Antiamoebic Properties of Metabolites against Naegleria fowleri and Balamuthia mandrillaris
Abstract
:1. Introduction
2. Materials and Methods
2.1. Collection, Identification of Plants and Metabolite Extraction
2.2. Henrietta Lacks (HeLa) Cervical Cancer Cells
2.3. Naegleria fowleri Culture
2.4. Balamuthia mandrillaris Culture
2.5. Amoebicidal Assay
2.6. Cell Viability Assay
2.7. Cytopathogenicity Assay
2.8. Statistical Analysis
3. Results
3.1. The Plant-Based Compounds Exhibited Significant Amoebicidal Activity against N. fowleri and B. mandrillaris
3.2. The Plant-Based Compounds Exhibited Minimal Cytotoxic Activity against Human Cell Lines
3.3. The Maximal Non-Toxic Dose and 50% Effective Concentration of Plant-Based Compounds against HeLa Cells Were Determined
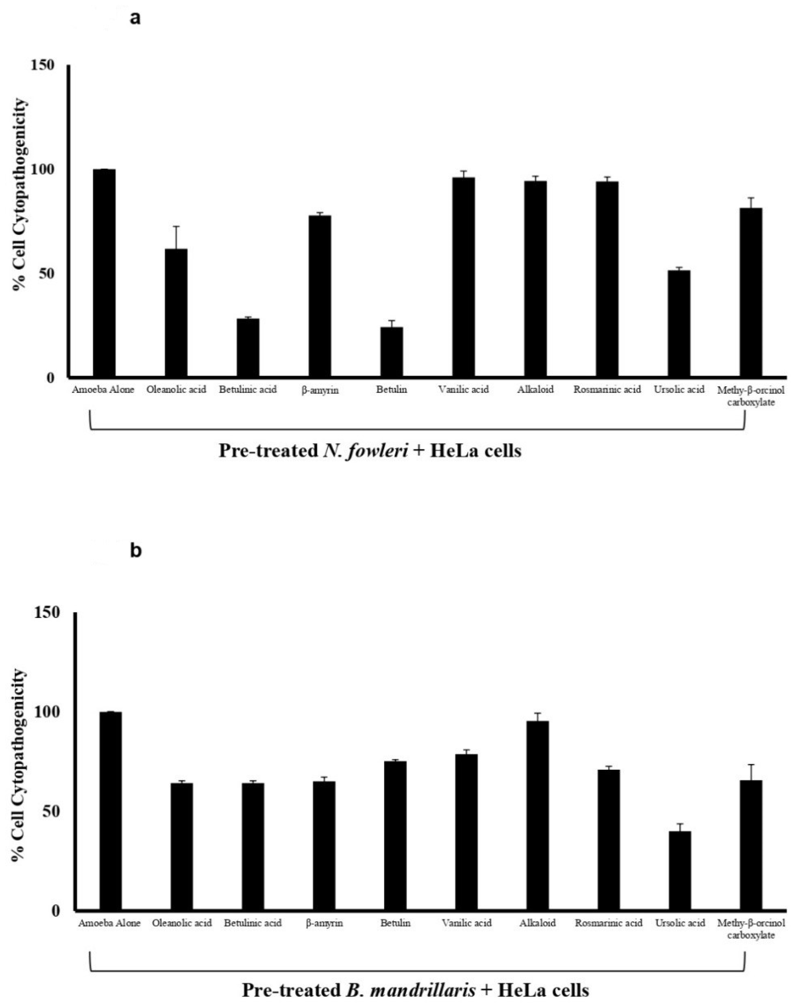
3.4. The Plant-Based Compounds Reduced Amoebae-Mediated Host Cell Death
4. Discussion
5. Conclusions
Author Contributions
Funding
Institutional Review Board Statement
Informed Consent Statement
Data Availability Statement
Acknowledgments
Conflicts of Interest
References
- Khan, N.A.; Muhammad, J.S.; Siddiqui, R. Brain-eating amoebae: Is killing the parasite our only option to prevent death? Expert Rev. Anti-Infect. Ther. 2021, 20, 1–2. [Google Scholar] [CrossRef]
- Siddiqui, R.; Khamis, M.; Ibrahim, T.; Khan, N.A. Brain-Eating Amoebae in the United Arab Emirates? ACS Pharmacol. Transl. Sci. 2021, 4, 1014–1015. [Google Scholar] [CrossRef]
- Bhosale, N.K.; Parija, S.C. Balamuthia mandrillaris: An opportunistic, free-living ameba—An updated review. Trop. Parasitol. 2021, 11, 78. [Google Scholar]
- Visvesvara, G.S.; Moura, H.; Schuster, F.L. Pathogenic and opportunistic free-living amoebae: Acanthamoeba spp., Balamuthia mandrillaris, Naegleria fowleri, and Sappinia diploidea. FEMS Immunol. Med. Microbiol. 2007, 50, 1–26. [Google Scholar] [CrossRef] [Green Version]
- Mungroo, M.R.; Anwar, A.; Khan, N.A.; Siddiqui, R. Gold-Conjugated Curcumin as a Novel Therapeutic Agent against Brain-Eating Amoebae. ACS Omega 2020, 5, 12467–12475. [Google Scholar] [CrossRef]
- Pana, A.; Vijayan, V.; Anilkumar, A.C. Amebic Meningoencephalitis. StatPearls. Available online: https://www.ncbi.nlm.nih.gov/books/NBK430754/?report=classic (accessed on 30 January 2021).
- Maciver, S.K.; Piñero, J.E.; Lorenzo-Morales, J. Is Naegleria fowleri an emerging parasite? Trends Parasitol. 2020, 36, 19–28. [Google Scholar] [CrossRef]
- Qvarnstrom, Y.; Visvesvara, G.S.; Sriram, R.; da Silva, A.J. Multiplex real-time PCR assay for simultaneous detection of Acanthamoeba spp., Balamuthia mandrillaris, and Naegleria fowleri. J. Clin. Microbiol. 2006, 44, 3589–3595. [Google Scholar] [CrossRef] [Green Version]
- Gharpure, R.; Bliton, J.; Goodman, A.; Ali, I.K.M.; Yoder, J.; Cope, J.R. Epidemiology and clinical characteristics of primary amebic meningoencephalitis caused by Naegleria fowleri: A global review. Clin. Infect. Dis. 2021, 73, e19–e27. [Google Scholar] [CrossRef]
- Debnath, A. Drug discovery for primary amebic meningoencephalitis: From screen to identification of leads. Expert Rev. Anti-Infect. Ther. 2021, 19, 1099–1106. [Google Scholar] [CrossRef]
- Capewell, L.G.; Harris, A.M.; Yoder, J.S.; Cope, J.R.; Eddy, B.A.; Roy, S.L.; Visvesvara, G.S.; Fox, L.M.; Beach, M.J. Diagnosis, clinical course, and treatment of primary amoebic meningoencephalitis in the United States, 1937–2013. J. Pediatric Infect. Dis. Soc. 2015, 4, e68–e75. [Google Scholar] [CrossRef] [Green Version]
- Rice, C.A.; Lares-Jiménez, L.F.; Lares-Villa, F.; Kyle, D.E. In vitro screening of the open source MMV Malaria and Pathogen Boxes to discover novel compounds with activity against Balamuthia mandrillaris. Antimicrob. Agents Chemother. 2020, 64, e02233-19. [Google Scholar] [CrossRef]
- Debnath, A.; Tunac, J.B.; Galindo-Gómez, S.; Silva-Olivares, A.; Shibayama, M.; McKerrow, J.H. Corifungin, a new drug lead against Naegleria, identified from a high-throughput screen. Antimicrob. Agents Chemother. 2012, 56, 5450–5457. [Google Scholar] [CrossRef] [Green Version]
- Rice, C.A.; Colon, B.L.; Alp, M.; Göker, H.; Boykin, D.W.; Kyle, D.E. Bis-benzimidazole hits against Naegleria fowleri discovered with new high-throughput screens. Antimicrob. Agents Chemother. 2015, 59, 2037–2044. [Google Scholar] [CrossRef] [Green Version]
- Troth, E.V.; Kyle, D.E. EdU incorporation to assess cell proliferation and drug susceptibility in Naegleria fowleri. Antimicrob. Agents Chemother. 2021, 65, e00017-21. [Google Scholar] [CrossRef]
- Rajendran, K.; Anwar, A.; Khan, N.A.; Siddiqui, R. Brain-eating amoebae: Silver nanoparticle conjugation enhanced efficacy of anti-amoebic drugs against Naegleria fowleri. ACS Chem. Neurosci. 2017, 8, 2626–2630. [Google Scholar] [CrossRef]
- Grace, E.; Asbill, S.; Virga, K. Naegleria fowleri: Pathogenesis, diagnosis, and treatment options. Antimicrob. Agents Chemother. 2015, 59, 6677–6681. [Google Scholar] [CrossRef] [Green Version]
- Mungroo, M.R.; Khan, N.A.; Siddiqui, R. Balamuthia mandrillaris: Pathogenesis, diagnosis, and treatment. Expert Opin. Orphan Drugs 2020, 8, 111–119. [Google Scholar] [CrossRef]
- Sakkas, H.; Papadopoulou, C. Antimicrobial activity of basil, oregano, and thyme essential oils. J. Microbiol. Biotechnol. 2017, 27, 429–438. [Google Scholar] [CrossRef] [Green Version]
- Warowicka, A.; Nawrot, R.; Goździcka-Józefiak, A. Antiviral activity of berberine. Arch. Virol. 2020, 165, 1935–1945. [Google Scholar] [CrossRef]
- Thomford, N.E.; Senthebane, D.A.; Rowe, A.; Munro, D.; Seele, P.; Maroyi, A.; Dzobo, K. Natural products for drug discovery in the 21st century: Innovations for novel drug discovery. Int. J. Mol. Sci. 2018, 19, 1578. [Google Scholar] [CrossRef] [Green Version]
- Atanasov, A.G.; Zotchev, S.B.; Dirsch, V.M.; Supuran, C.T. Natural products in drug discovery: Advances and opportunities. Nat. Rev. Drug Discov. 2021, 20, 200–216. [Google Scholar] [CrossRef]
- Manandhar, S.; Luitel, S.; Dahal, R.K. In vitro antimicrobial activity of some medicinal plants against human pathogenic bacteria. J. Trop. Med. 2019, 2019, 1895340. [Google Scholar] [CrossRef] [Green Version]
- Siddiqui, R.; Akbar, N.; Khatoon, B.; Kawish, M.; Ali, M.S.; Shah, M.R.; Khan, N.A. Novel Plant-Based Metabolites as Disinfectants against Acanthamoeba castellanii. Antibiotics 2022, 11, 248. [Google Scholar] [CrossRef]
- Akbar, N.; Khan, N.A.; Sagathevan, K.; Iqbal, M.; Tawab, A.; Siddiqui, R. Gut bacteria of Cuora amboinensis (turtle) produce broad-spectrum antibacterial molecules. Sci. Rep. 2019, 9, 17012. [Google Scholar] [CrossRef] [Green Version]
- Güémez, A.; García, E. Primary Amoebic Meningoencephalitis by Naegleria fowleri: Pathogenesis and Treatments. Biomolecules 2021, 11, 1320. [Google Scholar] [CrossRef]
- Herman, E.K.; Greninger, A.; van der Giezen, M.; Ginger, M.L.; Ramirez-Macias, I.; Miller, H.C.; Morgan, M.J.; Tsaousis, A.D.; Velle, K.; Vargová, R.; et al. Genomics and transcriptomics yields a system-level view of the biology of the pathogen Naegleria fowleri. BMC Biol. 2021, 19, 142. [Google Scholar] [CrossRef]
- Safavi, M.; Mehrtash, V.; Habibi, Z.; Mohammadpour, M.; Mohammad, T.H.A.; Zaresharifi, N.; Shafizadeh, M.; Jafarzadeh, B. Case Report: Encephalitis Caused by Balamuthia mandrillaris in a 3-Year-Old Iranian Girl. Am. J. Trop. Med. Hyg. 2021, 104, 1836–1840. [Google Scholar] [CrossRef]
- Rice, C.A.; Troth, E.V.; Russell, A.; Kyle, D.E. Discovery of anti-amoebic inhibitors from screening the MMV pandemic response box on Balamuthia mandrillaris, Naegleria fowleri, and Acanthamoeba castellanii. Pathogens 2020, 9, 476. [Google Scholar] [CrossRef]
- Sifaoui, I.; Rodríguez-Expósito, R.L.; Reyes-Batlle, M.; Rizo-Liendo, A.; Piñero, J.E.; Bazzocchi, I.L.; Lorenzo-Morales, J.; Jiménez, I.A. Ursolic acid derivatives as potential agents against Acanthamoeba spp. Pathogens 2019, 8, 130. [Google Scholar] [CrossRef] [Green Version]
- Mahboob, T.; Azlan, A.M.; Shipton, F.N.; Boonroumkaew, P.; Azman, N.S.N.; Sekaran, S.D.; Ithoi, I.; Tan, T.C.; Samudi, C.; Wiart, C.; et al. Acanthamoebicidal activity of periglaucine A and betulinic acid from Pericampylus glaucus (Lam.) Merr. in vitro. Exp. Parasitol. 2017, 183, 160–166. [Google Scholar] [CrossRef]
- Tiewcharoen, S.; Junnu, V.; Chinabut, P. In vitro effect of antifungal drugs on pathogenic Naegleria spp. Southeast Asian J. Trop. Med. Public Health 2002, 33, 38–41. [Google Scholar]
- Kim, J.H.; Jung, S.Y.; Lee, Y.J.; Song, K.J.; Kwon, D.; Kim, K.; Park, S.; Im, K.I.; Shin, H.J. Effect of therapeutic chemical agents in vitro and on experimental meningoencephalitis due to Naegleria fowleri. Antimicrob. Agents Chemother. 2008, 52, 4010–4016. [Google Scholar] [CrossRef] [Green Version]
- Ahmad, A.F.; Heaselgrave, W.; Andrew, P.W.; Kilvington, S. The in vitro efficacy of antimicrobial agents against the pathogenic free-living amoeba Balamuthia mandrillaris. J. Eukaryot. Microbiol. 2013, 60, 539–543. [Google Scholar] [CrossRef]
- Seo, D.Y.; Lee, S.R.; Heo, J.W.; No, M.H.; Rhee, B.D.; Ko, K.S.; Kwak, H.B.; Han, J. Ursolic acid in health and disease. Korean J. Physiol. Pharmacol. 2018, 22, 235–248. [Google Scholar] [CrossRef] [Green Version]
- Do Nascimento, P.G.; Lemos, T.L.; Bizerra, A.; Arriaga, Â.; Ferreira, D.A.; Santiago, G.M.; Braz-Filho, R.; Costa, J.G.M. Antibacterial and antioxidant activities of ursolic acid and derivatives. Molecules 2014, 19, 1317–1327. [Google Scholar] [CrossRef]
- Ríos, J.L.; Máñez, S. New pharmacological opportunities for betulinic acid. Planta Med. 2018, 84, 8–19. [Google Scholar] [CrossRef] [Green Version]
- Król, S.K.; Kiełbus, M.; Rivero-Müller, A.; Stepulak, A. Comprehensive review on betulin as a potent anticancer agent. BioMed Res. Int. 2015, 2015, 584189. [Google Scholar] [CrossRef] [Green Version]
Balamuthia mandrillaris | ||||||
50 µg/mL | 100 µg/mL | 150 µg/mL | 200 µg/mL | MIC50 | ||
Balamuthia mandrillaris viability | 100 | |||||
Oleanolic acid | 91 ± 3.8 | 88 ± 4.4 | 83 ± 0.8 | 41 ± 9.2 | 189.6 | |
Betulinic acid | 77 ± 5.4 | 48 ± 4.7 | 17 ± 2.8 | 10 ± 4.5 | 88.33 | |
β-amyrin | 96 ± 3.4 | 63 ± 5.0 | 18 ± 1.6 | 16 ± 6.3 | 112 | |
Betulin | 81 ± 6.3 | 37 ± 3.2 | 1.6 ± 2.3 | 0 ± 0 | 80.34 | |
Vanillic acid | 96 ± 1.3 | 61 ± 9.7 | 47 ± 3.5 | 25 ± 4.1 | 132 | |
Rosmarinic acid | 85 ± 6.7 | 66 ± 2.7 | 55 ± 3.6 | 38 ± 3.3 | 156.2 | |
Ursolic acid | 87 ± 0.3 | 81 ± 1.6 | 27 ± 0.5 | 27 ± 0.5 | 131.3 | |
Methyl-β-orcinolcarboxylate | 87 ± 8.0 | 88 ± 0.9 | 39 ± 2.1 | 29 ± 1.9 | 139 | |
Naegleria fowleri | ||||||
50 µg/mL | 100 µg/mL | 200 µg/mL | MIC50 | |||
Naegleria fowleri viability | 100 | |||||
Betulinic acid | 77 ± 5.4 | 48 ± 4.7 | 10 ± 4.5 | 88.33 | ||
Betulin | 81 ± 6.3 | 37 ± 3.2 | 0 ± 0 | 80.34 | ||
Ursolic acid | 87 ± 0.3 | 81 ± 1.6 | 27 ± 0.5 | 131.3 |
Compounds | EC50 | MNTD |
---|---|---|
Oleanolic acid | 334.4 | 87.01 |
Betulinic acid | 122.5 | 36.98 |
Β-amyrin | 432.7 | 93.41 |
Betulin | 190.9 | 63.37 |
Vanillic acid | 440.4 | 123.8 |
Alkaloid | 768.7 | 77.46 |
Rosmarinic acid | 449.9 | 101.6 |
Ursolic acid | 235.4 | 93.05 |
Methy-β-orcinolcarboxylate | 241 | 81.89 |
Publisher’s Note: MDPI stays neutral with regard to jurisdictional claims in published maps and institutional affiliations. |
© 2022 by the authors. Licensee MDPI, Basel, Switzerland. This article is an open access article distributed under the terms and conditions of the Creative Commons Attribution (CC BY) license (https://creativecommons.org/licenses/by/4.0/).
Share and Cite
Siddiqui, R.; Boghossian, A.; Khatoon, B.; Kawish, M.; Alharbi, A.M.; Shah, M.R.; Alfahemi, H.; Khan, N.A. Antiamoebic Properties of Metabolites against Naegleria fowleri and Balamuthia mandrillaris. Antibiotics 2022, 11, 539. https://doi.org/10.3390/antibiotics11050539
Siddiqui R, Boghossian A, Khatoon B, Kawish M, Alharbi AM, Shah MR, Alfahemi H, Khan NA. Antiamoebic Properties of Metabolites against Naegleria fowleri and Balamuthia mandrillaris. Antibiotics. 2022; 11(5):539. https://doi.org/10.3390/antibiotics11050539
Chicago/Turabian StyleSiddiqui, Ruqaiyyah, Anania Boghossian, Bushra Khatoon, Muhammad Kawish, Ahmad M. Alharbi, Muhammad Raza Shah, Hasan Alfahemi, and Naveed Ahmed Khan. 2022. "Antiamoebic Properties of Metabolites against Naegleria fowleri and Balamuthia mandrillaris" Antibiotics 11, no. 5: 539. https://doi.org/10.3390/antibiotics11050539
APA StyleSiddiqui, R., Boghossian, A., Khatoon, B., Kawish, M., Alharbi, A. M., Shah, M. R., Alfahemi, H., & Khan, N. A. (2022). Antiamoebic Properties of Metabolites against Naegleria fowleri and Balamuthia mandrillaris. Antibiotics, 11(5), 539. https://doi.org/10.3390/antibiotics11050539