Synthetic Imidazopyridine-Based Derivatives as Potential Inhibitors against Multi-Drug Resistant Bacterial Infections: A Review
Abstract
1. Introduction
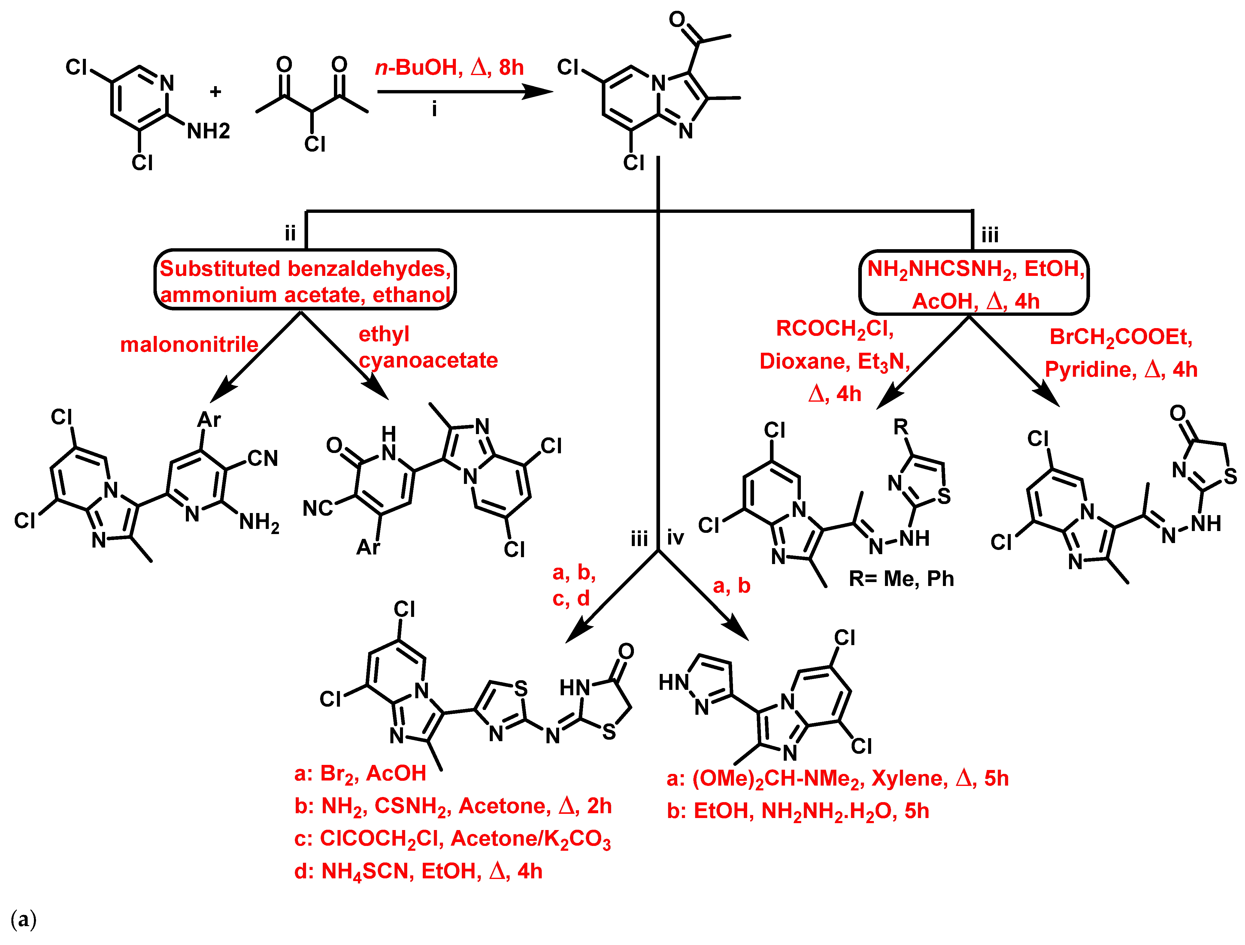
2. Strategies for the Synthesis of Imidazopyridines
3. Antibacterial Profile of Imidazopyridines
4. Conclusions
Author Contributions
Funding
Institutional Review Board Statement
Informed Consent Statement
Data Availability Statement
Acknowledgements:
Conflicts of Interest
References
- Leeson, P.D.; Springthorpe, B. The influence of drug-like concepts on decision-making in medicinal chemistry. Nat. Rev. Drug Discov. 2007, 6, 881–890. [Google Scholar] [CrossRef] [PubMed]
- Labarrios, E.M.; Delgado, F.; Tamariz, J.; Aguilar, R.l. Synthesis of α-ketols by functionalization of captodative alkenes and divergent preparation of heterocycles and natural products. Tetrahedron 2015, 71, 6961–6978. [Google Scholar]
- Kerru, N.; Gummidi, L.; Maddila, S.; Gangu, K.K.; Jonnalagadda, S.B. A review on recent advances in nitrogen-containing molecules and their biological applications. Molecules 2020, 25, 1–42. [Google Scholar] [CrossRef] [PubMed]
- Ju, Y.; Varma, R.S. Aqueous N-heterocyclization of primary amines and hydrazines with dihalides: Microwave-assisted syntheses of N-azacycloalkanes, isoindole, pyrazole, pyrazolidine, and phthalazine derivatives. J. Org. Chem. 2006, 71, 135–141. [Google Scholar] [CrossRef] [PubMed]
- Eftekhari-Sis, B.; Zirak, M.; Akbari, A. Arylglyoxals in synthesis of heterocyclic compounds. Chem. Rev. 2013, 113, 2958–3043. [Google Scholar] [CrossRef] [PubMed]
- Couty, F.; Evano, G.; Katritzky, A.; Ramsden, C.; Scriven, E.; Taylor, R. Comprehensive Heterocyclic Chemistry III; Katritzky, A.R., Ramsden, C.A., Scriven, E.F.V., Taylor, R.J.K., Eds.; Elsevier: Amsterdam, The Netherlands, 2008; Volume 11, pp. 409–499. [Google Scholar]
- Enguehard-Gueiffier, C.; Gueiffier, A. Recent Progress in the Pharmacology of Imidazo [1, 2-a] pyridines. Mini Rev. Med. Chem. 2007, 7, 888–899. [Google Scholar] [CrossRef] [PubMed]
- Kishbaugh, T.L.S. Pyridines and Imidazopyridines with medicinal significance. Curr. Top. Med. Chem. 2016, 16, 3274–3302. [Google Scholar] [CrossRef]
- Abignente, E. Etudes d’imidazo [1, 2-a] pyridines et d’analogues douées d’activité anti-inflammatoire. Actual. Chim. Thér. 1991, 18, 193–214. [Google Scholar]
- Rival, Y.; Grassy, G.; Michel, G. Synthesis and antibacterial activity of some imidazo[1,2-a]pyrimidine derivatives. Chem. Pharm. Bull. 1992, 40, 1170–1176. [Google Scholar] [CrossRef]
- Hamdouchi, C.; de Blas, J.; del Prado, M.; Gruber, J.; Heinz, B.A.; Vance, L. 2-Amino-3-substituted-6-[(E)-1-phenyl-2-(N-methylcarbamoyl) vinyl] imidazo [1, 2-a] pyridines as a novel class of inhibitors of human rhinovirus: Stereospecific synthesis and antiviral activity. J. Med. Chem. 1999, 42, 50–59. [Google Scholar] [CrossRef]
- Rupert, K.C.; Henry, J.R.; Dodd, J.H.; Wadsworth, S.A.; Cavender, D.E.; Olini, G.C.; Fahmy, B.; Siekierka, J.J. Imidazopyrimidines, potent inhibitors of p38 MAP kinase. Bioorg. Med. Chem. Lett. 2003, 13, 347–350. [Google Scholar] [CrossRef]
- Hranjec, M.; Kralj, M.; Piantanida, I.; Sedić, M.; Šuman, L.; Pavelić, K.; Karminski-Zamola, G. Novel cyano-and amidino-substituted derivatives of styryl-2-benzimidazoles and benzimidazo [1, 2-a] quinolines. Synthesis, photochemical synthesis, DNA binding, and antitumor evaluation, part 3. J. Med. Chem. 2007, 50, 5696–5711. [Google Scholar] [CrossRef] [PubMed]
- Kotovskaya, S.; Baskakova, Z.; Charushin, V.; Chupakhin, O.; Belanov, E.; Bormotov, N.; Balakhnin, S.; Serova, O. Synthesis and antiviral activity of fluorinated pyrido [1, 2-a] benzimidazoles. Pharm. Chem. J. 2005, 39, 574–578. [Google Scholar] [CrossRef]
- Lhassani, M.; Chavignon, O.; Chezal, J.-M.; Teulade, J.-C.; Chapat, J.-P.; Snoeck, R.; Andrei, G.; Balzarini, J.; De Clercq, E.; Gueiffier, A. Synthesis and antiviral activity of imidazo [1, 2-a] pyridines. Eur. J. Med. Chem. 1999, 34, 271–274. [Google Scholar] [CrossRef]
- Boerner, R.; Moller, H. Saripidem-a new treatment for panic disorders. Psychopharmakotherapie 1997, 4, 145–148. [Google Scholar]
- Yukiiri, K.; Mizushige, K.; Ueda, T.; Nishiyama, Y.; Aoyama, T.; Kohno, M. Effects of olprinone, a phosphodiesterase 3 inhibitor, on regional cerebral blood flow of cerebral cortex in stroke patients. J. Cardiovasc. Pharmacol. 2001, 37, 375–380. [Google Scholar] [CrossRef]
- Langer, S.; Arbilla, S.; Benavides, J.; Scatton, B. Zolpidem and alpidem: Two imidazopyridines with selectivity for omega 1-and omega 3-receptor subtypes. Adv. Biochem. Psychopharmacol. 1990, 46, 61–72. [Google Scholar] [PubMed]
- Almirante, L.; Polo, L.; Mugnaini, A.; Provinciali, E.; Rugarli, P.; Biancotti, A.; Gamba, A.; Murmann, W. Derivatives of imidazole. I. Synthesis and reactions of imidazo [1, 2-α] pyridines with analgesic, antiinflammatory, antipyretic, and anticonvulsant activity. J. Med. Chem. 1965, 8, 305–312. [Google Scholar] [CrossRef] [PubMed]
- Koo, H.L.; DuPont, H.L. Rifaximin: A unique gastrointestinal-selective antibiotic for enteric diseases. Curr. Opin. Gastroenterol. 2010, 26, 17–25. [Google Scholar] [CrossRef]
- Ponnala, S.; Kiran Kumar, S.; Bhat, B.A.; Prasad Sahu, D. Synthesis of bridgehead nitrogen heterocycles on a solid surface. Synth. Commun. 2005, 35, 901–906. [Google Scholar] [CrossRef]
- Zhu, D.-J.; Chen, J.-X.; Liu, M.-C.; Ding, J.-C.; Wu, H.-Y. Catalyst: And solvent-free synthesis of imidazo [1, 2-a] pyridines. J. Brazil. Chem. Soc. 2009, 20, 482–487. [Google Scholar] [CrossRef]
- Stasyuk, A.J.; Banasiewicz, M.; Cyrański, M.K.; Gryko, D.T. Imidazo [1, 2-a] pyridines susceptible to excited state intramolecular proton transfer: One-pot synthesis via an Ortoleva–King reaction. J. Org. Chem. 2012, 77, 5552–5558. [Google Scholar] [CrossRef] [PubMed]
- Yadav, J.; Reddy, B.S.; Rao, Y.G.; Srinivas, M.; Narsaiah, A. Cu (OTf) 2-catalyzed synthesis of imidazo [1, 2-a] pyridines from α-diazoketones and 2-aminopyridines. Tetrahedron Lett. 2007, 48, 7717–7720. [Google Scholar] [CrossRef]
- Xie, Y.-Y.; Chen, Z.-C.; Zheng, Q.-G. Organic reactions in ionic liquids: Ionic liquid-accelerated cyclocondensation of α-tosyloxyketones with 2-aminopyridine. Synthesis 2002, 2002, 1505–1508. [Google Scholar] [CrossRef]
- Ueno, M.; Togo, H. Environmentally benign preparation of heteroaromatics from ketones or alcohols, with macroporous polystyrenesulfonic acid and (diacetoxyiodo) benzene, followed by thioamide, amidine, and 2-aminopyridine. Synthesis 2004, 2004, 2673–2677. [Google Scholar]
- Liu, Z.; Chen, Z.-C.; Zheng, Q.-G. Hypervalent iodine in synthesis. 94. A facile synthesis of 2-substituted-imidazo [1, 2-a] pyridines by cyclocondensation of alkynyl (phenyl) iodonium salts and 2-aminopyridine. Synth. Commun. 2004, 34, 361–367. [Google Scholar] [CrossRef]
- Wu, Z.; Pan, Y.; Zhou, X. Synthesis of 3-arylimidazo [1, 2-a] pyridines by a catalyst-free cascade process. Synthesis 2011, 2011, 2255–2260. [Google Scholar]
- Yu, C.; Chen, X.; Wu, R.; Yang, G.; Shi, J.; Pan, L. One-Pot Synthesis of N-(Imidazo [1, 2-a] pyridin-3-yl)-Substituted Sulfonamides Using Catalytic Zinc Chloride. Eur. J. Org. Chem. 2014, 2014, 2037–2043. [Google Scholar] [CrossRef]
- Nair, D.K.; Mobin, S.M.; Namboothiri, I.N. Synthesis of imidazopyridines from the Morita–Baylis–Hillman acetates of nitroalkenes and convenient access to Alpidem and Zolpidem. Org. Lett. 2012, 14, 4580–4583. [Google Scholar] [CrossRef]
- Yan, H.; Yang, S.; Gao, X.; Zhou, K.; Ma, C.; Yan, R.; Huang, G. Iron (II)-catalyzed denitration reaction: Synthesis of 3-methyl-2-arylimidazo [1, 2-a] pyridine derivatives from aminopyridines and 2-methylnitroolefins. Synlett 2012, 23, 2961–2964. [Google Scholar] [CrossRef]
- Santra, S.; Bagdi, A.K.; Majee, A.; Hajra, A. Iron (III)-Catalyzed Cascade Reaction between Nitroolefins and 2-Aminopyridines: Synthesis of Imidazo [1, 2-a] Pyridines and Easy Access towards Zolimidine. Adv. Synth. Catal. 2013, 355, 1065–1070. [Google Scholar] [CrossRef]
- Yan, H.; Wang, Y.; Pan, C.; Zhang, H.; Yang, S.; Ren, X.; Li, J.; Huang, G. Iron(III)-Catalyzed Denitration Reaction: One-Pot Three-Component Synthesis of Imidazo[1,2-a]pyridine Derivatives. Eur. J. Org. Chem. 2014, 13, 2754–2763. [Google Scholar] [CrossRef]
- Schwerkoske, J.; Masquelin, T.; Perun, T.; Hulme, C. New multi-component reaction accessing 3-aminoimidazo [1, 2-a] pyridines. Tetrahedron Lett. 2005, 46, 8355–8357. [Google Scholar] [CrossRef]
- DiMauro, E.F.; Kennedy, J.M. Rapid synthesis of 3-amino-imidazopyridines by a microwave-assisted four-component coupling in one pot. J. Org. Chem. 2007, 72, 1013–1016. [Google Scholar] [CrossRef] [PubMed]
- Adib, M.; Sheibani, E.; Zhu, L.-G.; Mirzaei, P. An efficient synthesis of 3-amino-2-arylimidazo [1, 2-a] pyridines. Tetrahedron Lett. 2008, 49, 5108–5110. [Google Scholar] [CrossRef]
- Shao, N.; Pang, G.-X.; Yan, C.-X.; Shi, G.-F.; Cheng, Y. Reaction of β-lactam carbenes with 2-pyridyl isonitriles: A one-pot synthesis of 2-carbonyl-3-(pyridylamino) imidazo [1, 2-a] pyridines useful as fluorescent probes for mercury ion. J. Org. Chem. 2011, 76, 7458–7465. [Google Scholar] [CrossRef]
- Khan, A.T.; Basha, R.S.; Lal, M. Bromodimethylsulfonium bromide (BDMS) catalyzed synthesis of imidazo [1, 2-a] pyridine derivatives and their fluorescence properties. Tetrahedron Lett. 2012, 53, 2211–2217. [Google Scholar] [CrossRef]
- Ramesha, A.B.; Raghavendra, G.M.; Nandeesh, K.N.; Rangappa, K.S.; Mantelingu, K. Tandem approach for the synthesis of imidazo [1, 2-a] pyridines from alcohols. Tetrahedron Lett. 2013, 54, 95–100. [Google Scholar] [CrossRef]
- Chernyak, N.; Gevorgyan, V. General and Efficient Copper-Catalyzed Three-Component Coupling Reaction towards Imidazoheterocycles: One-Pot Synthesis of Alpidem and Zolpidem. Angew. Chem. 2010, 122, 2803–2806. [Google Scholar] [CrossRef]
- Yu, J.; Jin, Y.; Zhang, H.; Yang, X.; Fu, H. Copper-Catalyzed Aerobic Oxidative C-H Functionalization of Substituted Pyridines: Synthesis of Imidazopyridine Derivatives. Chem. Eur. J. 2013, 19, 16804–16808. [Google Scholar] [CrossRef]
- Huang, H.; Ji, X.; Tang, X.; Zhang, M.; Li, X.; Jiang, H. Conversion of pyridine to imidazo [1, 2-a] pyridines by copper-catalyzed aerobic dehydrogenative cyclization with oxime esters. Org. Lett. 2013, 15, 6254–6257. [Google Scholar] [CrossRef] [PubMed]
- Monir, K.; Kumar Bagdi, A.; Mishra, S.; Majee, A.; Hajra, A. Copper (II)-Catalyzed Aerobic Oxidative Coupling between Chalcone and 2-Aminopyridine via C-H Amination: An Expedient Synthesis of 3-Aroylimidazo [1, 2-a] pyridines. Adv. Synth. Catal. 2014, 356, 1105–1112. [Google Scholar] [CrossRef]
- Wang, H.; Wang, Y.; Peng, C.; Zhang, J.; Zhu, Q. A direct intramolecular C− H amination reaction cocatalyzed by copper (II) and iron (III) as part of an efficient route for the synthesis of pyrido [1, 2-a] benzimidazoles from N-aryl-2-aminopyridines. J. Am. Chem. Soc. 2010, 132, 13217–13219. [Google Scholar] [CrossRef]
- Masters, K.S.; Rauws, T.R.; Yadav, A.K.; Herrebout, W.A.; Van der Veken, B.; Maes, B.U. On the importance of an acid additive in the synthesis of pyrido [1, 2-a] benzimidazoles by direct copper-catalyzed amination. Chem. Eur. J. 2011, 17, 6315–6320. [Google Scholar] [CrossRef] [PubMed]
- Wang, H.; Wang, Y.; Liang, D.; Liu, L.; Zhang, J.; Zhu, Q. Copper-Catalyzed Intramolecular Dehydrogenative Aminooxygenation: Direct Access to Formyl-Substituted Aromatic N-Heterocycles. Angewandte Chem. 2011, 123, 5796–5799. [Google Scholar] [CrossRef]
- Chioua, M.; Soriano, E.; Infantes, L.; Jimeno, M.L.; Marco-Contelles, J.; Samadi, A. Silver-Catalyzed Cyclization of N-(Prop-2-yn-1-yl) pyridin-2-amines. Eur. J. Org. Chem. 2013, 2013, 35–39. [Google Scholar] [CrossRef]
- Donohoe, T.J.; Kabeshov, M.A.; Rathi, A.H.; Smith, I.E. Direct preparation of thiazoles, imidazoles, imidazopyridines and thiazolidines from alkenes. Org. Biomol. Chem. 2012, 10, 1093–1101. [Google Scholar] [CrossRef]
- Zeng, J.; Tan, Y.J.; Leow, M.L.; Liu, X.-W. Copper (II)/iron (III) Co-catalyzed intermolecular diamination of alkynes: Facile synthesis of imidazopyridines. Org. Lett. 2012, 14, 4386–4389. [Google Scholar] [CrossRef]
- Gao, Y.; Yin, M.; Wu, W.; Huang, H.; Jiang, H. Copper-Catalyzed Intermolecular Oxidative Cyclization of Halo-alkynes: Synthesis of 2-Halo-substituted Imidazo [1, 2-a] pyridines, Imidazo [1, 2-a] pyrazines and Imidazo [1, 2-a] pyrimidines. Adv. Synth. Catal. 2013, 355, 2263–2273. [Google Scholar] [CrossRef]
- Yan, R.-L.; Yan, H.; Ma, C.; Ren, Z.-Y.; Gao, X.-A.; Huang, G.-S.; Liang, Y.-M. Cu (I)-catalyzed synthesis of imidazo [1, 2-a] pyridines from aminopyridines and nitroolefins using air as the oxidant. J. Org. Chem. 2012, 77, 2024–2028. [Google Scholar] [CrossRef]
- Bagdi, A.K.; Rahman, M.; Santra, S.; Majee, A.; Hajra, A. Copper-Catalyzed Synthesis of Imidazo [1, 2-a] Pyridines through Tandem Imine Formation-Oxidative Cyclization under Ambient Air: One-Step Synthesis of Zolimidine on a Gram-Scale. Adv. Synth. Catal. 2013, 355, 1741–1747. [Google Scholar] [CrossRef]
- Chandra Mohan, D.; Reddy Donthiri, R.; Nageswara Rao, S.; Adimurthy, S. Copper (I) Iodide-Catalysed Aerobic Oxidative Synthesis of Imidazo [1, 2-a] Pyridines from 2-Aminopyridines and Methyl Ketones. Adv. Synth. Catal. 2013, 355, 2217–2221. [Google Scholar] [CrossRef]
- Cai, Z.J.; Wang, S.Y.; Ji, S.J. Copper (I) Iodide/Boron Trifluoride Etherate-Cocatalyzed Aerobic Dehydrogenative Reactions Applied in the Synthesis of Substituted Heteroaromatic Imidazo [1, 2-a] Pyridines. Adv. Synth. Catal. 2013, 355, 2686–2692. [Google Scholar] [CrossRef]
- Zhang, Y.; Chen, Z.; Wu, W.; Zhang, Y.; Su, W. CuI-catalyzed aerobic oxidative α-aminaton cyclization of ketones to access aryl or alkenyl-substituted imidazoheterocycles. J. Org. Chem. 2013, 78, 12494–12504. [Google Scholar] [CrossRef] [PubMed]
- Tran, C.; Hamze, A. Recent Developments in the Photochemical Synthesis of Functionalized Imidazopyridines. Molecules 2022, 27, 1–43. [Google Scholar] [CrossRef]
- Mishra, N.P.; Mohapatra, S.; Sahoo, C.R.; Raiguru, B.P.; Nayak, S.; Jena, S.; Padhy, R.N. Design, one-pot synthesis, molecular docking study, and antibacterial evaluation of novel 2H-chromene based imidazo [1, 2-a] pyridine derivatives as potent peptide deformylase inhibitors. J. Mol. Struct. 2021, 1246, 1–15. [Google Scholar] [CrossRef]
- Althagafi, I.; Abdel-Latif, E. Synthesis and antibacterial activity of new imidazo [1, 2-a] pyridines festooned with pyridine, thiazole or pyrazole moiety. Polycycl. Aromat. Comp. 2021, 42, 4487–4500. [Google Scholar] [CrossRef]
- Thakur, A.; Pereira, G.; Patel, C.; Chauhan, V.; Dhaked, R.K.; Sharma, A. Design, one-pot green synthesis and antimicrobial evaluation of novel imidazopyridine bearing pyran bis-heterocycles. J. Mol. Struct. 2020, 1206, 1–13. [Google Scholar] [CrossRef]
- Ebenezer, O.; Awolade, P.; Koorbanally, N.; Singh, P. New library of pyrazole–imidazo [1, 2-α] pyridine molecular conjugates: Synthesis, antibacterial activity and molecular docking studies. Chem. Biol. Drug Des. 2020, 95, 162–173. [Google Scholar] [CrossRef]
- Salhi, L.; Achouche-Bouzroura, S.; Nechak, R.; Nedjar-Kolli, B.; Rabia, C.; Merazig, H.; Poulain-Martini, S.; Dunach, E. Synthesis of functionalized dihydroimidazo [1, 2-A] pyridines and 4-thiazolidinone derivatives from maleimide, as new class of antimicrobial agents. Synth. Commun. 2020, 50, 412–422. [Google Scholar] [CrossRef]
- O’malley, T.; Alling, T.; Early, J.V.; Wescott, H.A.; Kumar, A.; Moraski, G.C.; Miller, M.J.; Masquelin, T.; Hipskind, P.A.; Parish, T. Imidazopyridine compounds inhibit mycobacterial growth by depleting ATP levels. Antimicrob. Agents Chemother. 2018, 62, e02439-17. [Google Scholar] [CrossRef] [PubMed]
- Kuthyala, S.; Shankar, M.K.; Nagaraja, G.K. Synthesis, Single-Crystal X-Ray, Hirshfeld and Antimicrobial Evaluation of some New Imidazopyridine Nucleus Incorporated with Oxadiazole Scaffold. Chem. Select 2018, 3, 12894–12899. [Google Scholar] [CrossRef]
- Devi, N.; Jana, A.K.; Singh, V. Assessment of novel pyrazolopyridinone fused imidazopyridines as potential antimicrobial agents. Karbala Int. J. Mod. Sci. 2018, 4, 164–170. [Google Scholar] [CrossRef]
- Arora, K.; Ochoa-Montaño, B.; Tsang, P.S.; Blundell, T.L.; Dawes, S.S.; Mizrahi, V.; Bayliss, T.; Mackenzie, C.J.; Cleghorn, L.A.; Ray, P.C. Respiratory flexibility in response to inhibition of cytochrome C oxidase in Mycobacterium tuberculosis. Antimicrob. Agents Chemother. 2014, 58, 6962–6965. [Google Scholar] [CrossRef] [PubMed]
- Al-Tel, T.H.; Al-Qawasmeh, R.A.; Zaarour, R. Design, synthesis and in vitro antimicrobial evaluation of novel Imidazo [1, 2-a] pyridine and imidazo [2, 1-b][1, 3] benzothiazole motifs. Eur. J. Med. Chem. 2011, 46, 1874–1881. [Google Scholar] [CrossRef] [PubMed]
- Starr, J.T.; Sciotti, R.J.; Hanna, D.L.; Huband, M.D.; Mullins, L.M.; Cai, H.; Gage, J.W.; Lockard, M.; Rauckhorst, M.R.; Owen, R.M. 5-(2-Pyrimidinyl)-imidazo [1, 2-a] pyridines are antibacterial agents targeting the ATPase domains of DNA gyrase and topoisomerase IV. Bioorg. Med. Chem. Lett. 2009, 19, 5302–5306. [Google Scholar] [CrossRef] [PubMed]















Publisher’s Note: MDPI stays neutral with regard to jurisdictional claims in published maps and institutional affiliations. |
© 2022 by the authors. Licensee MDPI, Basel, Switzerland. This article is an open access article distributed under the terms and conditions of the Creative Commons Attribution (CC BY) license (https://creativecommons.org/licenses/by/4.0/).
Share and Cite
Sanapalli, B.K.R.; Ashames, A.; Sigalapalli, D.K.; Shaik, A.B.; Bhandare, R.R.; Yele, V. Synthetic Imidazopyridine-Based Derivatives as Potential Inhibitors against Multi-Drug Resistant Bacterial Infections: A Review. Antibiotics 2022, 11, 1680. https://doi.org/10.3390/antibiotics11121680
Sanapalli BKR, Ashames A, Sigalapalli DK, Shaik AB, Bhandare RR, Yele V. Synthetic Imidazopyridine-Based Derivatives as Potential Inhibitors against Multi-Drug Resistant Bacterial Infections: A Review. Antibiotics. 2022; 11(12):1680. https://doi.org/10.3390/antibiotics11121680
Chicago/Turabian StyleSanapalli, Bharat Kumar Reddy, Akram Ashames, Dilep Kumar Sigalapalli, Afzal B. Shaik, Richie R. Bhandare, and Vidyasrilekha Yele. 2022. "Synthetic Imidazopyridine-Based Derivatives as Potential Inhibitors against Multi-Drug Resistant Bacterial Infections: A Review" Antibiotics 11, no. 12: 1680. https://doi.org/10.3390/antibiotics11121680
APA StyleSanapalli, B. K. R., Ashames, A., Sigalapalli, D. K., Shaik, A. B., Bhandare, R. R., & Yele, V. (2022). Synthetic Imidazopyridine-Based Derivatives as Potential Inhibitors against Multi-Drug Resistant Bacterial Infections: A Review. Antibiotics, 11(12), 1680. https://doi.org/10.3390/antibiotics11121680

