Silver oxide | Ag2O |
| SMR | Small Multidrug Resistance |
| SSD | Silver Sulphadiazine |
| TB | Tuberculosis |
| TBAB | Tetra-n- butylammonium bromide |
| T-BUOH | Tert-Butyl alcohol |
| T-BUOK | Potassium tert-butoxide |
| TCA | Tricarboxylic acid cycle |
| Tf | Transferrin |
| THBTP | Tetrahydro-1-benzothiophene |
| THC | Trans-Δ-9-tetrahydrocannabinol |
| THF | Tetrahydrofuran |
| ThyX | Thymidylate synthase |
| TLM | Thiolactomycin |
| TPP | Target product profile |
| TQ | Thymoquinone |
| TriBE inhibitor | Pyrimidoindole inhibitor |
| TRPPs | Tetracycline ribosomal protection proteins |
| WHO | World Health Organization |
| XDR | extensively drug resistant |
| β-MGP | β-D-galactopyranoside |
References
- Adedeji, W.A. The Treasure Called Antibiotics. Ann. Ib. Postgrad. Med. 2016, 14, 56–57. [Google Scholar] [PubMed]
- Breijyeh, Z.; Jubeh, B.; Karaman, R. Resistance of Gram-Negative Bacteria to Current Antibacterial Agents and Approaches to Resolve It. Molecules 2020, 25, 1340. [Google Scholar] [CrossRef] [PubMed]
- Karaman, R.; Jubeh, B.; Breijyeh, Z. Resistance of Gram-Positive Bacteria to Current Antibacterial Agents and Overcoming Approaches. Molecules 2020, 25, 2888. [Google Scholar] [CrossRef] [PubMed]
- Antimicrobial Resistance, C. Global burden of bacterial antimicrobial resistance in 2019: A systematic analysis. Lancet 2022, 399, 629–655. [Google Scholar] [CrossRef]
- Asokan, G.V.; Ramadhan, T.; Ahmed, E.; Sanad, H. WHO Global Priority Pathogens List: A Bibliometric Analysis of Medline-PubMed for Knowledge Mobilization to Infection Prevention and Control Practices in Bahrain. Oman Med. J. 2019, 34, 184–193. [Google Scholar] [CrossRef]
- WHO. Priority Pathogens List of Antibiotic-Resistant Bacteria for Which New Antibiotics are Urgently Needed; WHO: Geneva, Switzerland, 2017. [Google Scholar]
- Shrivastava, S.; Shrivastava, P.; Ramasamy, J. World health organization releases global priority list of antibiotic-resistant bacteria to guide research, discovery, and development of new antibiotics. J. Med. Soc. 2018, 32, 76. [Google Scholar] [CrossRef]
- Mancuso, G.; Midiri, A.; Gerace, E.; Biondo, C. Bacterial Antibiotic Resistance: The Most Critical Pathogens. Pathogens 2021, 10, 1310. [Google Scholar] [CrossRef]
- Mulani, M.S.; Kamble, E.E.; Kumkar, S.N.; Tawre, M.S.; Pardesi, K.R. Emerging Strategies to Combat ESKAPE Pathogens in the Era of Antimicrobial Resistance: A Review. Front. Microbiol. 2019, 10, 539. [Google Scholar] [CrossRef]
- De Oliveira, D.M.P.; Forde, B.M.; Kidd, T.J.; Harris, P.N.A.; Schembri, M.A.; Beatson, S.A.; Paterson, D.L.; Walker, M.J. Antimicrobial Resistance in ESKAPE Pathogens. Clin. Microbiol. Rev. 2020, 33, e00181-19. [Google Scholar] [CrossRef]
- Qadri, H.; Shah, A.H.; Mir, M. Novel Strategies to Combat the Emerging Drug Resistance in Human Pathogenic Microbes. Curr. Drug Targets 2021, 22, 1424–1436. [Google Scholar] [CrossRef]
- Kohanski, M.A.; Dwyer, D.J.; Collins, J.J. How antibiotics kill bacteria: From targets to networks. Nat. Rev. Microbiol. 2010, 8, 423–435. [Google Scholar] [CrossRef]
- Calhoun, C.; Wermuth, H.R.; Hall, G.A. Antibiotics; StatPearls: Treasure Island, FL, USA, 2022. [Google Scholar]
- Bush, K.; Bradford, P.A. beta-Lactams and beta-Lactamase Inhibitors: An Overview. Cold Spring Harb. Perspect. Med. 2016, 6, a025247. [Google Scholar] [CrossRef]
- Eyler, R.F.; Shvets, K. Clinical Pharmacology of Antibiotics. Clin. J. Am. Soc. Nephrol. Cjasn 2019, 14, 1080–1090. [Google Scholar] [CrossRef]
- Blaskovich, M.A.T.; Hansford, K.A.; Butler, M.S.; Jia, Z.; Mark, A.E.; Cooper, M.A. Developments in Glycopeptide Antibiotics. Acs Infect. Dis. 2018, 4, 715–735. [Google Scholar] [CrossRef]
- Bionda, N.; Pitteloud, J.P.; Cudic, P. Cyclic lipodepsipeptides: A new class of antibacterial agents in the battle against resistant bacteria. Future Med. Chem. 2013, 5, 1311–1330. [Google Scholar] [CrossRef]
- Schneider, T.; Muller, A.; Miess, H.; Gross, H. Cyclic lipopeptides as antibacterial agents—Potent antibiotic activity mediated by intriguing mode of actions. Int. J. Med. Microbiol. Ijmm 2014, 304, 37–43. [Google Scholar] [CrossRef]
- Adams, R.A.; Leon, G.; Miller, N.M.; Reyes, S.P.; Thantrong, C.H.; Thokkadam, A.M.; Lemma, A.S.; Sivaloganathan, D.M.; Wan, X.; Brynildsen, M.P. Rifamycin antibiotics and the mechanisms of their failure. J. Antibiot. 2021, 74, 786–798. [Google Scholar] [CrossRef]
- Krause, K.M.; Serio, A.W.; Kane, T.R.; Connolly, L.E. Aminoglycosides: An Overview. Cold Spring Harb. Perspect. Med. 2016, 6, a027029. [Google Scholar] [CrossRef]
- Pham, T.D.M.; Ziora, Z.M.; Blaskovich, M.A.T. Quinolone antibiotics. Medchemcomm 2019, 10, 1719–1739. [Google Scholar] [CrossRef]
- Kemnic, T.R.; Coleman, M. Trimethoprim Sulfamethoxazole; StatPearls: Treasure Island, FL, USA, 2022. [Google Scholar]
- Patel, P.H.; Hashmi, M.F. Macrolides; StatPearls: Treasure Island, FL, USA, 2022. [Google Scholar]
- Vazquez-Laslop, N.; Mankin, A.S. How Macrolide Antibiotics Work. Trends Biochem. Sci. 2018, 43, 668–684. [Google Scholar] [CrossRef] [PubMed]
- Rusu, A.; Buta, E.L. The Development of Third-Generation Tetracycline Antibiotics and New Perspectives. Pharmaceutics 2021, 13, 2085. [Google Scholar] [CrossRef] [PubMed]
- Nguyen, F.; Starosta, A.L.; Arenz, S.; Sohmen, D.; Donhofer, A.; Wilson, D.N. Tetracycline antibiotics and resistance mechanisms. Biol. Chem. 2014, 395, 559–575. [Google Scholar] [CrossRef] [PubMed]
- Foti, C.; Piperno, A.; Scala, A.; Giuffre, O. Oxazolidinone Antibiotics: Chemical, Biological and Analytical Aspects. Molecules 2021, 26, 4280. [Google Scholar] [CrossRef] [PubMed]
- Bonfiglio, G.; Furneri, P.M. Novel streptogramin antibiotics. Expert Opin. Investig. Drugs 2001, 10, 185–198. [Google Scholar] [CrossRef]
- Li, Q.; Pellegrino, J.; Lee, D.J.; Tran, A.A.; Chaires, H.A.; Wang, R.; Park, J.E.; Ji, K.; Chow, D.; Zhang, N.; et al. Synthetic group A streptogramin antibiotics that overcome Vat resistance. Nature 2020, 586, 145–150. [Google Scholar] [CrossRef]
- Oong, G.C.; Tadi, P. Chloramphenicol; StatPearls: Treasure Island, FL, USA, 2022. [Google Scholar]
- Spizek, J.; Rezanka, T. Lincosamides: Chemical structure, biosynthesis, mechanism of action, resistance, and applications. Biochem Pharm. 2017, 133, 20–28. [Google Scholar] [CrossRef]
- WHO. World Health Organization Ten Threats to Global Health in 2019; WHO: Geneva, Switzerland, 2019. [Google Scholar]
- Reygaert, W.C. An overview of the antimicrobial resistance mechanisms of bacteria. Aims Microbiol. 2018, 4, 482–501. [Google Scholar] [CrossRef]
- Francine, P. Systems Biology: New Insight into Antibiotic Resistance. Microorganisms 2022, 10, 2362. [Google Scholar] [CrossRef]
- Chancey, S.T.; Zahner, D.; Stephens, D.S. Acquired inducible antimicrobial resistance in Gram-positive bacteria. Future Microbiol. 2012, 7, 959–978. [Google Scholar] [CrossRef]
- Mahon, C.R.; Lehman, D.C. Textbook of Diagnostic Microbiology—E-Book; Elsevier Health Sciences: USA, 2022. [Google Scholar]
- Sultan, I.; Rahman, S.; Jan, A.T.; Siddiqui, M.T.; Mondal, A.H.; Haq, Q.M.R. Antibiotics, Resistome and Resistance Mechanisms: A Bacterial Perspective. Front. Microbiol. 2018, 9, 2066. [Google Scholar] [CrossRef]
- Ndagi, U.; Falaki, A.A.; Abdullahi, M.; Lawal, M.M.; Soliman, M.E. Antibiotic resistance: Bioinformatics-based understanding as a functional strategy for drug design. Rsc Adv. 2020, 10, 18451–18468. [Google Scholar] [CrossRef]
- Kabra, R.; Chauhan, N.; Kumar, A.; Ingale, P.; Singh, S. Efflux pumps and antimicrobial resistance: Paradoxical components in systems genomics. Prog. Biophys. Mol. Biol. 2019, 141, 15–24. [Google Scholar] [CrossRef]
- Ogawara, H. Comparison of Antibiotic Resistance Mechanisms in Antibiotic-Producing and Pathogenic Bacteria. Molecules 2019, 24, 3430. [Google Scholar] [CrossRef]
- Spengler, G.; Kincses, A.; Gajdacs, M.; Amaral, L. New Roads Leading to Old Destinations: Efflux Pumps as Targets to Reverse Multidrug Resistance in Bacteria. Molecules 2017, 22, 468. [Google Scholar] [CrossRef]
- Munita, J.M.; Arias, C.A. Mechanisms of Antibiotic Resistance. Microbiol. Spectr. 2016, 4, 481–511. [Google Scholar] [CrossRef]
- Schaenzer, A.J.; Wright, G.D. Antibiotic Resistance by Enzymatic Modification of Antibiotic Targets. Trends Mol. Med. 2020, 26, 768–782. [Google Scholar] [CrossRef]
- Wilson, D.N.; Hauryliuk, V.; Atkinson, G.C.; O’Neill, A.J. Target protection as a key antibiotic resistance mechanism. Nat. Rev. Microbiol. 2020, 18, 637–648. [Google Scholar] [CrossRef]
- Manyi-Loh, C.; Mamphweli, S.; Meyer, E.; Okoh, A. Antibiotic Use in Agriculture and Its Consequential Resistance in Environmental Sources: Potential Public Health Implications. Molecules 2018, 23, 795. [Google Scholar] [CrossRef]
- Ayukekbong, J.A.; Ntemgwa, M.; Atabe, A.N. The threat of antimicrobial resistance in developing countries: Causes and control strategies. Antimicrob. Resist. Infect. Control 2017, 6, 47. [Google Scholar] [CrossRef]
- Finley, R.L.; Collignon, P.; Larsson, D.G.; McEwen, S.A.; Li, X.Z.; Gaze, W.H.; Reid-Smith, R.; Timinouni, M.; Graham, D.W.; Topp, E. The scourge of antibiotic resistance: The important role of the environment. Clin. Infect. Dis. Off. Publ. Infect. Dis. Soc. Am. 2013, 57, 704–710. [Google Scholar] [CrossRef]
- Guetiya Wadoum, R.E.; Zambou, N.F.; Anyangwe, F.F.; Njimou, J.R.; Coman, M.M.; Verdenelli, M.C.; Cecchini, C.; Silvi, S.; Orpianesi, C.; Cresci, A.; et al. Abusive use of antibiotics in poultry farming in Cameroon and the public health implications. Br. Poult. Sci. 2016, 57, 483–493. [Google Scholar] [CrossRef] [PubMed]
- Baynes, R.E.; Dedonder, K.; Kissell, L.; Mzyk, D.; Marmulak, T.; Smith, G.; Tell, L.; Gehring, R.; Davis, J.; Riviere, J.E. Health concerns and management of select veterinary drug residues. Food Chem. Toxicol. Int. J. Publ. Br. Ind. Biol. Res. Assoc. 2016, 88, 112–122. [Google Scholar] [CrossRef]
- Maron, D.F.; Smith, T.J.; Nachman, K.E. Restrictions on antimicrobial use in food animal production: An international regulatory and economic survey. Glob. Health 2013, 9, 48. [Google Scholar] [CrossRef] [PubMed]
- Gillings, M.R. Evolutionary consequences of antibiotic use for the resistome, mobilome and microbial pangenome. Front. Microbiol. 2013, 4, 4. [Google Scholar] [CrossRef] [PubMed]
- Dolliver, H.; Gupta, S. Antibiotic losses in leaching and surface runoff from manure-amended agricultural land. J. Environ. Qual. 2008, 37, 1227–1237. [Google Scholar] [CrossRef] [PubMed]
- Davies, J.; Davies, D. Origins and evolution of antibiotic resistance. Microbiol. Mol. Biol. Rev. Mmbr 2010, 74, 417–433. [Google Scholar] [CrossRef]
- Phillips, I.; Casewell, M.; Cox, T.; De Groot, B.; Friis, C.; Jones, R.; Nightingale, C.; Preston, R.; Waddell, J. Does the use of antibiotics in food animals pose a risk to human health? A critical review of published data. J. Antimicrob. Chemother. 2004, 53, 28–52. [Google Scholar] [CrossRef]
- Marshall, B.M.; Levy, S.B. Food animals and antimicrobials: Impacts on human health. Clin. Microbiol. Rev. 2011, 24, 718–733. [Google Scholar] [CrossRef]
- Moudgil, P.; Bedi, J.S.; Moudgil, A.D.; Gill, J.P.S.; Aulakh, R.S. Emerging issue of antibiotic resistance from food producing animals in India: Perspective and legal framework. Food Rev. Int. 2017, 34, 447–462. [Google Scholar] [CrossRef]
- Sharma, C.; Rokana, N.; Chandra, M.; Singh, B.P.; Gulhane, R.D.; Gill, J.P.S.; Ray, P.; Puniya, A.K.; Panwar, H. Antimicrobial Resistance: Its Surveillance, Impact, and Alternative Management Strategies in Dairy Animals. Front. Vet. Sci. 2017, 4, 237. [Google Scholar] [CrossRef]
- Ying, G.G.; He, L.Y.; Ying, A.J.; Zhang, Q.Q.; Liu, Y.S.; Zhao, J.L. China Must Reduce Its Antibiotic Use. Environ. Sci. Technol. 2017, 51, 1072–1073. [Google Scholar] [CrossRef]
- Marquardt, R.R.; Li, S. Antimicrobial resistance in livestock: Advances and alternatives to antibiotics. Anim. Front. Rev. Mag. Anim. Agric. 2018, 8, 30–37. [Google Scholar] [CrossRef]
- Rahman, M.R.T.; Fliss, I.; Biron, E. Insights in the Development and Uses of Alternatives to Antibiotic Growth Promoters in Poultry and Swine Production. Antibiotics 2022, 11, 766. [Google Scholar] [CrossRef]
- Mubeen, B.; Ansar, A.N.; Rasool, R.; Ullah, I.; Imam, S.S.; Alshehri, S.; Ghoneim, M.M.; Alzarea, S.I.; Nadeem, M.S.; Kazmi, I. Nanotechnology as a Novel Approach in Combating Microbes Providing an Alternative to Antibiotics. Antibiotics 2021, 10, 1473. [Google Scholar] [CrossRef]
- Vimbela, G.V.; Ngo, S.M.; Fraze, C.; Yang, L.; Stout, D.A. Antibacterial properties and toxicity from metallic nanomaterials. Int. J. Nanomed. 2017, 12, 3941–3965. [Google Scholar] [CrossRef]
- Zhou, Y.; Kong, Y.; Kundu, S.; Cirillo, J.D.; Liang, H. Antibacterial activities of gold and silver nanoparticles against Escherichia coli and bacillus Calmette-Guérin. J. Nanobiotechnology 2012, 10, 9. [Google Scholar] [CrossRef]
- Khan, I.; Saeed, K.; Khan, I. Nanoparticles: Properties, applications and toxicities. Arab. J. Chem. 2019, 12, 908–931. [Google Scholar] [CrossRef]
- Zhang, N.; Xiong, G.; Liu, Z. Toxicity of metal-based nanoparticles: Challenges in the nano era. Front. Bioeng. Biotechnol. 2022, 10, 1001572. [Google Scholar] [CrossRef]
- Yadav, N.; Kumar, U.; Chauhan, V.S. Conformationally restricted, dipeptide-based, self-assembled nanoparticles for efficient vancomycin delivery. Nanomedicine 2023. [Google Scholar] [CrossRef]
- Mohammadinejat, M.; Sepahi, A.A.; Alipour, E. Antibacterial and Anti-Biofilm Activities of Silver Nano Particles Conjugated to Chitosan Against Multi-Drug Resistant Bacteria. Clin. Lab. 2023, 69. [Google Scholar] [CrossRef]
- Xu, N.; Huang, Q.; Shi, L.; Wang, J.; Li, X.; Guo, W.; Yan, D.; Ni, T.; Yang, Z.; Yan, Y. A bioinspired polydopamine-FeS nanocomposite with high antimicrobial efficiency via NIR-mediated Fenton reaction. Dalton Trans. 2023, 52, 1687–1701. [Google Scholar] [CrossRef] [PubMed]
- Li, Y.; Wang, Q.; Qu, X.; Zhang, Q.; Zhang, X. A metalloporphyrin and hydantoin functionalized nanozyme with synergistically enhanced bacterial inhibition. Biomater. Sci. 2023, 11, 1785–1796. [Google Scholar] [CrossRef] [PubMed]
- El-Bassuony, A.A.H.; Gamal, W.M.; Abdelsalam, H.K. Impact of different magnetic materials added to silver-magnetite nanoparticles on the structural, magnetic and antimicrobial properties. Eur. Phys. J. Spec. Top. 2023, 11, 1–13. [Google Scholar] [CrossRef] [PubMed]
- Lei, R.; Hou, J.; Chen, Q.; Yuan, W.; Cheng, B.; Sun, Y.; Jin, Y.; Ge, L.; Ben-Sasson, S.A.; Chen, J.; et al. Self-Assembling Myristoylated Human alpha-Defensin 5 as a Next-Generation Nanobiotics Potentiates Therapeutic Efficacy in Bacterial Infection. Acs Nano 2018, 12, 5284–5296. [Google Scholar] [CrossRef] [PubMed]
- Mangoni, A.A.; Tuccinardi, T.; Collina, S.; Vanden Eynde, J.J.; Munoz-Torrero, D.; Karaman, R.; Siciliano, C.; de Sousa, M.E.; Prokai-Tatrai, K.; Rautio, J.; et al. Breakthroughs in Medicinal Chemistry: New Targets and Mechanisms, New Drugs, New Hopes-3. Molecules 2018, 23, 130. [Google Scholar] [CrossRef]
- Yu, L.X.; Amidon, G.; Khan, M.A.; Hoag, S.W.; Polli, J.; Raju, G.K.; Woodcock, J. Understanding pharmaceutical quality by design. Aaps J. 2014, 16, 771–783. [Google Scholar] [CrossRef]
- Woodcock, J. The concept of pharmaceutical quality. Am. Pharm. Rev. 2004, 7, 1–3. [Google Scholar]
- Joshi, M.; Yadav, K.S.; Prabhakar, B. Quality by Design Approach for Development and Optimization of Rifampicin Loaded Bovine Serum Albumin Nanoparticles and Characterization. Curr. Drug Deliv. 2021, 18, 1338–1351. [Google Scholar] [CrossRef]
- Thakur, K.; Mahajan, A.; Sharma, G.; Singh, B.; Raza, K.; Chhibber, S.; Katare, O.P. Implementation of Quality by Design (QbD) approach in development of silver sulphadiazine loaded egg oil organogel: An improved dermatokinetic profile and therapeutic efficacy in burn wounds. Int. J. Pharm. 2020, 576, 118977. [Google Scholar] [CrossRef]
- Ghodake, V.; Vishwakarma, J.; Vavilala, S.L.; Patravale, V. Cefoperazone sodium liposomal formulation to mitigate P. aeruginosa biofilm in Cystic fibrosis infection: A QbD approach. Int. J. Pharm. 2020, 587, 119696. [Google Scholar] [CrossRef]
- Liu, H.; Rivnay, B.; Avery, K.; Myung, J.H.; Kozak, D.; Landrau, N.; Nivorozhkin, A.; Ashraf, M.; Yoon, S. Optimization of the manufacturing process of a complex amphotericin B liposomal formulation using quality by design approach. Int. J. Pharm. 2020, 585, 119473. [Google Scholar] [CrossRef]
- Manteghi, R.; Pallagi, E.; Olajos, G.; Csoka, I. Pegylation and formulation strategy of Anti-Microbial Peptide (AMP) according to the quality by design approach. Eur. J. Pharm. Sci. Off. J. Eur. Fed. Pharm. Sci. 2020, 144, 105197. [Google Scholar] [CrossRef]
- Ekins, S.; Mestres, J.; Testa, B. In silico pharmacology for drug discovery: Methods for virtual ligand screening and profiling. Br. J. Pharmacol. 2007, 152, 9–20. [Google Scholar] [CrossRef]
- Colquitt, R.B.; Colquhoun, D.A.; Thiele, R.H. In silico modelling of physiologic systems. Best Pract. Res. Clin. Anaesthesiol. 2011, 25, 499–510. [Google Scholar] [CrossRef]
- Oyama, L.B.; Olleik, H.; Teixeira, A.C.N.; Guidini, M.M.; Pickup, J.A.; Hui, B.Y.P.; Vidal, N.; Cookson, A.R.; Vallin, H.; Wilkinson, T.; et al. In silico identification of two peptides with antibacterial activity against multidrug-resistant Staphylococcus aureus. Npj Biofilms Microbiomes 2022, 8, 58. [Google Scholar] [CrossRef]
- Masalha, M.; Rayan, M.; Adawi, A.; Abdallah, Z.; Rayan, A. Capturing antibacterial natural products with in silico techniques. Mol. Med. Rep. 2018, 18, 763–770. [Google Scholar] [CrossRef]
- Alhadrami, H.A.; Abdulaal, W.H.; Hassan, H.M.; Alhakamy, N.A.; Sayed, A.M. In Silico-Based Discovery of Natural Anthraquinones with Potential against Multidrug-Resistant E. coli. Pharmaceuticals 2022, 15, 86. [Google Scholar] [CrossRef]
- Ali, H.M. In-silico investigation of a novel inhibitors against the antibiotic-resistant Neisseria gonorrhoeae bacteria. Saudi J. Biol. Sci. 2022, 29, 103424. [Google Scholar] [CrossRef]
- Speck-Planche, A.; Cordeiro, M.N. Multitasking models for quantitative structure-biological effect relationships: Current status and future perspectives to speed up drug discovery. Expert Opin. Drug Discov. 2015, 10, 245–256. [Google Scholar] [CrossRef]
- Qureshi, K.A.; Imtiaz, M.; Parvez, A.; Rai, P.K.; Jaremko, M.; Emwas, A.H.; Bholay, A.D.; Fatmi, M.Q. In Vitro and In Silico Approaches for the Evaluation of Antimicrobial Activity, Time-Kill Kinetics, and Anti-Biofilm Potential of Thymoquinone (2-Methyl-5-propan-2-ylcyclohexa-2,5-diene-1,4-dione) against Selected Human Pathogens. Antibiotics 2022, 11, 79. [Google Scholar] [CrossRef]
- Muller, E.; Hotzel, H.; Linde, J.; Hanel, I.; Tomaso, H. Antimicrobial Resistance and in silico Virulence Profiling of Aliarcobacter butzleri Strains From German Water Poultry. Front. Microbiol. 2020, 11, 617685. [Google Scholar] [CrossRef] [PubMed]
- Sabbah, M.; Mendes, V.; Vistal, R.G.; Dias, D.M.G.; Zahorszka, M.; Mikusova, K.; Kordulakova, J.; Coyne, A.G.; Blundell, T.L.; Abell, C. Fragment-Based Design of Mycobacterium tuberculosis InhA Inhibitors. J. Med. Chem. 2020, 63, 4749–4761. [Google Scholar] [CrossRef] [PubMed]
- Gutschow, M.; Eynde, J.J.V.; Jampilek, J.; Kang, C.; Mangoni, A.A.; Fossa, P.; Karaman, R.; Trabocchi, A.; Scott, P.J.H.; Reynisson, J.; et al. Breakthroughs in Medicinal Chemistry: New Targets and Mechanisms, New Drugs, New Hopes-7. Molecules 2020, 25, 2968. [Google Scholar] [CrossRef] [PubMed]
- Mallakuntla, M.K.; Togre, N.S.; Santos, D.B.; Tiwari, S. Implications of Fragment-Based Drug Discovery in Tuberculosis and HIV. Pharmaceuticals 2022, 15, 1415. [Google Scholar] [CrossRef]
- Manina, G.; Pasca, M.R.; Buroni, S.; De Rossi, E.; Riccardi, G. Decaprenylphosphoryl-beta-D-ribose 2’-epimerase from Mycobacterium tuberculosis is a magic drug target. Curr. Med. Chem. 2010, 17, 3099–3108. [Google Scholar] [CrossRef]
- Borthwick, J.A.; Alemparte, C.; Wall, I.; Whitehurst, B.C.; Argyrou, A.; Burley, G.; de Dios-Anton, P.; Guijarro, L.; Monteiro, M.C.; Ortega, F.; et al. Mycobacterium tuberculosis Decaprenylphosphoryl-beta-d-ribose Oxidase Inhibitors: Expeditious Reconstruction of Suboptimal Hits into a Series with Potent in Vivo Activity. J. Med. Chem. 2020, 63, 2557–2576. [Google Scholar] [CrossRef]
- Kapilashrami, K.; Bommineni, G.R.; Machutta, C.A.; Kim, P.; Lai, C.T.; Simmerling, C.; Picart, F.; Tonge, P.J. Thiolactomycin-based beta-ketoacyl-AcpM synthase A (KasA) inhibitors: Fragment-based inhibitor discovery using transient one-dimensional nuclear overhauser effect NMR spectroscopy. J. Biol. Chem. 2013, 288, 6045–6052. [Google Scholar] [CrossRef]
- Villemagne, B.; Flipo, M.; Blondiaux, N.; Crauste, C.; Malaquin, S.; Leroux, F.; Piveteau, C.; Villeret, V.; Brodin, P.; Villoutreix, B.O.; et al. Ligand efficiency driven design of new inhibitors of Mycobacterium tuberculosis transcriptional repressor EthR using fragment growing, merging, and linking approaches. J. Med. Chem. 2014, 57, 4876–4888. [Google Scholar] [CrossRef]
- Scheich, C.; Puetter, V.; Schade, M. Novel small molecule inhibitors of MDR Mycobacterium tuberculosis by NMR fragment screening of antigen 85C. J. Med. Chem. 2010, 53, 8362–8367. [Google Scholar] [CrossRef]
- Mendes, V.; Blundell, T.L. Targeting tuberculosis using structure-guided fragment-based drug design. Drug Discov. Today 2017, 22, 546–554. [Google Scholar] [CrossRef]
- Dai, R.; Wilson, D.J.; Geders, T.W.; Aldrich, C.C.; Finzel, B.C. Inhibition of Mycobacterium tuberculosis transaminase BioA by aryl hydrazines and hydrazides. Chembiochem A Eur. J. Chem. Biol. 2014, 15, 575–586. [Google Scholar] [CrossRef]
- Gupta, P.; Thomas, S.E.; Zaidan, S.A.; Pasillas, M.A.; Cory-Wright, J.; Sebastian-Perez, V.; Burgess, A.; Cattermole, E.; Meghir, C.; Abell, C.; et al. A fragment-based approach to assess the ligandability of ArgB, ArgC, ArgD and ArgF in the L-arginine biosynthetic pathway of Mycobacterium tuberculosis. Comput. Struct. Biotechnol. J. 2021, 19, 3491–3506. [Google Scholar] [CrossRef]
- Whitehouse, A.J.; Libardo, M.D.J.; Kasbekar, M.; Brear, P.D.; Fischer, G.; Thomas, C.J.; Barry, C.E., 3rd; Boshoff, H.I.M.; Coyne, A.G.; Abell, C. Targeting of Fumarate Hydratase from Mycobacterium tuberculosis Using Allosteric Inhibitors with a Dimeric-Binding Mode. J. Med. Chem. 2019, 62, 10586–10604. [Google Scholar] [CrossRef]
- Kasbekar, M.; Fischer, G.; Mott, B.T.; Yasgar, A.; Hyvonen, M.; Boshoff, H.I.; Abell, C.; Barry, C.E., 3rd; Thomas, C.J. Selective small molecule inhibitor of the Mycobacterium tuberculosis fumarate hydratase reveals an allosteric regulatory site. Proc. Natl. Acad. Sci. USA 2016, 113, 7503–7508. [Google Scholar] [CrossRef]
- Lazzaro, B.P.; Zasloff, M.; Rolff, J. Antimicrobial peptides: Application informed by evolution. Science 2020, 368, eaau5480. [Google Scholar] [CrossRef]
- Wiesner, J.; Vilcinskas, A. Antimicrobial peptides: The ancient arm of the human immune system. Virulence 2010, 1, 440–464. [Google Scholar] [CrossRef]
- Graf, M.; Wilson, D.N. Intracellular Antimicrobial Peptides Targeting the Protein Synthesis Machinery. Adv. Exp. Med. Biol. 2019, 1117, 73–89. [Google Scholar] [CrossRef]
- Brogden, K.A. Antimicrobial peptides: Pore formers or metabolic inhibitors in bacteria? Nat. Rev. Microbiol. 2005, 3, 238–250. [Google Scholar] [CrossRef]
- Wang, K.; Dang, W.; Yan, J.; Chen, R.; Liu, X.; Yan, W.; Zhang, B.; Xie, J.; Zhang, J.; Wang, R. Membrane perturbation action mode and structure-activity relationships of Protonectin, a novel antimicrobial peptide from the venom of the neotropical social wasp Agelaia pallipes pallipes. Antimicrob. Agents Chemother. 2013, 57, 4632–4639. [Google Scholar] [CrossRef]
- Wang, K.; Yan, J.; Chen, R.; Dang, W.; Zhang, B.; Zhang, W.; Song, J.; Wang, R. Membrane-active action mode of polybia-CP, a novel antimicrobial peptide isolated from the venom of Polybia paulista. Antimicrob. Agents Chemother. 2012, 56, 3318–3323. [Google Scholar] [CrossRef]
- Campoccia, D.; Montanaro, L.; Ravaioli, S.; Mariani, V.; Bottau, G.; De Donno, A.; Arciola, C.R. Antibacterial Activity on Orthopedic Clinical Isolates and Cytotoxicity of the Antimicrobial Peptide Dadapin-1. Int. J. Mol. Sci. 2023, 24, 779. [Google Scholar] [CrossRef] [PubMed]
- Boullet, H.; Bentot, F.; Hequet, A.; Ganem-Elbaz, C.; Bechara, C.; Pacreau, E.; Launay, P.; Sagan, S.; Jolivalt, C.; Lacombe, C.; et al. Small AntiMicrobial Peptide With in Vivo Activity Against Sepsis. Molecules 2019, 24, 1702. [Google Scholar] [CrossRef] [PubMed]
- Mangoni, A.A.; Eynde, J.J.V.; Jampilek, J.; Hadjipavlou-Litina, D.; Liu, H.; Reynisson, J.; Sousa, M.E.; Gomes, P.A.C.; Prokai-Tatrai, K.; Tuccinardi, T.; et al. Breakthroughs in Medic inal Chemistry: New Targets and Mechanisms, New Drugs, New Hopes-5. Molecules 2019, 24, 130. [Google Scholar] [CrossRef]
- Matos, G.M.; Garcia-Teodoro, B.; Martins, C.P.; Schmitt, P.; Guzman, F.; de Freitas, A.C.O.; Stoco, P.H.; Ferreira, F.A.; Stadnik, M.J.; Robl, D.; et al. Antimicrobial Spectrum of Activity and Mechanism of Action of Linear Alpha-Helical Peptides Inspired by Shrimp Anti-Lipopolysaccharide Factors. Biomolecules 2023, 13, 150. [Google Scholar] [CrossRef] [PubMed]
- Zharkova, M.S.; Komlev, A.S.; Filatenkova, T.A.; Sukhareva, M.S.; Vladimirova, E.V.; Trulioff, A.S.; Orlov, D.S.; Dmitriev, A.V.; Afinogenova, A.G.; Spiridonova, A.A.; et al. Combined Use of Antimicrobial Peptides with Antiseptics against Multidrug-Resistant Bacteria: Pros and Cons. Pharmaceutics 2023, 15, 291. [Google Scholar] [CrossRef]
- Arakal, B.S.; Whitworth, D.E.; James, P.E.; Rowlands, R.; Madhusoodanan, N.P.T.; Baijoo, M.R.; Livingstone, P.G. In Silico and In Vitro Analyses Reveal Promising Antimicrobial Peptides from Myxobacteria. Probiotics Antimicrob. Proteins 2023, 15, 202–214. [Google Scholar] [CrossRef]
- Chen, Y.C.; Qiu, W.; Zhang, W.; Zhang, J.; Chen, R.; Chen, F.; Wang, K.J. A Novel Antimicrobial Peptide Sp-LECin with Broad-Spectrum Antimicrobial Activity and Anti-Pseudomonas aeruginosa Infection in Zebrafish. Int. J. Mol. Sci. 2022, 24, 267. [Google Scholar] [CrossRef]
- Angane, M.; Swift, S.; Huang, K.; Butts, C.A.; Quek, S.Y. Essential Oils and Their Major Components: An Updated Review on Antimicrobial Activities, Mechanism of Action and Their Potential Application in the Food Industry. Foods 2022, 11, 464. [Google Scholar] [CrossRef]
- Tofah, M.L.; Mseddi, K.; Al-Abbasi, O.K.; Ben Yazid, A.; Khechine, A.; Gdoura, R.; Khannous, L. A New Lavender (Lavandula multifida L.) Ecotype from Arid Tunisia, with Differential Essential Oil Composition and Higher Antimicrobial Potential. Life 2022, 13, 103. [Google Scholar] [CrossRef]
- Su, F.; Yang, G.; Hu, D.; Ruan, C.; Wang, J.; Zhang, Y.; Zhu, Q. Chemical Composition, Antibacterial and Antioxidant Activities of Essential Oil from Centipeda minima. Molecules 2023, 28, 824. [Google Scholar] [CrossRef]
- Alam, A.; Jawaid, T.; Alsanad, S.M.; Kamal, M.; Balaha, M.F. Composition, Antibacterial Efficacy, and Anticancer Activity of Essential Oil Extracted from Psidium guajava (L.) Leaves. Plants 2023, 12, 246. [Google Scholar] [CrossRef]
- Zhang, Z.; Zhao, Y.; Chen, X.; Li, W.; Wang, L.; Li, W.; Du, J.; Zhang, S. Effects of cinnamon essential oil on the physiological metabolism of Salmonella enteritidis. Front. Microbiol. 2022, 13, 1035894. [Google Scholar] [CrossRef]
- Tsai, C.S.; Winans, S.C. LuxR-type quorum-sensing regulators that are detached from common scents. Mol. Microbiol. 2010, 77, 1072–1082. [Google Scholar] [CrossRef]
- Stotani, S.; Gatta, V.; Medda, F.; Padmanaban, M.; Karawajczyk, A.; Tammela, P.; Giordanetto, F.; Tzalis, D.; Collina, S. A Versatile Strategy for the Synthesis of 4,5-Dihydroxy-2,3-Pentanedione (DPD) and Related Compounds as Potential Modulators of Bacterial Quorum Sensing. Molecules 2018, 23, 2545. [Google Scholar] [CrossRef]
- Kiran, M.D.; Adikesavan, N.V.; Cirioni, O.; Giacometti, A.; Silvestri, C.; Scalise, G.; Ghiselli, R.; Saba, V.; Orlando, F.; Shoham, M.; et al. Discovery of a quorum-sensing inhibitor of drug-resistant staphylococcal infections by structure-based virtual screening. Mol. Pharmacol. 2008, 73, 1578–1586. [Google Scholar] [CrossRef]
- Brackman, G.; Breyne, K.; De Rycke, R.; Vermote, A.; Van Nieuwerburgh, F.; Meyer, E.; Van Calenbergh, S.; Coenye, T. The Quorum Sensing Inhibitor Hamamelitannin Increases Antibiotic Susceptibility of Staphylococcus aureus Biofilms by Affecting Peptidoglycan Biosynthesis and eDNA Release. Sci. Rep. 2016, 6, 20321. [Google Scholar] [CrossRef]
- Vermote, A.; Brackman, G.; Risseeuw, M.D.; Vanhoutte, B.; Cos, P.; Van Hecke, K.; Breyne, K.; Meyer, E.; Coenye, T.; Van Calenbergh, S. Hamamelitannin Analogues that Modulate Quorum Sensing as Potentiators of Antibiotics against Staphylococcus aureus. Angew. Chem. 2016, 55, 6551–6555. [Google Scholar] [CrossRef]
- Ragab, A.; Fouad, S.A.; Ammar, Y.A.; Aboul-Magd, D.S.; Abusaif, M.S. Antibiofilm and Anti-Quorum-Sensing Activities of Novel Pyrazole and Pyrazolo[1,5-a]pyrimidine Derivatives as Carbonic Anhydrase I and II Inhibitors: Design, Synthesis, Radiosterilization, and Molecular Docking Studies. Antibiotics 2023, 12, 128. [Google Scholar] [CrossRef]
- Zhang, Y.; Dong, L.; Sun, L.; Hu, X.; Wang, X.; Nie, T.; Li, X.; Wang, P.; Pang, P.; Pang, J.; et al. ML364 exerts the broad-spectrum antivirulence effect by interfering with the bacterial quorum sensing system. Front. Microbiol. 2022, 13, 980217. [Google Scholar] [CrossRef]
- Hurtova, M.; Kanova, K.; Dobiasova, S.; Holasova, K.; Cakova, D.; Hoang, L.; Biedermann, D.; Kuzma, M.; Cvacka, J.; Kren, V.; et al. Selectively Halogenated Flavonolignans-Preparation and Antibacterial Activity. Int. J. Mol. Sci. 2022, 23, 15121. [Google Scholar] [CrossRef]
- Nimma, R.; Kumar, A.; Gani, Z.; Gahlawat, A.; Dilawari, R.; Rohilla, R.K.; Kumbhar, H.; Garg, P.; Chopra, S.; Raje, M.; et al. Characterization of the enzymatic and multifunctional properties of Acinetobacter baumannii erythrose-4-phosphate dehydrogenase (E4PDH). Microb. Pathog. 2023, 175, 105992. [Google Scholar] [CrossRef] [PubMed]
- Barra, A.L.C.; Dantas, L.O.C.; Morao, L.G.; Gutierrez, R.F.; Polikarpov, I.; Wrenger, C.; Nascimento, A.S. Essential Metabolic Routes as a Way to ESKAPE From Antibiotic Resistance. Front. Public Health 2020, 8, 26. [Google Scholar] [CrossRef] [PubMed]
- Kuranova, N.N.; Yarullin, D.N.; Zavalishin, M.N.; Gamov, G.A. Complexation of Gold(III) with Pyridoxal 5’-Phosphate-Derived Hydrazones in Aqueous Solution. Molecules 2022, 27, 7346. [Google Scholar] [CrossRef] [PubMed]
- Jevtovic, V.; Alshammari, N.; Latif, S.; Alsukaibi, A.K.D.; Humaidi, J.; Alanazi, T.Y.A.; Abdulaziz, F.; Matalka, S.I.; Pantelic, N.D.; Markovic, M.; et al. Synthesis, Crystal Structure, Theoretical Calculations, Antibacterial Activity, Electrochemical Behavior, and Molecular Docking of Ni(II) and Cu(II) Complexes with Pyridoxal-Semicarbazone. Molecules 2022, 27, 6322. [Google Scholar] [CrossRef] [PubMed]
- Scaccaglia, M.; Rega, M.; Vescovi, M.; Pinelli, S.; Tegoni, M.; Bacci, C.; Pelosi, G.; Bisceglie, F. Gallium(III)-pyridoxal thiosemicarbazone derivatives as nontoxic agents against Gram-negative bacteria. Met. Integr. Biometal Sci. 2022, 14, mfac070. [Google Scholar] [CrossRef]
- Hobbs, Z.; Abedon, S.T. Diversity of phage infection types and associated terminology: The problem with ‘Lytic or lysogenic’. Fems Microbiol. Lett. 2016, 363, fnw047. [Google Scholar] [CrossRef]
- Viertel, T.M.; Ritter, K.; Horz, H.P. Viruses versus bacteria-novel approaches to phage therapy as a tool against multidrug-resistant pathogens. J. Antimicrob. Chemother. 2014, 69, 2326–2336. [Google Scholar] [CrossRef]
- Alexyuk, P.; Bogoyavlenskiy, A.; Alexyuk, M.; Akanova, K.; Moldakhanov, Y.; Berezin, V. Isolation and Characterization of Lytic Bacteriophages Active against Clinical Strains of E. coli and Development of a Phage Antimicrobial Cocktail. Viruses 2022, 14, 2381. [Google Scholar] [CrossRef]
- Egido, J.E.; Toner-Bartelds, C.; Costa, A.R.; Brouns, S.J.J.; Rooijakkers, S.H.M.; Bardoel, B.W.; Haas, P.J. Monitoring phage-induced lysis of gram-negatives in real time using a fluorescent DNA dye. Sci. Rep. 2023, 13, 856. [Google Scholar] [CrossRef]
- Berdy, J. Bioactive microbial metabolites. J. Antibiot. 2005, 58, 1–26. [Google Scholar] [CrossRef]
- Pantel, L.; Florin, T.; Dobosz-Bartoszek, M.; Racine, E.; Sarciaux, M.; Serri, M.; Houard, J.; Campagne, J.M.; de Figueiredo, R.M.; Midrier, C.; et al. Odilorhabdins, Antibacterial Agents that Cause Miscoding by Binding at a New Ribosomal Site. Mol. Cell 2018, 70, 83–94.e87. [Google Scholar] [CrossRef]
- Mangoni, A.A.; Guillou, C.; Vanden Eynde, J.J.; Hulme, C.; Jampilek, J.; Li, W.; Prokai-Tatrai, K.; Rautio, J.; Collina, S.; Tuccinardi, T.; et al. Breakthroughs in Medicinal Chemistry: New Targets and Mechanisms, New Drugs, New Hopes(-)4. Molecules 2018, 24, 130. [Google Scholar] [CrossRef]
- Racine, E.; Nordmann, P.; Pantel, L.; Sarciaux, M.; Serri, M.; Houard, J.; Villain-Guillot, P.; Demords, A.; Vingsbo Lundberg, C.; Gualtieri, M. In Vitro and In Vivo Characterization of NOSO-502, a Novel Inhibitor of Bacterial Translation. Antimicrob. Agents Chemother. 2018, 62, e01016-18. [Google Scholar] [CrossRef]
- Pantel, L.; Guerin, F.; Serri, M.; Gravey, F.; Houard, J.; Maurent, K.; Attwood, M.; Noel, A.; MacGowan, A.; Racine, E.; et al. Exploring Cluster-Dependent Antibacterial Activities and Resistance Pathways of NOSO-502 and Colistin against Enterobacter cloacae Complex Species. Antimicrob. Agents Chemother. 2022, 66, e0077622. [Google Scholar] [CrossRef]
- Pastorino, G.; Cornara, L.; Soares, S.; Rodrigues, F.; Oliveira, M. Liquorice (Glycyrrhiza glabra): A phytochemical and pharmacological review. Phytother. Res. Ptr 2018, 32, 2323–2339. [Google Scholar] [CrossRef]
- Zhao, Y.; Su, X. Antibacterial activity of 18beta-glycyrrhetinic acid against Neisseria gonorrhoeae in vitro. Biochem. Biophys. Rep. 2023, 33, 101427. [Google Scholar] [CrossRef]
- Vanden Eynde, J.J.; Mangoni, A.A.; Rautio, J.; Leprince, J.; Azuma, Y.T.; Garcia-Sosa, A.T.; Hulme, C.; Jampilek, J.; Karaman, R.; Li, W.; et al. Breakthroughs in Medicinal Chemistry: New Targets and Mechanisms, New Drugs, New Hopes-6. Molecules 2019, 25, 119. [Google Scholar] [CrossRef]
- Imai, Y.; Meyer, K.J.; Iinishi, A.; Favre-Godal, Q.; Green, R.; Manuse, S.; Caboni, M.; Mori, M.; Niles, S.; Ghiglieri, M.; et al. A new antibiotic selectively kills Gram-negative pathogens. Nature 2019, 576, 459–464. [Google Scholar] [CrossRef]
- Wuisan, Z.G.; Kresna, I.D.M.; Bohringer, N.; Lewis, K.; Schaberle, T.F. Optimization of heterologous Darobactin A expression and identification of the minimal biosynthetic gene cluster. Metab. Eng. 2021, 66, 123–136. [Google Scholar] [CrossRef]
- Bohringer, N.; Green, R.; Liu, Y.; Mettal, U.; Marner, M.; Modaresi, S.M.; Jakob, R.P.; Wuisan, Z.G.; Maier, T.; Iinishi, A.; et al. Mutasynthetic Production and Antimicrobial Characterization of Darobactin Analogs. Microbiol. Spectr. 2021, 9, e0153521. [Google Scholar] [CrossRef]
- Seyfert, C.E.; Porten, C.; Yuan, B.; Deckarm, S.; Panter, F.; Bader, C.D.; Coetzee, J.; Deschner, F.; Tehrani, K.; Higgins, P.G.; et al. Darobactins Exhibiting Superior Antibiotic Activity by Cryo-EM Structure Guided Biosynthetic Engineering. Angew. Chem. 2023, 62, e202214094. [Google Scholar] [CrossRef] [PubMed]
- Luther, A.; Urfer, M.; Zahn, M.; Muller, M.; Wang, S.Y.; Mondal, M.; Vitale, A.; Hartmann, J.B.; Sharpe, T.; Monte, F.L.; et al. Chimeric peptidomimetic antibiotics against Gram-negative bacteria. Nature 2019, 576, 452–458. [Google Scholar] [CrossRef] [PubMed]
- Hart, E.M.; Mitchell, A.M.; Konovalova, A.; Grabowicz, M.; Sheng, J.; Han, X.; Rodriguez-Rivera, F.P.; Schwaid, A.G.; Malinverni, J.C.; Balibar, C.J.; et al. A small-molecule inhibitor of BamA impervious to efflux and the outer membrane permeability barrier. Proc. Natl. Acad. Sci. USA 2019, 116, 21748–21757. [Google Scholar] [CrossRef]
- Peterson, J.H.; Doyle, M.T.; Bernstein, H.D. Small Molecule Antibiotics Inhibit Distinct Stages of Bacterial Outer Membrane Protein Assembly. mBio 2022, 13, e0228622. [Google Scholar] [CrossRef] [PubMed]
- Breijyeh, Z.; Jubeh, B.; Bufo, S.A.; Karaman, R.; Scrano, L. Cannabis: A Toxin-Producing Plant with Potential Therapeutic Uses. Toxins 2021, 13, 117. [Google Scholar] [CrossRef]
- Blaskovich, M.A.T.; Kavanagh, A.M.; Elliott, A.G.; Zhang, B.; Ramu, S.; Amado, M.; Lowe, G.J.; Hinton, A.O.; Pham, D.M.T.; Zuegg, J.; et al. The antimicrobial potential of cannabidiol. Commun. Biol. 2021, 4, 7. [Google Scholar] [CrossRef]
- Kosgodage, U.S.; Matewele, P.; Awamaria, B.; Kraev, I.; Warde, P.; Mastroianni, G.; Nunn, A.V.; Guy, G.W.; Bell, J.D.; Inal, J.M.; et al. Cannabidiol Is a Novel Modulator of Bacterial Membrane Vesicles. Front. Cell. Infect. Microbiol. 2019, 9, 324. [Google Scholar] [CrossRef]
- Luz-Veiga, M.; Amorim, M.; Pinto-Ribeiro, I.; Oliveira, A.L.S.; Silva, S.; Pimentel, L.L.; Rodriguez-Alcala, L.M.; Madureira, R.; Pintado, M.; Azevedo-Silva, J.; et al. Cannabidiol and Cannabigerol Exert Antimicrobial Activity without Compromising Skin Microbiota. Int. J. Mol. Sci. 2023, 24, 2389. [Google Scholar] [CrossRef]
- Wu, Q.; Guo, M.; Zou, L.; Wang, Q.; Xia, Y. 8,9-Dihydrocannabidiol, an Alternative of Cannabidiol, Its Preparation, Antibacterial and Antioxidant Ability. Molecules 2023, 28, 445. [Google Scholar] [CrossRef]
- Gildea, L.; Ayariga, J.A.; Xu, J.; Villafane, R.; Robertson, B.K.; Samuel-Foo, M.; Ajayi, O.S. Cannabis sativa CBD Extract Exhibits Synergy with Broad-Spectrum Antibiotics against Salmonella enterica subsp. Enterica serovar typhimurium. Microorganisms 2022, 10, 2360. [Google Scholar] [CrossRef]
- Ma, Y.; Wang, Y.R.; He, Y.H.; Ding, Y.Y.; An, J.X.; Zhang, Z.J.; Zhao, W.B.; Hu, Y.M.; Liu, Y.Q. Drug repurposing strategy part 1: From approved drugs to agri-bactericides leads. J. Antibiot. 2023, 76, 27–51. [Google Scholar] [CrossRef]
- Tobinick, E.L. The value of drug repositioning in the current pharmaceutical market. Drug News Perspect. 2009, 22, 119–125. [Google Scholar] [CrossRef]
- Boyd, N.K.; Teng, C.; Frei, C.R. Brief Overview of Approaches and Challenges in New Antibiotic Development: A Focus On Drug Repurposing. Front. Cell. Infect. Microbiol. 2021, 11, 684515. [Google Scholar] [CrossRef]
- Roundtable on Translating Genomic-Based Research for Health; Board on Health Sciences Policy; Institute of Medicine. Drug Repurposing and Repositioning: Workshop Summary; National Academies Press: Washington, DC, USA, 2014. [Google Scholar]
- Konreddy, A.K.; Rani, G.U.; Lee, K.; Choi, Y. Recent Drug-Repurposing-Driven Advances in the Discovery of Novel Antibiotics. Curr. Med. Chem. 2019, 26, 5363–5388. [Google Scholar] [CrossRef]
- Springthorpe, B.; Bailey, A.; Barton, P.; Birkinshaw, T.N.; Bonnert, R.V.; Brown, R.C.; Chapman, D.; Dixon, J.; Guile, S.D.; Humphries, R.G.; et al. From ATP to AZD6140: The discovery of an orally active reversible P2Y12 receptor antagonist for the prevention of thrombosis. Bioorg Med. Chem. Lett. 2007, 17, 6013–6018. [Google Scholar] [CrossRef]
- Wallentin, L.; Becker, R.C.; Budaj, A.; Cannon, C.P.; Emanuelsson, H.; Held, C.; Horrow, J.; Husted, S.; James, S.; Katus, H.; et al. Ticagrelor versus clopidogrel in patients with acute coronary syndromes. N. Engl. J. Med. 2009, 361, 1045–1057. [Google Scholar] [CrossRef]
- Sexton, T.R.; Zhang, G.; Macaulay, T.E.; Callahan, L.A.; Charnigo, R.; Vsevolozhskaya, O.A.; Li, Z.; Smyth, S. Ticagrelor Reduces Thromboinflammatory Markers in Patients With Pneumonia. Jacc. Basic Transl. Sci. 2018, 3, 435–449. [Google Scholar] [CrossRef]
- Lancellotti, P.; Musumeci, L.; Jacques, N.; Servais, L.; Goffin, E.; Pirotte, B.; Oury, C. Antibacterial Activity of Ticagrelor in Conventional Antiplatelet Dosages Against Antibiotic-Resistant Gram-Positive Bacteria. Jama Cardiol. 2019, 4, 596–599. [Google Scholar] [CrossRef]
- Teng, R.; Oliver, S.; Hayes, M.A.; Butler, K. Absorption, distribution, metabolism, and excretion of ticagrelor in healthy subjects. Drug Metab. Dispos. Biol. Fate Chem. 2010, 38, 1514–1521. [Google Scholar] [CrossRef]
- Pant, N.; Miranda-Hernandez, S.; Rush, C.; Warner, J.; Eisen, D.P. Non-Antimicrobial Adjuvant Therapy Using Ticagrelor Reduced Biofilm-Related Staphylococcus aureus Prosthetic Joint Infection. Front. Pharmacol. 2022, 13, 927783. [Google Scholar] [CrossRef]
- Phanchana, M.; Phetruen, T.; Harnvoravongchai, P.; Raksat, P.; Ounjai, P.; Chankhamhaengdecha, S.; Janvilisri, T. Repurposing a platelet aggregation inhibitor ticagrelor as an antimicrobial against Clostridioides difficile. Sci. Rep. 2020, 10, 6497. [Google Scholar] [CrossRef] [PubMed]
- Bradner, W.T. Mitomycin C: A clinical update. Cancer Treat. Rev. 2001, 27, 35–50. [Google Scholar] [CrossRef] [PubMed]
- Kwan, B.W.; Chowdhury, N.; Wood, T.K. Combatting bacterial infections by killing persister cells with mitomycin C. Environ. Microbiol. 2015, 17, 4406–4414. [Google Scholar] [CrossRef] [PubMed]
- Cruz-Muniz, M.Y.; Lopez-Jacome, L.E.; Hernandez-Duran, M.; Franco-Cendejas, R.; Licona-Limon, P.; Ramos-Balderas, J.L.; Martinez-Vazquez, M.; Belmont-Diaz, J.A.; Wood, T.K.; Garcia-Contreras, R. Repurposing the anticancer drug mitomycin C for the treatment of persistent Acinetobacter baumannii infections. Int. J. Antimicrob. Agents 2017, 49, 88–92. [Google Scholar] [CrossRef] [PubMed]
- Pacios, O.; Fernandez-Garcia, L.; Bleriot, I.; Blasco, L.; Gonzalez-Bardanca, M.; Lopez, M.; Fernandez-Cuenca, F.; Oteo, J.; Pascual, A.; Martinez-Martinez, L.; et al. Enhanced Antibacterial Activity of Repurposed Mitomycin C and Imipenem in Combination with the Lytic Phage vB_KpnM-VAC13 against Clinical Isolates of Klebsiella pneumoniae. Antimicrob. Agents Chemother. 2021, 65, e0090021. [Google Scholar] [CrossRef]
- Roder, C.; Thomson, M.J. Auranofin: Repurposing an old drug for a golden new age. Drugs RD 2015, 15, 13–20. [Google Scholar] [CrossRef]
- She, P.; Zhou, L.; Li, S.; Liu, Y.; Xu, L.; Chen, L.; Luo, Z.; Wu, Y. Synergistic Microbicidal Effect of Auranofin and Antibiotics Against Planktonic and Biofilm-Encased S. aureus and E. faecalis. Front. Microbiol. 2019, 10, 2453. [Google Scholar] [CrossRef]
- Kim, H.R.; Eom, Y.B. Auranofin promotes antibacterial effect of doripenem against carbapenem-resistant Acinetobacter baumannii. J. Appl. Microbiol. 2022, 133, 1422–1433. [Google Scholar] [CrossRef]
- Chen, H.; Yang, N.; Yu, L.; Li, J.; Zhang, H.; Zheng, Y.; Xu, M.; Liu, Y.; Yang, Y.; Li, J. Synergistic Microbicidal Effect of AUR and PEITC Against Staphylococcus aureus Skin Infection. Front. Cell. Infect. Microbiol. 2022, 12, 927289. [Google Scholar] [CrossRef]
- Hutton, M.L.; Pehlivanoglu, H.; Vidor, C.J.; James, M.L.; Thomson, M.J.; Lyras, D. Repurposing auranofin as a Clostridioides difficile therapeutic. J. Antimicrob. Chemother. 2020, 75, 409–417. [Google Scholar] [CrossRef]
- Huang, T.L.; Mayence, A.; Vanden Eynde, J.J. Some non-conventional biomolecular targets for diamidines. A short survey. Bioorganic Med. Chem. 2014, 22, 1983–1992. [Google Scholar] [CrossRef]
- Stokes, J.M.; MacNair, C.R.; Ilyas, B.; French, S.; Cote, J.P.; Bouwman, C.; Farha, M.A.; Sieron, A.O.; Whitfield, C.; Coombes, B.K.; et al. Pentamidine sensitizes Gram-negative pathogens to antibiotics and overcomes acquired colistin resistance. Nat. Microbiol. 2017, 2, 17028. [Google Scholar] [CrossRef]
- Munoz-Torrero, D.; Mangoni, A.A.; Guillou, C.; Collina, S.; Vanden Eynde, J.J.; Rautio, J.; Keseru, G.M.; Hulme, C.; Chibale, K.; Luque, F.J.; et al. Breakthroughs in Medicinal Chemistry: New Targets and Mechanisms, New Drugs, New Hopes. Molecules 2017, 22, 743. [Google Scholar] [CrossRef]
- Yu, Y.; Zhao, H.; Lin, J.; Li, Z.; Tian, G.; Yang, Y.Y.; Yuan, P.; Ding, X. Repurposing Non-Antibiotic Drugs Auranofin and Pentamidine in Combination to Combat Multidrug-Resistant Gram-Negative Bacteria. Int. J. Antimicrob. Agents 2022, 59, 106582. [Google Scholar] [CrossRef]
- Mitsuya, H.; Weinhold, K.J.; Furman, P.A.; St Clair, M.H.; Lehrman, S.N.; Gallo, R.C.; Bolognesi, D.; Barry, D.W.; Broder, S. 3’-Azido-3’-deoxythymidine (BW A509U): An antiviral agent that inhibits the infectivity and cytopathic effect of human T-lymphotropic virus type III/lymphadenopathy-associated virus in vitro. Proc. Natl. Acad. Sci. USA 1985, 82, 7096–7100. [Google Scholar] [CrossRef]
- Furman, P.A.; Fyfe, J.A.; St Clair, M.H.; Weinhold, K.; Rideout, J.L.; Freeman, G.A.; Lehrman, S.N.; Bolognesi, D.P.; Broder, S.; Mitsuya, H. Phosphorylation of 3’-azido-3’-deoxythymidine and selective interaction of the 5'-triphosphate with human immunodeficiency virus reverse transcriptase. Proc. Natl. Acad. Sci. USA 1986, 83, 8333–8337. [Google Scholar] [CrossRef]
- Doleans-Jordheim, A.; Bergeron, E.; Bereyziat, F.; Ben-Larbi, S.; Dumitrescu, O.; Mazoyer, M.A.; Morfin, F.; Dumontet, C.; Freney, J.; Jordheim, L.P. Zidovudine (AZT) has a bactericidal effect on enterobacteria and induces genetic modifications in resistant strains. Eur. J. Clin. Microbiol. Infect. Dis. Off. Publ. Eur. Soc. Clin. Microbiol. 2011, 30, 1249–1256. [Google Scholar] [CrossRef]
- Beach, J.W. Chemotherapeutic agents for human immunodeficiency virus infection: Mechanism of action, pharmacokinetics, metabolism, and adverse reactions. Clin. Ther. 1998, 20, 2–25. [Google Scholar] [CrossRef]
- Elwell, L.P.; Ferone, R.; Freeman, G.A.; Fyfe, J.A.; Hill, J.A.; Ray, P.H.; Richards, C.A.; Singer, S.C.; Knick, V.B.; Rideout, J.L.; et al. Antibacterial activity and mechanism of action of 3’-azido-3’-deoxythymidine (BW A509U). Antimicrob. Agents Chemother. 1987, 31, 274–280. [Google Scholar] [CrossRef]
- Lewin, C.S.; Amyes, S.G. Conditions required for the antibacterial activity of zidovudine. Eur. J. Clin. Microbiol. Infect. Dis. Off. Publ. Eur. Soc. Clin. Microbiol. 1989, 8, 737–741. [Google Scholar] [CrossRef]
- Ng, S.M.S.; Sioson, J.S.P.; Yap, J.M.; Ng, F.M.; Ching, H.S.V.; Teo, J.W.P.; Jureen, R.; Hill, J.; Chia, C.S.B. Repurposing Zidovudine in combination with Tigecycline for treating carbapenem-resistant Enterobacteriaceae infections. Eur. J. Clin. Microbiol. Infect. Dis. Off. Publ. Eur. Soc. Clin. Microbiol. 2018, 37, 141–148. [Google Scholar] [CrossRef] [PubMed]
- Mazur, M.; Maslowiec, D. Antimicrobial Activity of Lactones. Antibiotics 2022, 11. [Google Scholar] [CrossRef] [PubMed]
- Mazur, M.; Gladkowski, W.; Podkowik, M.; Bania, J.; Nawrot, J.; Bialonska, A.; Wawrzenczyk, C. Lactones 43. New biologically active lactones: Beta-cyclocitral derivatives. Pest Manag. Sci. 2014, 70, 286–294. [Google Scholar] [CrossRef]
- Mazur, M.; Gladkowski, W.; Srcek, V.G.; Radosevic, K.; Maciejewska, G.; Wawrzenczyk, C. Regio- and enantioselective microbial hydroxylation and evaluation of cytotoxic activity of beta-cyclocitral-derived halolactones. PLoS ONE 2017, 12, e0183429. [Google Scholar] [CrossRef] [PubMed]
- Mazur, M.; Skrobiszewski, A.; Gladkowski, W.; Podkowik, M.; Bania, J.; Nawrot, J.; Klejdysz, T.; Wawrzenczyk, C. Lactones 46. Synthesis, antifeedant and antibacterial activity of gamma-lactones with a p-methoxyphenyl substituent. Pest Manag. Sci. 2016, 72, 489–496. [Google Scholar] [CrossRef] [PubMed]
- Gladkowski, W.; Siepka, M.; Janeczko, T.; Kostrzewa-Suslow, E.; Poplonski, J.; Mazur, M.; Zarowska, B.; Laba, W.; Maciejewska, G.; Wawrzenczyk, C. Synthesis and Antimicrobial Activity of Methoxy- Substituted gamma-Oxa-epsilon-lactones Derived from Flavanones. Molecules 2019, 24, 4151. [Google Scholar] [CrossRef]
- Flamm, R.K.; Rhomberg, P.R.; Sader, H.S. In Vitro Activity of the Novel Lactone Ketolide Nafithromycin (WCK 4873) against Contemporary Clinical Bacteria from a Global Surveillance Program. Antimicrob. Agents Chemother. 2017, 61, e01230-17. [Google Scholar] [CrossRef]
- Iwanowski, P.; Bhatia, A.; Gupta, M.; Patel, A.; Chavan, R.; Yeole, R.; Friedland, D. Safety, tolerability and pharmacokinetics of oral nafithromycin (WCK4873) after single or multiple doses and effects of food on single-dose bioavailability in healthy adult subjects. Antimicrob. Agents Chemother. 2019, 63, e01253-19. [Google Scholar] [CrossRef]
- Dupont, C.; Chen, Y.; Xu, Z.; Roquet-Baneres, F.; Blaise, M.; Witt, A.K.; Dubar, F.; Biot, C.; Guerardel, Y.; Maurer, F.P.; et al. A piperidinol-containing molecule is active against Mycobacterium tuberculosis by inhibiting the mycolic acid flippase activity of MmpL3. J. Biol. Chem. 2019, 294, 17512–17523. [Google Scholar] [CrossRef]
- de Ruyck, J.; Dupont, C.; Lamy, E.; Le Moigne, V.; Biot, C.; Guerardel, Y.; Herrmann, J.L.; Blaise, M.; Grassin-Delyle, S.; Kremer, L.; et al. Structure-Based Design and Synthesis of Piperidinol-Containing Molecules as New Mycobacterium abscessus Inhibitors. ChemistryOpen 2020, 9, 351–365. [Google Scholar] [CrossRef]
- Islam, M.; Arifuzzaman, A.; Rahman, M.; Rahman, M.A.; Kawsar, S.M.A.K. Novel methyl 4,6-O-benzylidene-α-D-glucopyranoside derivatives: Synthesis, structural characterization and evaluation of antibacterial activities. Hacettepe J. Biol. Chem. 2019, 47, 153–164. [Google Scholar] [CrossRef]
- Kawsar, S.M.; Faruk, M.O.; Rahman, M.S.; Fujii, Y.; Ozeki, Y. Regioselective synthesis, characterization, and antimicrobial activities of some new monosaccharide derivatives. Sci. Pharm. 2014, 82, 1–20. [Google Scholar] [CrossRef] [PubMed]
- Ahmmed, F.; Islam, A.U.; Mukhrish, Y.E.; Bakri, Y.E.; Ahmad, S.; Ozeki, Y.; Kawsar, S.M.A. Efficient Antibacterial/Antifungal Activities: Synthesis, Molecular Docking, Molecular Dynamics, Pharmacokinetic, and Binding Free Energy of Galactopyranoside Derivatives. Molecules 2022, 28, 219. [Google Scholar] [CrossRef]
- Dias, F.R.F.; Novais, J.S.; Devillart, T.; da Silva, W.A.; Ferreira, M.O.; Loureiro, R.S.; Campos, V.R.; Ferreira, V.F.; de Souza, M.; Castro, H.C.; et al. Synthesis and antimicrobial evaluation of amino sugar-based naphthoquinones and isoquinoline-5,8-diones and their halogenated compounds. Eur. J. Med. Chem. 2018, 156, 1–12. [Google Scholar] [CrossRef]
- Dias, C.; Pais, J.P.; Nunes, R.; Blazquez-Sanchez, M.T.; Marques, J.T.; Almeida, A.F.; Serra, P.; Xavier, N.M.; Vila-Vicosa, D.; Machuqueiro, M.; et al. Sugar-based bactericides targeting phosphatidylethanolamine-enriched membranes. Nat. Commun. 2018, 9, 4857. [Google Scholar] [CrossRef]
- Puerto, A.S.; Fernandez, J.G.; del Castillo Jde, D.; Pino, M.J.; Angulo, G.P. In vitro activity of beta-lactam and non-beta-lactam antibiotics in extended-spectrum beta-lactamase-producing clinical isolates of Escherichia coli. Diagn. Microbiol. Infect. Dis. 2006, 54, 135–139. [Google Scholar] [CrossRef] [PubMed]
- Ahmad, A.; Ahmad, A.; Varshney, H.; Rauf, A.; Rehan, M.; Subbarao, N.; Khan, A.U. Designing and synthesis of novel antimicrobial heterocyclic analogs of fatty acids. Eur. J. Med. Chem. 2013, 70, 887–900. [Google Scholar] [CrossRef]
- Aarjane, M.; Slassi, S.; Tazi, B.; Amine, A. Synthesis and biological evaluation of novel isoxazole derivatives from acridone. Arch. Der Pharm. 2020, 354, e2000261. [Google Scholar] [CrossRef]
- Tipparaju, S.K.; Joyasawal, S.; Pieroni, M.; Kaiser, M.; Brun, R.; Kozikowski, A.P. In pursuit of natural product leads: Synthesis and biological evaluation of 2-[3-hydroxy-2-[(3-hydroxypyridine-2-carbonyl)amino]phenyl]benzoxazole-4-carboxylic acid (A-33853) and its analogues: Discovery of N-(2-benzoxazol-2-ylphenyl)benzamides as novel antileishmanial chemotypes. J. Med. Chem. 2008, 51, 7344–7347. [Google Scholar] [CrossRef]
- Bashir, M.; Bano, A.; Ijaz, A.S.; Chaudhary, B.A. Recent Developments and Biological Activities of N-Substituted Carbazole Derivatives: A Review. Molecules 2015, 20, 13496–13517. [Google Scholar] [CrossRef]
- Markad, S.B.; Argade, N.P. Diversity oriented convergent access for collective total synthesis of bioactive multifunctional carbazole alkaloids: Synthesis of carbazomycin A, carbazomycin B, hyellazole, chlorohyellazole, and clausenaline D. Org. Lett. 2014, 16, 5470–5473. [Google Scholar] [CrossRef]
- Addla, D.; Wen, S.-Q.; Gao, W.-W.; Maddili, S.K.; Zhang, L.; Zhou, C.-H. Design, synthesis, and biological evaluation of novel carbazole aminothiazoles as potential DNA-targeting antimicrobial agents. MedChemComm 2016, 7, 1988–1994. [Google Scholar] [CrossRef]
- Zhang, Y.; Tangadanchu, V.K.R.; Cheng, Y.; Yang, R.G.; Lin, J.M.; Zhou, C.H. Potential Antimicrobial Isopropanol-Conjugated Carbazole Azoles as Dual Targeting Inhibitors of Enterococcus faecalis. Acs Med. Chem. Lett. 2018, 9, 244–249. [Google Scholar] [CrossRef]
- Zhang, F.F.; Gan, L.L.; Zhou, C.H. Synthesis, antibacterial and antifungal activities of some carbazole derivatives. Bioorg. Med. Chem. Lett. 2010, 20, 1881–1884. [Google Scholar] [CrossRef]
- Xue, Y.J.; Li, M.Y.; Jin, X.J.; Zheng, C.J.; Piao, H.R. Design, synthesis and evaluation of carbazole derivatives as potential antimicrobial agents. J. Enzym. Inhib. Med. Chem. 2021, 36, 295–306. [Google Scholar] [CrossRef]
- Zhang, M.; Wang, Y.; Wang, S.; Wu, H. Synthesis and Biological Evaluation of Novel Pyrimidine Amine Derivatives Bearing Bicyclic Monoterpene Moieties. Molecules 2022, 27, 8104. [Google Scholar] [CrossRef]
- Li, C.; Liu, Y.; Ren, X.; Tan, Y.; Jin, L.; Zhou, X. Design, Synthesis and Bioactivity of Novel Pyrimidine Sulfonate Esters Containing Thioether Moiety. Int. J. Mol. Sci. 2023, 24, 4691. [Google Scholar] [CrossRef]
- Nakahara, Y.; Toda, T.; Matsunami, A.; Kayaki, Y.; Kuwata, S. Protic NNN and NCN Pincer-Type Ruthenium Complexes Featuring (Trifluoromethyl)pyrazole Arms: Synthesis and Application to Catalytic Hydrogen Evolution from Formic Acid. Chem. Asian J. 2018, 13, 73–80. [Google Scholar] [CrossRef]
- Karrouchi, K.; Radi, S.; Ramli, Y.; Taoufik, J.; Mabkhot, Y.N.; Al-Aizari, F.A.; Ansar, M. Synthesis and Pharmacological Activities of Pyrazole Derivatives: A Review. Molecules 2018, 23, 134. [Google Scholar] [CrossRef]
- Sayed, G.H.; Azab, M.E.; Anwer, K.E.; Raouf, M.A.; Negm, N.A. Pyrazole, pyrazolone and enaminonitrile pyrazole derivatives: Synthesis, characterization and potential in corrosion inhibition and antimicrobial applications. J. Mol. Liq. 2018, 252, 329–338. [Google Scholar] [CrossRef]
- Chkirate, K.; Fettach, S.; Karrouchi, K.; Sebbar, N.K.; Essassi, E.M.; Mague, J.T.; Radi, S.; El Abbes Faouzi, M.; Adarsh, N.N.; Garcia, Y. Novel Co(II) and Cu(II) coordination complexes constructed from pyrazole-acetamide: Effect of hydrogen bonding on the self assembly process and antioxidant activity. J. Inorg. Biochem. 2019, 191, 21–28. [Google Scholar] [CrossRef] [PubMed]
- Kulmaczewski, R.; Bamiduro, F.; Shahid, N.; Cespedes, O.; Halcrow, M.A. Structural Transformations and Spin-Crossover in [FeL(2) ](2+) Salts (L=4-tert-Butylsulfanyl-2,6-dipyrazol-1-ylpyridine): The Influence of Bulky Ligand Substituents. Chemistry 2021, 27, 2082–2092. [Google Scholar] [CrossRef] [PubMed]
- Lin, H.J.; Lutz, S.; O’Kane, C.; Zeller, M.; Chen, C.H.; Al Assil, T.; Lee, W.T. Synthesis and characterization of an iron complex bearing a hemilabile NNN-pincer for catalytic hydrosilylation of organic carbonyl compounds. Dalton Trans. 2018, 47, 3243–3247. [Google Scholar] [CrossRef] [PubMed]
- Draoui, Y.; Radi, S.; Tanan, A.; Oulmidi, A.; Miras, H.N.; Benabbes, R.; Ouahhoudo, S.; Mamri, S.; Rotaru, A.; Garcia, Y. Novel family of bis-pyrazole coordination complexes as potent antibacterial and antifungal agents. Rsc Adv. 2022, 12, 17755–17764. [Google Scholar] [CrossRef]
- Abula, A.; Xu, Z.; Zhu, Z.; Peng, C.; Chen, Z.; Zhu, W.; Aisa, H.A. Substitution Effect of the Trifluoromethyl Group on the Bioactivity in Medicinal Chemistry: Statistical Analysis and Energy Calculations. J. Chem. Inf. Modeling 2020, 60, 6242–6250. [Google Scholar] [CrossRef]
- Alkhaibari, I.; Kc, H.R.; Angappulige, D.H.; Gilmore, D.; Alam, M.A. Novel pyrazoles as potent growth inhibitors of staphylococci, enterococci and Acinetobacter baumannii bacteria. Future Med. Chem. 2022, 14, 233–244. [Google Scholar] [CrossRef]
- Breijyeh, Z.; Karaman, R. Enzyme Models-From Catalysis to Prodrugs. Molecules 2021, 26, 3248. [Google Scholar] [CrossRef]
- Jubeh, B.; Breijyeh, Z.; Karaman, R. Antibacterial Prodrugs to Overcome Bacterial Resistance. Molecules 2020, 25, 1543. [Google Scholar] [CrossRef]
- Mislin, G.L.; Schalk, I.J. Siderophore-dependent iron uptake systems as gates for antibiotic Trojan horse strategies against Pseudomonas aeruginosa. Met. Integr. Biometal Sci. 2014, 6, 408–420. [Google Scholar] [CrossRef]
- Wu, J.Y.; Srinivas, P.; Pogue, J.M. Cefiderocol: A Novel Agent for the Management of Multidrug-Resistant Gram-Negative Organisms. Infect. Dis. Ther. 2020, 9, 17–40. [Google Scholar] [CrossRef]
- Daoud, L.; Al-Marzooq, F.; Moubareck, C.A.; Ghazawi, A.; Collyns, T. Elucidating the effect of iron acquisition systems in Klebsiella pneumoniae on susceptibility to the novel siderophore-cephalosporin cefiderocol. PLoS ONE 2022, 17, e0277946. [Google Scholar] [CrossRef]
- Sato, T.; Yamawaki, K. Cefiderocol: Discovery, Chemistry, and In Vivo Profiles of a Novel Siderophore Cephalosporin. Clin. Infect. Dis. Off. Publ. Infect. Dis. Soc. Am. 2019, 69, S538–S543. [Google Scholar] [CrossRef]
- Hennigar, S.R.; McClung, J.P. Nutritional Immunity: Starving Pathogens of Trace Minerals. Am. J. Lifestyle Med. 2016, 10, 170–173. [Google Scholar] [CrossRef]
- Zheng, T.; Nolan, E.M. Enterobactin-mediated delivery of beta-lactam antibiotics enhances antibacterial activity against pathogenic Escherichia coli. J. Am. Chem. Soc. 2014, 136, 9677–9691. [Google Scholar] [CrossRef]
- Neumann, W.; Sassone-Corsi, M.; Raffatellu, M.; Nolan, E.M. Esterase-Catalyzed Siderophore Hydrolysis Activates an Enterobactin-Ciprofloxacin Conjugate and Confers Targeted Antibacterial Activity. J. Am. Chem. Soc. 2018, 140, 5193–5201. [Google Scholar] [CrossRef]
- Liu, R.; Miller, P.A.; Vakulenko, S.B.; Stewart, N.K.; Boggess, W.C.; Miller, M.J. A Synthetic Dual Drug Sideromycin Induces Gram-Negative Bacteria To Commit Suicide with a Gram-Positive Antibiotic. J. Med. Chem. 2018, 61, 3845–3854. [Google Scholar] [CrossRef]
- Loupias, P.; Dechamps-Olivier, I.; Dupont, L.; Vanlemmens, P.; Mullie, C.; Taudon, N.; Bouchut, A.; Dassonville-Klimpt, A.; Sonnet, P. Study of Iron Piperazine-Based Chelators as Potential Siderophore Mimetics. Pharmaceuticals 2019, 12, 160. [Google Scholar] [CrossRef]
- Southwell, J.W.; Herman, R.; Raines, D.J.; Clarke, J.E.; Boswald, I.; Dreher, T.; Gutenthaler, S.M.; Schubert, N.; Seefeldt, J.; Metzler-Nolte, N.; et al. Siderophore-Linked Ruthenium Catalysts for Targeted Allyl Ester Prodrug Activation within Bacterial Cells. Chemistry 2022, 29, e202202536. [Google Scholar] [CrossRef]
- Guo, C.; Nolan, E.M. Heavy-Metal Trojan Horse: Enterobactin-Directed Delivery of Platinum(IV) Prodrugs to Escherichia coli. J. Am. Chem. Soc. 2022, 144, 12756–12768. [Google Scholar] [CrossRef]
- Wang, J.; Huang, J.; Wu, Y.; Hai, L.; Wang, G. Design and Synthesis of Novel Thioether-linked Carbapenem-Oxazolidinone Hybrids as Potential Antimicrobial Agents. Lett. Org. Chem. 2008, 5, 336–341. [Google Scholar] [CrossRef]
- Sissi, C.; Palumbo, M. In front of and behind the replication fork: Bacterial type IIA topoisomerases. Cell. Mol. Life Sci. 2010, 67, 2001–2024. [Google Scholar] [CrossRef]
- Oblak, M.; Kotnik, M.; Solmajer, T. Discovery and development of ATPase inhibitors of DNA gyrase as antibacterial agents. Curr. Med. Chem. 2007, 14, 2033–2047. [Google Scholar] [CrossRef] [PubMed]
- Tari, L.W.; Li, X.; Trzoss, M.; Bensen, D.C.; Chen, Z.; Lam, T.; Zhang, J.; Lee, S.J.; Hough, G.; Phillipson, D.; et al. Tricyclic GyrB/ParE (TriBE) inhibitors: A new class of broad-spectrum dual-targeting antibacterial agents. PLoS ONE 2013, 8, e84409. [Google Scholar] [CrossRef] [PubMed]
- Park, S.; Russo, R.; Westfall, L.; Shrestha, R.; Zimmerman, M.; Dartois, V.; Kurepina, N.; Kreiswirth, B.; Singleton, E.; Li, S.G.; et al. A Novel Oral GyrB/ParE Dual Binding Inhibitor Effective against Multidrug-Resistant Neisseria gonorrhoeae and Other High-Threat Pathogens. Antimicrob. Agents Chemother. 2022, 66, e0041422. [Google Scholar] [CrossRef] [PubMed]
- Forde, E.; Shafiy, G.; Fitzgerald-Hughes, D.; Stromstedt, A.A.; Devocelle, M. Action of antimicrobial peptides and their prodrugs on model and biological membranes. J. Pept. Sci. Off. Publ. Eur. Pept. Soc. 2018, 24, e3086. [Google Scholar] [CrossRef] [PubMed]
- Desgranges, S.; Ruddle, C.C.; Burke, L.P.; McFadden, T.M.; O’Brien, J.E.; Fitzgerald-Hughes, D.; Humphreys, H.; Smyth, T.P.; Devocelle, M. β-Lactam-host defence peptide conjugates as antibiotic prodrug candidates targeting resistant bacteria. Rsc Adv. 2012, 2, 2480. [Google Scholar] [CrossRef]
- Du, X.; Xia, C.; Shen, J.; Wu, B.; Shen, Z. Characterization of florfenicol resistance among calf pathogenic Escherichia coli. Fems Microbiol. Lett. 2004, 236, 183–189. [Google Scholar] [CrossRef]
- Schwarz, S.; Kehrenberg, C.; Doublet, B.; Cloeckaert, A. Molecular basis of bacterial resistance to chloramphenicol and florfenicol. Fems Microbiol. Rev. 2004, 28, 519–542. [Google Scholar] [CrossRef]
- Zhang, W.; Liu, C.P.; Chen, S.Q.; Liu, M.J.; Zhang, L.; Lin, S.Y.; Shu, G.; Yuan, Z.X.; Lin, J.C.; Peng, G.N.; et al. Poloxamer modified florfenicol instant microparticles for improved oral bioavailability. Colloids Surf. BBiointerfaces 2020, 193, 111078. [Google Scholar] [CrossRef]
- Li, Z.; Yang, Y.J.; Qin, Z.; Li, S.H.; Bai, L.X.; Li, J.Y.; Liu, X.W. Florfenicol-Polyarginine Conjugates Exhibit Promising Antibacterial Activity Against Resistant Strains. Front. Chem. 2022, 10, 921091. [Google Scholar] [CrossRef]
- Gordon, E.M.; Duncton, M.A.J.; Gallop, M.A. Orally Absorbed Derivatives of the beta-Lactamase Inhibitor Avibactam. Design of Novel Prodrugs of Sulfate Containing Drugs. J. Med. Chem. 2018, 61, 10340–10344. [Google Scholar] [CrossRef]
- Coleman, K. Diazabicyclooctanes (DBOs): A potent new class of non-beta-lactam beta-lactamase inhibitors. Curr. Opin. Microbiol. 2011, 14, 550–555. [Google Scholar] [CrossRef]
- Lagacé-Wiens, P.; Walkty, A.; Karlowsky, J.A. Ceftazidime–avibactam: An evidence-based review of its pharmacology and potential use in the treatment of Gram-negative bacterial infections. Core Evid. 2014, 9, 13. [Google Scholar] [CrossRef]
- Rajavel, M.; Kumar, V.; Nguyen, H.; Wyatt, J.; Marshall, S.H.; Papp-Wallace, K.M.; Deshpande, P.; Bhavsar, S.; Yeole, R.; Bhagwat, S.; et al. Structural Characterization of Diazabicyclooctane beta-Lactam "Enhancers" in Complex with Penicillin-Binding Proteins PBP2 and PBP3 of Pseudomonas aeruginosa. mBio 2021, 12, e03058-20. [Google Scholar] [CrossRef]
- Evans, L.E.; Krishna, A.; Ma, Y.; Webb, T.E.; Marshall, D.C.; Tooke, C.L.; Spencer, J.; Clarke, T.B.; Armstrong, A.; Edwards, A.M. Exploitation of Antibiotic Resistance as a Novel Drug Target: Development of a beta-Lactamase-Activated Antibacterial Prodrug. J. Med. Chem. 2019, 62, 4411–4425. [Google Scholar] [CrossRef]
- Saris, A.; Qin, W.; van Linge, C.C.A.; Reijnders, T.D.Y.; Florquin, S.; Burnet, M.; Strass, S.; de Vos, A.F.; van der Poll, T. The Azithromycin Pro-Drug CSY5669 Boosts Bacterial Killing While Attenuating Lung Inflammation Associated with Pneumonia Caused by Methicillin-Resistant Staphylococcus aureus. Antimicrob. Agents Chemother. 2022, 66, e0229821. [Google Scholar] [CrossRef]
- Kanafani, Z.A.; Corey, G.R. Tedizolid (TR-701): A new oxazolidinone with enhanced potency. Expert Opin. Investig. Drugs 2012, 21, 515–522. [Google Scholar] [CrossRef]
- Shaw, K.; Poppe, S.; Schaadt, R.; Brown-Driver, V.; Finn, J.; Pillar, C.; Shinabarger, D.; Zurenko, G. In vitro activity of TR-700, the antibacterial moiety of the prodrug TR-701, against linezolid-resistant strains. Antimicrob. Agents Chemother. 2008, 52, 4442–4447. [Google Scholar] [CrossRef]
- Barber, K.E.; Smith, J.R.; Raut, A.; Rybak, M.J. Evaluation of tedizolid against Staphylococcus aureus and enterococci with reduced susceptibility to vancomycin, daptomycin or linezolid. J. Antimicrob. Chemother. 2015, 71, 152–155. [Google Scholar] [CrossRef]
- Lyons, M.A. Modeling and Simulation of Pretomanid Pharmacokinetics in Pulmonary Tuberculosis Patients. Antimicrob. Agents Chemother. 2018, 62, e02359-17. [Google Scholar] [CrossRef]
- Conradie, F.; Diacon, A.H.; Ngubane, N.; Howell, P.; Everitt, D.; Crook, A.M.; Mendel, C.M.; Egizi, E.; Moreira, J.; Timm, J.; et al. Treatment of Highly Drug-Resistant Pulmonary Tuberculosis. N. Engl. J. Med. 2020, 382, 893–902. [Google Scholar] [CrossRef] [PubMed]
- Najjar, A.; Najjar, A.; Karaman, R. Newly Developed Prodrugs and Prodrugs in Development; an Insight of the Recent Years. Molecules 2020, 25. [Google Scholar] [CrossRef] [PubMed]
- Girish, C.; Balakrishnan, S. Ceftaroline fosamil: A novel anti-Methicillin-resistant Staphylococcus aureus cephalosporin. J. Pharmacol. Pharmacother. 2011, 2, 209–211. [Google Scholar] [CrossRef] [PubMed]
- Allan, R.N.; Kelso, M.J.; Rineh, A.; Yepuri, N.R.; Feelisch, M.; Soren, O.; Brito-Mutunayagam, S.; Salib, R.J.; Stoodley, P.; Clarke, S.C. Cephalosporin-NO-donor prodrug PYRRO-C3D shows β-lactam-mediated activity against Streptococcus pneumoniae biofilms. Nitric Oxide Biol. Chem. 2017, 65, 43–49. [Google Scholar] [CrossRef]
- Soren, O.; Rineh, A.; Silva, D.G.; Cai, Y.; Howlin, R.P.; Allan, R.N.; Feelisch, M.; Davies, J.C.; Connett, G.J.; Faust, S.N. Cephalosporin nitric oxide-donor prodrug DEA-C3D disperses biofilms formed by clinical cystic fibrosis isolates of Pseudomonas aeruginosa. J. Antimicrob. Chemother. 2019, 75, 117–125. [Google Scholar] [CrossRef]
- Barraud, N.; Kardak, B.G.; Yepuri, N.R.; Howlin, R.P.; Webb, J.S.; Faust, S.N.; Kjelleberg, S.; Rice, S.A.; Kelso, M.J. Cephalosporin-3’-diazeniumdiolates: Targeted NO-donor prodrugs for dispersing bacterial biofilms. Angew. Chem. 2012, 51, 9057–9060. [Google Scholar] [CrossRef]
- Kampfer, P.; Rauhoff, O.; Dott, W. Glycosidase profiles of members of the family Enterobacteriaceae. J. Clin. Microbiol. 1991, 29, 2877–2879. [Google Scholar] [CrossRef]
- Levy, C.W.; Roujeinikova, A.; Sedelnikova, S.; Baker, P.J.; Stuitje, A.R.; Slabas, A.R.; Rice, D.W.; Rafferty, J.B. Molecular basis of triclosan activity. Nature 1999, 398, 383–384. [Google Scholar] [CrossRef]
- Howse, G.L.; Bovill, R.A.; Stephens, P.J.; Osborn, H.M.I. Synthesis and antibacterial profiles of targeted triclosan derivatives. Eur. J. Med. Chem. 2019, 162, 51–58. [Google Scholar] [CrossRef]
- Khandazhinskaya, A.L.; Alexandrova, L.A.; Matyugina, E.S.; Solyev, P.N.; Efremenkova, O.V.; Buckheit, K.W.; Wilkinson, M.; Buckheit, R.W., Jr.; Chernousova, L.N.; Smirnova, T.G.; et al. Novel 5’-Norcarbocyclic Pyrimidine Derivatives as Antibacterial Agents. Molecules 2018, 23, 3069. [Google Scholar] [CrossRef]
- Negrya, S.D.; Jasko, M.V.; Solyev, P.N.; Karpenko, I.L.; Efremenkova, O.V.; Vasilyeva, B.F.; Sumarukova, I.G.; Kochetkov, S.N.; Alexandrova, L.A. Synthesis of water-soluble prodrugs of 5-modified 2’-deoxyuridines and their antibacterial activity. J. Antibiot. 2020, 73, 236–246. [Google Scholar] [CrossRef]
- McEntee, L.; Johnson, A.; Farrington, N.; Unsworth, J.; Dane, A.; Jain, A.; Cotroneo, N.; Critchley, I.; Melnick, D.; Parr, T.; et al. Pharmacodynamics of Tebipenem: New Options for Oral Treatment of Multidrug-Resistant Gram-Negative Infections. Antimicrob. Agents Chemother. 2019, 63, e00603-19. [Google Scholar] [CrossRef]
- Kaul, M.; Mark, L.; Zhang, Y.; Parhi, A.K.; LaVoie, E.J.; Pilch, D.S. An FtsZ-targeting prodrug with oral antistaphylococcal efficacy in vivo. Antimicrob. Agents Chemother. 2013, 57, 5860–5869. [Google Scholar] [CrossRef]
- Kaul, M.; Mark, L.; Zhang, Y.; Parhi, A.K.; Lyu, Y.L.; Pawlak, J.; Saravolatz, S.; Saravolatz, L.D.; Weinstein, M.P.; LaVoie, E.J. TXA709, an FtsZ-targeting benzamide prodrug with improved pharmacokinetics and enhanced in vivo efficacy against methicillin-resistant Staphylococcus aureus. Antimicrob. Agents Chemother. 2015, 59, 4845–4855. [Google Scholar] [CrossRef]
- Marinelli, L.; Di Stefano, A.; Cacciatore, I. Carvacrol and its derivatives as antibacterial agents. Phytochem. Rev. 2018, 17, 903–921. [Google Scholar] [CrossRef]
- Marinelli, L.; Fornasari, E.; Eusepi, P.; Ciulla, M.; Genovese, S.; Epifano, F.; Fiorito, S.; Turkez, H.; Ortucu, S.; Mingoia, M.; et al. Carvacrol prodrugs as novel antimicrobial agents. Eur. J. Med. Chem. 2019, 178, 515–529. [Google Scholar] [CrossRef]
- Fleck, L.E.; North, E.J.; Lee, R.E.; Mulcahy, L.R.; Casadei, G.; Lewis, K. A screen for and validation of prodrug antimicrobials. Antimicrob. Agents Chemother. 2014, 58, 1410–1419. [Google Scholar] [CrossRef]
- Guay, D.R. An update on the role of nitrofurans in the management of urinary tract infections. Drugs 2001, 61, 353–364. [Google Scholar] [CrossRef]
- Gershon, H.; Parmegiani, R. Antimicrobial activity of 8-quinolinol, its salts with salicylic acid and 3-hydroxy-2-naphthoic acid, and the respective copper (II) chelates in liquid culture. Appl. Microbiol. 1963, 11, 62–65. [Google Scholar] [CrossRef]
- Hoy, S.M. Contezolid: First Approval. Drugs 2021, 81, 1587–1591. [Google Scholar] [CrossRef]
- Bulitta, J.B.; Hafkin, B.; Fang, E. 1118. Population Pharmacokinetics of Contezolid Acefosamil and Contezolid - Rationale for a Safe and Effective Loading Dose Regimen. Open Forum Infect. Dis. 2021, 8 (Suppl. S1), S651. [Google Scholar] [CrossRef]
- Liu, J.; Wang, W.; Wang, C.; Zhang, L.; Zhang, X.; Liu, S.; Xu, Y.; Wang, H.; Dai, Q.; Liu, C.; et al. Discovery of Antibacterial Contezolid Acefosamil: Innovative O-Acyl Phosphoramidate Prodrug for IV and Oral Therapies. Acs Med. Chem. Lett. 2022, 13, 1030–1035. [Google Scholar] [CrossRef] [PubMed]
- Al-Halawa, D.A.; Seir, R.A.; Qasrawi, R. Antibiotic Resistance Knowledge, Attitudes, and Practices among Pharmacists: A Cross-Sectional Study in West Bank, Palestine. J. Environ. Public Health 2023, 2023, 2294048. [Google Scholar] [CrossRef] [PubMed]
- Wall, S. Prevention of antibiotic resistance - an epidemiological scoping review to identify research categories and knowledge gaps. Glob. Health Action 2019, 12, 1756191. [Google Scholar] [CrossRef]
- Owens, R.C., Jr. Antimicrobial stewardship: Concepts and strategies in the 21st century. Diagn. Microbiol. Infect. Dis. 2008, 61, 110–128. [Google Scholar] [CrossRef]
- Siegel, J.D.; Rhinehart, E.; Jackson, M.; Chiarello, L.; Healthcare Infection Control Practices Advisory, C. Management of multidrug-resistant organisms in health care settings, 2006. Am. J. Infect. Control 2007, 35, S165–S193. [Google Scholar] [CrossRef]
- Muto, C.A.; Jernigan, J.A.; Ostrowsky, B.E.; Richet, H.M.; Jarvis, W.R.; Boyce, J.M.; Farr, B.M. SHEA guideline for preventing nosocomial transmission of multidrug-resistant strains of Staphylococcus aureus and enterococcus. Infect. Control Hosp. Epidemiol. 2003, 24, 362–386. [Google Scholar] [CrossRef]
- Ventola, C.L. The antibiotic resistance crisis: Part 1: Causes and threats. P T A Peer-Rev. J. Formul. Manag. 2015, 40, 277–283. [Google Scholar]
- Lee, C.R.; Cho, I.H.; Jeong, B.C.; Lee, S.H. Strategies to minimize antibiotic resistance. Int. J. Environ. Res. Public Health 2013, 10, 4274–4305. [Google Scholar] [CrossRef]
- Ricciardi, W.; Giubbini, G.; Laurenti, P. Surveillance and Control of Antibiotic Resistance in the Mediterranean Region. Mediterr. J. Hematol. Infect. Dis. 2016, 8, e2016036. [Google Scholar] [CrossRef]
Disclaimer/Publisher’s Note: The statements, opinions and data contained in all publications are solely those of the individual author(s) and contributor(s) and not of MDPI and/or the editor(s). MDPI and/or the editor(s) disclaim responsibility for any injury to people or property resulting from any ideas, methods, instructions or products referred to in the content. |
© 2023 by the authors. Licensee MDPI, Basel, Switzerland. This article is an open access article distributed under the terms and conditions of the Creative Commons Attribution (CC BY) license (https://creativecommons.org/licenses/by/4.0/).






























