Innovative Perspectives on Biofilm Interactions in Poultry Drinking Water Systems and Veterinary Antibiotics Used Worldwide
Abstract
1. Introduction
2. Results
2.1. Bacterial Composition of Biofilms
2.2. Antimicrobial Susceptibility
2.3. Validation Parameters of the Analytical HPLC Method for SDZ, TMP, and TYL A
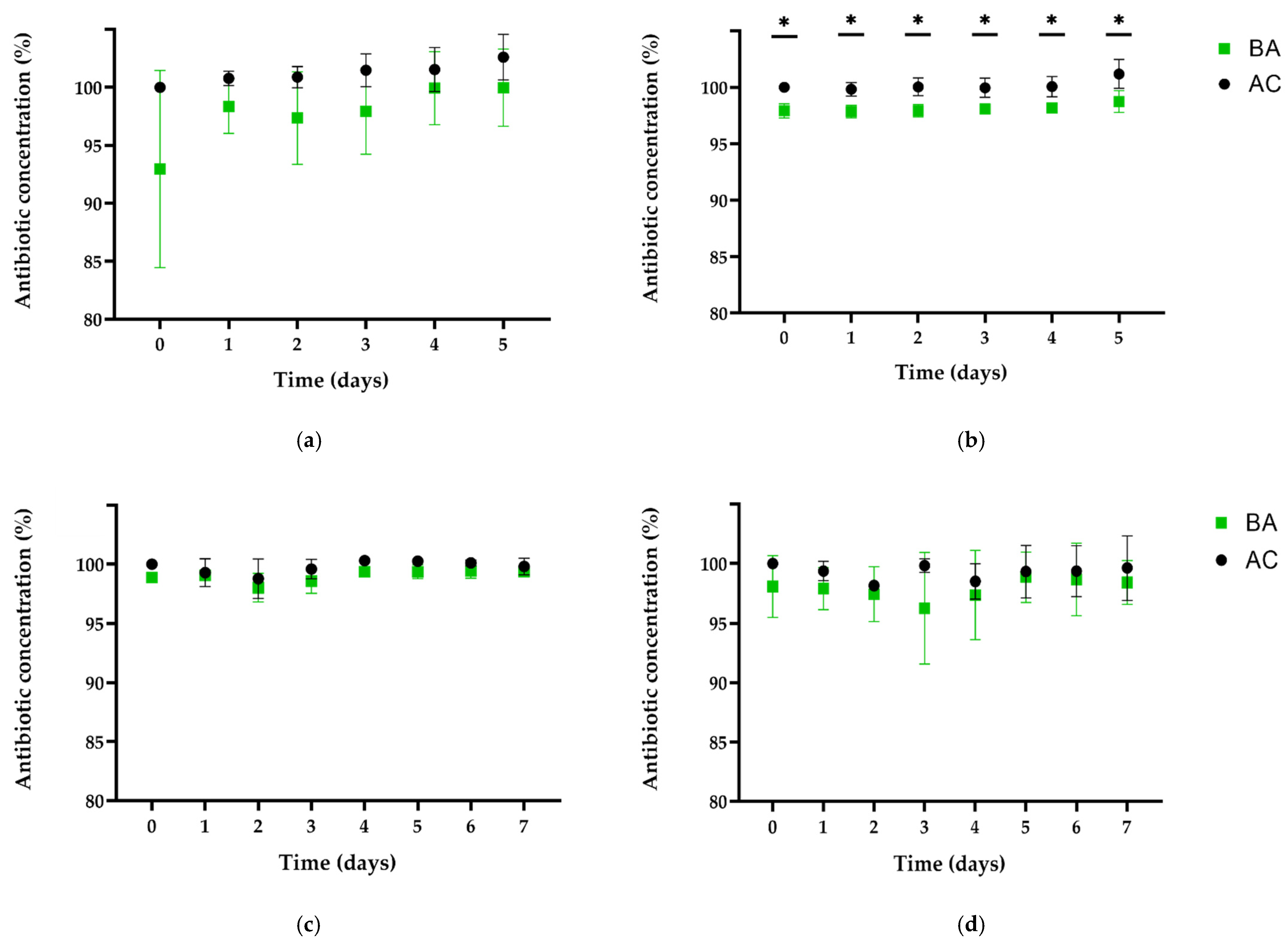
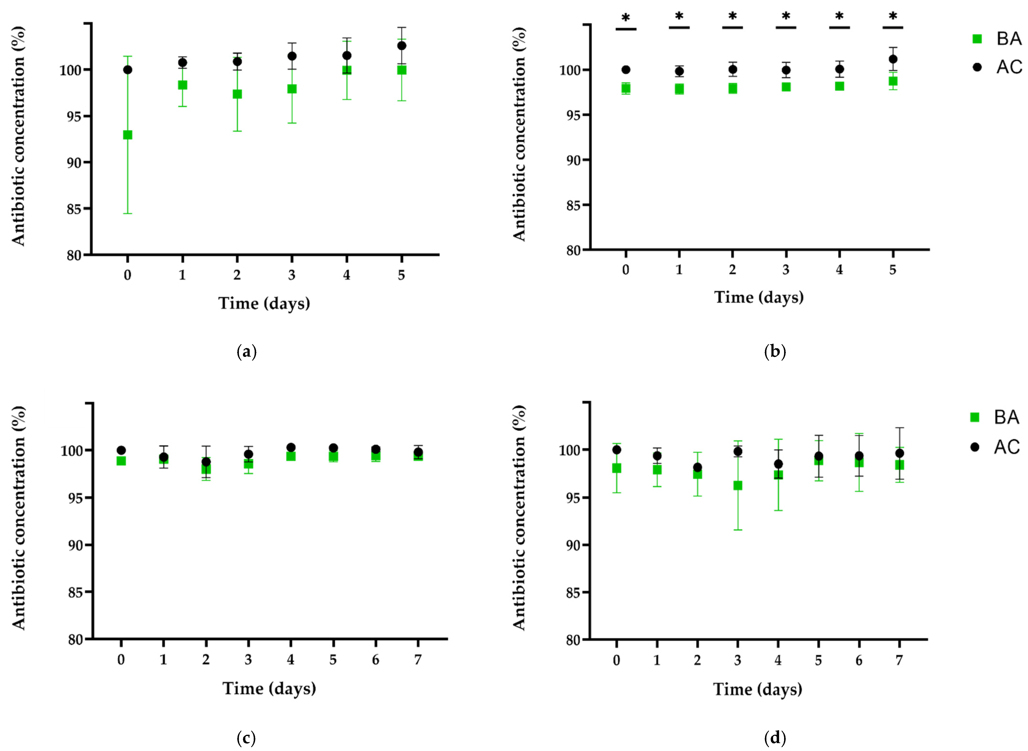
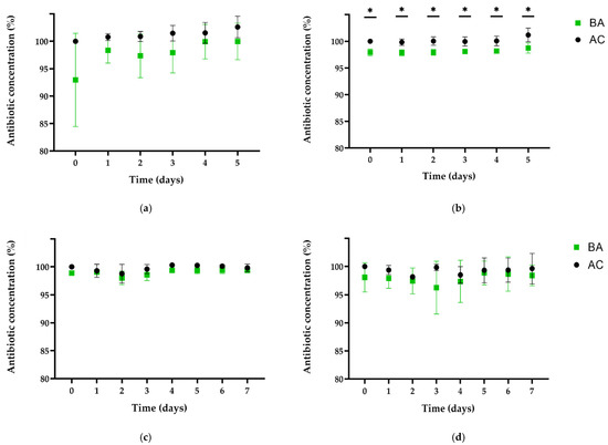
2.4. Dynamics of Antibiotics
3. Discussion
4. Materials and Methods
4.1. Chemicals
4.2. Strains and Culture Conditions
4.3. Experimental Design
4.4. Chemical Analysis
4.5. Microbiological Analysis
4.6. Antimicrobial Susceptibility Testing
4.7. Statistical Data Analysis
5. Conclusions
Author Contributions
Funding
Institutional Review Board Statement
Informed Consent Statement
Data Availability Statement
Acknowledgments
Conflicts of Interest
References
- Landers, T.F.; Cohen, B.; Wittum, T.E.; Larson, E.L.A. Review of antibiotic use in food animals: Perspective, policy, and potential. Public Health Rep. 2012, 127, 4–22. [Google Scholar] [CrossRef] [PubMed]
- World Health Organization (WHO). Tackling Antibiotic Resistance from a Food Safety Perspective in Europe. 2011. Available online: www.euro.who.int/en/publications/abstracts/tackling-antibiotic-resistance-from-a-food-safety-perspective-in-europe (accessed on 23 June 2021).
- Kamphues, J. Risks Due to the Medication of Feed and Water in Animal Facilities. Dtsch. Tierarztl. Wochenschr. 1996, 103, 250–256. [Google Scholar] [PubMed]
- Vermeulen, B.; De Backer, P.; Remon, J.P. Drug administration to poultry. Adv. Drug Deliv. Rev. 2002, 54, 795–803. [Google Scholar] [CrossRef]
- Kietzmann, M.; Bäumer, W. Oral Medication via Feed and Water—Pharmacological Aspects. Dtsch. Tierarztl. Wochenschr. 2009, 116, 204–208. [Google Scholar] [PubMed]
- Flemming, H.-C.; Wingender, J.; Szewzyk, U.; Steinberg, P.; Rice, S.A.; Kjelleberg, S. Biofilms: An emergent form of bacterial life. Nat. Rev. Microbiol. 2016, 14, 563–575. [Google Scholar] [CrossRef] [PubMed]
- Flemming, H.-C.; Wingender, J. The biofilm matrix. Nat. Rev. Microbiol. 2010, 19, 139–150. [Google Scholar] [CrossRef]
- Stewart, P.S. antimicrobial tolerance in biofilms. Microbiol. Spectr. 2015, 3, 1–13. [Google Scholar] [CrossRef]
- Tang, K.; Ooi, G.T.H.; Litty, K.; Sundmark, K.; Kaarsholm, K.M.S.; Sund, C.; Kragelund, C.; Christensson, M.; Bester, K.; Andersen, H.R. Removal of pharmaceuticals in conventionally treated wastewater by a polishing moving bed biofilm reactor (MBBR) with intermittent feeding. Bioresour. Technol. 2017, 236, 77–86. [Google Scholar] [CrossRef]
- Zhang, X.; Song, Z.; Hao Ngo, H.; Guo, W.; Zhang, Z.; Liu, Y.; Zhang, D.; Long, Z. Impacts of typical pharmaceuticals and personal care products on the performance and microbial community of a sponge-based moving bed biofilm reactor. Bioresour. Technol. 2020, 295, 122298. [Google Scholar] [CrossRef]
- Hobley, L.; Harkins, C.; MacPhee, C.E.; Stanley-Wall, N.R. Giving structure to the biofilm matrix: An overview of individual strategies and emerging common themes. FEMS Microbiol. Rev. 2015, 39, 649–669. [Google Scholar] [CrossRef]
- Zhang, Q.; Lambert, G.; Liao, D.; Kim, H.; Robin, K.; Tung, C.-K.; Pourmand, N.; Austin, R.H. Acceleration of emergence of bacterial antibiotic resistance in connected microenvironments. Science 2011, 333, 1764–1767. [Google Scholar] [CrossRef]
- Driffield, K.; Miller, K.; Bostock, J.M.; O’Neill, A.J.; Chopra, I. Increased mutability of Pseudomonas aeruginosa in biofilms. J. Antimicrob. Chemother. 2008, 61, 1053–1056. [Google Scholar] [CrossRef] [PubMed]
- Luján, A.M.; Maciá, M.D.; Yang, L.; Molin, S.; Oliver, A.; Smania, A.M. Evolution and adaptation in Pseudomonas aeruginosa biofilms driven by mismatch repair system-deficient mutators. PLoS ONE 2011, 6, e27842. [Google Scholar] [CrossRef] [PubMed]
- Ahmed, M.N.; Porse, A.; Sommer, M.O.A.; Høiby, N.; Ciofu, O. Evolution of antibiotic resistance in biofilm and planktonic Pseudomonas aeruginosa populations exposed to subinhibitory levels of ciprofloxacin. Antimicrob. Agents Chemother. 2018, 62, e00320. [Google Scholar] [CrossRef]
- Mateus-Vargas, R.H.; Kemper, N.; Volkmann, N.; Kietzmann, M.; Meissner, J.; Schulz, J. Low-frequency electromagnetic fields as an alternative to sanitize water of drinking systems in poultry production? PLoS ONE 2019, 14, e0220302. [Google Scholar] [CrossRef] [PubMed]
- Maes, S.; Vackier, T.; Nguyen Huu, S.; Heyndrickx, M.; Steenackers, H.; Sampers, I.; Raes, K.; Verplaetse, A.; De Reu, K. Occurrence and characterisation of biofilms in drinking water systems of broiler houses. BMC Microbiol. 2019, 19, 77. [Google Scholar] [CrossRef]
- Böger, R.; Rohn, K.; Kemper, N.; Schulz, J. Sodium hypochlorite treatment: The impact on bacteria and endotoxin concentrations in drinking water pipes of a pig nursery. Agriculture 2020, 10, 86. [Google Scholar] [CrossRef]
- Gomes, I.B.; Simões, L.C.; Simões, M. The effects of emerging environmental contaminants on Stenotrophomonas maltophilia isolated from drinking water in planktonic and sessile states. Sci. Total Environ. 2018, 643, 1348–1356. [Google Scholar] [CrossRef]
- Wang, H.; Hu, C.; Shen, Y.; Shi, B.; Zhao, D.; Xing, X. Response of microorganisms in biofilm to sulfadiazine and ciprofloxacin in drinking water distribution systems. Chemosphere 2019, 218, 197–204. [Google Scholar] [CrossRef] [PubMed]
- Martinez, J.L.; Baquero, F. Mutation frequencies and antibiotic resistance. Antimicrob. Agents Chemother. 2000, 44, 1771–1777. [Google Scholar] [CrossRef]
- European Committee on Antimicrobial Susceptibility (EUCAST). MIC and Zone Diameter Distributions and ECOFFs. Available online: http://www.eucast.org/mic_distributions_and_ecoffs (accessed on 23 June 2021).
- Deutsches Institut für Normung e.V. Chemische Analytik—Nachweis-, Erfassungs- und Bestimmungsgrenze unter Wiederholbedingungen—Begriffe, Verfahren, Auswertung; DIN 32645. (2008–11); Deutsches Institut für Normung e.V.: Berlin, Germany, 2008. [Google Scholar] [CrossRef]
- Linget, C.; Azadi, P.; MacLeod, J.K.; Dell, A.; Abdallah, M.A. Bacterial siderophores: The structures of the pyoverdins of Pseudomonas fluorescens ATCC 13525. Tetrahedron Lett. 1992, 33, 1737–1740. [Google Scholar] [CrossRef]
- Khelissa, S.O.; Jama, C.; Abdallah, M.; Boukherroub, R.; Faille, C.; Chihib, N.-E. Effect of incubation duration, growth temperature, and abiotic surface type on cell surface properties, adhesion and pathogenicity of biofilm-detached Staphylococcus aureus cells. AMB Express 2017, 7, 191. [Google Scholar] [CrossRef] [PubMed]
- Cowle, M.W.; Webster, G.; Babatunde, A.O.; Bockelmann-Evans, B.N.; Weightman, A.J. Impact of flow hydrodynamics and pipe material properties on biofilm development within drinking water systems. Environ. Technol. 2020, 41, 3732–3744. [Google Scholar] [CrossRef] [PubMed]
- Chandy, J.P.; Angles, M. Determination of nutrients limiting biofilm formation and the subsequent impact on disinfectant decay. Water Res. 2001, 35, 2677–2682. [Google Scholar] [CrossRef]
- Pan, Y.; Breidt, F.; Gorski, L. Synergistic effects of sodium chloride, glucose, and temperature on biofilm formation by Listeria monocytogenes Serotype 1/2a and 4b Strains. Appl. Environ. Microbiol. 2010, 76, 1433–1441. [Google Scholar] [CrossRef]
- Choi, N.-Y.; Kim, B.-R.; Bae, Y.-M.; Lee, S.-Y. Biofilm formation, attachment, and cell hydrophobicity of foodborne pathogens under varied environmental conditions. J. Korean Soc. Appl. Biol. Chem. 2013, 56, 207–220. [Google Scholar] [CrossRef]
- She, P.; Wang, Y.; Liu, Y.; Tan, F.; Chen, L.; Luo, Z.; Wu, Y. Effects of exogenous glucose on Pseudomonas aeruginosa biofilm formation and antibiotic resistance. Microbiologyopen 2019, 8, e933. [Google Scholar] [CrossRef]
- Gordesli, F.P.; Abu-Lail, N.I. The role of growth temperature in the adhesion and mechanics of pathogenic L. monocytogenes: An AFM study. Langmuir 2012, 28, 1360–1373. [Google Scholar] [CrossRef]
- Tsuji, M.; Yokoigawa, K. Attachment of Escherichia coli O157:H7 to abiotic surfaces of cooking utensils. J. Food Sci. 2012, 77, M194–M199. [Google Scholar] [CrossRef]
- Buckingham-Meyer, K.; Goeres, D.M.; Hamilton, M.A. Comparative evaluation of biofilm disinfectant efficacy tests. J. Microbiol. Methods 2007, 70, 236–244. [Google Scholar] [CrossRef]
- Nguyen, H.D.N.; Yuk, H.-G. Changes in resistance of Salmonella Typhimurium biofilms formed under various conditions to industrial sanitizers. Food Control 2013, 29, 236–240. [Google Scholar] [CrossRef]
- Abdallah, M.; Khelissa, O.; Ibrahim, A.; Benoliel, C.; Heliot, L.; Dhulster, P.; Chihib, N.-E. Impact of growth temperature and surface type on the resistance of Pseudomonas aeruginosa and Staphylococcus aureus biofilms to disinfectants. Int. J. Food Microbiol. 2015, 214, 38–47. [Google Scholar] [CrossRef]
- Williams, D.L.; Smith, S.R.; Peterson, B.R.; Allyn, G.; Cadenas, L.; Epperson, R.T.; Looper, R.E. Growth substrate may influence biofilm susceptibility to antibiotics. PLoS ONE 2019, 14, e0206774. [Google Scholar] [CrossRef]
- Manner, S.; Goeres, D.M.; Skogman, M.; Vuorela, P.; Fallarero, A. Prevention of Staphylococcus aureus biofilm formation by antibiotics in 96-microtiter well plates and drip flow reactors: Critical factors influencing outcomes. Sci. Rep. 2017, 7, 43854. [Google Scholar] [CrossRef]
- Simões, L.C.; Simões, M.; Vieira, M.J. Influence of the diversity of bacterial isolates from drinking water on resistance of biofilms to disinfection. Appl. Environ. Microbiol. 2010, 76, 6673–6679. [Google Scholar] [CrossRef]
- Elias, S.; Banin, E. Multi-species biofilms: Living with friendly neighbors. FEMS Microbiol. Rev. 2012, 36, 990–1004. [Google Scholar] [CrossRef]
- Tavernier, S.; Crabbé, A.; Hacioglu, M.; Stuer, L.; Henry, S.; Rigole, P.; Dhondt, I.; Coenye, T. Community composition determines activity of antibiotics against multispecies biofilms. Antimicrob. Agents Chemother. 2017, 61, e00302-17. [Google Scholar] [CrossRef]
- Masák, J.; Čejková, A.; Schreiberová, O.; Řezanka, T. Pseudomonas biofilms: Possibilities of their control. FEMS Microbiol. Ecol. 2014, 89, 1–14. [Google Scholar] [CrossRef] [PubMed]
- Santos Rosado Castro, M.; da Silva Fernandes, M.; Kabuki, D.Y.; Kuaye, A.Y. Modelling Pseudomonas fluorescens and Pseudomonas aeruginosa biofilm formation on stainless steel surfaces and controlling through sanitisers. Int. Dairy J. 2021, 114, 104945. [Google Scholar] [CrossRef]
- Gagnière, H.; Di Martino, P. Effects of antibiotics on Pseudomonas aeruginosa NK125502 and Pseudomonas fluorescens MF0 biofilm formation on immobilized fibronectin. J. Chemother. 2004, 16, 244–247. [Google Scholar] [CrossRef] [PubMed]
- Heydorn, A.; Nielsen, A.T.; Hentzer, M.; Sternberg, C.; Givskov, M.; Ersbøll, B.K.; Molin, S. Quantification of biofilm structures by the novel computer program comstat. Microbiology 2000, 146, 2395–2407. [Google Scholar] [CrossRef]
- Mirani, Z.A.; Fatima, A.; Urooj, S.; Aziz, M.; Khan, M.N.; Abbas, T. Relationship of cell surface hydrophobicity with biofilm formation and growth rate: A study on Pseudomonas aeruginosa, Staphylococcus aureus, and Escherichia coli. Iran. J. Basic Med. Sci. 2018, 21, 760–769. [Google Scholar] [CrossRef]
- Lu, Y.; Jiang, M.; Wang, C.; Wang, Y.; Yang, W. Impact of molecular size on two antibiotics adsorption by porous resins. J. Taiwan Inst. Chem. Eng. 2014, 45, 955–961. [Google Scholar] [CrossRef]
- Walters, M.C.; Roe, F.; Bugnicourt, A.; Franklin, M.J.; Stewart, P.S. Contributions of antibiotic penetration, oxygen limitation, and low metabolic activity to tolerance of Pseudomonas aeruginosa biofilms to ciprofloxacin and tobramycin. Antimicrob. Agents Chemother. 2003, 47, 317–323. [Google Scholar] [CrossRef]
- Cao, B.; Christophersen, L.; Kolpen, M.; Jensen, P.Ø.; Sneppen, K.; Høiby, N.; Moser, C.; Sams, T. Diffusion retardation by binding of tobramycin in an alginate biofilm model. PLoS ONE 2016, 11, e0153616. [Google Scholar] [CrossRef] [PubMed]
- Reeves, D.S.; Wilkinson, P.J. The pharmacokinetics of trimethoprim and trimethoprim/sulphonamide combinations, including penetration into body tissues. Infection 1979, 7, S330–S341. [Google Scholar] [CrossRef] [PubMed]
- Sakurai, H.; Ishimitsu, T. Microionization constants of sulphonamides. Talanta 1980, 27, 293–298. [Google Scholar] [CrossRef]
- Guo, X.; Yang, C.; Wu, Y.; Dang, Z. The influences of pH and ionic strength on the sorption of tylosin on goethite. Environ. Sci. Pollut. Res. 2014, 21, 2572–2580. [Google Scholar] [CrossRef]
- Tseng, B.S.; Zhang, W.; Harrison, J.J.; Quach, T.P.; Song, J.L.; Penterman, J.; Singh, P.K.; Chopp, D.L.; Packman, A.I.; Parsek, M.R. The extracellular matrix protects Pseudomonas aeruginosa biofilms by limiting the penetration of tobramycin. Environ. Microbiol. 2013, 15, 2865–2878. [Google Scholar] [CrossRef]
- Rekker, R.F.; Laak, A.M.T.; Mannhold, R. On the reliability of calculated log p-values: Rekker, Hansch/Leo and Suzuki Approach. Quant. Struct. Relatsh. 1993, 12, 152–157. [Google Scholar] [CrossRef]
- McFarland, J.W.; Berger, C.M.; Froshauer, S.A.; Hayashi, S.F.; Hecker, S.J.; Jaynes, B.H.; Jefson, M.R.; Kamicker, B.J.; Lipinski, C.A.; Lundy, K.M.; et al. Quantitative structure-activity relationships among macrolide antibacterial agents: In vitro and in vivo potency against Pasteurella multocida. J. Med. Chem. 1997, 40, 1340–1346. [Google Scholar] [CrossRef]
- Thiele-Bruhn, S.; Aust, M.O. Effects of pig slurry on the sorption of sulfonamide antibiotics in soil. Arch. Environ. Contam. Toxicol. 2004, 47, 31–39. [Google Scholar] [CrossRef] [PubMed]
- Wunder, D.B.; Bosscher, V.A.; Cok, R.C.; Hozalski, R.M. Sorption of antibiotics to biofilm. Water Res. 2011, 45, 2270–2280. [Google Scholar] [CrossRef] [PubMed]
- Fazli, M.; Almblad, H.; Rybtke, M.L.; Givskov, M.; Eberl, L.; Tolker-Nielsen, T. Regulation of biofilm formation in Pseudomonas and Burkholderia species. Environ. Microbiol. 2014, 16, 1961–1981. [Google Scholar] [CrossRef]
- Billings, N.; Ramirez Millan, M.; Caldara, M.; Rusconi, R.; Tarasova, Y.; Stocker, R.; Ribbeck, K. The extracellular matrix component Psl provides fast-acting antibiotic defense in Pseudomonas aeruginosa Biofilms. PLoS Pathog. 2013, 9, e1003526. [Google Scholar] [CrossRef] [PubMed]
- Wright, G.D. Bacterial resistance to antibiotics: Enzymatic degradation and modification. Adv. Drug Deliv. Rev. 2005, 57, 1451–1470. [Google Scholar] [CrossRef]
- Terzic, S.; Senta, I.; Matosic, M.; Ahel, M. Identification of biotransformation products of macrolide and fluoroquinolone antimicrobials in membrane bioreactor treatment by ultrahigh-performance liquid chromatography/quadrupole time-of-flight mass spectrometry. Anal. Bioanal. Chem. 2011, 401, 353–363. [Google Scholar] [CrossRef]
- Nadeem, S.F.; Gohar, U.F.; Tahir, S.F.; Mukhtar, H.; Pornpukdeewattana, S.; Nukthamna, P.; Moula Ali, A.M.; Bavisetty, S.C.B.; Massa, S. Antimicrobial resistance: More than 70 years of war between humans and bacteria. Crit. Rev. Microbiol. 2020, 46, 578–599. [Google Scholar] [CrossRef]
- Barthélémy, P.; Autissier, D.; Gerbaud, G.; Courvalin, P. Enzymic hydrolysis of erythromycin by a strain of Escherichia coli. A new mechanism of resistance. J. Antibiot. 1984, 37, 1692–1696. [Google Scholar] [CrossRef]
- Kim, Y.-H.; Cha, C.-J.J.; Cerniglia, C.E. Purification and characterization of an erythromycin esterase from an erythromycin-resistant Pseudomonas sp. FEMS Microbiol. Lett. 2002, 210, 239–244. [Google Scholar] [CrossRef]
- Vilches, C.; Hernandez, C.; Mendez, C.; Salas, J.A. Role of glycosylation and deglycosylation in biosynthesis of and resistance to oleandomycin in the producer organism, Streptomyces antibioticus. J. Bacteriol. 1992, 174, 161–165. [Google Scholar] [CrossRef] [PubMed]
- Morisaki, N.; Hashimoto, Y.; Furihata, K.; Yazawa, K.; Tamura, M.; Mikami, Y. glycosylative inactivation of chalcomycin and tylosin by a clinically isolated Nocardia asteroides strain. J. Antibiot. 2001, 54, 157–165. [Google Scholar] [CrossRef] [PubMed]
- Dinos, G.P. The macrolide antibiotic renaissance. Br. J. Pharmacol. 2017, 174, 2967–2983. [Google Scholar] [CrossRef] [PubMed]
- Kono, M.; O’Hara, K.; Ebisu, T. Purification and characterization of macrolide 2′-phosphotransferase type ii from a strain of Escherichia coli highly resistant to macrolide antibiotics. FEMS Microbiol. Lett. 1992, 97, 89–94. [Google Scholar] [CrossRef]
- Matsuoka, M.; Inoue, M.; Endo, Y.; Nakajima, Y. Characteristic expression of three genes, msr(A), mph(C) and erm(Y), that confer resistance to macrolide antibiotics on Staphylococcus aureus. FEMS Microbiol. Lett. 2003, 220, 287–293. [Google Scholar] [CrossRef]
- Nakamura, A.; Nakazawa, K.; Miyakozawa, I.; Mizukoshi, S.; Tsurubuchi, K.; Nakagawa, M.; O’Hara, K.; Sawai, T. Macrolide esterase-producing Escherichia coli clinically isolated in Japan. J. Antibiot. 2000, 53, 516–524. [Google Scholar] [CrossRef][Green Version]
- Wiley, P.F.; Baczynskyj, L.; Dolak, L.A.; Cialdella, J.I.; Marshall, V.P. Enzymatic phosphorylation of macrolide antibiotics. J. Antibiot. 1987, 40, 195–201. [Google Scholar] [CrossRef]
- Marshall, V.P.; Cialdella, J.I.; Baczynskyj, L.; Liggett, W.F.; Johnson, R.A. Microbial o-phosphorylation of macrolide antibiotics. J. Antibiot. 1989, 42, 132–134. [Google Scholar] [CrossRef]
- Werner, J.J.; Chintapalli, M.; Lundeen, R.A.; Wammer, K.H.; Arnold, W.A.; McNeill, K. Environmental photochemistry of tylosin: Efficient, reversible photoisomerization to a less-active isomer, followed by photolysis. J. Agric. Food Chem. 2007, 55, 7062–7068. [Google Scholar] [CrossRef]
- Borriello, G.; Werner, E.; Roe, F.; Kim, A.M.; Ehrlich, G.D.; Stewart, P.S. Oxygen limitation contributes to antibiotic tolerance of Pseudomonas aeruginosa in biofilms. Antimicrob. Agents Chemother. 2004, 48, 2659–2664. [Google Scholar] [CrossRef]
- Williamson, K.S.; Richards, L.A.; Perez-Osorio, A.C.; Pitts, B.; McInnerney, K.; Stewart, P.S.; Franklin, M.J. Heterogeneity in Pseudomonas aeruginosa biofilms includes expression of ribosome hibernation factors in the antibiotic-tolerant subpopulation and hypoxia-induced stress response in the metabolically active population. J. Bacteriol. 2012, 194, 2062–2073. [Google Scholar] [CrossRef] [PubMed]
- Bernier, S.P.; Lebeaux, D.; DeFrancesco, A.S.; Valomon, A.; Soubigou, G.; Coppée, J.-Y.; Ghigo, J.-M.; Beloin, C. Starvation, together with the SOS response, mediates high biofilm-specific tolerance to the fluoroquinolone ofloxacin. PLoS Genet. 2013, 9, e1003144. [Google Scholar] [CrossRef] [PubMed]
- Roberts, M.E.; Stewart, P.S. Modeling antibiotic tolerance in biofilms by accounting for nutrient limitation. Antimicrob. Agents Chemother. 2004, 48, 48–52. [Google Scholar] [CrossRef] [PubMed]
- Federation of Veterinarians of Europe (FVE). Antimicrobial use in Food-Producing Animals Replies to EFSA/EMA Questions on the Use of Antimicrobials in Food-Producing Animals in EU and Possible Measures to Reduce Antimicrobial Use. 2016. Available online: https://www.ema.europa.eu/en/documents/report/annex-replies-efsa/ema-questions-use-antimicrobials-food-producing-animals-eu-possible-measures-reduce-antimicrobial_en.pdf (accessed on 23 June 2021).
- Knothe, H. A Review of the medical considerations of the use of tylosin and other macrolide antibiotics as additives in animal feeds. Infection 1977, 5, 183–187. [Google Scholar] [CrossRef]
- Vaara, M. Outer membrane permeability barrier to azithromycin, clarithromycin, and roxithromycin in gram-negative enteric bacteria. Antimicrob. Agents Chemother. 1993, 37, 354–356. [Google Scholar] [CrossRef]
- Wang, S.; Yang, Y.; Zhao, Y.; Zhao, H.; Bai, J.; Chen, J.; Zhou, Y.; Wang, C.; Li, Y. Sub-MIC tylosin inhibits Streptococcus suis biofilm formation and results in differential protein expression. Front. Microbiol. 2016, 7, 1–9. [Google Scholar] [CrossRef]
- Wozniak, D.J.; Keyser, R. Effects of subinhibitory concentrations of macrolide antibiotics on Pseudomonas aeruginosa. Chest 2004, 125, 62S–69S. [Google Scholar] [CrossRef]
- Mechesso, A.F.; Yixian, Q.; Park, S.-C. Methyl gallate and tylosin synergistically reduce the membrane integrity and intracellular survival of Salmonella Typhimurium. PLoS ONE 2019, 14, e0221386. [Google Scholar] [CrossRef] [PubMed]
- Hossain, M.A.; Park, J.-Y.; Kim, J.-Y.; Suh, J.-W.; Park, S.-C. Synergistic effect and antiquorum sensing activity of Nymphaea tetragona (Water Lily) extract. Biomed. Res. Int. 2014, 2014, 562173. [Google Scholar] [CrossRef]
- Lutz, L.; Pereira, D.C.; Paiva, R.M.; Zavascki, A.P.; Barth, A.L. Macrolides decrease the minimal inhibitory concentration of anti-pseudomonal agents against Pseudomonas aeruginosa from cystic fibrosis patients in biofilm. BMC Microbiol. 2012, 12, 196. [Google Scholar] [CrossRef] [PubMed]
- Schwarz, S.; Kehrenberg, C.; Walsh, T.R. Use of antimicrobial agents in veterinary medicine and food animal production. Int. J. Antimicrob. Agents 2001, 17, 431–437. [Google Scholar] [CrossRef]
- Deutsche Landwirtschafts-Gesellschaft e.V. Haltung von Masthühnern. Haltungsansprüche—Fütterung-Tiergesundheit; Deutsche Landwirtschafts-Gesellschaft e.V.: Frankfurt, Germany, 2021; Volume 406, Available online: https://www.dlg.org/fileadmin/downloads/landwirtschaft/themen/publikationen/merkblaetter/dlg-merkblatt_406.pdf (accessed on 15 December 2021).
- Clinical and Laboratory Standards Institute (CLSI). Methods for Dilution Antimicrobial Susceptibility Tests for Bacteria that Grow Aerobically, 8th ed.; M07-A8 Approved Standard Documents; Clinical and Laboratory Standards Institute: Wayne, PA, USA, 2009; Volume 29. [Google Scholar]
- European Food Safety Authority (EFSA). Report from the task force on zoonoses data collection including guidance for harmonized monitoring and reporting of antimicrobial resistance in commensal Escherichia coli and Enterococcus spp. from food animals. EFSA J. 2008, 6, 1–44. [Google Scholar] [CrossRef]
- Breidenstein, E.B.M.; de la Fuente-Núñez, C.; Hancock, R.E.W. Pseudomonas aeruginosa: All roads lead to resistance. Trends Microbiol. 2011, 19, 419–426. [Google Scholar] [CrossRef] [PubMed]
- Terzic, S.; Udikovic-Kolic, N.; Jurina, T.; Krizman-Matasic, I.; Senta, I.; Mihaljevic, I.; Loncar, J.; Smital, T.; Ahel, M. Biotransformation of macrolide antibiotics using enriched activated sludge culture: Kinetics, transformation routes and ecotoxicological evaluation. J. Hazard. Mater. 2018, 349, 143–152. [Google Scholar] [CrossRef]
- Teh, A.H.T.; Lee, S.M.; Dykes, G.A. Association of some Campylobacter jejuni with Pseudomonas aeruginosa biofilms increases attachment underconditions mimicking those in the environment. PLoS ONE 2019, 14, e0215275. [Google Scholar] [CrossRef] [PubMed]
- Loera-Muro, A.; Ramírez-Castillo, F.Y.; Moreno-Flores, A.C.; Martin, E.M.; Avelar-González, F.J.; Guerrero-Barrera, A.L. Actinobacillus pleuropneumoniae suriviving on environmental multi-species biofilms in swine farms. Front. Vet. Sci. 2021, 8, 722683. [Google Scholar] [CrossRef] [PubMed]





| Antimicrobial 1 | Concentration Range | Epidemiologic Cut-Off 2 | MIC50 | MIC90 |
|---|---|---|---|---|
| AMP | 0.25–32 | ≤8 | 4 | 4 |
| CTX | 0.06–8 | ≤0.25 | ≤0.06 | ≤0.06 |
| CAZ | 0.06–8 | ≤0.5 | 0.25 | 0.5 |
| CHL | 2–128 | ≤16 | 8 | 8 |
| CIP | 0.015–2 | ≤0.06 | ≤0.03 | ≤0.03 |
| COL | 0.12–16 | ≤2 | 1 | 2 |
| GEN | 0.25–16 | ≤2 | 1 | 2 |
| NAL | 1–128 | ≤16 | 4 | 8 |
| SUL | 2–256 | -3 | 4 | 4 |
| TET | 0.25–32 | ≤8 | 2 | 2 |
| TMP | 0.25–32 | ≤2 | ≤0.25 | ≤0.25 |
| TYL A | 2–2048 | -3 | 1024 | 1024 |
| SDZ/TMP | 0.59/0.03–76/4 | ≤19/1 | ≤0.59/0.03 | ≤0.59/0.03 |
Publisher’s Note: MDPI stays neutral with regard to jurisdictional claims in published maps and institutional affiliations. |
© 2022 by the authors. Licensee MDPI, Basel, Switzerland. This article is an open access article distributed under the terms and conditions of the Creative Commons Attribution (CC BY) license (https://creativecommons.org/licenses/by/4.0/).
Share and Cite
Hahne, F.; Jensch, S.; Hamscher, G.; Meißner, J.; Kietzmann, M.; Kemper, N.; Schulz, J.; Mateus-Vargas, R.H. Innovative Perspectives on Biofilm Interactions in Poultry Drinking Water Systems and Veterinary Antibiotics Used Worldwide. Antibiotics 2022, 11, 77. https://doi.org/10.3390/antibiotics11010077
Hahne F, Jensch S, Hamscher G, Meißner J, Kietzmann M, Kemper N, Schulz J, Mateus-Vargas RH. Innovative Perspectives on Biofilm Interactions in Poultry Drinking Water Systems and Veterinary Antibiotics Used Worldwide. Antibiotics. 2022; 11(1):77. https://doi.org/10.3390/antibiotics11010077
Chicago/Turabian StyleHahne, Friederike, Simon Jensch, Gerd Hamscher, Jessica Meißner, Manfred Kietzmann, Nicole Kemper, Jochen Schulz, and Rafael H. Mateus-Vargas. 2022. "Innovative Perspectives on Biofilm Interactions in Poultry Drinking Water Systems and Veterinary Antibiotics Used Worldwide" Antibiotics 11, no. 1: 77. https://doi.org/10.3390/antibiotics11010077
APA StyleHahne, F., Jensch, S., Hamscher, G., Meißner, J., Kietzmann, M., Kemper, N., Schulz, J., & Mateus-Vargas, R. H. (2022). Innovative Perspectives on Biofilm Interactions in Poultry Drinking Water Systems and Veterinary Antibiotics Used Worldwide. Antibiotics, 11(1), 77. https://doi.org/10.3390/antibiotics11010077

