Next Article in Journal
Antimicrobial Resistance Challenged with Platinum(II) and Palladium(II) Complexes Containing 1,10-Phenanthroline and 5-Amino-1,3,4-Thiadiazole-2(3H)-Thione in Campylobacter jejuni
Previous Article in Journal
Synthesis of Fully Deacetylated Quaternized Chitosan with Enhanced Antimicrobial Activity and Low Cytotoxicity
 
 
Font Type:
Arial Georgia Verdana
Font Size:
Aa Aa Aa
Line Spacing:
Column Width:
Background:
Communication

Impact of Freeze Storage on the Estimation of Phenotypic Antimicrobial Resistance Prevalence in Escherichia coli Collected from Faecal Samples from Healthy Humans and Chickens

by
Bach Tuan Kiet
1,
Nguyen Thi Nhung
2,*,
Nguyen Thi Phuong Yen
2,
Doan Hoang Phu
2,3,
Nguyen Thi Thuy Dung
2,3,
Lam Kim Yen
4,
Ho Thi Viet Thu
5 and
Juan J. Carrique-Mas
2,6,7
1
Sub-Department of Animal Health and Production, Dong Thap 81000, Vietnam
2
Oxford University Clinical Research Unit, Ho Chi Minh City 70000, Vietnam
3
Faculty of Animal Sciences and Veterinary Medicine, Nong Lam University, Ho Chi Minh City 70000, Vietnam
4
Faculty of Agriculture and Aquaculture, Dong Thap Community College, Dong Thap 81000, Vietnam
5
Department of Agriculture, Can Tho University, Can Tho 94000, Vietnam
6
Food and Agriculture Organization of the United Nations, Hanoi 10000, Vietnam
7
Centre for Tropical Medicine, Nuffield Department of Clinical Medicine, Oxford University, Oxford OX3 7FZ, UK
*
Author to whom correspondence should be addressed.
Antibiotics 2022, 11(11), 1643; https://doi.org/10.3390/antibiotics11111643
Submission received: 20 October 2022 / Revised: 13 November 2022 / Accepted: 16 November 2022 / Published: 17 November 2022

Abstract

Many studies on phenotypic antimicrobial resistance (AMR) of bacteria from healthy populations are conducted on freeze-stored samples. However, the impact of this practice on phenotypic AMR is not known. We investigated the prevalence of phenotypic AMR in Escherichia coli from chicken (n = 10) and human (n = 11) faecal samples collected from healthy subjects, subject to freeze storage (−20 °C and −80 °C) for 1, 2, 3, and 6 months. We compared counts of E. coli and prevalence of phenotypic resistance against five antimicrobials commonly used in chicken farming (ciprofloxacin, enrofloxacin, doxycycline, gentamicin, and florfenicol) with samples processed within 24 h of collection. Prevalence of phenotypic AMR was estimated by performing differential counts on agar media with and without antimicrobials. At −20 °C, there was a considerable reduction in E. coli counts over time, and this reduction was greater for human samples (−0.630 log10 units per 100 days) compared with chicken samples (−0.178 log10 units per 100 days). For most antimicrobials, AMR prevalence estimates decreased in freeze-stored samples both in humans and chickens over time. Based on these results, we conclude that results on the prevalence of phenotypic AMR on samples from freeze-stored samples are unreliable, and only fresh samples should be used in such studies.

1. Introduction

Antimicrobial resistance (AMR) has been declared by the World Health Organization (WHO) as one of the top 10 threats affecting humanity [1]. Commensal Escherichia coli are commonly used as indicator organisms to measure levels of phenotypic AMR in the gut of healthy human and animal populations [2,3]. These organisms are intrinsically susceptible to most clinically relevant antimicrobial agents, and have the capacity to accumulate AMR-encoding genes through horizontal gene transfer [4]. Furthermore, E. coli can be an important vehicle for the dissemination of antimicrobial resistant genes (ARG) [5].
Prevalence levels of resistance in these organisms often correlate with levels of antimicrobial use (AMU) in animals [6] and in humans [7]. Studies on AMR are often carried out using commensal E. coli strains from faecal samples from healthy animals and humans. Such studies involve the recovery of isolates [8,9,10] and further antimicrobial susceptibility testing. Prevalence of resistance is often calculated by comparing numbers of E. coli colonies recovered from samples plated onto agar media with and without the target antimicrobial [10].
On many occasions, laboratory testing is not possible immediately after sample collection, and faecal samples or their eluates are often stored in freezing conditions to be conveniently tested later. This is often carried out in the context of metagenomic analyses (i.e., analysis of genomes contained in faecal samples), but in some cases also for the investigation of phenotypic AMR (i.e., prevalence of resistance). Some studies suggest that freeze storage of samples may not substantially affect the microbiome profile over a short or long time period [11,12,13]. The extent to which freeze storage may affect phenotypic AMR on E. coli isolates is, however, not known. It has been shown that many AMR traits entail fitness costs to bacteria, especially those encoded by mutations [14]. Because of this, we hypothesise that storage conditions may result in reduced survival of the more resistant strains, and therefore, culture work on freeze-stored samples may provide unreliable estimates of phenotypic resistance.
We compared estimates of phenotypic resistance in randomly selected E. coli from human and chicken flock samples stored in glycerol at two different temperature conditions (−20 °C and −80 °C), and compared these results with those obtained from faecal material immediately processed. An understanding of the impact of freeze storing conditions on AMR is relevant when planning studies aiming at investigating the prevalence of phenotypic AMR in E. coli.

2. Results

2.1. Counts of E. coli Colonies in Fresh and Stored Samples

Baseline counts (i.e., fresh samples) were 321.5 (IQR 44.4–907.5) × 103 and 2848 (IQR 730.5–7165) × 103 cfu/mL in human and chicken samples, respectively (Figure 1). The E. coli counts of each sample are presented in Table S1.
Overall, storage of samples at −80 °C over time resulted in slightly increased E. coli counts in both human and chicken samples. However, at −20 °C, there was a considerable reduction in counts over time, which was quantitatively greater for human samples (−0.630 per 100 days) compared with chicken samples (−0.178 per 100 days, Table 1).

2.2. Prevalence of Resistance over Time in Faecal Samples

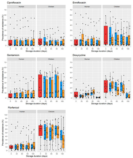
The prevalence of phenotypic AMR among E. coli in human and chicken samples is shown in Figure 2. Predictions from the models are shown in Table 2. The parameters and coefficients of these models are provided in Table S2. The estimated prevalence of resistance decreased over time for most antimicrobials tested, except for gentamicin in human samples, which was predicted to increase from 21% to 51% after 300 days at −20 °C. For chicken samples, the prevalence of resistance reduced more markedly in samples stored at −80 °C compared with −20 °C. For human samples, the opposite was the case, except for florfenicol, whose prevalence declined faster at −20 °C.

3. Discussion

Storage of faecal samples for later isolation and subsequent phenotypic AMR investigation is relatively common practice in many microbiological laboratories. Our results suggest that storage at −80 °C resulted in good preservation of E. coli bacteria, consistent with a previous study [15]. We hypothesise that the observed increases in E. coli counts in samples stored at −80 °C may be linked to the differential mortality of other bacterial species in the sample, thus providing E. coli with a competitive advantage. It has been shown that freezing faecal samples may change the bacterial community structure [16], although some studies have only found marginal changes based on 16S rRNA analyses [11]. Escherichia coli have been generally described as relatively resilient organisms under different environmental conditions [17]. We suggest investigating this using spiked samples, mixing E. coli with a number of other enteric bacteria at known concentrations and measuring the changes over time in freezing conditions.
For most antimicrobials, AMR prevalence estimates decreased in freeze-stored samples both in humans and chickens over time. These findings are consistent with a recent study on E. coli recovered from freeze-stored (−80 °C) faecal samples, reporting measurable decreases in tetracycline and amoxicillin resistance after 6–12 months compared with fresh samples [18]. The single exception in our study was gentamicin resistance in human samples, which surprisingly increased its prevalence over time at −20 °C. A plausible explanation is that under these conditions, E. coli isolates not harbouring gentamicin-resistance-encoding genes had comparatively less mortality. A previous study on pig faecal samples showed a general decline in ARG abundance after freeze storage (−20 °C and −80 °C) compared with samples immediately processed. The exception was for macrolide- and β-lactam-encoding ARGs [19]. However, that study was conducted on two samples only.
Freeze storage of chicken samples at −80 °C resulted in less marked reductions in the prevalence of resistance than storage at −20 °C. However, for human samples, resistance declined more markedly when stored at −80 °C for four of the five antimicrobials tested. This phenomenon, alongside the increases in E. coli counts at −80 °C, is a puzzling finding that requires further investigation. Potentially, this could be investigated by carrying out controlled studies with mixtures containing known quantities of gentamicin-resistant E. coli bacteria alongside other enteric human bacteria under freezing conditions over time.
Although we believe that the sample size is adequate and includes a representative number of unrelated chicken flocks and human subjects (farmers), there is still a small possibility that these results may not be comparable with samples containing very different enteric flora and antimicrobial resistance patterns. We therefore recommend to confirm this by conducting studies on a range of animal species and variable resistance traits.

4. Materials and Methods

4.1. Study Design

We estimated the prevalence of phenotypic AMR among E. coli from chicken (n = 10) and human (n = 11) faecal samples stored under −20 °C and −80 °C conditions, after 1, 2, 3, and 6 months, and compared these results with samples processed within 24 h of collection. Prevalence of phenotypic AMR was estimated by performing differential counts on agar with and without antimicrobials.

4.2. Sample Collection

Ten different meat chicken flocks sampled at ages 1–4 weeks located in the Mekong Delta province of Dong Thap (Vietnam) were investigated. All flocks were single-age; each consisting of 200–500 birds housed in confinement. In each chicken pen/house, sterile paper liners were placed near drinkers and feeders to collect fresh droppings. After a minimum of 10 droppings had been deposited, liners were swabbed using sterile gauze. Each collected gauze was placed in a universal jar. Samples were collected by staff affiliated to the Sub-Department of Animal Health and Production of Dong Thap (SDAHP-DT). Rectal swabs were collected from chicken farmers by Center for Disease Control of Dong Thap (CDC-DT) staff. Each swab was placed immediately into a vial containing 5 mL of BHI + glycerol 20% and was transferred (at 4 °C) to the laboratory within 24 h of collection. In the laboratory, human rectal swabs were vortexed thoroughly to release and suspend the faecal matter in the liquid medium. Subsequently, 5 g of each chicken faeces were suspended in 45 mL of BHI + glycerol 20%. For each sample, two sets of five aliquots (0.5 mL of sample/aliquot) were stored at −20 °C and −80 °C, respectively.

4.3. Estimation of the Prevalence of Resistant E. coli

A volume of 100 µL of sample matrix was diluted to 1:100 (human samples) and 1:1000 (chicken samples) in saline solution. ECC agar (CHROMagar, Paris, France) plates with and without antimicrobials were inoculated with 50 µL of sample matrix. The following five antimicrobials were investigated: gentamicin, 8 mg/L (aminoglycoside class); ciprofloxacin, 2 mg/L; enrofloxacin, 1 mg/L (fluoroquinolone class); doxycycline, 8 mg/L (tetracycline class); and florfenicol, 8 mg/L (amphenicol class). The quality of the plates was controlled using susceptible reference (E. coli ATCC 25922) as well as in-house E. coli strains resistant to each of the antimicrobials tested.
All plates were incubated at 37 °C for a period of 18–20 h. The total number of suspected E. coli (blue colonies) were counted from the ECC agar plates with and without antimicrobials. In ECC agar, E. coli form either a distinct blue colony or white colony in appearance with a small blue centre. We used MALDI-TOF MS (MALDI Biotyper 3.1, version 3.1.65, MBT library 5627 mps, Bruker Daltonics, Billerica, MA, USA) to confirm the species identity of over 200 colonies.
The prevalence of resistance was calculated by dividing the counts of E. coli on both types of plate. We performed these analyses on fresh samples (i.e., within 24 h after sample collection), and on samples stored at −20 °C and −80 °C after 1, 2, 3, and 6 months. All experiments were conducted in duplicate.

4.4. Data Analyses

We built Poisson regression random effects models for counts of chicken and human E. coli isolates. The sample ID was included as a random effect. We modelled the interaction of time and freezing conditions (−80 °C vs. −20 °C) as variables of interest. For studies on counts in antimicrobial plates relative to total counts (i.e., in non-antimicrobial plates), we included the number of colonies in the non-selective plates (log) as offset in the model. All models were built using the lme4 package in R.

5. Conclusions

We conclusively demonstrate here the importance of sample storage in the investigation of phenotypic resistance in E. coli from faecal samples from humans and animals. Based on these results, we do not recommend carrying out studies on frozen samples, given that this may lead to false results, generally resulting in an underestimation of the prevalence of phenotypic AMR.

Supplementary Materials

The following supporting information can be downloaded at: https://www.mdpi.com/article/10.3390/antibiotics11111643/s1. Table S1: CFU/mL of E. coli in presence/ absence of antimicrobials. Table S2: The parameters and coefficients of models investigate the effects of storage duration and temperature on the change of phenotypic AMR.

Author Contributions

J.J.C.-M. and B.T.K. conceived the idea. N.T.N. and N.T.P.Y. conducted the laboratory analyses. B.T.K., N.T.N. and D.H.P. analysed the data. J.J.C.-M., L.K.Y. and H.T.V.T. supervised the results. N.T.T.D. contributed with discussions and ideas for scope and content. B.T.K. drafted the initial version of the manuscript. All authors commented on subsequent versions. All authors have read and agreed to the published version of the manuscript.

Funding

This work has been funded by the Wellcome Trust through an Intermediate Clinical Fellowship awarded to Dr. Juan Carrique-Mas (Grant No. 110085/Z/15/Z).

Institutional Review Board Statement

The study was conducted in accordance with the Declaration of Helsinki and approved by Oxford University Ethics Committee (OxTREC; protocol Ref. No. 503-20; approval date 13 February 2020).

Informed Consent Statement

Informed consent was obtained from all participants.

Data Availability Statement

Not applicable.

Acknowledgments

The authors would like to thank all participants, to staff affiliated to Sub-Department of Animal Health and Production and Center for Disease Control (Dong Thap) for their support in sample and data collection.

Conflicts of Interest

The authors declare no conflict of interest.

References

  1. E Clinical Medicine. Antimicrobial resistance: A top ten global public health threat. EClinicalMedicine 2021, 41, 101221. [Google Scholar] [CrossRef] [PubMed]
  2. Nji, E.; Kazibwe, J.; Hambridge, T.; Joko, C.A.; Larbi, A.A.; Damptey, L.A.O.; Nkansa-Gyamfi, N.A.; Lundborg, C.S.; Lien, L.T.Q. High prevalence of antibiotic resistance in commensal Escherichia coli from healthy human sources in community settings. Sci. Rep. 2021, 11, 1–11. [Google Scholar] [CrossRef] [PubMed]
  3. Nhung, N.T.; Cuong, N.V.; Thwaites, G.; Carrique-Mas, J. Antimicrobial Usage and Antimicrobial Resistance in Animal Production in Southeast Asia: A Review. Antibiotics 2016, 5, 37. [Google Scholar] [CrossRef] [PubMed]
  4. Poirel, L.; Madec, J.-Y.; Lupo, A.; Schink, A.-K.; Kieffer, N.; Nordmann, P.; Schwarz, S. Antimicrobial Resistance in Escherichia coli. Microbiol. Spectr. 2018, 6, 14. [Google Scholar] [CrossRef] [PubMed]
  5. Poole, T.; Callaway, T.; Norman, K.; Scott, H.; Loneragan, G.; Ison, S.; Beier, R.; Harhay, D.; Norby, B.; Nisbet, D. Transferability of antimicrobial resistance from multidrug-resistant Escherichia coli isolated from cattle in the USA to E. coli and Salmonella Newport recipients. J. Glob. Antimicrob. Resist. 2017, 11, 123–132. [Google Scholar] [CrossRef] [PubMed]
  6. Chantziaras, I.; Boyen, F.; Callens, B.; Dewulf, J. Correlation between veterinary antimicrobial use and antimicrobial resistance in food-producing animals: A report on seven countries. J. Antimicrob. Chemother. 2014, 69, 827–834. [Google Scholar] [CrossRef] [PubMed]
  7. Nhung, N.T.; Yen, N.T.P.; Dung, N.T.T.; Nhan, N.T.M.; Phu, D.H.; Kiet, B.T.; Thwaites, G.; Geskus, R.B.; Baker, S.; Carrique-Mas, J.; et al. Antimicrobial resistance in commensal Escherichia coli from humans and chickens in the Mekong Delta of Vietnam is driven by antimicrobial usage and potential cross-species transmission. JAC-Antimicrob. Resist. 2022, 4, dlac054. [Google Scholar] [CrossRef] [PubMed]
  8. Purohit, M.R.; Chandran, S.; Shah, H.; Diwan, V.; Tamhankar, A.J.; Lundborg, C.S. Antibiotic Resistance in an Indian Rural Community: A ‘One-Health’ Observational Study on Commensal Coliform from Humans, Animals, and Water. Int. J. Environ. Res. Public Health 2017, 14, 386. [Google Scholar] [CrossRef] [PubMed]
  9. Nhung, N.T.; Cuong, N.V.; Campbell, J.; Hoa, N.T.; Bryant, J.E.; Truc, V.N.T.; Kiet, B.T.; Jombart, T.; Trung, N.V.; Hien, V.B.; et al. High Levels of Antimicrobial Resistance among Escherichia coli Isolates from Livestock Farms and Synanthropic Rats and Shrews in the Mekong Delta of Vietnam. Appl. Environ. Microbiol. 2015, 81, 812–820. [Google Scholar] [CrossRef] [PubMed]
  10. Nguyen, V.T.; Carrique-Mas, J.J.; Ngo, T.H.; Ho, H.M.; Ha, T.T.; Campbell, J.I.; Nguyen, T.N.; Hoang, N.N.; Pham, V.M.; Wagenaar, J.A.; et al. Prevalence and risk factors for carriage of antimicrobial-resistant Escherichia coli on household and small-scale chicken farms in the Mekong Delta of Vietnam. J. Antimicrob. Chemother. 2015, 70, 2144–2152. [Google Scholar] [CrossRef] [PubMed]
  11. Bassis, C.M.; Program, F.T.C.P.E.; Moore, N.M.; Lolans, K.; Seekatz, A.M.; Weinstein, R.A.; Young, V.B.; Hayden, M.K. Comparison of stool versus rectal swab samples and storage conditions on bacterial community profiles. BMC Microbiol. 2017, 17, 1–7. [Google Scholar] [CrossRef] [PubMed]
  12. Gavriliuc, S.; Stothart, M.R.; Henry, A.; Poissant, J. Long-term storage of feces at −80 °C versus −20 °C is negligible for 16S rRNA amplicon profiling of the equine bacterial microbiome. PeerJ 2021, 9, e10837. [Google Scholar] [CrossRef] [PubMed]
  13. Lauber, C.L.; Zhou, N.; Gordon, J.I.; Knight, R.; Fierer, N. Effect of storage conditions on the assessment of bacterial community structure in soil and human-associated samples. FEMS Microbiol. Lett. 2010, 307, 80–86. [Google Scholar] [CrossRef] [PubMed]
  14. Vogwill, T.; MacLean, R.C. The genetic basis of the fitness costs of antimicrobial resistance: A meta-analysis approach. Evol. Appl. 2015, 8, 284–295. [Google Scholar] [CrossRef] [PubMed]
  15. Dorsaz, S.; Charretier, Y.; Girard, M.; Gaïa, N.; Leo, S.; Schrenzel, J.; Harbarth, S.; Huttner, B.; Lazarevic, V. Changes in Microbiota Profiles After Prolonged Frozen Storage of Stool Suspensions. Front. Cell. Infect. Microbiol. 2020, 10, 77. [Google Scholar] [CrossRef] [PubMed]
  16. Pérez-Burillo, S.; Hinojosa-Nogueira, D.; Navajas-Porras, B.; Blasco, T.; Balzerani, F.; Lerma-Aguilera, A.; León, D.; Pastoriza, S.; Apaolaza, I.; Planes, F.; et al. Effect of Freezing on Gut Microbiota Composition and Functionality for In Vitro Fermentation Experiments. Nutrients 2021, 13, 2207. [Google Scholar] [CrossRef] [PubMed]
  17. van Elsas, J.D.; Semenov, A.v.; Costa, R.; Trevors, J.T. Survival of Escherichia coli in the Environment: Fundamental and Public Health Aspects. ISME J. 2011, 5, 173–183. [Google Scholar] [CrossRef] [PubMed]
  18. Turner, A.; Schubert, H.; Puddy, E.F.; Sealey, J.E.; Gould, V.C.; Cogan, T.A.; Avison, M.B.; Reyher, K.K. Factors influencing the detection of antibacterial-resistant Escherichia coli in faecal samples from individual cattle. J. Appl. Microbiol. 2021, 132, 2633–2641. [Google Scholar] [CrossRef] [PubMed]
  19. Poulsen, C.S.; Kaas, R.S.; Aarestrup, F.M.; Pamp, S.J. Standard Sample Storage Conditions Have an Impact on Inferred Microbiome Composition and Antimicrobial Resistance Patterns. Microbiol. Spectr. 2021, 9, e01387-21. [Google Scholar] [CrossRef] [PubMed]
Figure 1. Boxplots displaying median and 25% and 75% quartile of counts of E. coli on ECC plates within 24 h after collection, as well as following storage at −20 °C and −80 °C after 1, 2, 3, and 6 months. Red, fresh sample; blue, −80 °C; orange, −20 °C.
Figure 1. Boxplots displaying median and 25% and 75% quartile of counts of E. coli on ECC plates within 24 h after collection, as well as following storage at −20 °C and −80 °C after 1, 2, 3, and 6 months. Red, fresh sample; blue, −80 °C; orange, −20 °C.
Antibiotics 11 01643 g001
Figure 2. Prevalence of phenotypic AMR among E. coli from human and chicken fresh and freeze-stored faecal samples after 30, 60, 120, and 180 days. Red, fresh sample; blue, −80 °C; orange, −20 °C.
Figure 2. Prevalence of phenotypic AMR among E. coli from human and chicken fresh and freeze-stored faecal samples after 30, 60, 120, and 180 days. Red, fresh sample; blue, −80 °C; orange, −20 °C.
Antibiotics 11 01643 g002
Table 1. Predictions derived from a Poisson model of the effects of storage duration and temperature on counts of E. coli colonies in fresh and freeze-stored human and chicken samples.
Table 1. Predictions derived from a Poisson model of the effects of storage duration and temperature on counts of E. coli colonies in fresh and freeze-stored human and chicken samples.
SampleDaysHuman 1Chicken 2
Fresh0235,6262,520,581
−20 °C30194,9892,389,513
100125,3672,109,581
30035,4901,477,704
−80 °C30244,8502,707,943
100267,8013,201,084
300345,9335,162,854
1 Intercept: 12.37 (SE ± 0.17); 1 Coeff. for −20 °C (100 days): −0.630; 1 Coeff. for −80 °C (100 days): 0.128; 2 Intercept: 14.74 (SE ± 0.04); 2 Coeff. for −20 °C (100 days): −0.178; 2 Coeff. for −20 °C (100 days): 0.239. (All p-values < 0.001).
Table 2. Predictions derived from a Poisson model of the effects of storage duration and temperature on the change in prevalence (%) of phenotypic AMR in human and chicken samples.
Table 2. Predictions derived from a Poisson model of the effects of storage duration and temperature on the change in prevalence (%) of phenotypic AMR in human and chicken samples.
HostAntimicrobialModel-Predicted Prevalence of Resistance (%)
Fresh SampleStorage at −20 °CStorage at −80 °C
30 d100 d300 d30 d100 d300 d
HumanCiprofloxacin0.0540.0530.0510.0460.0530.0490.040
Enrofloxacin0.080.0810.0780.0690.0770.0650.041
Doxycycline4.464.283.892.973.892.821.12
Gentamicin0.210.230.290.510.210.190.15
Florfenicol7.657.256.394.457.477.045.97
ChickenCiprofloxacin3.882.921.500.223.452.641.22
Enrofloxacin6.995.964.111.426.655.904.19
Doxycycline20.6017.1011.083.2118.6014.667.43
Gentamicin10.038.325.381.559.277.724.57
Florfenicol41.4835.3524.348.3839.3734.8524.61
Publisher’s Note: MDPI stays neutral with regard to jurisdictional claims in published maps and institutional affiliations.

Share and Cite

MDPI and ACS Style

Kiet, B.T.; Nhung, N.T.; Yen, N.T.P.; Phu, D.H.; Dung, N.T.T.; Yen, L.K.; Thu, H.T.V.; Carrique-Mas, J.J. Impact of Freeze Storage on the Estimation of Phenotypic Antimicrobial Resistance Prevalence in Escherichia coli Collected from Faecal Samples from Healthy Humans and Chickens. Antibiotics 2022, 11, 1643. https://doi.org/10.3390/antibiotics11111643

AMA Style

Kiet BT, Nhung NT, Yen NTP, Phu DH, Dung NTT, Yen LK, Thu HTV, Carrique-Mas JJ. Impact of Freeze Storage on the Estimation of Phenotypic Antimicrobial Resistance Prevalence in Escherichia coli Collected from Faecal Samples from Healthy Humans and Chickens. Antibiotics. 2022; 11(11):1643. https://doi.org/10.3390/antibiotics11111643

Chicago/Turabian Style

Kiet, Bach Tuan, Nguyen Thi Nhung, Nguyen Thi Phuong Yen, Doan Hoang Phu, Nguyen Thi Thuy Dung, Lam Kim Yen, Ho Thi Viet Thu, and Juan J. Carrique-Mas. 2022. "Impact of Freeze Storage on the Estimation of Phenotypic Antimicrobial Resistance Prevalence in Escherichia coli Collected from Faecal Samples from Healthy Humans and Chickens" Antibiotics 11, no. 11: 1643. https://doi.org/10.3390/antibiotics11111643

APA Style

Kiet, B. T., Nhung, N. T., Yen, N. T. P., Phu, D. H., Dung, N. T. T., Yen, L. K., Thu, H. T. V., & Carrique-Mas, J. J. (2022). Impact of Freeze Storage on the Estimation of Phenotypic Antimicrobial Resistance Prevalence in Escherichia coli Collected from Faecal Samples from Healthy Humans and Chickens. Antibiotics, 11(11), 1643. https://doi.org/10.3390/antibiotics11111643

Note that from the first issue of 2016, this journal uses article numbers instead of page numbers. See further details here.

Article Metrics

Back to TopTop