Comparative Study on Synergistic Toxicity of Enrofloxacin Combined with Three Antibiotics on Proliferation of THLE-2 Cell
Abstract
1. Introduction
2. Results and Discussion
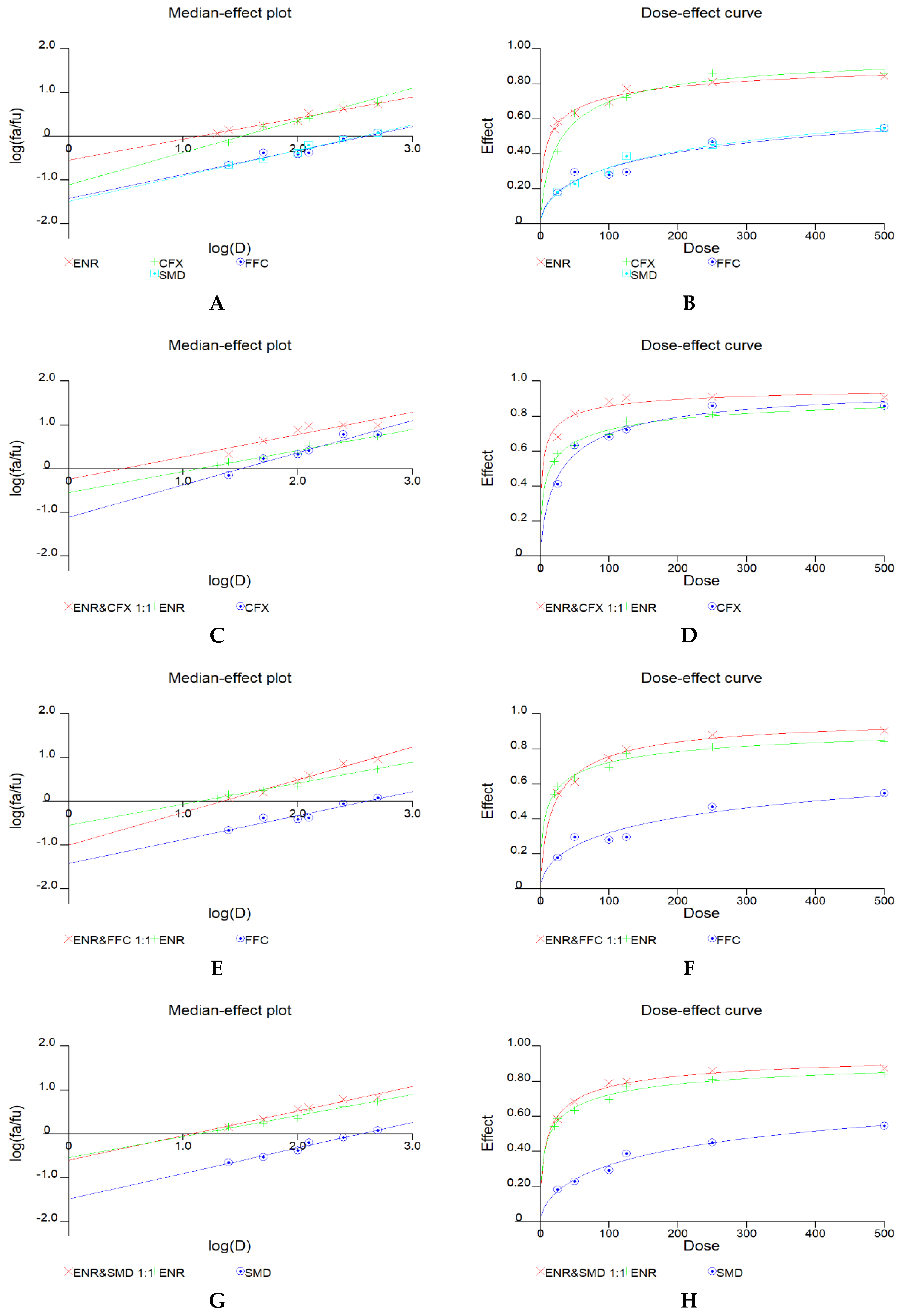
2.1. Single Drug Toxicity
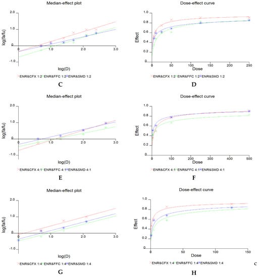
2.2. Joint Toxicity of Three Binary Drug Combinations
3. Materials and Methods
4. Conclusions
Author Contributions
Funding
Institutional Review Board Statement
Informed Consent Statement
Data Availability Statement
Acknowledgments
Conflicts of Interest
References
- Ren, Z.; Xu, H.; Wang, Y.; Li, Y.; Han, S.; Ren, J. Combined toxicity characteristics and regulation of residual quinolone antibiotics in water environment. Chemosphere 2021, 263, 128301. [Google Scholar] [CrossRef] [PubMed]
- Han, Y.; Ma, Y.; Yao, S.; Zhang, J.; Hu, C. In vivo and in silico evaluations of survival and cardiac developmental toxicity of quinolone antibiotics in zebrafish embryos (Danio rerio). Environ. Pollut. 2021, 277, 116779. [Google Scholar] [CrossRef] [PubMed]
- Lu, S.; Liu, S.; Cui, J.; Liu, X.; Zhao, C.; Fan, L.; Yin, S.; Hu, H. Combination of Patulin and Chlorpyrifos Synergistically Induces Hepatotoxicity via Inhibition of Catalase Activity and Generation of Reactive Oxygen Species. J. Agric. Food Chem. 2019, 67, 11474–11480. [Google Scholar] [CrossRef] [PubMed]
- Zou, X.; Lin, Z.; Deng, Z.; Yin, D.; Zhang, Y. The joint effects of sulfonamides and their potentiator on Photobacterium phosphoreum: Differences between the acute and chronic mixture toxicity mechanisms. Chemosphere 2012, 86, 30–35. [Google Scholar] [CrossRef]
- Dewulf, J. Risk Assessment in Veterinary Medicine. Vlaams Diergeneeskd. Tijdschr. 2007, 76, 9–372. [Google Scholar]
- United States Department of Agriculture, Foreign Agricultural Service. Maximum Residue Limits (MRL) Database. Available online: https://www.fas.usda.gov/maximum-residue-limits-mrl-database (accessed on 8 February 2022).
- European Food Safety Authority. Technical Report of the Public Consultation on the Draft ‘Guidance on Harmonised Risk Assessment Methodologies for Human Health, Animal Health and Ecological Risk Assessment of Combined Exposure to Multiple Chemicals. Available online: https://efsa.onlinelibrary.wiley.com/doi/pdf/10.2903/sp.efsa.2019.EN-1589 (accessed on 8 February 2022).
- McEntaggart, K.; Chirico, S.; Etienne, J.; Rigoni, M.; Papoutsis, S.; Leather, J. EFSA EU Insights: Chemical mixtures—Awareness, Understanding and Risk Perceptions. EFSA Supporting Publication. 2019. Available online: http://www.efsa.europa.eu/en/supporting/pub/en-1602 (accessed on 8 February 2022).
- Hamid, N.; Junaid, M.; Pei, D.-S. Combined toxicity of endocrine-disrupting chemicals: A review. Ecotoxicol. Environ. Saf. 2021, 215, 112136. [Google Scholar] [CrossRef]
- Wade, A.; Lin, C.-H.; Kurkul, C.; Regan, E.R.; Johnson, R.M. Combined toxicity of insecticides and fungicides applied to california almond orchards to honey bee larvae and adults. Insects 2019, 10, 20. [Google Scholar] [CrossRef]
- Chang, Y.; Mao, L.; Zhang, L.; Zhang, Y.; Jiang, H. Combined toxicity of imidacloprid, acetochlor, and tebuconazole to zebrafish (Danio rerio): Acute toxicity and hepatotoxicity assessment. Environ. Sci. Pollut. Res. 2020, 27, 10286–10295. [Google Scholar] [CrossRef]
- Gouvêa, R.; Santos, F.F.; De Aquino, M.; De, A.P.V. Fluoroquinolones in industrial poultry production, bacterial resistance and food residues: A review. Braz. J. Poult. Sci. 2015, 17, 1–10. [Google Scholar] [CrossRef]
- Trouchon, T.; Lefebvre, S. A review of enrofloxacin for veterinary use. Open J. Vet. Med. 2016, 6, 40–58. [Google Scholar] [CrossRef]
- Wang, B.; Zhao, X.; Xie, X.; Xie, K.; Zhang, G.; Zhang, T.; Liu, X. Development of an Accelerated Solvent Extraction Approach for Quantitative Analysis of Chloramphenicol, Thiamphenicol, Florfenicol, and Florfenicol Amine in Poultry Eggs. Food Anal. Methods 2019, 12, 1705–1714. [Google Scholar] [CrossRef]
- Boxall, A.B.A.; Johnson, P.; Smith, E.J.; Sinclair, C.J.; Stutt, E.; Levy, L.S. Uptake of veterinary medicines from soils into plants. J. Agric. Food Chem. 2016, 54, 2288–2297. [Google Scholar] [CrossRef]
- Baran, W.; Adamek, E.; Ziemiańska, J.; Sobczak, A. Effects of the presence of sulfonamides in the environment and their influence on human health. J. Hazard. Mater. 2011, 196, 1–15. [Google Scholar] [CrossRef] [PubMed]
- Barski, D.; Spodniewska, A. Effect of chlorpyrifos and enrofloxacin on selected enzymes in rats. Pol. J. Vet. Sci. 2018, 21, 39–46. [Google Scholar] [CrossRef] [PubMed]
- Klaudia, C.; Alina, W. The influence of enrofloxacin, florfenicol, ceftiofur and E. coli LPS interaction on T and B cells subset in chicks. Vet. Res. Commun. 2015, 39, 53–60. [Google Scholar] [CrossRef][Green Version]
- Shah, J.M.; Qureshi, T.A.; Shah, T.; Shah, Q.A.; Arain, M.A.; Bhutto, Z.A.; Saeed, M.; Siyal, F.A. Impact of therapeutic and high doses of florfenicol on kidney and liver functional indicators in goat. Vet. World 2016, 9, 1135–1140. [Google Scholar] [CrossRef] [PubMed]
- Shah, J.M.; Qureshi, T.A.; Sayed, T.; Shah, Q.A.; Kalhoro, I.B.; Arain, M.A.; Saeed, M.; Siyal, F.A.; Bhutto, Z.A. Evaluation of Therapeutic and High Doses of Florfenicol on Some Hematological Indexes in Goat. Asian J. Anim. Vet. Adv. 2016, 11, 637–642. [Google Scholar] [CrossRef][Green Version]
- Yun, S.; Guo, Y.; Yang, L.; Zhang, X.; Shen, W.; Wang, Z.; Wen, S.; Zhao, D.; Wu, H.; Chen, J.; et al. Effects of oral florfenicol on intestinal structure, function and microbiota in mice. Arch. Microbiol. 2019, 202, 161–169. [Google Scholar] [CrossRef]
- Xiong, J.-Q.; Govindwar, S.; Kurade, M.B.; Paeng, K.-J.; Roh, H.-S.; Khan, M.A.; Jeon, B.-H. Toxicity of sulfamethazine and sulfamethoxazole and their removal by a green microalga, Scenedesmus obliquus. Chemosphere 2019, 218, 551–558. [Google Scholar] [CrossRef]
- Food and Agriculture Organization of the United Nations; World Health Organization. Maximum Residue Limits (MRLs) and Risk Management Recommendations (RMRs) for Residues of Veterinary Drugs in Foods. Cx/MRL2-2018; Codex Alimentarius International Food Standards. 2018. Available online: https://www.fao.org/fao-who-codexalimentarius/codex-texts/maximum-residue-limits/en/ (accessed on 8 February 2022).
- The European Agency for the Evaluation of Medicinal Products Veterinary Medicines and Information Technology. EMEA/CVMP/512/01-FINAL: ANNEX I COMMITTEE FOR VETERINARY MEDICINAL PRODUCTS, Recommendations of the CVMP in Preparation of Community Comments on Codex Alimentarius MRLs for Veterinary Drugs. Follow-up of 12th CCRVDF Meeting: Objections of the European Community to Proposed CCRVDF/JECFA MRLs; European Commission: London, UK, 2018. [Google Scholar]
- Chines National Administration of market supervision, Chinese National Health Commission, Ministry of Agriculture and Rural Areas of China. GB 31650-2019 National food Safety Standard-Maximum Residue Limits for Veterinary Drugs in Foods; China Standards Press: Beijing, China, 2019. [Google Scholar]
- Sefried, S.; Häring, H.U.; Weigert, C.; Eckstein, S.S. Suitability of hepatocyte cell lines HepG2, AML12 and THLE-2 for investigation of insulin signalling and hepatokine gene expression. Open Biol. 2018, 8, 180147–180154. [Google Scholar] [CrossRef]
- Zhang, L.L.; Zhang, J.R.; Guo, K.; Ji, H.; Zhang, Y.; Jiang, S.X. Effects of fluoroquinolones on CYP4501A and 3A in male broilers. Res. Vet. Sci. 2011, 90, 99–105. [Google Scholar] [CrossRef] [PubMed]
- Chou, T.-C. Drug combination studies and their synergy quantification using the Chou-Talalay method. Cancer Res. 2010, 70, 440–446. [Google Scholar] [CrossRef] [PubMed]
- Hu, D.; Cao, S.; Zhang, G.; Xiao, Y.; Liu, S.; Shang, Y. Florfenicol-induced mitochondrial dysfunction suppresses cell proliferation and autophagy in fibroblasts. Sci. Rep. 2017, 7, 13554–13567. [Google Scholar] [CrossRef] [PubMed]
- Jing, X.; Na, W.; Deyang, K.; Xiangji, K.; Zhengjun, S. Bioconcentration of sulfonamide antibiotics in zebrafish (Brachydanio rerio) and model prediction assessment. Asian J. Ecotoxicol. 2015, 10, 82–88. [Google Scholar]




| Animal | Tissues | Enrofloxacin, Ciprofloxacin | Sulfadimidine | Florfenicol | ||||||
|---|---|---|---|---|---|---|---|---|---|---|
| Sum of Enrofloxacin and Ciprofloxacin (µg·kg−1) | Sulfadimidine (µg·kg−1) | Sum of Florfenicol and Florfenicol-Amine (µg·kg−1) | ||||||||
| WHO | EU | China | WHO | EU | China | WHO | EU | China | ||
| ADI | 0–6.2 | 0–50 | 0–3 | |||||||
| Cattle/Sheep | Muscle | 100 | 100 | 100 | 100 | 100 | 100 | 200 | 200 | 200 |
| Fat | 100 | 100 | 100 | 100 | 100 | 100 | - | - | - | |
| Liver | 300 | 300 | 300 | 100 | 100 | 100 | 3000 | 3000 | 3000 | |
| Kidney | 200 | 200 | 200 | 100 | 100 | 100 | 300 | 300 | 300 | |
| Milk | 100 | 100 | 100 | 25 | - | - | ||||
| Pig/Rabbit | Muscle | 100 | 100 | 100 | 100 | 100 | 100 | 300 | 300 | 300 |
| Fat | 100 | 100 | 100 | 100 | 100 | 100 | 500 | 500 | 500 | |
| Liver | 200 | 200 | 200 | 100 | 100 | 100 | 2000 | 2000 | 2000 | |
| Kidney | 300 | 300 | 300 | 100 | 100 | 100 | 500 | 500 | 500 | |
| Poultry (Prohibit in laying period) | Muscle | 100 | 100 | 100 | 100 | 100 | 100 | 100 | 100 | 100 |
| Skin + fat | 100 | 100 | 100 | 100 | 100 | 100 | 200 | 200 | 200 | |
| Liver | 200 | 200 | 200 | 100 | 100 | 100 | 2500 | 2500 | 2500 | |
| Kidney | 300 | 300 | 300 | 100 | 100 | 100 | 750 | 750 | 750 | |
| Other | Muscle | 100 | 100 | 100 | 100 | 100 | 100 | 100 | 100 | 100 |
| Fat | 100 | 100 | 100 | - | 100 | 200 | 200 | 200 | ||
| Liver | - | - | 200 | - | 100 | 2000 | 2000 | 2000 | ||
| Kidney | - | - | 100 | 300 | 300 | 300 | ||||
| Fish | Skin + Fat | 100 | - | 100 | 1000 | 1000 | 1000 | |||
| Drugs | D/μg·L−1 | Fa | M | Dm | r |
|---|---|---|---|---|---|
| ENR | 25 | 0.5878 | 0.4734 | 13.11 | 0.979 |
| 50 | 0.6353 | ||||
| 100 | 0.6949 | ||||
| 125 | 0.7726 | ||||
| 250 | 0.8108 | ||||
| 500 | 0.8425 | ||||
| CFX | 25 | 0.4135 | 0.7273 | 32.03 | 0.967 |
| 50 | 0.6324 | ||||
| 100 | 0.6830 | ||||
| 125 | 0.7234 | ||||
| 250 | 0.8604 | ||||
| 500 | 0.8584 | ||||
| FFC | 25 | 0.1793 | 0.5460 | 392.5 | 0.951 |
| 50 | 0.2970 | ||||
| 100 | 0.2804 | ||||
| 125 | 0.2969 | ||||
| 250 | 0.4704 | ||||
| 500 | 0.5475 | ||||
| SMD | 25 | 0.1839 | 0.5804 | 358.6 | 0.988 |
| 50 | 0.2284 | ||||
| 100 | 0.2948 | ||||
| 125 | 0.3866 | ||||
| 250 | 0.4501 | ||||
| 500 | 0.5455 |
| Drugs | Parameters | |||||||
|---|---|---|---|---|---|---|---|---|
| ENR/μg·L−1 | CFX/μg·L−1 | FFC/μg·L−1 | SMD/μg·L−1 | Fa | M | Dm | r | CI |
| 25 | 25 | 0.6825 | 0.5097 | 2.940 | 0.889 | 0.760 | ||
| 50 | 50 | 0.8142 | 0.414 | |||||
| 100 | 100 | 0.8850 | 0.319 | |||||
| 125 | 125 | 0.9057 | 0.277 | |||||
| 250 | 250 | 0.9092 | 0.580 | |||||
| 500 | 500 | 0.9073 | 1.234 | |||||
| 25 | 25 | 0.5470 | 0.7452 | 21.79 | 0.987 | 1.289 | ||
| 50 | 50 | 0.6106 | 1.489 | |||||
| 100 | 100 | 0.7472 | 0.804 | |||||
| 125 | 125 | 0.7974 | 0.555 | |||||
| 250 | 250 | 0.8800 | 0.306 | |||||
| 500 | 500 | 0.9027 | 0.375 | |||||
| 25 | 25 | 0.5817 | 0.5598 | 11.82 | 0.980 | 0.966 | ||
| 50 | 50 | 0.6815 | 0.792 | |||||
| 100 | 100 | 0.7906 | 0.490 | |||||
| 125 | 125 | 0.7990 | 0.550 | |||||
| 250 | 250 | 0.8610 | 0.441 | |||||
| 500 | 500 | 0.8727 | 0.716 | |||||
| Mixing Ratio | ENR/μg·L−1 | CFX/μg·L−1 | Fa | M | Dm | r | CI |
|---|---|---|---|---|---|---|---|
| 2:1 | 10 | 5 | 0.5180 | 0.6196 | 9.373 | 0.964 | 0.867 |
| 20 | 10 | 0.5518 | 1.418 | ||||
| 50 | 25 | 0.7472 | 0.635 | ||||
| 100 | 50 | 0.8502 | 0.372 | ||||
| 250 | 125 | 0.9080 | 0.352 | ||||
| 500 | 250 | 0.8931 | 1.058 | ||||
| 4:1 | 4 | 1 | 0.3554 | 0.6127 | 13.51 | 0.991 | 1.163 |
| 20 | 5 | 0.4999 | 1.921 | ||||
| 100 | 25 | 0.7783 | 0.756 | ||||
| 500 | 125 | 0.9066 | 0.548 | ||||
| 1:2 | 5 | 10 | 0.5270 | 0.6057 | 3.737 | 0.979 | 0.645 |
| 10 | 20 | 0.6370 | 0.588 | ||||
| 25 | 50 | 0.7454 | 0.633 | ||||
| 50 | 100 | 0.8641 | 0.350 | ||||
| 125 | 250 | 0.9069 | 0.462 | ||||
| 250 | 500 | 0.9085 | 0.947 | ||||
| 1:4 | 1 | 4 | 0.4683 | 0.5365 | 1.463 | 0.983 | 0.259 |
| 5 | 20 | 0.6033 | 0.567 | ||||
| 25 | 100 | 0.8547 | 0.340 | ||||
| 125 | 500 | 0.9089 | 0.814 |
| Mixing Ratio | ENR/μg·L−1 | FFC/μg·L−1 | Fa | M | Dm | r | CI |
|---|---|---|---|---|---|---|---|
| 2:1 | 10 | 5 | 0.3228 | 0.7269 | 27.26 | 0.994 | 3.506 |
| 20 | 10 | 0.4876 | 1.663 | ||||
| 50 | 25 | 0.5619 | 2.233 | ||||
| 100 | 50 | 0.7071 | 1.198 | ||||
| 250 | 125 | 0.8390 | 0.605 | ||||
| 500 | 250 | 0.8973 | 0.413 | ||||
| 4:1 | 4 | 1 | 0.4245 | 0.4040 | 13.26 | 0.973 | 0.561 |
| 20 | 5 | 0.4917 | 1.593 | ||||
| 100 | 25 | 0.6625 | 1.824 | ||||
| 500 | 125 | 0.8358 | 1.254 | ||||
| 1:2 | 5 | 10 | 0.3483 | 0.6045 | 13.89 | 0.979 | 1.441 |
| 10 | 20 | 0.4786 | 0.941 | ||||
| 25 | 50 | 0.5913 | 0.939 | ||||
| 50 | 100 | 0.6107 | 1.553 | ||||
| 125 | 250 | 0.8262 | 0.393 | ||||
| 250 | 500 | 0.8484 | 0.562 | ||||
| 1:4 | 1 | 4 | 0.2944 | 0.5110 | 8.434 | 0.973 | 0.507 |
| 5 | 20 | 0.3830 | 1.123 | ||||
| 25 | 100 | 0.5813 | 1.088 | ||||
| 125 | 500 | 0.8319 | 0.417 |
| Mixing Ratio | ENR/μg·L−1 | FFC/μg·L−1 | Fa | M | Dm | r | CI |
|---|---|---|---|---|---|---|---|
| 2:1 | 10 | 5 | 0.5610 | 0.4528 | 8.336 | 0.964 | 0.451 |
| 20 | 10 | 0.5980 | 0.658 | ||||
| 50 | 25 | 0.6405 | 1.131 | ||||
| 100 | 50 | 0.7217 | 1.037 | ||||
| 250 | 125 | 0.8573 | 0.454 | ||||
| 500 | 250 | 0.8633 | 0.818 | ||||
| 4:1 | 4 | 1 | 0.5099 | 0.4570 | 5.145 | 0.985 | 0.274 |
| 20 | 5 | 0.6098 | 0.592 | ||||
| 100 | 25 | 0.7769 | 0.554 | ||||
| 500 | 125 | 0.9023 | 0.365 | ||||
| 1:2 | 5 | 10 | 0.4848 | 0.4537 | 6.124 | 0.980 | 0.449 |
| 10 | 20 | 0.5934 | 0.364 | ||||
| 25 | 50 | 0.6182 | 0.735 | ||||
| 50 | 100 | 0.686 | 0.795 | ||||
| 125 | 250 | 0.8001 | 0.575 | ||||
| 250 | 500 | 0.8588 | 0.489 | ||||
| 1:4 | 1 | 4 | 0.2707 | 0.5191 | 4.872 | 0.982 | 0.644 |
| 5 | 20 | 0.5776 | 0.224 | ||||
| 25 | 100 | 0.6808 | 0.455 | ||||
| 125 | 500 | 0.8383 | 0.380 |
Publisher’s Note: MDPI stays neutral with regard to jurisdictional claims in published maps and institutional affiliations. |
© 2022 by the authors. Licensee MDPI, Basel, Switzerland. This article is an open access article distributed under the terms and conditions of the Creative Commons Attribution (CC BY) license (https://creativecommons.org/licenses/by/4.0/).
Share and Cite
Luan, Y.; Chen, K.; Zhao, J.; Cheng, L. Comparative Study on Synergistic Toxicity of Enrofloxacin Combined with Three Antibiotics on Proliferation of THLE-2 Cell. Antibiotics 2022, 11, 394. https://doi.org/10.3390/antibiotics11030394
Luan Y, Chen K, Zhao J, Cheng L. Comparative Study on Synergistic Toxicity of Enrofloxacin Combined with Three Antibiotics on Proliferation of THLE-2 Cell. Antibiotics. 2022; 11(3):394. https://doi.org/10.3390/antibiotics11030394
Chicago/Turabian StyleLuan, Yehui, Kexin Chen, Junjie Zhao, and Linli Cheng. 2022. "Comparative Study on Synergistic Toxicity of Enrofloxacin Combined with Three Antibiotics on Proliferation of THLE-2 Cell" Antibiotics 11, no. 3: 394. https://doi.org/10.3390/antibiotics11030394
APA StyleLuan, Y., Chen, K., Zhao, J., & Cheng, L. (2022). Comparative Study on Synergistic Toxicity of Enrofloxacin Combined with Three Antibiotics on Proliferation of THLE-2 Cell. Antibiotics, 11(3), 394. https://doi.org/10.3390/antibiotics11030394

