Susceptibility of Meropenem-Resistant and/or Carbapenemase-Producing Clinical Isolates of Enterobacterales (Enterobacteriaceae) and Pseudomonas aeruginosa to Ceftazidime-Avibactam and Ceftolozane-Tazobactam as Assessed by In Vitro Testing Methods
Abstract
:1. Introduction
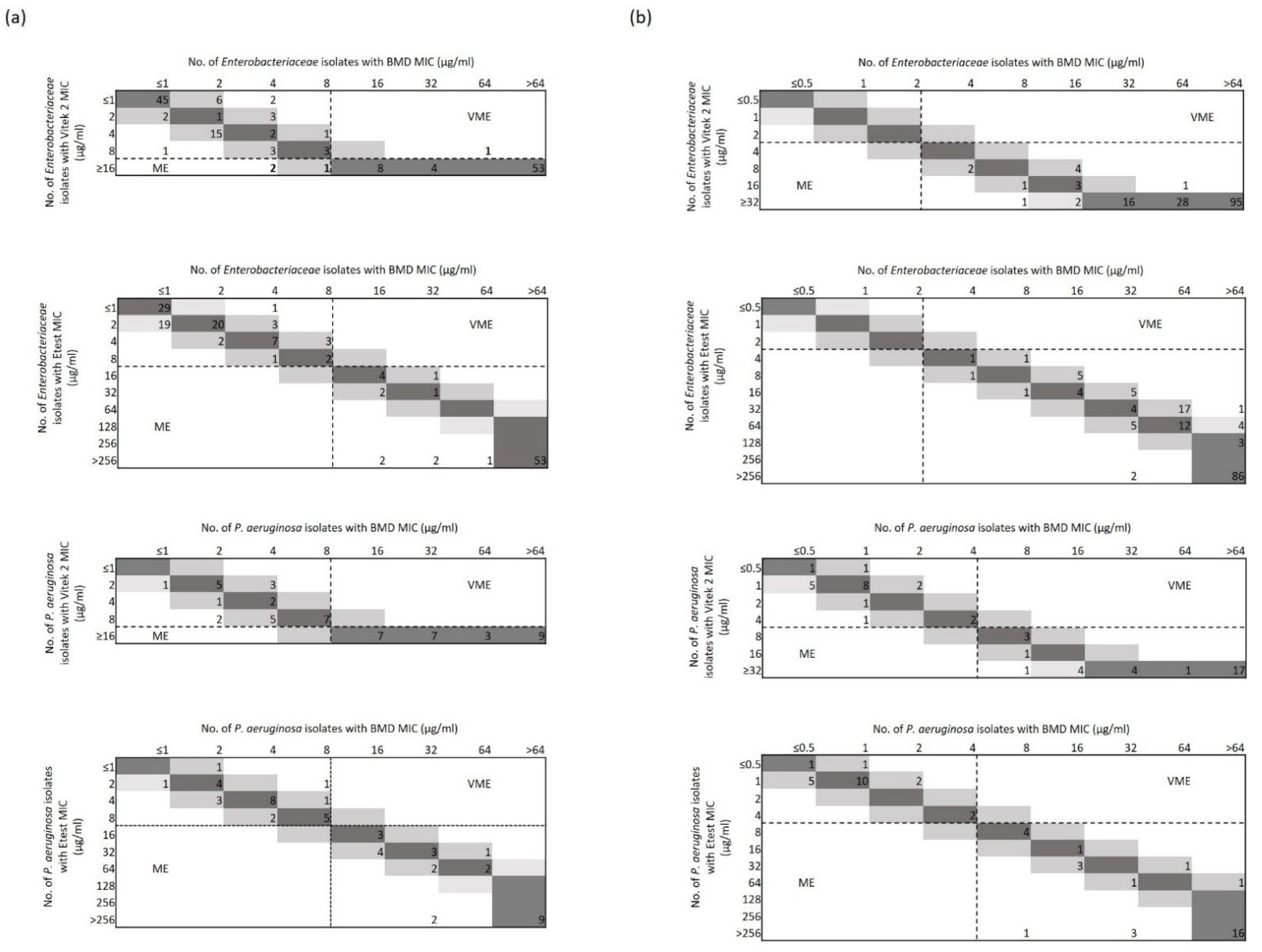
2. Results
3. Discussion
4. Materials and Methods
4.1. Bacterial Isolates
4.2. Antimicrobial Susceptibility Testing
4.3. Agreement Analysis
5. Conclusions
Supplementary Materials
Author Contributions
Funding
Institutional Review Board Statement
Informed Consent Statement
Data Availability Statement
Acknowledgments
Conflicts of Interest
References
- Yahav, D.; Giske, C.G.; Grāmatniece, A.; Abodakpi, H.; Tam, V.H.; Leibovici, L. New β-lactam-β-lactamase inhibitor combinations. Clin. Microbiol. Rev. 2020, 34, e00115-20. [Google Scholar] [CrossRef] [PubMed]
- van Duin, D.; Bonomo, R.A. Ceftazidime/avibactam and ceftolozane/tazobactam: Second-generation β-lactam/β-lactamase inhibitor combinations. Clin. Infect. Dis. 2016, 63, 234–241. [Google Scholar] [CrossRef] [PubMed] [Green Version]
- The European Committee on Antimicrobial Susceptibility Testing. EUCAST Guidelines for Detection of Resistance Mechanisms and Specific Resistances of Clinical and/or Epidemiological Importance, Version 2.0. 2017. Available online: https://www.eucast.org/fileadmin/src/media/PDFs/EUCAST_files/Resistance_mechanisms/EUCAST_detection_of_resistance_mechanisms_170711.pdf (accessed on 1 July 2022).
- Bassetti, M.; Peghin, M.; Vena, A.; Giacobbe, D.R. Treatment of infections due to MDR Gram-negative bacteria. Front. Med. 2019, 6, 74. [Google Scholar] [CrossRef] [PubMed]
- Spiliopoulou, I.; Kazmierczak, K.; Stone, G.G. In vitro activity of ceftazidime/avibactam against isolates of carbapenem-non-susceptible Enterobacteriaceae collected during the INFORM global surveillance programme (2015–2017). J. Antimicrob. Chemother. 2020, 75, 384–391. [Google Scholar] [CrossRef] [PubMed] [Green Version]
- Hsueh, S.C.; Lee, Y.J.; Huang, Y.T.; Liao, C.H.; Tsuji, M.; Hsueh, P.R. In vitro activities of cefiderocol, ceftolozane/tazobactam, ceftazidime/avibactam and other comparative drugs against imipenem-resistant Pseudomonas aeruginosa and Acinetobacter baumannii, and Stenotrophomonas maltophilia, all associated with bloodstream infections in Taiwan. J. Antimicrob. Chemother. 2019, 74, 380–386. [Google Scholar] [CrossRef] [PubMed]
- Daragon, B.; Fournier, D.; Plésiat, P.; Jeannot, K. Performance of disc diffusion, MIC gradient tests and Vitek 2 for ceftolozane/tazobactam and ceftazidime/avibactam susceptibility testing of Pseudomonas aeruginosa. J. Antimicrob. Chemother. 2021, 76, 2586–2592. [Google Scholar] [CrossRef] [PubMed]
- Schaumburg, F.; Bletz, S.; Becker, K.; Idelevich, E.A. Comparison of methods to analyse susceptibility of German MDR/XDR Pseudomonas aeruginosa to ceftazidime/avibactam. Int. J. Antimicrob. Agents 2019, 54, 255–260. [Google Scholar] [CrossRef] [PubMed]
- Kresken, M.; Körber-Irrgang, B. Performance of the Etest for susceptibility testing of Enterobacterales (Enterobacteriaceae) and Pseudomonas aeruginosa toward ceftazidime-avibactam. J. Clin. Microbiol. 2018, 56, e00528-18. [Google Scholar] [CrossRef] [PubMed] [Green Version]
- Magiorakos, A.P.; Srinivasan, A.; Carey, R.B.; Carmeli, Y.; Falagas, M.E.; Giske, C.G.; Harbarth, S.; Hindler, J.F.; Kahlmeter, G.; Olsson-Liljequist, B.; et al. Multidrug-resistant, extensively drug-resistant and pandrug-resistant bacteria: An international expert proposal for interim standard definitions for acquired resistance. Clin. Microbiol. Infect. 2012, 18, 268–281. [Google Scholar] [CrossRef] [PubMed] [Green Version]
- Shields, R.K.; Nguyen, M.H.; Press, E.G.; Chen, L.; Kreiswirth, B.N.; Clancy, C.J. Emergence of ceftazidime-avibactam resistance and restoration of carbapenem susceptibility in Klebsiella pneumoniae carbapenemase-producing K pneumoniae: A case report and review of literature. Open Forum Infect. Dis. 2017, 4, ofx101. [Google Scholar] [CrossRef] [PubMed]
- Humphries, R.M.; Hemarajata, P. Resistance to ceftazidime-avibactam in Klebsiella pneumoniae due to porin mutations and the increased expression of KPC-3. Antimicrob. Agents Chemother. 2017, 61, e00537-17. [Google Scholar] [CrossRef] [PubMed] [Green Version]
- Venditti, C.; Butera, O.; Meledandri, M.; Balice, M.P.; Cocciolillo, G.C.; Fontana, C.; D’Arezzo, S.; De Giuli, C.; Antonini, M.; Capone, A.; et al. Molecular analysis of clinical isolates of ceftazidime-avibactam-resistant Klebsiella pneumoniae. Clin. Microbiol. Infect. 2021, 27, 1040.e1–1040.e6. [Google Scholar] [CrossRef] [PubMed]
- Humphries, R.M.; Hindler, J.A.; Wong-Beringer, A.; Miller, S.A. Activity of ceftolozane-tazobactam and ceftazidime-avibactam against beta-lactam-resistant Pseudomonas aeruginosa isolates. Antimicrob. Agents Chemother. 2017, 61, e01858-17. [Google Scholar] [CrossRef] [PubMed] [Green Version]
- Humphries, R.M.; Hindler, J.A.; Magnano, P.; Wong-Beringer, A.; Tibbetts, R.; Miller, S.A. Performance of ceftolozane-tazobactam Etest, MIC test strips, and disk diffusion compared to reference broth microdilution for β-lactam-resistant Pseudomonas aeruginosa isolates. J. Clin. Microbiol. 2018, 56, e01633-17. [Google Scholar] [CrossRef] [PubMed] [Green Version]
- Wenzler, E.; Lee, M.; Wu, T.J.; Meyer, K.A.; Shields, R.K.; Nguyen, M.H.; Clancy, C.J.; Humphries, R.M.; Harrington, A.T. Performance of ceftazidime/avibactam susceptibility testing methods against clinically relevant Gram-negative organisms. J. Antimicrob. Chemother. 2019, 74, 633–638. [Google Scholar] [CrossRef] [PubMed]
- Bailey, A.L.; Armstrong, T.; Dwivedi, H.P.; Denys, G.A.; Hindler, J.; Campeau, S.; Traczewski, M.; Humphries, R.; Burnham, C.-A.D. Multicenter evaluation of the Etest gradient diffusion method for ceftolozane-tazobactam susceptibility testing of Enterobacteriaceae and Pseudomonas aeruginosa. J. Clin. Microbiol. 2018, 56, e00717-18. [Google Scholar] [CrossRef] [PubMed] [Green Version]
- Humphries, R.; Campeau, S.; Davis, T.E.; Nagaro, K.J.; LaBombardi, V.J.; Franklin, S.; Heimbach, L.; Dwivedi, H.P. Multicenter evaluation of ceftazidime-avibactam susceptibility testing of Enterobacterales and Pseudomonas aeruginosa on the Vitek 2 system. J. Clin. Microbiol. 2021, 59, e01870-20. [Google Scholar] [CrossRef] [PubMed]
- Clinical and Laboratory Standard Institute (CLSI). Performance Standards for Antimicrobial Susceptibility Testing, 31st ed.; CLSI supplement M100; Clinical and Laboratory Standard Institute: Wayne, PA, USA, 2021. [Google Scholar]
- Poirel, L.; Walsh, T.R.; Cuvillier, V.; Nordmann, P. Multiplex PCR for detection of acquired carbapenemase genes. Diagn. Microbiol. Infect. Dis. 2011, 70, 119–123. [Google Scholar] [CrossRef] [PubMed]
- Mlynarcik, P.; Roderova, M.; Kolar, M. Primer evaluation for PCR and its application for detection of carbapenemases in Enterobacteriaceae. Jundishapur J. Microbiol. 2016, 9, e29314. [Google Scholar] [CrossRef] [PubMed] [Green Version]
- The European Committee on Antimicrobial Susceptibility Testing. Breakpoint Tables for Interpretation of MICs and Zone Diameters, Version 11.0. 2021. Available online: http://www.eucast.org/clinical_breakpoints (accessed on 1 July 2022).

| Isolates According to the Species Identified (n) | Meropenem-Susceptible/Resistant Isolates (n) | Carbapenemase-Producing Isolates According to the Carbapenem-Resistance Gene(s) Detected (n) | ||||||||
|---|---|---|---|---|---|---|---|---|---|---|
| blaIMP-1 | blaKPC-2 | blaKPC-3 | blaNDM-1 | blaNDM-5 | blaOXA-48 | blaVIM-1 | blaVIM-4 | Total Genes b | ||
| Enterobacteriaceae (153) | Susceptible (36) | – | 6 | 10 | 1 | – | 2 | 15 | 2 | 36 |
| Resistant (117) | – | 9 | 67 | 27 | 1 | 4 | 14 | 1 | 123 | |
| Escherichia coli (34) | Susceptible (18) | – | 5 | 4 | 1 | – | 1 | 6 | 1 | 18 |
| Resistant (16) | – | 1 | – | 14 | 1 | 1 | – | – | 17 | |
| Klebsiella pneumoniae (100) | Susceptible (8) | – | 1 | 5 | – | – | 1 | 1 | – | 8 |
| Resistant (92) | – | 8 | 67 | 12 | – | 3 | 7 | – | 97 | |
| Other species (19) c | Susceptible (10) | – | – | 1 | – | – | – | 8 | 1 | 10 |
| Resistant (10) | – | – | – | 1 | – | – | 7 | 1 | 9 | |
| Pseudomonas aeruginosa (52) | Susceptible (1) | – | – | – | – | – | – | 1 | – | 1 |
| Resistant (51) | 1 | – | – | – | – | – | 4 | – | 5 | |
| Total species (205) | Susceptible (37) | – | 6 | 10 | 1 | – | 2 | 16 | 2 | 37 |
| Resistant (168) | 1 | 9 | 67 | 27 | 1 | 4 | 18 | 1 | 128 | |
| Species of Isolates Tested (n) | Method Evaluated in Comparison with BMD | Ceftazidime/Avibactam (CZA) a | Ceftolozane/Tazobactam (C/T) a | ||||||
|---|---|---|---|---|---|---|---|---|---|
| % EA (n) | % CA (n) | % ME (n) b | % VME (n) c | % EA (n) | % CA (n) | % ME (n) b | % VME (n) c | ||
| Enterobacteriaceae (153) | VITEK 2 | 96.1 (147/153) | 97.4 (149/153) | 3.4 (3/87) | 1.5 (1/66) | 98.7 (151/153) | 100 (153/153) | 0 (0/0) | 0 (0/153) |
| ETEST | 96.1 (147/153) | 100 (153/153) | 0 (0/87) | 0 (0/66) | 98.0 (150/153) | 100 (153/153) | 0 (0/0) | 0 (0/153) | |
| Escherichia coli (34) | VITEK 2 | 100 (34/34) | 100 (34/34) | 0 (0/11) | 0 (0/23) | 100 (34/34) | 100 (34/34) | 0 (0/0) | 0 (0/34) |
| ETEST | 94.1 (32/34) | 100 (34/34) | 0 (0/11) | 0 (0/23) | 100 (34/34) | 100 (34/34) | 0 (0/0) | 0 (0/34) | |
| Klebsiella pneumoniae (100) | VITEK 2 | 94.0 (94/100) | 96.0 (96/100) | 4.0 (3/75) | 4.0 (1/25) | 98.0 (98/100) | 100 (100/100) | 0 (0/0) | 0 (0/100) |
| ETEST | 97.0 (97/100) | 100 (100/100) | 0 (0/75) | 0 (0/25) | 97.0 (97/100) | 100 (100/100) | 0 (0/0) | 0 (0/100) | |
| Other species (19) d | VITEK 2 | 100 (19/19) | 100 (19/19) | 0 (0/1) | 0 (0/18) | 100 (19/19) | 100 (19/19) | 0 (0/0) | 0 (0/19) |
| ETEST | 94.7 (18/19) | 100 (19/19) | 0 (0/1) | 0 (0/18) | 100 (19/19) | 100 (19/19) | 0 (0/0) | 0 (0/19) | |
| Pseudomonas aeruginosa (52) | VITEK 2 | 96.2 (50/52) | 100 (52/52) | 0 (0/26) | 0 (0/26) | 96.2 (50/52) | 100 (52/52) | 0 (0/21) | 0 (0/31) |
| ETEST | 94.2 (49/52) | 100 (52/52) | 0 (0/26) | 0 (0/26) | 92.3 (48/52) | 100 (52/52) | 0 (0/21) | 0 (0/31) | |
| Total species (205) | VITEK 2 | 96.1 (197/205) | 98.0 (201/205) | 2.7 (3/113) | 1.1 (1/92) | 98.0 (201/205) | 100 (205/205) | 0 (0/21) | 0 (0/184) |
| ETEST | 95.6 (196/205) | 100 (205/205) | 0 (0/113) | 0 (0/92) | 96.6 (198/205) | 100 (205/205) | 0 (0/21) | 0 (0/184) | |
| Study a | Country | Antibiotic Tested | BMD Panels (Concentration Range Tested) b | Method Evaluated c | Bacterial Species Tested (Source) | No. Total/no. Resistant Isolates d | Method’s Performance Assessed as no. (%) of Isolates with the Indicated Result e | |||
|---|---|---|---|---|---|---|---|---|---|---|
| EA | CA | ME | VME | |||||||
| This study | Italy | CZA | Micronaut AST system panels (1–64 µg/mL) | VITEK AST-N397 card | Enterobacteriaceae/P. aeruginosa (clinical isolate collection) | 205/92 | 197 (96.1) | 201 (98.0) | 3 (2.7) | 1 (1.1) |
| ETEST | 196 (95.6) | 205 (100) | 0 (0.0) | 0 (0.0) | ||||||
| C/T | Micronaut AST system panels (0.5–64 µg/mL) | VITEK AST-N397 card | Enterobacteriaceae/P. aeruginosa (clinical isolate collection) | 205/184 | 201 (98.0) | 205 (100) | 0 (0.0) | 0 (0.0) | ||
| ETEST | 198 (96.6) | 205 (100) | 0 (0.0) | 0 (0.0) | ||||||
| Daragon, 2021 [7] | France | CZA | Thermo Fisher panels (0.5–256 µg/mL) | VITEK 2 XN12 card | P. aeruginosa (clinical isolate collection) | 200/34 | 178 (89.0) | 167 (83.5) | 30 (18.1) | 3 (8.8) |
| Etest | 188 (94.0) | 190 (95.0) | 5 (3.0) | 5 (14.7) | ||||||
| C/T | Thermo Fisher panels (0.5–256 µg/mL) | VITEK 2 XN12 card | P. aeruginosa (clinical isolate collection) | 200/40 | 193 (96.5) | 191 (95.5) | 2 (1.2) | 5 (12.5) | ||
| ETEST | 185 (92.5) | 190 (95.0) | 0 (0.0) | 10 (25.0) | ||||||
| Schaumburg, 2019 [8] | Germany | CZA | Merlin panels (0.5–256 µg/mL) | ETEST | P. aeruginosa (clinical isolate collection) | 192/69 | 182 (94.8) | 181 (94.3) | 6 (4.9) | 5 (7.2) |
| Kresken, 2018 [9] | Germany | CZA | CLSI M100-S27 based panels (0.016–256 µg/mL) | ETEST | Enterobacterales (unspecified) | 140/12 | 139 (99.3) | 140 (100.0) | 0 (0.0) | 0 (0.0) |
| P. aeruginosa (unspecified) | 60/22 | 59 (98.3) | 59 (98.3) | 0 (0.0) | 1 (4.5) | |||||
Publisher’s Note: MDPI stays neutral with regard to jurisdictional claims in published maps and institutional affiliations. |
© 2022 by the authors. Licensee MDPI, Basel, Switzerland. This article is an open access article distributed under the terms and conditions of the Creative Commons Attribution (CC BY) license (https://creativecommons.org/licenses/by/4.0/).
Share and Cite
Cortazzo, V.; Posteraro, B.; Menchinelli, G.; Liotti, F.M.; D’Inzeo, T.; Fiori, B.; Luzzaro, F.; Sanguinetti, M.; Spanu, T. Susceptibility of Meropenem-Resistant and/or Carbapenemase-Producing Clinical Isolates of Enterobacterales (Enterobacteriaceae) and Pseudomonas aeruginosa to Ceftazidime-Avibactam and Ceftolozane-Tazobactam as Assessed by In Vitro Testing Methods. Antibiotics 2022, 11, 1023. https://doi.org/10.3390/antibiotics11081023
Cortazzo V, Posteraro B, Menchinelli G, Liotti FM, D’Inzeo T, Fiori B, Luzzaro F, Sanguinetti M, Spanu T. Susceptibility of Meropenem-Resistant and/or Carbapenemase-Producing Clinical Isolates of Enterobacterales (Enterobacteriaceae) and Pseudomonas aeruginosa to Ceftazidime-Avibactam and Ceftolozane-Tazobactam as Assessed by In Vitro Testing Methods. Antibiotics. 2022; 11(8):1023. https://doi.org/10.3390/antibiotics11081023
Chicago/Turabian StyleCortazzo, Venere, Brunella Posteraro, Giulia Menchinelli, Flora Marzia Liotti, Tiziana D’Inzeo, Barbara Fiori, Francesco Luzzaro, Maurizio Sanguinetti, and Teresa Spanu. 2022. "Susceptibility of Meropenem-Resistant and/or Carbapenemase-Producing Clinical Isolates of Enterobacterales (Enterobacteriaceae) and Pseudomonas aeruginosa to Ceftazidime-Avibactam and Ceftolozane-Tazobactam as Assessed by In Vitro Testing Methods" Antibiotics 11, no. 8: 1023. https://doi.org/10.3390/antibiotics11081023
APA StyleCortazzo, V., Posteraro, B., Menchinelli, G., Liotti, F. M., D’Inzeo, T., Fiori, B., Luzzaro, F., Sanguinetti, M., & Spanu, T. (2022). Susceptibility of Meropenem-Resistant and/or Carbapenemase-Producing Clinical Isolates of Enterobacterales (Enterobacteriaceae) and Pseudomonas aeruginosa to Ceftazidime-Avibactam and Ceftolozane-Tazobactam as Assessed by In Vitro Testing Methods. Antibiotics, 11(8), 1023. https://doi.org/10.3390/antibiotics11081023

