Synthesis, Physicochemical Properties and Molecular Docking of New Benzothiazole Derivatives as Antimicrobial Agents Targeting DHPS Enzyme
Abstract
1. Introduction
2. Results and Discussion
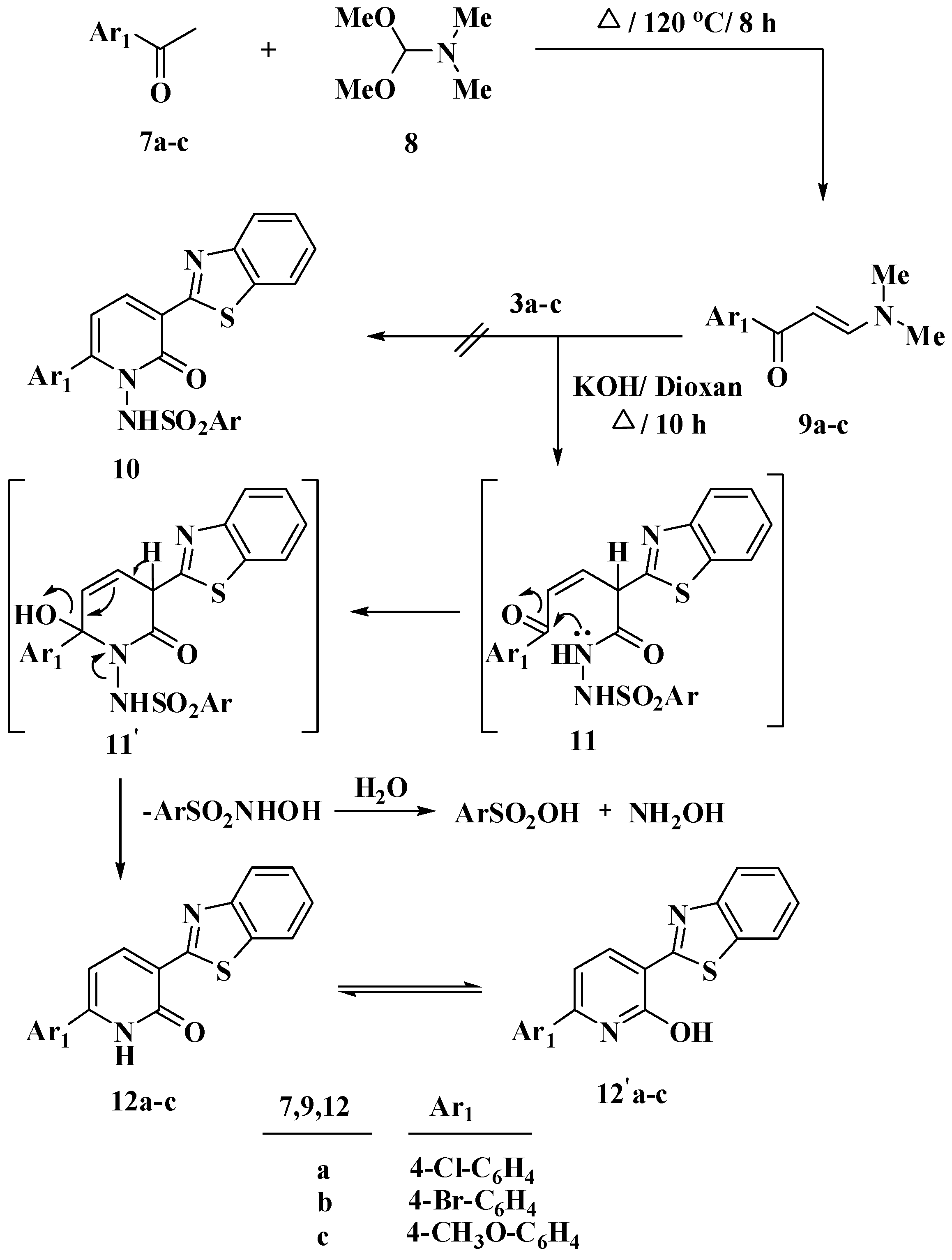
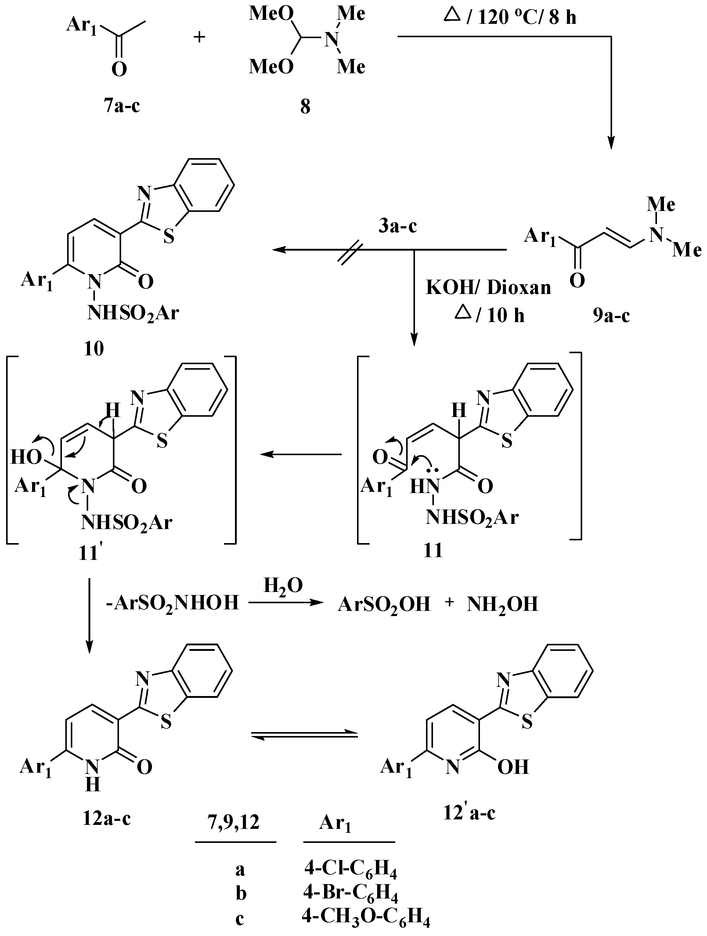
2.1. Chemistry
2.2. Antimicrobial Evaluation
2.3. Drug Likeness, and Physicochemical–Pharmacokinetic/ADMET Properties
2.4. Enzymatic Assay
2.5. Docking Study
3. Experimental
3.1. Chemistry
- General procedure for the synthesis of 2-amino-N-aryl-5-(benzo[d]thiazole-2-yl)-1-(4-chlorophenylsulfonamido)-6-oxo-1,6-dihydropyridine-3-carboxamide (6a–d):
- 2-Amino-5-(benzo[d]thiazole-2-yl)-1-(4-chlorophenylsulfonamido)-6-oxo-N-phenyl-1,6-dihydropyridine-3–carboxamide (6a)
- 2-Amino-5-(benzo[d]thiazole-2-yl)-N-(4-chlorophenyl)-1-(4-chlorophenylsulfonamido)-6-oxo-1,6-dihydropyridine-3–carboxamide (6b)
- 2-Amino-5-(benzo[d]thiazole-2-yl)-1-(4-chlorophenylsulfonamido)-6-oxo-N-(p-tolyl)-1,6-dihydropyridine-3–carboxamide (6c)
- 2-Amino-5-(benzo[d]thiazole-2-yl)-1-(4-methylphenylsulfonamido)-6-oxo-N-phenyl-1,6-dihydropyridine-3–carboxamide (6d)
- General procedure for the synthesis of 3-(benzo[d]thiazol-2-yl)-6-arylpyridin-2(1H)-one (12a–c):
- 3-(Benzo[d]thiazol-2-yl)-6-(4-chlorophenyl)pyridin-2(1H)-one (12a)
- 3-(Benzo[d]thiazol-2-yl)-6-(4-bromophenyl)pyridin-2(1H)-one (12b)
- 3-(Benzo[d]thiazol-2-yl)-6-(4-methoxyphenyl)pyridin-2(1H)-one (12c)
- General procedure for the synthesis of N-(2-(benzo[d]thiazole-2-yl)-3-arylacryloyl-4-methylbenzenesulfonohydrazide (14a–c):
- N-(2-(Benzo[d]thiazole-2-yl)-3-(4-florophenylacryloyl)-4-methylbenzene-sulfonohydrazide (14a)
- N-(2-(Benzo[d]thiazole-2-yl)-3-(4-chlorophenylacryloyl)-4-methylbenzene-sulfonohydrazide (14b)
- N-(2-(Benzo[d]thiazole-2-yl)-3-(p-tolyl)acryloyl)-4-methylbenzene-sulfonohydrazide (14c)
- General procedure for the synthesis of 5-aryl-4-(benzo[d]thiazole-2-yl)-1H-pyrazol-3(2H)-one (16a–c):
- 4-(Benzo[d]thiazole-2-yl)-5-(4-florophenyl)-1H-pyrazol-3(2H)-one (16a)
- 4-(Benzo[d]thiazole-2-yl)-5-(4-chlorophenyl)-1H-pyrazol-3(2H)-one (16b)
- 4-(Benzo[d]thiazole-2-yl)-5-(p-tolyl)-1H-pyrazol-3(2H)-one (16c)
- General procedure for the synthesis of N′-(2-(benzo[d]thiazol-2-yl)-2-(2-arylhydrazono)acetyl)-4-arylsulfonohydrazide (19a–e):
- N′-(2-(Benzo[d]thiazol-2-yl)-2-(2-phenylhydrazono)acetyl)benzenesulfono-hydrazide (19a)
- N′-(2-(Benzo[d]thiazol-2-yl)-2-(2-(4-chlorophenyl)hydrazono)acetyl)benzene-sulfonohydrazide (19b)
- N′-(2-(Benzo[d]thiazol-2-yl)-2-(2-(4-methylphenyl)hydrazono)acetyl)benzene-sulfonohydrazide (19c)
- N′-(2-(Benzo[d]thiazol-2-yl)-2-(2-(4-chlorophenyl)hydrazono)acetyl)-4-methylbenzenesulfono-hydrazide (19d)
- N′-(2-(Benzo[d]thiazol-2-yl)-2-(2-(4-methylphenyl)hydrazono)acetyl)-4-methylbenzenesulfono-hydrazide (19e)
3.2. Antimicrobial Activity
3.3. Methodology of MIC
3.4. Drug Likeness Predictions and Physicochemical–Pharmacokinetic/ADMET Properties
3.5. Enzyme Assay
3.6. Molecular Docking Study
4. Conclusions
Supplementary Materials
Author Contributions
Funding
Institutional Review Board Statement
Informed Consent Statement
Data Availability Statement
Conflicts of Interest
References
- Desai, N.C.; Rajpara, K.M.; Joshi, V.V. Synthesis of pyrazole encompassing 2-pyridone derivatives as antibacterial agents. Bioorg. Med. Chem. Lett. 2013, 23, 2714–2717. [Google Scholar] [CrossRef] [PubMed]
- Li, Q.; Mitscher, L.A.; Shen, L.L. The 2-pyridone antibacterial agents: Bacterial topoisomerase inhibitors. Med. Res. Rev. 2000, 20, 231–293. [Google Scholar] [CrossRef] [PubMed]
- Azzam, R.A.; Osman, R.R.; Elgemeie, G.H. Efficient synthesis and docking studies of novel benzothiazole-based pyrimidinesulfonamide scaffolds as new antiviral agents and hsp90α inhibitors. ACS Omega 2020, 5, 1640–1655. [Google Scholar] [CrossRef]
- Azzam, R.A.; Elgemeie, G.H.; Osman, R.R. Synthesis of novel pyrido[2,1-b]benzothiazole and N-substituted 2-pyridylbenzothiazole derivatives showing remarkable fluorescence and biological activities. J. Mol. Struct. 2020, 1201, 127194. [Google Scholar] [CrossRef]
- Gill, R.K.; Rawal, R.K.; Bariwal, J. Recent advances in the chemistry and biology of benzothiazoles. Arch. Pharm. 2015, 348, 155–178. [Google Scholar] [CrossRef] [PubMed]
- Konig, J.; Wyllie, S.; Wells, G.; Stevens, M.F.; Wyatt, P.G. Antitumor quinol PMX464 is a cytocidal anti-trypanosomal inhibitor targeting trypanothione metabolism. J. Biol. Chem. 2011, 286, 8523–8533. [Google Scholar] [CrossRef]
- Lee, Y.R.; Jin, G.H.; Lee, S.M.; Park, J.W.; Ryu, J.H.; Jeon, R.; Park, B.H. Inhibition of TNF-α-mediated inflammatory responses by a benzodioxolylacetylamino-linked benzothiazole analog in human fibroblast-like synoviocytes. Biochem. Biophys. Res. Commun. 2011, 408, 625–629. [Google Scholar] [CrossRef]
- Wang, X.; Sarris, K.; Kage, K.; Zhang, D.; Brown, S.P.; Kolasa, T.; Surowy, C.; El Kouhen, O.F.; Muchmore, S.W.; Brioni, J.D.; et al. Synthesis and evaluation of benzothiazole-based analogues as novel, potent, and selective fatty acid amide hydrolase inhibitors. J. Med. Chem. 2009, 52, 170–180. [Google Scholar] [CrossRef]
- Kamal, A.; Srikanth, Y.V.V.; Naseer Ahmed Khan, M.; Ashraf, M.; Kashi Reddy, M.; Sultana, F.; Kaur, T.; Chashoo, G.; Suri, N.; Sehar, I.; et al. 2-Anilinonicotinyl linked 2-aminobenzothiazoles and [1,2,4]triazolo[1,5-b] [1,2,4]benzothiadiazine conjugates as potential mitochondrial apoptotic inducers. Bioorganic Med. Chem. 2011, 19, 7136–7150. [Google Scholar] [CrossRef]
- Mohammed, A.K.; Wafaa, A.Z.; Gihad, E.E.; Rasha, A.A.; Galal, H.E. Purine analogs: Synthesis, evaluation and molecular dynamics of pyrazolopyrimidines based benzothiazole as anticancer and antimicrobial CDK inhibitors. Nucleosides Nucleotides Nucleic Acids 2022, 1–28. [Google Scholar] [CrossRef]
- Tasler, S.; Muller, O.; Wieder, T. Substituted 2-arylbenzothiazole as kinase inhibitor: Hit-to-lead optimization. Bioorganic Med. Chem. 2009, 17, 6728–6737. [Google Scholar] [CrossRef] [PubMed]
- Mortimer, C.G.; Wells, G.; Crochard, J.P. Antitumour benzothiazoles. 26. 2-(3,4-dimethoxyphenyl)-5-fluorobenzothiazole (GW 610, NSC 721648), a simple fluorinated 2-arylbenzothiazole, shows potent and selective inhibitory activity against lung, colon, and breast cancer cell lines. J. Med. Chem. 2006, 49, 179–185. [Google Scholar] [CrossRef] [PubMed]
- Chakraborty, M.; Jin, K.J.; Brewer, S.C.; Peng, L.; Platz, M.S.; Novaak, M. Indirect and direct detection of the 4-(benzothiazol-2-yl)phenylnitrenium ion from a putative metabolite of a model anti-tumor drug. Org. Lett. 2009, 11, 4862–48665. [Google Scholar] [CrossRef]
- Ke, S.; Wei, Y.; Yang, Z.; Wang, K.; Liang, Y.; Shi, L. Novel cycloalkylthiophene–imine derivatives bearing benzothiazole scaffold: Synthesis, characterization and antiviral activity evaluation. Bioorganic Med. Chem. Lett. 2013, 23, 5131–5134. [Google Scholar] [CrossRef]
- Catalano, A.; Rosato, A.; Salvagno, L.; Iacopetta, D.; Ceramella, J.; Fracchiolla, G.; Sinicropi, M.S.; Franchini, C. Benzothiazole-containing analogues of triclocarban with potent antibacterial activity. Antibiotics 2021, 10, 803. [Google Scholar] [CrossRef]
- Al-Tel, T.H.; Al-Qawasmeh, R.A.; Zaarour, R. Design, synthesis and in vitro antimicrobial evaluation of novel Imidazo[1,2-a]pyridine and imidazo[2,1-b][1,3]benzothiazole motifs. Eur. J. Med. Chem. 2011, 46, 1874–1881. [Google Scholar] [CrossRef] [PubMed]
- Bondock, S.; Fadaly, W.; Metwally, M.A. Synthesis and antimicrobial activity of some new thiazole, thiophene and pyrazole derivatives containing benzothiazole moiety. Eur. J. Med. Chem. 2010, 45, 3692–3701. [Google Scholar] [CrossRef]
- Kamal, A.; Syed, M.A.H.; Mohammed, S.M. Therapeutic potential of benzothiazoles: A patent review (2010–2014). Expert. Opin. Ther. Pat. 2015, 25, 335–349. [Google Scholar] [CrossRef] [PubMed]
- Azzam, R.A.; Elsayed, R.E.; Elgemeie, G.H. Design, synthesis, and antimicrobial evaluation of a new series of N-sulfonamide 2-pyridones as dual inhibitors of DHPS and DHFR enzymes. ACS Omega 2020, 5, 10401–10414. [Google Scholar] [CrossRef]
- Azzam, R.A.; Elsayed, R.E.; Elgemeie, G.H. Design and synthesis of a new class of pyridine-based N-sulfonamides exhibiting antiviral, antimicrobial, and enzyme inhibition characteristics. ACS Omega 2020, 5, 26182–26194. [Google Scholar] [CrossRef]
- Elgemeie, G.H.; Azzam, R.A.; Elsayed, R.E. Sulfa drug analogs: New classes of N-sulfonyl aminated azines and their biological and preclinical importance in medicinal chemistry (2000–2018). Med. Chem. Res. 2019, 28, 1099–1131. [Google Scholar] [CrossRef]
- Elgemeie, G.; Azzam, R.; Zaghary, W.; Aly, A.; Metwally, N.; Sarhan, M.; Abdelhafez, E.; Elsayed, R. N-Sulfonated-N-Heterocycles: Synthesis, Chemistry, And Biological Applications, 1st ed.; Elsevier: Amsterdam, The Netherlands, 2022. [Google Scholar]
- Azzam, R.A.; Elboshi, H.A.; Elgemeie, G.H. Novel synthesis and antiviral evaluation of new benzothiazole-bearing N-sulfonamide 2-pyridone derivatives as USP7 enzyme inhibitors. ACS Omega 2020, 5, 30023–30036. [Google Scholar] [CrossRef] [PubMed]
- Elsayed, R.E.; Madkour, T.M.; Azzam, R.A. Tailored-design of electrospun nanofiber cellulose acetate/poly(lactic acid) dressing mats loaded with a newly synthesized sulfonamide analog exhibiting superior wound healing. Int. J. Biol. Macromol. 2020, 164, 1984–1999. [Google Scholar] [CrossRef] [PubMed]
- Zhao, Z.; Wolkenberg, S.E.; Lu, M.; Munshi, V.; Moyer, G.; Feng, M.; Carella, A.V.; Ecto, L.T.; Gabryelski, L.J.; Lai, M.T.; et al. Novel indole-3-sulfonamides as potent HIV non-nucleoside reverse transcriptase inhibitors (NNRTIs). Bioorganic Med. Chem. Lett. 2008, 18, 554–559. [Google Scholar] [CrossRef] [PubMed]
- Kamal, A.; Dastagiri, D.; Janaki Ramaiah, M.; Surendranadha Reddy, J.; Vijaya Bharathi, E.; Kashi Reddy, M.; Pal-Bhadra, M. Synthesis and apoptosis inducing ability of new anilino substituted pyrimidine sulfonamides as potential anticancer agents. Eur. J. Med. Chem. 2011, 46, 5817–5824. [Google Scholar] [CrossRef] [PubMed]
- Bano, S.; Javed, K.; Ahmad, S.; Rathish, I.G.; Singh, S.; Alam, M.S. Synthesis and biological evaluation of some new 2-pyrazolines bearing benzene sulfonamide moiety as potential anti-inflammatory and anti-cancer agents. Eur. J. Med. Chem. 2011, 46, 5763–5768. [Google Scholar] [CrossRef]
- Potshangbam, A.M.; Rathore, R.S.; Nongdam, P. Discovery of sulfone-resistant dihydropteroate synthase (DHPS) as a target enzyme for kaempferol, a natural flavanoid. Heliyon 2020, 6, 03378. [Google Scholar] [CrossRef]
- Nurjadi, D.; Zizmann, E.; Chanthalangsy, Q.; Heeg, K.; Boutin, S. Integrative analysis of whole genome sequencing and phenotypic resistance toward prediction of trimethoprim-sulfamethoxazole resistance in Staphylococcus aureus. Front. Microbiol. 2021, 11, 607842. [Google Scholar] [CrossRef]
- Azzam, R.A.; Elgemeie, G.H.; Elsayed, R.E.; Jones, P.G. Crystal structure of N′-[2-(benzo[d]thiazol-2-yl)acetyl]-4-methylbenzenesulfonohydrazide. Acta Crystallogr. E Crystallogr. Commun. 2017, 73, 1041–1043. [Google Scholar] [CrossRef]
- Kobayashi, Y.; Nakatani, T.; Tanaka, R.; Okada, M.; Torii, E.; Harayama, T.; Kimachi, T. α-Dimethylaminomethylenation-induced Houben–Hoesch-type cyclization of cyanoacetanilides: A practical synthesis of 3-formyl-4-hydroxyquinolin-2 (1H)-ones. Tetrahedron 2011, 67, 3457–3463. [Google Scholar] [CrossRef]
- Lin, Y.I.; Lang, S.A., Jr. New synthesis of isoxazoles and isothiazoles. A convenient synthesis of thioenaminones from enaminones. J. Org. Chem. 1980, 45, 4857–4860. [Google Scholar] [CrossRef]
- Vinnicombe, H.G.; Derrick, J.P. Dihydropteroate synthase from streptococcus pneumoniae: Characterization of substrate binding order and sulfonamide inhibition. Biochem. Biophy. Res. Commun. 1999, 258, 752–757. [Google Scholar] [CrossRef] [PubMed]
- Hevener, K.E.; Yun, M.K.; Qi, J.; Kerr, I.D.; Babaoglu, K.; Hurdle, J.G.; Balakrishna, K.; White, S.W.; Lee, R.E. Structural studies of pterin-based inhibitors of dihydropteroate synthase. J. Med. Chem. 2010, 53, 166–177. [Google Scholar] [CrossRef]
- Yun, M.K.; Wu, Y.; Li, Z.; Zhao, Y.; Waddell, M.B.; Ferreira, A.M.; Lee, R.E.; Bashford, D.; White, S.W. Catalysis and sulfa drug resistance in dihydropteroate synthase. Science 2012, 335, 1110–1114. [Google Scholar] [CrossRef] [PubMed]
- Scott, A.C. Laboratory control of antimicrobial therapy. In Mackie and McCartney Practical Medical Microbiology, 13th ed.; Collee, J.G., Duguid, J.P., Fraser, A.G., Marmion, B.P., Eds.; Churchill Livingstone: Edinburgh, UK, 1989; Volume 2, pp. 161–182. [Google Scholar]
- Wiegand, I.; Hilpert, K.; Robert, E.W. Hancock. Agar and broth dilution methods to determine the minimal inhibitory concentration (MIC) of antimicrobial substances. Nat. Protoc. 2008, 3, 163–175. [Google Scholar] [CrossRef] [PubMed]
- Lipinski, C.A. Lead- and drug-like compounds: The rule-of-five revolution. Drug Discov. Today Technol. 2004, 1, 337–341. [Google Scholar] [CrossRef] [PubMed]
- Veber, D.F.; Johnson, S.R.; Cheng, H.Y.; Smith, B.R.; Wars, K.W.; Kopple, K.D. Molecular properties that influence the oral bioavailability of drug candidates. J. Med. Chem. 2002, 45, 2615–2623. [Google Scholar] [CrossRef] [PubMed]
- Muegge, I.; Heald, S.L.; Brittelli, D. Simple selection criteria for drug-like chemical matter. J. Med. Chem. 2001, 44, 1841–1846. [Google Scholar] [CrossRef]
- Ghose, A.K.; Viswanadhan, V.N.; Wendoloski, J.J. A knowledge-based approach in designing combinatorial or medicinal chemistry libraries for drug discovery. A qualitative and quantitative characterization of known drug databases. J. Comb. Chem. 1999, 1, 55–68. [Google Scholar] [CrossRef]
- Lagorce, D.; Sperandio, O.; Galons, H.; Miteva, M.A.; Villoutreix, B.O. FAF-Drugs2: Free ADME/tox filtering tool to assist drug discovery and chemical biology projects. BMC Bioinform. 2008, 9, 396. [Google Scholar] [CrossRef]








| Compd No. | Diameter of the Inhibition Zone (mm) | |||||
|---|---|---|---|---|---|---|
| Gram (+ve) Bacteria | Gram (−ve) Bacteria | Fungi | ||||
| S. aureus | S. mutans | K. pneumonia | P. aeruginosa | E. coli | C. albicans | |
| 6a | 19.6 ± 0.6 | 12.3 ± 0.6 | a - | - | - | - |
| 6b | 18.3 ± 0.6 | 15.3 ± 0.5 | - | - | - | - |
| 6c | 10.6 ± 0.5 | 10.6 ± 0.5 | - | - | - | - |
| 12a | 19.6 ± 0.6 | - | - | - | - | - |
| 12b | 17.6 ± 0.6 | - | - | - | - | - |
| 12c | 15.6 ± 0.5 | 11.3 ± 0.5 | - | - | - | - |
| 14a | 19.3 ± 0.6 | 18.3 ± 0.6 | - | - | - | 20.6 ± 0.6 |
| 14b | 31.6 ± 0.6 | 21.6 ± 0.6 | 15.6 ± 0.6 | 24.3 ± 0.6 | - | - |
| 14c | 30.3 ± 0.6 | 20.3 ± 0.6 | - | - | - | 11.3 ± 0.5 |
| 16a | 15.3 ± 0.5 | 25.0 ± 0.6 | 17.3 ± 0.6 | 16.6 ± 0.5 | - | 12.3 ± 0.5 |
| 16b | 35.3 ± 0.6 | 24.6 ± 0.6 | - | 25.6 ± 0.6 | - | 10.6 ± 0.5 |
| 16c | 40.3 ± 0.6 | 31.3 ± 0.6 | 24.3 ± 0.6 | - | - | - |
| 19a | - | - | - | - | - | 10.3 ± 0.5 |
| 19b | 11.6 ± 0.5 | - | - | - | - | - |
| 19c | 11.0 ± 1.0 | - | - | 16.0 ± 1.0 | - | 11.6 ± 0.5 |
| 19d | - | - | - | 21.6 ± 0.6 | - | - |
| 19e | - | - | - | - | - | - |
| Gentamicin | b NT | NT | 25.0 ± 0.5 | 30.0 ± 0.5 | 27.0 ± 0.5 | NT |
| Ampicillin | 22.0 ± 0.1 | 30.0 ± 0.5 | NT | NT | NT | NT |
| Nystatin | NT | NT | NT | NT | NT | 21.0 ± 0.5 |
| Sulfadiazine | 21.5 ± 0.6 | 22.2 ± 1.1 | 15.9 ± 0.9 | 20.6 ± 1.4 | 21.4 ± 0.4 | NT |
| Compd No. | The Minimum Inhibitory Concentration (MIC mM) | |||
|---|---|---|---|---|
| S. aureus | S. mutans | K. pneumonia | P. aeruginosa | |
| 6a | 0.906 | NT a | NT | NT |
| 6b | 1.705 | 1.705 | NT | NT |
| 12a | 0.369 | NT | NT | NT |
| 12b | 2.609 | NT | NT | NT |
| 14a | 1.069 | 2.139 | NT | NT |
| 14b | 0.129 | 0.258 | 1.033 | 0.517 |
| 14c | 0.135 | 0.539 | NT | NT |
| 16a | 1.606 | 0.200 | 0.803 | 1.606 |
| 16b | 0.191 | 0.191 | NT | 0.762 |
| 16c | 0.025 | 0.203 | 0.813 | NT |
| 19c | NT | NT | NT | 2.148 |
| 19d | NT | NT | NT | 0.500 |
| Standard | Ampicillin | Gentamicin | ||
| 0.179 | 0.179 | 0.065 | 0.131 | |
| Sulfadiazine | ||||
| 1.998 | 0.499 | 0.999 | 0.999 | |
| NO | Mwt a | Number of HBD b | Number of HBA c | Log Po/w (iLOGP) d | Lipinski, Ghose, Veber, Egan and Muegge Violations | TPSA e | Drug-Likeness Model Score |
|---|---|---|---|---|---|---|---|
| 6a | 552.02 | 3 | 5 | 2.55 | 1, 2, 1, 1, 1 | 172.80 | 0.71 |
| 6b | 586.47 | 3 | 5 | 2.76 | 2, 3, 1, 2, 2 | 172.80 | 0.68 |
| 6c | 566.05 | 3 | 5 | 2.61 | 1, 2, 1, 1, 1 | 172.80 | 0.54 |
| 6d | 531.61 | 3 | 5 | 3.24 | 1, 2, 1, 1, 1 | 172.80 | 0.07 |
| 12a | 338.81 | 1 | 2 | 3.18 | 0 | 73.99 | 0.04 |
| 12b | 383.26 | 1 | 2 | 3.27 | 0 | 73.99 | −0.032 |
| 12c | 334.39 | 1 | 3 | 3.24 | 0 | 83.22 | −0.21 |
| 14a | 467.54 | 2 | 6 | 2.70 | 0, 1, 0, 0, 1 | 124.78 | 0.017 |
| 14b | 483.99 | 2 | 5 | 2.53 | 0, 2, 0, 0, 1 | 124.78 | 0.24 |
| 14c | 463.57 | 2 | 5 | 3.28 | 0, 0, 0, 0, 1 | 124.78 | −0.13 |
| 16a | 311.33 | 2 | 3 | 2.15 | 0 | 89.78 | −0.12 |
| 16b | 327.79 | 2 | 2 | 2.35 | 0 | 89.78 | 0.00 |
| 16c | 307.37 | 2 | 2 | 2.39 | 0 | 89.78 | −0.44 |
| 19a | 451.52 | 2 | 7 | 2.26 | 0, 0, 1, 1, 1 | 149.50 | −0.45 |
| 19b | 485.97 | 2 | 7 | 2.78 | 0, 1, 1, 1, 1 | 149.50 | 0.14 |
| 19c | 465.55 | 2 | 7 | 2.37 | 0, 0, 1, 1, 1 | 149.50 | −0.042 |
| 19d | 499.99 | 7 | 2 | 2.28 | 0, 2, 1, 1, 1 | 149.50 | 0.11 |
| 19e | 479.57 | 2 | 7 | 3.16 | 0, 1, 1, 1, 1 | 149.50 | −0.29 |
| NO | GI Absorption a | BBB Permeant b | BA c |
|---|---|---|---|
| 6a | Low | No | 0.55 |
| 6b | Low | No | 0.17 |
| 6c | Low | No | 0.55 |
| 6d | Low | No | 0.55 |
| 12a | High | No | 0.55 |
| 12b | High | No | 0.55 |
| 12c | High | No | 0.55 |
| 14a | Low | No | 0.55 |
| 14b | Low | No | 0.55 |
| 14c | Low | No | 0.55 |
| 16a | High | No | 0.55 |
| 16b | High | No | 0.55 |
| 16c | High | No | 0.55 |
| 19a | Low | No | 0.55 |
| 19b | Low | No | 0.55 |
| 19c | Low | No | 0.55 |
| 19d | Low | No | 0.55 |
| 19e | Low | No | 0.55 |
| Compd No. | 100 (μg/mL) | 10 (μg/mL) | 1 (μg/mL) | 0.1 (μg/mL) |
|---|---|---|---|---|
| 12a | 58 | 44 | 27 | 11 |
| 14b | 65 | 47 | 24 | 12 |
| 14c | 59 | 46 | 21 | 8.6 |
| 16a | 70 | 49 | 26 | 12 |
| 16b | 72 | 52 | 31 | 16 |
| 16c | 68 | 48 | 31 | 13 |
| Sulfadiazine | 75 | 56 | 26 | 11 |
| Compd | Binding E. (kcal/mol) | Residues Involved in Arene-H Interactions | Residues Involved in H-Bond Interactions |
|---|---|---|---|
| 16a | −5.2350 | Lys220, Arg234 | Gly188 (2.22 Å) |
| 16b | −5.4236 | Lys220, Phe189, Arg234 | Gly188 (2.21 Å) |
| 16c | −5.4405 | Lys220, Phe189, Arg234 | Gly188 (2.20 Å) |
| TXZ | −6.9784 | Lys220 | Ser221 (1.75 & 2.5 Å), Lys 220 (1.88 Å), Asn120 (2.31 & 2.11 Å), Asp184 (1.74 & 1.95 Å) |
Publisher’s Note: MDPI stays neutral with regard to jurisdictional claims in published maps and institutional affiliations. |
© 2022 by the authors. Licensee MDPI, Basel, Switzerland. This article is an open access article distributed under the terms and conditions of the Creative Commons Attribution (CC BY) license (https://creativecommons.org/licenses/by/4.0/).
Share and Cite
Azzam, R.A.; Elboshi, H.A.; Elgemeie, G.H. Synthesis, Physicochemical Properties and Molecular Docking of New Benzothiazole Derivatives as Antimicrobial Agents Targeting DHPS Enzyme. Antibiotics 2022, 11, 1799. https://doi.org/10.3390/antibiotics11121799
Azzam RA, Elboshi HA, Elgemeie GH. Synthesis, Physicochemical Properties and Molecular Docking of New Benzothiazole Derivatives as Antimicrobial Agents Targeting DHPS Enzyme. Antibiotics. 2022; 11(12):1799. https://doi.org/10.3390/antibiotics11121799
Chicago/Turabian StyleAzzam, Rasha A., Heba A. Elboshi, and Galal H. Elgemeie. 2022. "Synthesis, Physicochemical Properties and Molecular Docking of New Benzothiazole Derivatives as Antimicrobial Agents Targeting DHPS Enzyme" Antibiotics 11, no. 12: 1799. https://doi.org/10.3390/antibiotics11121799
APA StyleAzzam, R. A., Elboshi, H. A., & Elgemeie, G. H. (2022). Synthesis, Physicochemical Properties and Molecular Docking of New Benzothiazole Derivatives as Antimicrobial Agents Targeting DHPS Enzyme. Antibiotics, 11(12), 1799. https://doi.org/10.3390/antibiotics11121799

